SESIÓN DE APRENDIZAJE Nº 1
DIA LUNES (PRIMERA SEMANA)
SEGUNDO GRADO
ACTIVIDAD SIGNIFICATIVA: “REGRESAMOS CON ALEGRÍA A
NUESTRA INSTITUCIÓN EDUCATIVA”
ESTRATEGIAS
MEDIOS
MATERIALES
• La maestra inicia el año escolar dando la bienvenida a
los niños y niñas, presentándose.
• Se invita a los niños y niñas a presentarse en forma
espontánea, dando sus nombres y apellidos
• La maestra hace una presentación especial de los
niños que se están integrando al grupo en el presente
año, señalando de que institución proceden.
• Se presenta en un papelote la letra de la canción:
“LA VUELTA A LA ESCUELA”
Cual bandada de palomas
Que regresan del vergel
Ya volvemos a la escuela
Anhelantes del saber.
Ellas vuelven tras el grano
Que las ha de sustentar
Y nosotros tras la idea
Que es el grano intelectual.
• La maestra entona la canción y luego lo hace en
forma conjunta.
• Los niños y niñas analizan el mensaje de la canción.
• Iniciamos un diálogo con los niños y niñas sobre
sus diferentes experiencias vívidas durante sus
vacaciones, preguntando:
¿Cómo pasaron sus vacaciones?
¿Qué lugares visitaron?
¿Qué es lo que más te gustó? ¿Por qué?
Libro de
Comunicación
Integral del
MED pág. 5
al 11
1
ESTRATEGIAS
MEDIOS
MATERIALES
¿Cómo se sienten retornar a la escuela?
• La maestra entrega el libro de Comunicación
Integral, pide que los niños(as) observen la pág. 5.
• Comentan sobre lo que observan
conjeturando el contenido de la lectura.
• La maestra lee el contenido del texto.
• En forma coral leemos la lectura; por párrafo
formulando preguntas durante la lectura.
• La maestra invita a los niños (as) a que
produzcan un texto sobre sus vacaciones, dándoles
las recomendaciones necesarias.
• Individualmente trabajan su texto sobre sus
vacaciones,
• Presentan sus producciones pegándolos en la
pizarra.
• Luego seleccionamos diez textos para leerlos
y corregir errores.
• Los niños (as) transcriben sus producciones
en el cuaderno de Comunicación Integral.
E. X A.
• Dibujar y colorear lo más agradable de sus
vacaciones.
2
SESIÓN DE APRENDIZAJE Nº 2
DIA MARTES (PRIMERA SEMANA)
SEGUNDO GRADO
ACTIVIDAD SIGNIFICATIVA: “REGRESAMOS CON ALEGRÍA A
NUESTRA INSTITUCIÓN EDUCATIVA”
ESTRATEGIAS
MEDIOS
MATERIALES
• Actividades permanentes.
• La maestra formula las siguientes preguntas:
¿Qué trabajamos el día de ayer?
¿Cuál es el nombre de la lectura que leímos?
¿De qué se trataba?
¿Qué personajes intervienen en la lectura?
• La maestra anota en la pizarra las respuestas dadas
por los niños y niñas.
• Se le hace entrega de los cuadernos de Comunicación
Integral para trabajar con orientación de la maestra.
L.M.
• La maestra indica a los niños y niñas que coloquen
sobre su escritorio los cuadernos de trabajo agrupando
de 5 en 5.
• Se menciona los nombres de los niños (as) que
integran cada grupo de libros.
• La maestra entrega una tarjeta para que escriban los
nombres de los integrantes del grupo.
• Pegan las tarjetas en la pizarra, respetando el orden
de presentación.
• La maestra encierra en un círculo cada una de las
tarjetas, asignándoles una letra para cada grupo.
Libro de
Lógico
Matemático del
MED pág. 8
al 11
3
ESTRATEGIAS
MEDIOS
MATERIALES
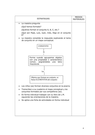
• La maestra pregunta
¿Qué hemos formado?
¿Quiénes forman el conjunto A, B, C, etc.?
¿Qué son Pepe, Luís, Juan, Inés, Olga en el conjunto
A?
• La maestra consolida la respuesta explicando el tema
de conjunto en un mapa conceptual.
los
• Los niños (as) forman diversos conjuntos en la pizarra.
• Transcriben a su cuaderno el mapa conceptual y los
conjuntos formados por sus compañeros (as).
• En forma individual trabajan con su libro de L.M.
siguiendo las orientaciones de la maestra.
• Se aplica una ficha de actividades en forma individual
4
CONJUNTO
Forma cuando agrupamos objetos
con una propiedad o característica
común, asignándoles una letra
mayúscula
Objetos que forman un conjunto, se
llama ELEMENTOS del conjunto
se
ESTRATEGIAS
MEDIOS
MATERIALES
¡DEMUESTRO LO QUE APRENDÍ!
