Funciones polinómicas:
Las funciones polinómicas son,como su nombre lo dice,funciones que constan de un
polinomio.
En donde n es un entero positivo, llamado, grado delpolinomio.Resulta evidente, que
el coeficiente delgrado mayor, no puede sercero,o sea,a tiene que serdiferente de
cero,para que el grado delpolinomio se n. Cualquiera de los otros coeficientes puede
ser cero.
Ejemplos de funciones polinómicas son:
, la cuales de grado 3,ya que el exponente mayores 3.
, que es una función polinómica de grado 2,o sea cuadrática,cuya
gráfica es una parábola.
, que es de grado 6, ya que multiplicando todos los
paréntesis,nos daría como mayor exponente el6. Esta función se grafica más
adelante,para hacernotar, que las intersecciones con los ejes y la factorización de la
función polinomialtienen una estrecha relación.
La gráfica de las funciones polinómicas dependedelgrado de la función. Las
funciones polinómicas de ciertos grados tienen ciertas alternativas de gráfica. Queda a
este curso de derivadas averiguaralgunas de las características de las funciones para
poderpredecirsu comportamiento.
Muchas veces a partir de la gráfica de un polinomio se puede deducirla ecuación de
la función. Esto se puede hacera partir de las intersecciones con los ejes.(Conste
que comenté,que muchas veces,NO SIEMPRE).
Una función polinómica con el más alto número de intersecciones con eleje "x"
permisible,es aquella que se puede determinarsu gráfica y su ecuación.
Una función de, porejemplo,tercer grado puede tenercomo máximo 3 intersecciones
con el eje "x".
Una función de sexto grado puede tenercomo máximo 6 intersecciones con eleje "x".
Cabe aclarar,que las funciones polinómicas,aunqueno conozcamos ahora los
términos específicos, son funciones continuas,sin asíntotas verticales, ni horizontales,
que según elgrado pueden presentarmáximos,mínimos y puntos de inflexión.
Suponiendo que la función que se nos presenta es de tercer
grado,y sus intersecciones están en x = 2, x = -1 y en x = -
3; la ecuación de la función es f(x) = (x-2)(x+1)(x+3)
Debe quedarclaro,que se tiene que conocerelgrado de la
función polinómica,ya que sin éste, las conclusiones quese
puedan sacarpuedenestas equivocadas.
Tenemos una función polinómica de grado 6,que sus
intersecciones se encuentran en x = 1, x = 2, x = -1, x = 3, x
= -2 y en x = 0; por lo tanto la función es:
f(x) = (x-1)(x-2)(x+1)(x-3)(x+2)(x)
Características generales:
1) El dominio de definición es el conjunto de los números reales (R).
2) Son siempre continuas.
3) No tienen asíntotas.
4) Cortan al eje X, como máximo,un número de veces igualque el grado del
polinomio.
5) Cortan el eje Y en el punto (0, a0).
6) El número de máximos y mínimos relativos es, a lo sumo,igualal grado del
polinomio menos uno.
7) El número de puntos de inflexión es, a lo sumo,igualal grado delpolinomio menos
dos.
Funciones polinómicasde grado0:
rectas horizontales
Funciones polinómicasde primer grado:
rectas oblicuas
Funciones polinómicasde segundo grado: parábolas
Funciones polinómicasde tercer grado: cúbicas
Funciones polinómicasde cuarto grado: cuarticas
Ejercicios resueltos:
1. Calculareldominiodelasfuncionespolinómicas
Solución:
Solución:
2. Calculareldominiodelasfuncionesradicalesyanalicelosresultadosobtenidospara
lasdiferenciasdesignosenfuncionessimilares
Solución:
Solución:
Solución:
Solución:
Solución:
Solución:
Solución:
Solución:
3. Calculareldominiodelasfuncionesexponencialesycomparargráficamenteambas
funciones
Solución:
Solución:
Comparación mediante grafica
4. Calculareldominiodelasfuncioneslogarítmicasygrafique
Solución:
Solución:
5. Calculareldominiodelasfuncionestrigonométricasgraficarambasfuncionesy
compararlosresultadosobtenidos
Solución:
Solución:
Comparación de las funciones mediante grafica
Funciones exponenciales
Son las funciones que tienen la variable independiente x en el exponente,es decir,
son de la forma:
Características generales:
1) El dominio de una función exponenciales R.
2) Su recorrido es (0, +∞).
3) Son funciones continuas.
4) Como a0 = 1, la función siempre pasa porel punto (0, 1).
La función corta el eje Y en el punto (0, 1) y no corta el eje X.
5) Como a1 = a, la función siempre pasa porel punto (1, a).
6) Si a > 1 la función es creciente.
Si 0 < a < 1 la función es decreciente.
7) Son siempre cóncavas.
8) El eje X es una asíntota horizontal.
 Si a > 1 :
Al elevar un número mayorque 1 a cantidades negativas cada vez más
grandes,elvalor de la potencia se acerca a cero,portanto :
Cuando x → - ∞ , entonces ax → 0
 Si 0 < a < 1 :
Ocurre lo contrario que en el caso anterior :
Cuando x → + ∞ , entonces ax → 0
Ejemplo de funciones exponenciales:
1) Dominio: El dominio de las funciones exponenciales es R.
 Dom(f) = Dom(g) = R .
2)Recorrido: El recorrido de las funciones exponenciales es (0, + ∞).
 Im(f) = Im(g) = (0, + ∞) .
3)Puntos de corte:
 f(0) = 20 = 1 , el punto de corte con el eje Y es (0, 1).
 g(0)= - 20 = 1 , el punto de corte con el eje Y es (0, 1).
 La funciones f(x) y g(x) no cortan al eje X.
4)Crecimiento y decrecimiento:
 La función f(x) es creciente ya que a > 1.
 La función g(x) es decreciente ya que 0 < a < 1.