NOMBRE:
FECHA:
I. Forma dos conjuntos de nombres de personas con
tres elementos.
II. Crea tres conjuntos con:
 Nombres de personas
 Apellidos de tus compañeros(as)
 Nombre de ciudades
¡GRACIAS!
5
ESTRATEGIAS
MEDIOS
MATERIALES
 La maestra plantea ejercicios para la casa.
 Forma conjunto de figuras geométricas.
 Forma conjunto de vocales mayúsculas.
 Forma conjunto de las cinco primeras letras
del abecedario.
 Forma conjunto de las letras de la palabra
“vacaciones”
6
SESIÓN DE APRENDIZAJE Nº 3
DIA MIÉRCOLES (PRIMERA SEMANA)
SEGUNDO GRADO
ACTIVIDAD SIGNIFICATIVA: “REGRESAMOS CON ALEGRÍA A
NUESTRA INSTITUCIÓN EDUCATIVA”
ESTRATEGIAS
MEDIOS
MATERIALES
• Actividades permanentes.
• La maestra indica a los niños (as) que presenten sus
cuadernos de L.M. para revisar la tarea dejada el día
anterior.
• La maestra invita a un niño o niña de otra aula a que
ingrese.
• Se formula las siguientes interrogantes:
¿El niño o niña pertenece a nuestra aula?
¿Inés pertenece a nuestra aula?
• La maestra expresa que el día de ayer trabajaron en
casa ejercicios de conjunto, comprobaremos si lo
hicieron bien.
► CONJUNTO DE FIGURAS GEOMÉTRICAS.
Libro de
Lógico
Matemático del
MED pág. 12
al 13
7
A
ESTRATEGIAS
MEDIOS
MATERIALES
► CONJUNTO DE VOCALES MAYÚSCULAS
► CONJUNTO DE LAS CINCO PRIMERAS LETRAS
DEL ABECEDARIO.
► FORMA CONJUNTO DE LAS LETRAS DE LA
PALABRA “VACACIONES”
8
.A .I
.E .U
.O
R
M
.A .B .C
.D .E
.V .A .S
.C .I
.O .N
.E
B
ESTRATEGIAS
MEDIOS
MATERIALES
• La maestra explica a los niños y niñas que en un
conjunto no se puede repetir los elementos.
• Con los conjuntos trabajados determinaremos la
pertenencia de los elementos de conjuntos dados.
• La maestra explica sobre los elementos que
pertenecen o no pertenecen a un conjunto.
en
• Teniendo en cuenta los conjuntos anteriores
explicamos el uso de los signos de pertenencia y no
pertenencia.
► CONJUNTO DE FIGURAS GEOMÉTRICAS
€ A € A
€ A € A
9
PERTENECE O NO PERTENECE
Matemáticas el signo €
significa “pertenece” y el
signo ∋ significa “no
pertenece”
A
ESTRATEGIAS
MEDIOS
MATERIALES
► CONJUNTO DE LAS CINCO PRIMERAS LETRAS
DEL ABECEDARIO.
R S F
A € M R ∉ M
B € M S ∉ M
C € M F ∉ M
D € M
E € M
• La maestra indica a los niños y niñas a que trabajen
con el libro de L.M. en forma individual.
• Canjean sus libros entre si para realizar la
coevaluación.
• Se aplica una ficha para reforzar lo aprendido.
APLICO LO APRENDIDO
NOMBRE:
FECHA:
I. Dado el conjunto A identifica los elementos que
pertenecen (€) y no pertenecen (∉)
10
M
.A .B .C
.D .E
ESTRATEGIAS
MEDIOS
MATERIALES
11
A
A
A
A
A
A
A
A
A
A
ESTRATEGIAS
MEDIOS
MATERIALES
II. Dado el conjunto P identifica elementos que
pertenecen (€) y no pertenecen (∉)
ojo
mano
Cabeza
ojo
tronco
mano
extremidades
• La maestra pregunta a los niños (as):
¿Quién recuerda que elementos tiene el conjunto “P”?
¿La cabeza tronco y extremidades que forman?
12
. cabeza
. tronco
.extremidades P
A
P
P
P
P
P
ESTRATEGIAS
MEDIOS
MATERIALES
• Se presenta en un papelote la letra de una canción “La
gente que alaba al Señor”
• Se entona la canción moviendo nuestro cuerpo.
• Iniciamos un diálogo con los niños y niñas rescatando
sus ideas, formulando las siguientes preguntas:
¿De qué trata la letra de la canción?
¿La cabeza, el tronco, brazos y piernas son parte del?
¿Qué función realizan?