5)Concavidady convexidad: Las funciones f(x) y g(x) son cóncavas.
6)Asíntotas:
 Las funciones f(x) y g(x) tienen una asíntota en el eje X.
7)Tabla de valores:
Resumen de las propiedades de la función exponencial ex
1
La función exponenciales la inversa de la logarítmica:
y = ex ⇔ x = Ln y
2 La función y = ex tiene por dominio R y por recorrido y > 0
3 La función y = ex es continua, creciente e inyectiva en todo su dominio.
4 La función y = ex es cóncava hacia arriba en todo su dominio.
5
Ejemplo de funciones exponenciales: f(x) = ex
1) Dominio: El dominio de las funciones exponenciales es R.
 Dom(f) = R .
2)Recorrido: El recorrido de las funciones exponenciales es (0, + ∞).
 Im(f) = (0, + ∞) .
3) Puntos de corte:
 f(0) = e0 = 1 , el punto de corte con el eje Y es (0, 1).
 La función f(x) no corta al eje X.
4)Crecimiento y decrecimiento:
 La función f(x) es creciente ya que e > 1.
5)Concavidady convexidad:
 Las función f(x) es cóncava.
6)Asíntotas:
 Las función f(x) tiene una asíntota en el eje X.
7)Tabla de valores:
Ejercicios resueltos:
1.
Podemos escribir27 como la potencia 33=2733=27.De este modo,la ecuación queda
como
Tenemos una igualdad entre dos potencias con la misma base. Para que la igualdad
sea cierta, ambas potencias deben tener el mismo exponente:
2.
Escribimos 16 como una potencia de 2:
Podemos reescribir la ecuación como
Por tanto, igualando los exponentes,
Luego la solución de la ecuación exponencial es x=2x=2.
3.
Escribimos 64 como una potencia de 2:
Operamos en la ecuación usando las propiedades de las potencias
Por tanto, obtenemos una ecuación de primer grado:
4.
Aplicando las propiedades de las potencias,
Con lo que podemos reescribir la ecuación como
De este modo podemos extraer factor común de 2x2x:
Es decir, la solución es x=3x=3.
5.
Reescribimos los sumandos de la ecuación:
Luego podemos reescribir la ecuación como
Tal y como está escrita la ecuación, podemos considerar la base común 3x3x. Como
una de estas potencias está al cuadrado, aplicamos el cambio de variable siguiente
Sustituyendo en la ecuación obtenemos
Es decir, una ecuación de segundo grado
Multiplicamos por 9 la ecuación para simplificarla:
Las soluciones de esta ecuación son:
Por tanto, tenemos que
Al deshacer el cambio de variable,
La segunda opción no es posible porque es negativa (las potencias de 3 no pueden
ser negativas). Por tanto, la única solución, xx, de la ecuación exponencial debe
cumplir
De donde obtenemos
Función Logarítmica
Una función logarítmica está formada por un logaritmo de base a, y es de la
forma:
Siendo a un real positivo, a > 0, y diferente de 1, a ≠ 1.
La función logarítmica es la inversa de la función exponencial.
Características:
 Dominio:
El dominio son todos los números reales positivos.
 Recorrido:
El recorrido son todos los números reales.
 Derivada de la función
 logarítmica:
 Las funciones logarítmicas son continuas.
 Si a es mayor que 1 (a > 1), la función es estrictamente creciente.En cambio,
si a es menorque 1 (a < 1), la función es estrictamente decreciente.
 La imagen de 1 siempre es 0 y la imagen de a es 1.
Así pues, las funciones logarítmicas siempre pasan por los puntos (1, 0) y (a, 1).
 La función logarítmica es inyectiva.
Propiedades
Todas las funciones logarítmicas cumplen las siguientes propiedades:
1. Función logarítmica delproducto:
2. Función logarítmica de la división:
3. Función logarítmica delinversomultiplicativo:
4. Función logarítmica de la potencia:
Logaritmos
Sean dos números reales a y b, siendo a ≠ 1. El logaritmo en base a de b es el
elemento al que hay que elevar el número a para dé como resultado el número b.
Por ejemplo,el logaritmo en base 3 de 9 es 2, ya que siendo a = 3 y b = 9, el número
al que hay que elevar 3 para que dé 9 es 2, 32 = 9.
Cuando el logaritmo es en base 10 (a = 10), se llama logaritmo decimal y no se
suele escribir la base: f(x) = log x. También se llaman algoritmos comunes.
Normalmente, cuando no se especifica la base, se entiende como función logarítmica
la que tiene de base el número e (a = e = 2,7182818…). En este caso se
llama logaritmo neperiano (o logaritmo natural) y suele escribirse: f(x) = ln x.
Ejemplo:
Supongamos que tenemos la función logarítmica con a = 2, definida por la función:
La función es continua en todos los números reales positivos.
Como a = 2 > 1, la función es creciente.
Como podemos ver en su gráfica, la función pasa por los puntos (1, 0) y (2, 1).
Ejercicios Resueltos:
1. f es una función dada por
f (x) = log 2 (x + 2)
a. Determine el dominio de f y el rango de f.
b. Encuentra la asíntota vertical de la gráfica de f.
c. Encuentra la X y la intercepta y de la gráfica de f si los hay.
d. Dibuje la gráfica de f.
a - El dominio de f es el conjunto de todos los valores de x tal que
x + 2 > 0
x > -2
El rango de f es el intervalo (-inf, + inf).
b - La asíntota vertical se obtiene mediante la solución de
x + 2 = 0 Lo que da x = -2
Cuando x tiende a -2 de la derecha (x> -2), f (x) decrece sin límite. ¿Cómo sabemos
esto?
Veamos algunos valores:
f (-1) = log 2 (-1 + 2) = log 2 (1) = 0
f (-1,5)= log 2 (-1,5 + 2) = log 2 (1 / 2) = -1
f (-1,99)= log 2 (-1,99 + 2) = log 2 (0.01), que es aproximadamente iguala -6,64
f (-1.999999)= log 2 (-1,999999 + 2)= log 2 (0.000001),que es aproximadamente igual
a -19,93.
c - Para encontrarla intersección x tenemos que resolverla ecuación f(x) = 0
log2 (x + 2) = 0
Usar las propiedades de las funciones logarítmicas y exponenciales para escribirla
ecuación anteriorcomo
x + 2 = 2^0
x = -1
La intersección x es (-1, 0).
La intersección está dada por(0, f (0)) = (0, log 2 (0 + 2)) = (0, 1).
d - Hasta ahora tenemos el dominio,rango,x e intercepta y, y la asíntota
vertical. Necesitamos más puntos. Vamos a considerarun punto en x = -3 / 2 (a medio
camino entre la X y la intersección de la asíntota vertical) y otro punto en x = 2.
f (-3 / 2) = log 2 (-3 / 2 + 2) = log 2 (1 / 2) = log 2 (2 -1) = -1.
f (2)= log 2 (2 + 2) = log 2 (2 2) = 2.
Ahora tenemos más información sobre la forma de gráfico de f. El gráfico aumenta a
medida que aumenta x. Cerca de la asíntota vertical x = -2, la gráfica de f disminuye
sin límite cuando x tiende a -2 de la derecha. La gráfica no corta la asíntota
vertical. Nos unen ahora a los diferentes puntos de una curva suave.
2. f es una función dada por
f (x) = -3ln (x - 4)
a. Determine el dominio de f y el rango de f.
b. Encuentra la asíntota vertical de la gráfica de f.
c. Encuentra la X y la intercepta y de la gráfica de f si los hay.
d. Dibuje la gráfica de f.
a - El dominio de f es el conjunto de todos los valores de x tal que
x - 4 > 0
x > 4
El rango de f es el intervalo (-inf, + inf).
b - La asíntota vertical se obtiene mediante la solución de
x - 4 = 0
x = 4
Cuando x tiende a 4 de la derecha (x> 4), f (x) crece sin límite. ¿Cómo sabemos esto?
Veamos algunos valores:
f (5)= ln (5-4)=-3ln (1) = 0
f (4,001)=-3ln (0,001),que es aproximadamente iguala 20,72.
f (4.000001)=-3ln (0,000001),que es aproximadamente iguala 41,45.
c - Para encontrarla intersección x tenemos que resolverla ecuación f(x) = 0
-3ln(x - 4) = 0
Divide ambos lados por -3 a obtener
ln (x - 4) = 0
Usar las propiedades de las funciones logarítmicas y exponenciales para escribirla
ecuación anteriorcomo
e ln (x - 4) = e 0
Luego de simplificar
x - 4 = 1
x = 5
La x es interceptar en (5, 0).
La intersección está dada por(0, f (0)). f (0) no está definido ya que x = 0 no es un
valor en el dominio de f. No hay ninguna intersección.
d - Hasta ahora tenemos el dominio,rango,x interceptar y la asíntota
vertical. Necesitamos puntos extra para podergráfico de f.
f (4,5)=-3ln (4,5 - 4) aproximadamente iguala 2,08
F (8) =-3ln (8 - 4)aproximadamente iguala - 4,16
f (14)=-3ln (14 - 4) aproximadamente iguala - 6,91
Veamos ahora esbozartodos los puntos y la asíntota vertical. Únete a los puntos por
una curva suave y F aumenta a medida que x se aproxima a 4 de la derecha.
3.
x
1/8 -3
1/4 -2
1/2 -1
4.
x
1/8 3
1/4 2
1 0
2 1
4 2
8 3
1/2 1
1 0
2 −1
4 −2
8 −3
Función Trigonométrica
Una función trigonométricaes aquella que da elvalor de una razón trigonométrica
en función del ángulo.
Las funciones trigonométricas son: sen x , cos x , tg x , cotg x , sec
x , cosec x
Todas las funciones trigonométricas son periódicas.
Las característicasfundamentales de la función seno son las siguientes:
1) Su dominio es R y es continua.
2) Su recorrido es [- 1, 1] ya que - 1 ≤ sen x ≤ 1.
3) Corta al eje X en los puntos k·π con k∈Z.
Corta al eje Y en el punto (0, 0).
4) Es impar, es decir, simétrica respecto al origen.
sen (- x) = - sen (x)
5) Es estrictamente creciente en los intervalos de la forma (a, b) donde a = - π/2 +
2·k·π y b = π/2 + 2·k·π siendo k∈Z.
Es estrictamente decreciente en los intervalos de la forma (a, b) donde a = π/2 +
2·k·π y b = 3π/2 + 2·k·π siendo k∈Z.
6) Tiene infinitos máximos relativos en los puntos de la forma (π/2 + 2·k·π,
1) con k∈Z.
Tiene infinitos mínimos relativos en los puntos de la forma (3π/2 + 2·k·π, - 1)
con k∈Z.
7) Es periódica de periodo 2π.
sen (x) = sen (x + 2π)
La función f(x) = sen (k·x) es periódica de periodo p = 2π/k
Para |k|>1 el periodo disminuye y para 0 < |k| <1 el periodo aumenta.
8) Está acotada superiormente por1 e inferiormente por - 1.
Transformaciones de la función seno
A partir de la gráfica de la función f(x) = sen x pueden dibujarse las de:
1) f(x) = - sen x
La función resultante es simétrica respectoaleje X.
2) f(x) = |sen x|
La función valor absoluto transforma los resultados negativos en positivos.
3) f(x) = k + sen x
La función resultante es una traslación vertical hacía arriba de dos unidades.
4) f(x) = sen (x + k)
La función resultante es una traslación horizontal hacía la izquierda de dos
unidades.