• La maestra invita a los niños (as) a leer el texto de C y
A.
• Dialogan sobre las partes del cuerpo humano.
• Con ayuda de los niños (as) la maestra elaboran un
mapa conceptual sobre el cuerpo humano.
• Los niños (as) trabajan en su cuaderno el mapa
conceptual.
• La maestra entrega a cada niño (a) una ficha de
actividades para que identifiquen las partes del cuerpo
humano y colorea (Anexo 1)
13
Esta es la gente que alaba al señor (bis)
esta es la gente que tiene gozo
que tiene fe y alaba al señor,
cabeza arriba, cabeza abajo
moviendo de lado a lado (bis)
tronco, brazos, piernas.
SESIÓN DE APRENDIZAJE Nº 4
DIA JUEVES (PRIMERA SEMANA)
SEGUNDO GRADO
ACTIVIDAD SIGNIFICATIVA: “REGRESAMOS CON ALEGRÍA A
NUESTRA INSTITUCIÓN EDUCATIVA”
ESTRATEGIAS
MEDIOS
MATERIALES
• Actividades permanentes.
• La maestra propone a los niños y niñas participar en la
dinámica “Ritmo a gogo”
• Formados en grupos y por turnos realizarán el juego
según la consigna dada: “Ritmo a gogo diga usted
nombres de personas, ciudades, frutas etc.”
• Conversan sobre el juego:
¿En qué consiste?
¿Se divirtieron?
¿Por qué?
¿Saben como se escriben los nombres de persona,
animales y lugares?
¿Saben cómo se llaman las letras con las que se
escriben?
• La maestra anota las respuestas dadas por los niños y
niñas y les da a conocer el tema sobre el uso de la
mayúscula.
• Se le entrega una ficha de actividades para que
identifiquen la otra mayúscula.
Papel bond y
carteles
14
ESTRATEGIAS
MEDIOS
MATERIALES
Subraya las letras mayúsculas que encuentres en el
texto.
Muy niño José fue llevado a la sierra, criándose en el
campo hasta los seis años. Luego regresó a Ica a un
pueblo Joven de San Juan.
Marca la alternativa correcta.
1. Las letras mayúsculas que encontré son:
I M J S
2. Encontré la mayúscula:
Al empezar las oraciones
Al terminar las oraciones
En el nombre de Ica
Después de un punto
• La maestra consolida el concepto sobre el uso de las
mayúsculas.
De un punto
15
ESTRATEGIAS
MEDIOS
MATERIALES
ESCRIBIREMOS CON MAYÚSCULA:
- Los nombres de personas
- Los nombres de países y ciudades
- Los nombres de animales
- Al principio de una oración
- Después de un punto
• Transcribe a su cuaderno y escriben el abecedario con
letras mayúsculas.
• Se entrega una ficha para reforzar lo aprendido.
(Anexo 1)
P.S.
• Se inicia el diálogo formulando las siguientes
preguntas:
¿Cómo se sintieron el primer día de clases?
¿Cómo se sienten hoy?
• La maestra escribe en la pizarra los sentimientos y
emociones por los niños y niñas.
• En forma grupal los escriben en carteles utilizando la
letra mayúscula.
• Pegan en la pizarra los carteles y los corrigen y
comentan acerca de ellos.
AMOR MIEDOALEGRÌA PENA
16
ESTRATEGIAS
MEDIOS
MATERIALES
• Con la participación de los niños y niñas se elabora un
organizador visual.
• Dibujan caritas expresando diversos sentimientos
17
SESIÓN DE APRENDIZAJE Nº 5
DIA VIERNES (PRIMERA SEMANA)
SEGUNDO GRADO
ACTIVIDAD SIGNIFICATIVA: “REGRESAMOS CON ALEGRÌA A
NUESTRA INSTITUCIÒN EDUCATIVA”
ESTRATEGIAS
MEDIOS
MATERIALES
• Actividades permanentes.
F.R.
• La profesora pregunta:
¿Qué temas trabajamos ayer?
¿Cuál es el sentimiento más maravilloso?
• Se ordena las respuestas dadas por los niños y niñas.
• Con el comportamiento de la maestra los niños y niñas
entonan la canción “El amor es maravilloso”.
• La maestra pregunta ¿Por qué decimos que el amor de
Dios es maravilloso?
• Las respuestas son escritas en la pizarra.
• Luego se pregunta ¿Qué cosas han sido creadas por
Dios.
• Del listado seleccionamos las cosas que han sido
creadas por Dios.
• Se presenta una lámina sobre la creación del mundo y
comentan lo observado.
• La maestra lee un texto bíblico sobre la creación del
mundo (génesis 1 versículo 1 al 31)
• Comentan sobre lo escuchado.
• La maestra consolida y transcribe a su cuaderno.