5) f(x) = k·sen x
La función resultante multiplica los resultadosde la función seno dos unidades.
6) f(x) = sen (k·x)
La función resultante contrae a la función original.
Amplitud,periodo y traslación
Amplitud = |2/3| = 2/3
Función coseno
Su gráfica será idéntica a la del seno pero con un desfase de π/2,es decir, se produce
una traslación de π/2 a la izquierda.
Las característicasfundamentales de la función coseno son las siguientes:
1) Su dominio es R y es continua.
2) Su recorrido es [- 1, 1] ya que - 1 ≤ cos x ≤ 1.
3) Corta al eje X en los puntos π/2 + k·π con k∈Z.
Corta al eje Y en el punto (0, 1).
4) Es par, es decir, simétrica respecto al eye Y.
cos (x) = cos (- x)
5) Es estrictamente creciente en los intervalos de la forma (a, b) donde a = - π +
2·k·π y b = 0 + 2·k·π siendo k∈Z.
Es estrictamente decreciente en los intervalos de la forma (a, b) donde a = 0 +
2·k·π y b = π + 2·k·π siendo k∈Z .
6) Tiene infinitos máximos relativos en los puntos de la forma (2·k·π, 1) con k∈Z.
Tiene infinitos mínimos relativos en los puntos de la forma (π + 2·k·π,- 1) con k∈Z.
7) Es periódica de periodo 2π .
cos (x) = cos (x + 2π)
La función f(x) = cos (k·x) es periódica de periodo p = 2π
Para |k|>1 el periodo disminuye y para 0< |k| <1 el periodo aumenta.
8) Está acotada superiormente por1 e inferiormente por - 1.
Amplitud, periodo y traslación
Amplitud = |1/5| = 1/5
Periodo = 2π/|2| = 2π/2 = π
Traslación: 2x + π/2 = 0 ⇒ x = - π/4
2x + π/2 = 2π ⇒ x = 3π/4
Función tangente
Se define la función tangente como la razón entre la función seno y la función
cosecante:
Las característicasfundamentales de la función tangente son las siguientes:
1) Su dominio es R - {π/2 + k·π con k∈Z}.
2) Es discontinua en los puntos π/2 + k·π con k∈Z.
3) Su recorrido es R.
4) Corta al eje X en los puntos k·π con k∈Z.
Corta al eje Y en el punto (0, 0).
5) Es impar, es decir, simétrica respecto al origen.
tg (- x) = - tg (x)
6) Es estrictamente creciente en todo su dominio.
7) No tiene máximos ni mínimos.
8) Es periódica de periodo π.
tg (x) = tg (x + π)
La función f(x) = tg (k·x) es periódica de periodo p = π/k
Para |k|>1 el periodo disminuye y para 0< |k| <1 el periodo aumenta.
9) Las rectas y = π/2 + k·π con k∈Z son asíntotas verticales.
10)No está acotada.
N.D. : No Definida
Periodo, traslación y asíntotas verticales
f(x) = cotg x
Función inversa
Sea una función f de dominio Dom(f); si f es inyectiva, entonces f tiene función
inversa, que expresamos por f -1, y que está definida por:
Observa que para la función inversa se cumple que:
Dom(f-1) = Im(f) y que Im(f-1) = Dom(f)
Una función y su inversa verifican las siguientespropiedades:
• f[f -1(x)] = f-1[f(x)] = x
• Las gráficas de f y de f -1, referidas al mismo sistema de coordenadas, son
simétricas respecto de la bisectriz del primer cuadrante.
Hallar la inversa de una función f(x)
Para hallarla inversa de una función f debemos seguirlos siguientes pasos:
1. Versi f es inyectiva.
2. Despejarla variable x de la ecuación: y = f(x)
3. Intercambiar las variables x e y para obtener f-1(x)
Ejemplo de hallar la inversa de una función
Dada una función f,vamos a hallar su función inversa:
a) f(x) = 3x + 2
Primero vemos si es inyectiva:
f(x1) = f(x2) ⇒ 3x1 + 2= 3x2 + 2 ⇒ 3x1 = 3x2 ⇒ x1 =
x2
Luego síes inyectiva.
En segundo lugar,despejamosla variable x de la ecuación: y = f(x)
Por último, intercambiamos las variables:
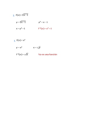
b) f(x) = x2
Esta función no es inyectiva: f(-2) = f(2) = 4 , dos elementos distintos tienen la
misma imagen.
Para valores reales positivos de la función podemos obtenersu inversa:
f(x) = y ⇔ x2 = y ⇔ x = +√y ⇔ y = +√x ⇔ f-1(x) = +√x
La función inversa presenta restricciones:
Las funciones f(x) = x2 y f(x) = +√x son funciones inversa sólo si las consideramos en
el intervalo [0, ∞)
Si no hubiésemos puesto la condición x > 0 tendríamos que la inversa de f(x) = x2
sería f-1 = ± √x, que no es función.
Imagen inversa de un número
Para todo y0 del recorrido de la función f (Im(f)), su imagen inversaf-1(y0), es el
conjunto de los números x del dominio de f (Dom(f)) que se transforman en y0.
f-1(y0) = { x ∈ R / f(x) = y0 }
Para hallar f-1(y0) se resuelve la ecuación f(x) = y0.
También podemos determinar f-1(y0) gráficamente trazando la recta horizontal y =
y0. Las abscisas correspondientes a los puntos de corte de dicha recta con la gráfica
de f(x) forman la imagen inversa de y0.
Ejemplo de imagen inversa de un número
Vamos a calcular la imagen inversa de 4 y 1 de la función: f(x) = x2
f-1(4) = { x ∈ R / f(x) = 4 } = { x ∈ R / x2 = 4 } = { -2 , 2}
f-1(1) = { x ∈ R / f(x) = 1 } = { x ∈ R / x2 = 1 } = { -1 , 1}
Para hallarlas imágenes inversas trazamos las rectas: y = 4 , y = 1
Las abscisas correspondientes a los puntos de corte de ambas rectas con la gráfica:
f(x) = x2 forman la imagen inversa de 4 y 1, respectivamente.
1.
Vamos a comprobar el resultado para x = 2
2.
3.
Calculo 2

Calculo 2

  • 1.
    Funciones polinómicas: Las funcionespolinómicas son,como su nombre lo dice,funciones que constan de un polinomio. En donde n es un entero positivo, llamado, grado delpolinomio.Resulta evidente, que el coeficiente delgrado mayor, no puede sercero,o sea,a tiene que serdiferente de cero,para que el grado delpolinomio se n. Cualquiera de los otros coeficientes puede ser cero. Ejemplos de funciones polinómicas son: , la cuales de grado 3,ya que el exponente mayores 3. , que es una función polinómica de grado 2,o sea cuadrática,cuya gráfica es una parábola. , que es de grado 6, ya que multiplicando todos los paréntesis,nos daría como mayor exponente el6. Esta función se grafica más adelante,para hacernotar, que las intersecciones con los ejes y la factorización de la función polinomialtienen una estrecha relación. La gráfica de las funciones polinómicas dependedelgrado de la función. Las funciones polinómicas de ciertos grados tienen ciertas alternativas de gráfica. Queda a este curso de derivadas averiguaralgunas de las características de las funciones para poderpredecirsu comportamiento. Muchas veces a partir de la gráfica de un polinomio se puede deducirla ecuación de la función. Esto se puede hacera partir de las intersecciones con los ejes.(Conste que comenté,que muchas veces,NO SIEMPRE). Una función polinómica con el más alto número de intersecciones con eleje "x" permisible,es aquella que se puede determinarsu gráfica y su ecuación. Una función de, porejemplo,tercer grado puede tenercomo máximo 3 intersecciones con el eje "x". Una función de sexto grado puede tenercomo máximo 6 intersecciones con eleje "x".
  • 2.
    Cabe aclarar,que lasfunciones polinómicas,aunqueno conozcamos ahora los términos específicos, son funciones continuas,sin asíntotas verticales, ni horizontales, que según elgrado pueden presentarmáximos,mínimos y puntos de inflexión. Suponiendo que la función que se nos presenta es de tercer grado,y sus intersecciones están en x = 2, x = -1 y en x = - 3; la ecuación de la función es f(x) = (x-2)(x+1)(x+3) Debe quedarclaro,que se tiene que conocerelgrado de la función polinómica,ya que sin éste, las conclusiones quese puedan sacarpuedenestas equivocadas. Tenemos una función polinómica de grado 6,que sus intersecciones se encuentran en x = 1, x = 2, x = -1, x = 3, x = -2 y en x = 0; por lo tanto la función es: f(x) = (x-1)(x-2)(x+1)(x-3)(x+2)(x) Características generales: 1) El dominio de definición es el conjunto de los números reales (R). 2) Son siempre continuas. 3) No tienen asíntotas. 4) Cortan al eje X, como máximo,un número de veces igualque el grado del polinomio. 5) Cortan el eje Y en el punto (0, a0). 6) El número de máximos y mínimos relativos es, a lo sumo,igualal grado del polinomio menos uno. 7) El número de puntos de inflexión es, a lo sumo,igualal grado delpolinomio menos dos.
  • 3.
    Funciones polinómicasde grado0: rectashorizontales Funciones polinómicasde primer grado: rectas oblicuas Funciones polinómicasde segundo grado: parábolas
  • 4.
  • 5.
  • 6.
  • 7.
  • 8.
  • 9.
  • 10.
    Solución: Solución: Comparación mediante grafica 4.Calculareldominiodelasfuncioneslogarítmicasygrafique
  • 11.
  • 12.
  • 13.
    Comparación de lasfunciones mediante grafica Funciones exponenciales Son las funciones que tienen la variable independiente x en el exponente,es decir, son de la forma: Características generales:
  • 14.
    1) El dominiode una función exponenciales R. 2) Su recorrido es (0, +∞). 3) Son funciones continuas. 4) Como a0 = 1, la función siempre pasa porel punto (0, 1). La función corta el eje Y en el punto (0, 1) y no corta el eje X. 5) Como a1 = a, la función siempre pasa porel punto (1, a). 6) Si a > 1 la función es creciente. Si 0 < a < 1 la función es decreciente. 7) Son siempre cóncavas. 8) El eje X es una asíntota horizontal.  Si a > 1 : Al elevar un número mayorque 1 a cantidades negativas cada vez más grandes,elvalor de la potencia se acerca a cero,portanto : Cuando x → - ∞ , entonces ax → 0  Si 0 < a < 1 : Ocurre lo contrario que en el caso anterior : Cuando x → + ∞ , entonces ax → 0
  • 15.
    Ejemplo de funcionesexponenciales: 1) Dominio: El dominio de las funciones exponenciales es R.  Dom(f) = Dom(g) = R . 2)Recorrido: El recorrido de las funciones exponenciales es (0, + ∞).  Im(f) = Im(g) = (0, + ∞) . 3)Puntos de corte:  f(0) = 20 = 1 , el punto de corte con el eje Y es (0, 1).  g(0)= - 20 = 1 , el punto de corte con el eje Y es (0, 1).  La funciones f(x) y g(x) no cortan al eje X. 4)Crecimiento y decrecimiento:  La función f(x) es creciente ya que a > 1.  La función g(x) es decreciente ya que 0 < a < 1. 5)Concavidady convexidad: Las funciones f(x) y g(x) son cóncavas. 6)Asíntotas:  Las funciones f(x) y g(x) tienen una asíntota en el eje X. 7)Tabla de valores:
  • 16.