Papelotes,
plumones.
Lámina
Biblia
18
ESTRATEGIAS
MEDIOS
MATERIALES
LA CREACIÓN DEL MUNDO.
• Díos creó al mundo en 06 días y el séptimo día
descansó.
* El 1º día creó el día y la noche.
* El 2º día creó el cielo y separó la
tierra de las aguas.
* El 3º día creó las plantas.
* El 4º día creó el sol, la luna y las
estrellas.
* El 5º día creó los animales.
* El 6º día creó al hombre, primero a
Adán y después a Eva.
* El 7º día Dios descansó.
• Los niños y niñas ordenan y colorean los dibujos
acerca de la creación.
- Hojas
- Colores
- Tijeras
78
• La maestra verifica el trabajo realizado por los niños
(as).
• Se aplica una ficha de auto evaluación. (Anexo 2) y
(Anexo 5).
E.A.
• En forma individual trabajaran una hoja acerca de la
creación en donde demostrarán su habilidad utilizando
la plastilina (Anexo 3).
79
TUTORÍA
• La maestra presenta en un papelote una lectura.
LUISITO DESOBEDIENTE
En el Rosario, vivía una familia, papá, mamá y tres hijitos,
El más pequeño era el más travieso, por eso mamá le
decía:
- Oye pequeñín, no te alejes de la casa, más allá de
nuestra casa hay un pozo de agua profundo.
Sin embargo, Luisito travieso se fue hacía el pozo
donde siempre encontraba a sus amigos para jugar.
Cuando estaba jugando animadamente, vio un hilo
con un pequeño balde, en el que estaba dentro del
pozo de agua.
Sin pensar en el peligro que corría se acercó al pozo
de agua y se cayó por intentar sacar el balde.
• En su desesperación de salir del pozo decía: ¡Qué
lástima esto me pasa por desobediente!
• Los niños y niñas comentan sobre el contenido del
texto.
• La maestra consolida diciendo que “OBEDECER ES
AMAR”.
• En forma individual emparejan los siguientes puzzles:
80
- Socializan sus respuestas con ayuda de la maestra.
- La maestra presenta carteles con letras formando las
palabras “Dios es amor” y con ayuda de los niños y niñas
forman un texto teniendo en cuenta las palabras de los
recuadros:
- Socializa sus respuestas con ayuda de la maestra.
- La maestra entrega una ficha para comprobar lo
aprendido.
¿Qué aprendí hoy?
Mi nombre es: ……………………………………………………………………
I. Escribe dos acciones donde se practique el amor.
a. ………………………………………………………………………………
b. ………………………………………………………………………………
81
II. Une con una línea lo que se hace con amor.
• Ayudar
• Odiar
• Obedecer
• Aceptar
• Respetar
• Alegría
• Pelear
- Se aplica la ficha de auto evaluación sobre el
comportamiento de los niños y niñas durante el desarrollo
de las diferentes sesiones de aprendizaje.
Ficha de auto evaluación
Me llamo: ………………………………………………………………………………
Señala con X si has realizado alguna de las acciones en el
trabajo grupal.
AMOR
82
SESIÓN DE APRENDIZAJE Nº 6
DIA LUNES (SEGUNDA SEMANA)
SEGUNDO GRADO
ACTIVIDAD SIGNIFICATIVA: “NOS ORGANIZAMOS PARA CONVIVIR
EN UN AMBIENTE AGRADABLE”
Estrategias
Medios
materiales
- Actividades permanentes
P.S.
- La invita a los alumnos a salir al patio y formar un círculo.
- Cantamos “El patio de mi escuela”
- Invitamos al centro a la alumna o alumno voluntario para
saltar.
- Se ubica en el centro el alumno o alumna en que terminó
la canción.
- El docente entrega una bolsa con pequeñas tarjetitas con
una de las letras de la palabra AMOR.
- El docente indica a los alumnos que se agrupen según la
letra que les tocó.
- Pregunta ¿Qué hemos formado? ¿Para qué los habremos
formado?
- Asignan un nombre a cada grupo, teniendo en cuenta los
buenos sentimientos.
- La maestra consolida las respuestas y el significado de los
nombres de cada grupo.
- Cada grupo escribe su nombre en una cartulina.
AMOR ALEGRÍA
- El profesor pregunta ¿Qué debemos hacer para mejorar
nuestra convivencia en el aula?
- Los niños y niñas expresan sus ideas y se escriben en la
pizarra.
- La maestra consolida ideas.
- Juntos ordenamos nuestro trabajo a realizar.
Ejemplo:
1. Normas de convivencia
2. Organizamos la decoración del aula
3. Formamos comisiones de trabajo
4. Ambientamos cada sector, etc.
- El profesor lo escribe en el papelote.
- Cartulina,
plumón.