    Resumen de laspropiedades de la función exponencial ex 1 La función exponenciales la inversa de la logarítmica: y = ex ⇔ x = Ln y
  • 17.
    2 La funcióny = ex tiene por dominio R y por recorrido y > 0 3 La función y = ex es continua, creciente e inyectiva en todo su dominio. 4 La función y = ex es cóncava hacia arriba en todo su dominio. 5 Ejemplo de funciones exponenciales: f(x) = ex 1) Dominio: El dominio de las funciones exponenciales es R.  Dom(f) = R . 2)Recorrido: El recorrido de las funciones exponenciales es (0, + ∞).  Im(f) = (0, + ∞) . 3) Puntos de corte:  f(0) = e0 = 1 , el punto de corte con el eje Y es (0, 1).  La función f(x) no corta al eje X. 4)Crecimiento y decrecimiento:  La función f(x) es creciente ya que e > 1. 5)Concavidady convexidad:  Las función f(x) es cóncava.
  • 18.
    6)Asíntotas:  Las funciónf(x) tiene una asíntota en el eje X. 7)Tabla de valores: Ejercicios resueltos: 1.
  • 19.
    Podemos escribir27 comola potencia 33=2733=27.De este modo,la ecuación queda como Tenemos una igualdad entre dos potencias con la misma base. Para que la igualdad sea cierta, ambas potencias deben tener el mismo exponente: 2. Escribimos 16 como una potencia de 2: Podemos reescribir la ecuación como Por tanto, igualando los exponentes, Luego la solución de la ecuación exponencial es x=2x=2. 3. Escribimos 64 como una potencia de 2: Operamos en la ecuación usando las propiedades de las potencias
  • 20.
    Por tanto, obtenemosuna ecuación de primer grado: 4. Aplicando las propiedades de las potencias, Con lo que podemos reescribir la ecuación como De este modo podemos extraer factor común de 2x2x: Es decir, la solución es x=3x=3.
  • 21.
    5. Reescribimos los sumandosde la ecuación: Luego podemos reescribir la ecuación como Tal y como está escrita la ecuación, podemos considerar la base común 3x3x. Como una de estas potencias está al cuadrado, aplicamos el cambio de variable siguiente Sustituyendo en la ecuación obtenemos Es decir, una ecuación de segundo grado Multiplicamos por 9 la ecuación para simplificarla: Las soluciones de esta ecuación son:
  • 22.
    Por tanto, tenemosque Al deshacer el cambio de variable, La segunda opción no es posible porque es negativa (las potencias de 3 no pueden ser negativas). Por tanto, la única solución, xx, de la ecuación exponencial debe cumplir De donde obtenemos Función Logarítmica Una función logarítmica está formada por un logaritmo de base a, y es de la forma: Siendo a un real positivo, a > 0, y diferente de 1, a ≠ 1.
  • 23.
    La función logarítmicaes la inversa de la función exponencial. Características:  Dominio: El dominio son todos los números reales positivos.  Recorrido: El recorrido son todos los números reales.  Derivada de la función  logarítmica:  Las funciones logarítmicas son continuas.  Si a es mayor que 1 (a > 1), la función es estrictamente creciente.En cambio, si a es menorque 1 (a < 1), la función es estrictamente decreciente.
  • 24.
     La imagende 1 siempre es 0 y la imagen de a es 1. Así pues, las funciones logarítmicas siempre pasan por los puntos (1, 0) y (a, 1).  La función logarítmica es inyectiva.
  • 25.
    Propiedades Todas las funcioneslogarítmicas cumplen las siguientes propiedades: 1. Función logarítmica delproducto: 2. Función logarítmica de la división: 3. Función logarítmica delinversomultiplicativo: 4. Función logarítmica de la potencia: Logaritmos Sean dos números reales a y b, siendo a ≠ 1. El logaritmo en base a de b es el elemento al que hay que elevar el número a para dé como resultado el número b. Por ejemplo,el logaritmo en base 3 de 9 es 2, ya que siendo a = 3 y b = 9, el número al que hay que elevar 3 para que dé 9 es 2, 32 = 9. Cuando el logaritmo es en base 10 (a = 10), se llama logaritmo decimal y no se suele escribir la base: f(x) = log x. También se llaman algoritmos comunes. Normalmente, cuando no se especifica la base, se entiende como función logarítmica la que tiene de base el número e (a = e = 2,7182818…). En este caso se llama logaritmo neperiano (o logaritmo natural) y suele escribirse: f(x) = ln x. Ejemplo: Supongamos que tenemos la función logarítmica con a = 2, definida por la función:
  • 26.
    La función escontinua en todos los números reales positivos. Como a = 2 > 1, la función es creciente. Como podemos ver en su gráfica, la función pasa por los puntos (1, 0) y (2, 1). Ejercicios Resueltos: 1. f es una función dada por f (x) = log 2 (x + 2) a. Determine el dominio de f y el rango de f. b. Encuentra la asíntota vertical de la gráfica de f. c. Encuentra la X y la intercepta y de la gráfica de f si los hay. d. Dibuje la gráfica de f. a - El dominio de f es el conjunto de todos los valores de x tal que x + 2 > 0 x > -2 El rango de f es el intervalo (-inf, + inf). b - La asíntota vertical se obtiene mediante la solución de x + 2 = 0 Lo que da x = -2
  • 27.
    Cuando x tiendea -2 de la derecha (x> -2), f (x) decrece sin límite. ¿Cómo sabemos esto? Veamos algunos valores: f (-1) = log 2 (-1 + 2) = log 2 (1) = 0 f (-1,5)= log 2 (-1,5 + 2) = log 2 (1 / 2) = -1 f (-1,99)= log 2 (-1,99 + 2) = log 2 (0.01), que es aproximadamente iguala -6,64 f (-1.999999)= log 2 (-1,999999 + 2)= log 2 (0.000001),que es aproximadamente igual a -19,93. c - Para encontrarla intersección x tenemos que resolverla ecuación f(x) = 0 log2 (x + 2) = 0 Usar las propiedades de las funciones logarítmicas y exponenciales para escribirla ecuación anteriorcomo x + 2 = 2^0 x = -1 La intersección x es (-1, 0). La intersección está dada por(0, f (0)) = (0, log 2 (0 + 2)) = (0, 1). d - Hasta ahora tenemos el dominio,rango,x e intercepta y, y la asíntota vertical. Necesitamos más puntos. Vamos a considerarun punto en x = -3 / 2 (a medio camino entre la X y la intersección de la asíntota vertical) y otro punto en x = 2. f (-3 / 2) = log 2 (-3 / 2 + 2) = log 2 (1 / 2) = log 2 (2 -1) = -1. f (2)= log 2 (2 + 2) = log 2 (2 2) = 2. Ahora tenemos más información sobre la forma de gráfico de f. El gráfico aumenta a medida que aumenta x. Cerca de la asíntota vertical x = -2, la gráfica de f disminuye sin límite cuando x tiende a -2 de la derecha. La gráfica no corta la asíntota vertical. Nos unen ahora a los diferentes puntos de una curva suave.
  • 28.
    2. f esuna función dada por f (x) = -3ln (x - 4) a. Determine el dominio de f y el rango de f. b. Encuentra la asíntota vertical de la gráfica de f. c. Encuentra la X y la intercepta y de la gráfica de f si los hay. d. Dibuje la gráfica de f. a - El dominio de f es el conjunto de todos los valores de x tal que x - 4 > 0 x > 4 El rango de f es el intervalo (-inf, + inf). b - La asíntota vertical se obtiene mediante la solución de x - 4 = 0 x = 4
  • 29.
    Cuando x tiendea 4 de la derecha (x> 4), f (x) crece sin límite. ¿Cómo sabemos esto? Veamos algunos valores: f (5)= ln (5-4)=-3ln (1) = 0 f (4,001)=-3ln (0,001),que es aproximadamente iguala 20,72. f (4.000001)=-3ln (0,000001),que es aproximadamente iguala 41,45. c - Para encontrarla intersección x tenemos que resolverla ecuación f(x) = 0 -3ln(x - 4) = 0 Divide ambos lados por -3 a obtener ln (x - 4) = 0 Usar las propiedades de las funciones logarítmicas y exponenciales para escribirla ecuación anteriorcomo e ln (x - 4) = e 0 Luego de simplificar x - 4 = 1 x = 5 La x es interceptar en (5, 0). La intersección está dada por(0, f (0)). f (0) no está definido ya que x = 0 no es un valor en el dominio de f. No hay ninguna intersección. d - Hasta ahora tenemos el dominio,rango,x interceptar y la asíntota vertical. Necesitamos puntos extra para podergráfico de f. f (4,5)=-3ln (4,5 - 4) aproximadamente iguala 2,08 F (8) =-3ln (8 - 4)aproximadamente iguala - 4,16 f (14)=-3ln (14 - 4) aproximadamente iguala - 6,91
  • 30.
    Veamos ahora esbozartodoslos puntos y la asíntota vertical. Únete a los puntos por una curva suave y F aumenta a medida que x se aproxima a 4 de la derecha. 3. x 1/8 -3 1/4 -2 1/2 -1
  • 31.
    4. x 1/8 3 1/4 2 10 2 1 4 2 8 3
  • 32.
    1/2 1 1 0 2−1 4 −2 8 −3 Función Trigonométrica Una función trigonométricaes aquella que da elvalor de una razón trigonométrica en función del ángulo. Las funciones trigonométricas son: sen x , cos x , tg x , cotg x , sec x , cosec x Todas las funciones trigonométricas son periódicas.
  • 33.
    Las característicasfundamentales dela función seno son las siguientes: 1) Su dominio es R y es continua. 2) Su recorrido es [- 1, 1] ya que - 1 ≤ sen x ≤ 1. 3) Corta al eje X en los puntos k·π con k∈Z. Corta al eje Y en el punto (0, 0). 4) Es impar, es decir, simétrica respecto al origen. sen (- x) = - sen (x) 5) Es estrictamente creciente en los intervalos de la forma (a, b) donde a = - π/2 + 2·k·π y b = π/2 + 2·k·π siendo k∈Z. Es estrictamente decreciente en los intervalos de la forma (a, b) donde a = π/2 + 2·k·π y b = 3π/2 + 2·k·π siendo k∈Z. 6) Tiene infinitos máximos relativos en los puntos de la forma (π/2 + 2·k·π, 1) con k∈Z. Tiene infinitos mínimos relativos en los puntos de la forma (3π/2 + 2·k·π, - 1) con k∈Z. 7) Es periódica de periodo 2π. sen (x) = sen (x + 2π) La función f(x) = sen (k·x) es periódica de periodo p = 2π/k Para |k|>1 el periodo disminuye y para 0 < |k| <1 el periodo aumenta. 8) Está acotada superiormente por1 e inferiormente por - 1.
  • 34.
    Transformaciones de lafunción seno A partir de la gráfica de la función f(x) = sen x pueden dibujarse las de: 1) f(x) = - sen x La función resultante es simétrica respectoaleje X.
  • 35.
    2) f(x) =|sen x| La función valor absoluto transforma los resultados negativos en positivos. 3) f(x) = k + sen x La función resultante es una traslación vertical hacía arriba de dos unidades. 4) f(x) = sen (x + k)
  • 36.
    La función resultantees una traslación horizontal hacía la izquierda de dos unidades. 5) f(x) = k·sen x La función resultante multiplica los resultadosde la función seno dos unidades. 6) f(x) = sen (k·x) La función resultante contrae a la función original.
  • 37.
  • 38.