- Tijeras
- Papelotes,
plumones
83
Estrategias
Medios
materiales
- El profesor presenta la lectura sobre normas de
convivencia.
- Invita a seis alumnos a leer en voz alta y que escuchen los
que están sentados.
- A partir de la información responden: ¿Cuáles son los
buenos hábitos que debes practicar en la escuela?
_________________________________________
_________________________________________
_________________________________________
_________________________________________
_________________________________________
_________________________________________
_________________________________________
_________________________________________
“Todos nos comprometemos a cumplir estos acuerdos”
Copia
84
Estrategias
Medios
materiales
- El profesor pregunta ¿Qué es una norma de convivencia?
¿Para qué nos será útil? ¿A qué debemos
comprometernos?
- Consolida las respuestas
- Juntos elaboramos un mapa conceptual.
- Pedimos que expresen sus acuerdos.
- Los escribimos en la pizarra, ordenando la expresión.
- Solicitamos a un alumno o alumna voluntaria para que lo
escriba en un papelote y lo pegamos en un lugar visible en
el aula.
- Los educandos trabajan en su cuaderno de personal social
el mapa conceptual y sus acuerdos.
- Escriben su compromiso para darle cumplimiento y lo
decoran.
“Yo me comprometo a respetar y cumplir los
acuerdos tomados en el aula, para poder
convivir con amor, en un ambiente agradable”
- Papelotes,
plumones.
Normas de Convivencia
Acuerdos que nos permiten
trabajar respetando a los
demás y debemos cumplirlas.
son
Llegar temprano a la escuela.
Saludar.
Asistir correctamente
uniformados y aseados.
85
Estrategias
Medios
materiales
L.M.
- El profesor pregunta ¿Qué formamos con ayuda de la
dinámica? “grupos de trabajo” ¿Cuántos grupos
formamos? ...
- En la pizarra graficamos 6 conjuntos.
- Preguntamos: ¿Qué serían ustedes como parte del
conjunto? …
- Escribimos los elementos o integrantes de cada grupo y
asignamos una letra a cada conjunto.
- El profesor formula diversas preguntas de pertenencia y
no pertenencia. Ejemplo: ¿Rosario pertenece al conjunto
A? …
- En la pizarra resolvemos diversos ejercicios.
- En su cuaderno trabajan diversos ejercicios de pertenencia
y no pertenencia.
Juan _____________ al conjunto A
Rosa _____________ al conjunto B
Pedro _____________ al conjunto D
- El profesor aplica una ficha de evaluación.
- Tizas de
colores.
- Copia.
Inés
Juan
Olga
José
María
Pablo
A B
86
Estrategias
Medios
materiales
FICHA DE EVALUACIÓN
Nombre: _________________________________________
Fecha : ______________________________________
1. Observa los conjuntos y completa con el símbolo:
∉∈ o
a ____________ al conjunto R
e ____________ al conjunto P
r ____________ al conjunto X
s ____________ al conjunto R
t ____________ al conjunto P
d ____________ al conjunto X
2. Teniendo en cuenta los conjuntos completa con (V), si es
verdadero, y (F) si es falso.
Ro∈ ( )
Pm∉ ( )
Rl ∈ ( )
Pp ∉ ( )
Xr ∉ ( )
- Copia
X P R
• a
• m
• r
• e
• o
• r
• s
• p
• t
• o
• s • o
• l • i
• d • a
• r
87
SESIÓN DE APRENDIZAJE Nº 7
DIA MARTES (SEGUNDA SEMANA)
SEGUNDO GRADO
ACTIVIDAD SIGNIFICATIVA: “NOS ORGANIZAMOS PARA CONVIVIR
EN UN AMBIENTE AGRADABLE”
Estrategias
Medios
materiales
- Actividades permanentes
L.M.
- El profesor pregunta ¿Qué trabajamos el día de ayer?
¿Todos trabajaron? ¿Ninguno? ¿alguno se quedó sin
trabajar? ¿Ninguno faltó?
- La maestra presenta en un papelote la letra de la canción:
SÚBETE A LA TREN DEL AMOR
Súbete a la tren del amor
Súbete a la tren de la fantasía
Súbete sin temor.
Que se suban algunos.
Que se suban todos.
Que no se quede ninguno
Sin participar. (bis)
- Leemos y entonamos la canción.
- El profesor guía a sus alumnos para formar y cantar el
tren del amor, partiendo de ella (repetidas veces)
- Dialogamos si hemos cumplido con nuestras normas
establecidas ¿cumplimos, todos, algunos, ninguno?
- En el papelote el profesor subraya: algunos, todos y
ninguno.
- El profesor ¿Todos subieron al tren del amor? ¿Alguno se
quedó sin participar? ¿Ninguno se quedó sin subir? ¿Qué
tema trabajaremos el día de hoy? ¿Qué significa todos,
alguno, ninguno?