    Función coseno Su gráficaserá idéntica a la del seno pero con un desfase de π/2,es decir, se produce una traslación de π/2 a la izquierda. Las característicasfundamentales de la función coseno son las siguientes: 1) Su dominio es R y es continua. 2) Su recorrido es [- 1, 1] ya que - 1 ≤ cos x ≤ 1. 3) Corta al eje X en los puntos π/2 + k·π con k∈Z. Corta al eje Y en el punto (0, 1). 4) Es par, es decir, simétrica respecto al eye Y. cos (x) = cos (- x) 5) Es estrictamente creciente en los intervalos de la forma (a, b) donde a = - π + 2·k·π y b = 0 + 2·k·π siendo k∈Z. Es estrictamente decreciente en los intervalos de la forma (a, b) donde a = 0 + 2·k·π y b = π + 2·k·π siendo k∈Z . 6) Tiene infinitos máximos relativos en los puntos de la forma (2·k·π, 1) con k∈Z. Tiene infinitos mínimos relativos en los puntos de la forma (π + 2·k·π,- 1) con k∈Z. 7) Es periódica de periodo 2π . cos (x) = cos (x + 2π) La función f(x) = cos (k·x) es periódica de periodo p = 2π Para |k|>1 el periodo disminuye y para 0< |k| <1 el periodo aumenta. 8) Está acotada superiormente por1 e inferiormente por - 1.
  • 39.
    Amplitud, periodo ytraslación Amplitud = |1/5| = 1/5 Periodo = 2π/|2| = 2π/2 = π Traslación: 2x + π/2 = 0 ⇒ x = - π/4 2x + π/2 = 2π ⇒ x = 3π/4
  • 40.
    Función tangente Se definela función tangente como la razón entre la función seno y la función cosecante: Las característicasfundamentales de la función tangente son las siguientes: 1) Su dominio es R - {π/2 + k·π con k∈Z}. 2) Es discontinua en los puntos π/2 + k·π con k∈Z. 3) Su recorrido es R. 4) Corta al eje X en los puntos k·π con k∈Z. Corta al eje Y en el punto (0, 0). 5) Es impar, es decir, simétrica respecto al origen. tg (- x) = - tg (x) 6) Es estrictamente creciente en todo su dominio. 7) No tiene máximos ni mínimos. 8) Es periódica de periodo π. tg (x) = tg (x + π)
  • 41.
    La función f(x)= tg (k·x) es periódica de periodo p = π/k Para |k|>1 el periodo disminuye y para 0< |k| <1 el periodo aumenta. 9) Las rectas y = π/2 + k·π con k∈Z son asíntotas verticales. 10)No está acotada. N.D. : No Definida
  • 42.
    Periodo, traslación yasíntotas verticales
  • 43.
    f(x) = cotgx Función inversa Sea una función f de dominio Dom(f); si f es inyectiva, entonces f tiene función inversa, que expresamos por f -1, y que está definida por: Observa que para la función inversa se cumple que: Dom(f-1) = Im(f) y que Im(f-1) = Dom(f)
  • 44.
    Una función ysu inversa verifican las siguientespropiedades: • f[f -1(x)] = f-1[f(x)] = x • Las gráficas de f y de f -1, referidas al mismo sistema de coordenadas, son simétricas respecto de la bisectriz del primer cuadrante. Hallar la inversa de una función f(x) Para hallarla inversa de una función f debemos seguirlos siguientes pasos: 1. Versi f es inyectiva. 2. Despejarla variable x de la ecuación: y = f(x) 3. Intercambiar las variables x e y para obtener f-1(x) Ejemplo de hallar la inversa de una función Dada una función f,vamos a hallar su función inversa: a) f(x) = 3x + 2 Primero vemos si es inyectiva: f(x1) = f(x2) ⇒ 3x1 + 2= 3x2 + 2 ⇒ 3x1 = 3x2 ⇒ x1 = x2 Luego síes inyectiva.
  • 45.
    En segundo lugar,despejamoslavariable x de la ecuación: y = f(x) Por último, intercambiamos las variables: b) f(x) = x2 Esta función no es inyectiva: f(-2) = f(2) = 4 , dos elementos distintos tienen la misma imagen. Para valores reales positivos de la función podemos obtenersu inversa:
  • 46.
    f(x) = y⇔ x2 = y ⇔ x = +√y ⇔ y = +√x ⇔ f-1(x) = +√x La función inversa presenta restricciones: Las funciones f(x) = x2 y f(x) = +√x son funciones inversa sólo si las consideramos en el intervalo [0, ∞) Si no hubiésemos puesto la condición x > 0 tendríamos que la inversa de f(x) = x2 sería f-1 = ± √x, que no es función.
  • 47.
    Imagen inversa deun número Para todo y0 del recorrido de la función f (Im(f)), su imagen inversaf-1(y0), es el conjunto de los números x del dominio de f (Dom(f)) que se transforman en y0. f-1(y0) = { x ∈ R / f(x) = y0 } Para hallar f-1(y0) se resuelve la ecuación f(x) = y0. También podemos determinar f-1(y0) gráficamente trazando la recta horizontal y = y0. Las abscisas correspondientes a los puntos de corte de dicha recta con la gráfica de f(x) forman la imagen inversa de y0. Ejemplo de imagen inversa de un número Vamos a calcular la imagen inversa de 4 y 1 de la función: f(x) = x2 f-1(4) = { x ∈ R / f(x) = 4 } = { x ∈ R / x2 = 4 } = { -2 , 2} f-1(1) = { x ∈ R / f(x) = 1 } = { x ∈ R / x2 = 1 } = { -1 , 1} Para hallarlas imágenes inversas trazamos las rectas: y = 4 , y = 1 Las abscisas correspondientes a los puntos de corte de ambas rectas con la gráfica: f(x) = x2 forman la imagen inversa de 4 y 1, respectivamente.
  • 48.
    1. Vamos a comprobarel resultado para x = 2
  • 49.