- El profesor consolida las respuestas.
- El profesor invita a formar grupos de niños y otro de
niñas.
- Luego pregunta:
- Tizas de
colores
88
Estrategias
Medios
materiales
¿En el conjunto A todos los elementos son niñas?
¿En el conjunto A alguno es niño?
¿En el conjunto B todos son niños?
¿En el conjunto B ninguna es niña?
- Trabajamos diversos ejercicios con la participación d los
alumnos.
- Los niños y niñas trabajan en su cuaderno.
- Resuelven una ficha de evaluación.
P.S.
- El profesor pregunta ¿Cómo trabajaremos mejor, todos,
alguno o ninguno? ¿Por qué? … ¿Ayer trabajamos todas
nuestras normas? ¿Qué nos corresponde trabajar hoy?
¿cómo lo haremos? Creando un clima de confianza y
respetando a los demás.
- Consolidamos las respuestas dadas por los educandos,
respetando sus opiniones.
Propuestas para organizar el aula.
- Adornarlo con dibujos
- Buscar un lugar para cada área
- Ordenar materiales
- Ordenar las mesas
- Limpiar el aula
- Acomodar los materiales
- Elaborar mensajes con carteles
Lo que debemos hacer o traer
- Buscar un lugar para los materiales
- Colaborar para traer o comprar (escoba, recogedor, balde,
trapos, etc.)
- Traer los materiales necesarios para cada área.
- Los niños y niñas proponen la forma de organización para
trabajar, incentivamos para trabajar en grupo cada
actividad en una fecha propuesta.
- En un papelote el profesor elabora un cuadro para que los
niños y las niñas lean y cumplan el día indicado su trabajo.
89
Estrategias
Medios
materiales
Tareas
Grupos
Organizarlaimplementacióndelrincóndeaseo
Limpiarelaula
Conseguiropreparardibujosdepared.
Buscaryambientarelsectordemateriales.
Pegarenlaparedlosdibujossegúnlasáreas.
Elaborarypegarcartelesconmensajes.
Día
M J V L M
Grupo 1
Grupo 2
Grupo 3
Grupo 4
Grupo 5
Grupo 6
- Los niños y niñas trabajan su cuadro de responsabilidades
en su cuaderno.
- Escriben su compromiso de cumplimiento.
- Actividad: Investiga ¿Qué festividad tradicional se está
cumpliendo en nuestra provincia?
Averigua y trae información sobre ella.
- Papelote,
plumones.
- Diversos
textos de
informa-
ción.
90
SESIÓN DE APRENDIZAJE Nº 8
DIA MIÉRCOLES (SEGUNDA SEMANA)
SEGUNDO GRADO
ACTIVIDAD SIGNIFICATIVA: “NOS ORGANIZAMOS PARA CONVIVIR
EN UN AMBIENTE AGRADABLE”
Estrategias
Medios
materiales
- Actividades permanentes
C.I.
- La maestra pregunta ¿Desarrollaron sus actividades?
¿Qué actividad nos encontramos celebrando?
¿Cómo celebramos la fiesta de la vendimia?
¿Qué actividades se realizan?
¿Cómo participan de esta celebración?
¿Qué es lo que más te gusta? ¿Por qué?
- El profesor consolida las respuestas de los alumnos e
invita a 5 alumnos para que lean su investigación.
- El profesor presenta en papelote un cuadro informativo
- Juntos completamos el cuadro.
CUADRO INFORMATIVO
Respuesta
Pregunta
¿Qué actividad se está
celebrando en nuestra
provincia?
¿Cómo se celebra?
¿Qué actividades se
realizan?
- Papelotes,
plumones
91
Estrategias
Medios
materiales
- El profesor refuerza las respuestas.
- Los educandos trabajan en su cuaderno el cuadro.
- Individualmente cada alumno narra en su cuaderno sobre
la celebración de la fiesta de la vendimia.
E.x.A.
- Grafican sobre lo que más les agrada de esta celebración.
- El profesor entrega cada niño y niña un dibujo y da las
recomendaciones necesarias para que usen la plastilina de
manera adecuada.
- Decoran el aula con sus trabajos.
- El profesor expresa que cada uno de los trabajos está
bonito.
- Actividad: averigua quienes organizan la fiesta de la
vendimia.
- Hoja
bond,
plastilina.
- Diversos
textos de
informa-
ción.
92
SESIÓN DE APRENDIZAJE Nº 9
DIA JUEVES (SEGUNDA SEMANA)
SEGUNDO GRADO
ACTIVIDAD SIGNIFICATIVA: “NOS ORGANIZAMOS PARA CONVIVIR
EN UN AMBIENTE AGRADABLE”
Estrategias
Medios
materiales
- Actividades permanentes
P.S.
- el profesor pregunta ¿qué es lo que más les agradó del
trabajo de ayer? ¿Por qué? ¿Cómo se comportaron
mientras realizaron el trabajo?
- las respuestas son escritas en la pizarra sin obviar.
Comportamiento
- Nos paramos
- Hicimos desorden
- Movimos las carpetas
- Hablamos fuerte, etc.
- El profesor pregunta
¿Cumplimos con nuestras normas?
¿Por qué no hemos cumplido?
¿Qué estamos demostrando?
¿Esas actitudes están bien? ¿Qué hubiera pasado si se
presentaba un temblor?
¿Nos ponen en peligro las malas actitudes?
¿Por qué?
- Consolidamos las respuestas y escribimos en la pizarra.
Situaciones de riesgo que nos pueden causar daño
1. Estar caminando sin motivo en el aula.
2. Desordenar el mobiliario.
3. Tirar objetos en el piso.
4. Pelear
5. Coger y tirar objetos.
6.
- Los niños y niñas lo escriben en su cuaderno.
- Actividad: gráfica situaciones de riesgo
93
Estrategias
Medios
materiales
C.I.
- El profesor pregunta: ¿Al asistir a las actividades de la
vendimia corremos el riesgo? ¿Qué debemos hacer?
¿Quiénes son los organizadores de este festival?
- indicamos en cinco niñas y niños para que lean su
información.
- El profesor le entrega cada uno un texto informativo sobre
la vendimia.
- El profesor lee el texto, luego invita a los alumnos a leer
silenciosamente.
- El grupo lee coralmente.
- Los alumnos responden a preguntas formuladas por el
profesor sobre el contenido.
¿Quiénes son los personajes?
¿Sobre que nos habla?
¿Qué opinión les merece cada uno?
¿Te gustó la lectura?
¿Por qué?
- Cada niño pega en su cuaderno el texto.
- Responde las siguientes preguntas:
1. ¿Cuál es el título de la lectura?
2. ¿Sobre que nos habla?
3. ¿Quiénes son los personajes que se mencionan?
Escribe sus nombres.
4. ¿Qué opina sobre las autoridades?
5. ¿si tú fueras autoridad, como serías?
- Dibuja sobre el contenido de la lectura.
- Lápiz,
colores
- Lápiz,
colores.
94
SESIÓN DE APRENDIZAJE Nº 10
DIA VIERNES (SEGUNDA SEMANA)
SEGUNDO GRADO
ACTIVIDAD SIGNIFICATIVA: “NOS ORGANIZAMOS PARA CONVIVIR
EN UN AMBIENTE AGRADABLE”
Estrategias
Medios
materiales
- Actividades permanentes
C.I.
- El profesor pide los alumnos que abran sus cuadernos de
comunicación integral.
- El profesor revisa los cuadernos en los niños y felicita a los
niños que cumplieron con su actividad.
- El docente pregunta a cada responsable de grupo que han
avanzado sobre las responsabilidades que se les ha
asignado para mejorar el ambiente de nuestra aula.
- El profesor da las indicaciones y sugerencias necesarias
para mejorar el poder cumplir de la mejor manera su
trabajo, orientándolo sobre el cuidado el trabajar.
C.A.
- El profesor pregunta ¿Por qué debemos cuidarnos?
- Entonamos la canción: “La gente que alaba al señor”
- Preguntamos ¿qué órganos forman la cabeza? ¿en qué
parte se divide el tronco? ¿cuántas son las extremidades?
- Se les en que era una ficha informativa cada integrante
del grupo para que sea leída en voz alta.
EL CUERPO HUMANO
En el cuerpo humano distinguimos fácilmente tres partes: la
cabeza, tronco y las extremidades (superiores e inferiores).
A) La cabeza: se ubique la parte superior de nuestro
cuerpo, en ellos podemos distinguir: la cara, el cráneo
y el cuello. En la cara se encuentra los ojos, las cejas,
en las orejas, la nariz y la boca.
B) El tronco: es la parte central de nuestro cuerpo se
divide en dos partes: el tórax y el abdomen.
C) Las extremidades: son dos:
- Las superiores: se le conoce con el hombre de
brazos en ellos encontramos: hombro, brazo,
antebrazo y mano.
- Textos
informa-
tivos.
95
Estrategias
Medios
materiales
- Las inferiores: se le conoce con el hombre de
piernas en ellas distinguimos: caderas, muslo,
pierna y pie.
“Nuestro cuerpo es importante porque cumple
muchas funciones”
- Individualmente trabajan un mapa conceptual, respetando
el esquema.
- Actividad: lee y grafica los gráficos del texto de C.A. que
señalan las partes de nuestra cara, del tronco y
extremidades.
- El profesor pregunta ¿Terminamos trabajando correcta o
incorrectamente?
Aplicamos una ficha de reconocimiento de acciones.
Texto de C y
A. Pág. 12,
13 y 14.
96
Estrategias
Medios
materiales
97
SESIÓN DE APRENDIZAJE Nº 11
DIA LUNES (TERCERA SEMANA)
SEGUNDO GRADO
ACTIVIDAD SIGNIFICATIVA: “PRACTICAMOS NUESTRA FE
CRISTIANA SIENDO SOLIDARIOS”
Estrategias
Medios
materiales
- Actividades permanentes.
E.R.
- El profesor inicia un diálogo con los niños y niñas
formulando las siguientes preguntas:
¿Qué fiesta religiosa celebramos esta semana?
¿Qué es la semana santa?
- Se ordena las respuestas dadas por los niños y niñas una
ficha para que den lectura sobre cómo Jesús muere y
resucita por nosotros (anexo 4)
- Los niños y niñas comentan sobre el contenido del texto
bíblico leído.
- Se consolida el tema elaborando un organizador visual con
la participación de los niños y niñas.
- Los niños y niñas transcriben el organizador visual.
- El profesor entrega una ficha de actividades para que sea
trabajado por los niños y niñas.
98

2do grado sesiones

  • 1.
    SESIÓN DE APRENDIZAJENº 1 DIA LUNES (PRIMERA SEMANA) SEGUNDO GRADO ACTIVIDAD SIGNIFICATIVA: “REGRESAMOS CON ALEGRÍA A NUESTRA INSTITUCIÓN EDUCATIVA” ESTRATEGIAS MEDIOS MATERIALES • La maestra inicia el año escolar dando la bienvenida a los niños y niñas, presentándose. • Se invita a los niños y niñas a presentarse en forma espontánea, dando sus nombres y apellidos • La maestra hace una presentación especial de los niños que se están integrando al grupo en el presente año, señalando de que institución proceden. • Se presenta en un papelote la letra de la canción: “LA VUELTA A LA ESCUELA” Cual bandada de palomas Que regresan del vergel Ya volvemos a la escuela Anhelantes del saber. Ellas vuelven tras el grano Que las ha de sustentar Y nosotros tras la idea Que es el grano intelectual. • La maestra entona la canción y luego lo hace en forma conjunta. • Los niños y niñas analizan el mensaje de la canción. • Iniciamos un diálogo con los niños y niñas sobre sus diferentes experiencias vívidas durante sus vacaciones, preguntando: ¿Cómo pasaron sus vacaciones? ¿Qué lugares visitaron? ¿Qué es lo que más te gustó? ¿Por qué? Libro de Comunicación Integral del MED pág. 5 al 11 1
  • 2.
    ESTRATEGIAS MEDIOS MATERIALES ¿Cómo se sientenretornar a la escuela? • La maestra entrega el libro de Comunicación Integral, pide que los niños(as) observen la pág. 5. • Comentan sobre lo que observan conjeturando el contenido de la lectura. • La maestra lee el contenido del texto. • En forma coral leemos la lectura; por párrafo formulando preguntas durante la lectura. • La maestra invita a los niños (as) a que produzcan un texto sobre sus vacaciones, dándoles las recomendaciones necesarias. • Individualmente trabajan su texto sobre sus vacaciones, • Presentan sus producciones pegándolos en la pizarra. • Luego seleccionamos diez textos para leerlos y corregir errores. • Los niños (as) transcriben sus producciones en el cuaderno de Comunicación Integral. E. X A. • Dibujar y colorear lo más agradable de sus vacaciones. 2
  • 3.
    SESIÓN DE APRENDIZAJENº 2 DIA MARTES (PRIMERA SEMANA) SEGUNDO GRADO ACTIVIDAD SIGNIFICATIVA: “REGRESAMOS CON ALEGRÍA A NUESTRA INSTITUCIÓN EDUCATIVA” ESTRATEGIAS MEDIOS MATERIALES • Actividades permanentes. • La maestra formula las siguientes preguntas: ¿Qué trabajamos el día de ayer? ¿Cuál es el nombre de la lectura que leímos? ¿De qué se trataba? ¿Qué personajes intervienen en la lectura? • La maestra anota en la pizarra las respuestas dadas por los niños y niñas. • Se le hace entrega de los cuadernos de Comunicación Integral para trabajar con orientación de la maestra. L.M. • La maestra indica a los niños y niñas que coloquen sobre su escritorio los cuadernos de trabajo agrupando de 5 en 5. • Se menciona los nombres de los niños (as) que integran cada grupo de libros. • La maestra entrega una tarjeta para que escriban los nombres de los integrantes del grupo. • Pegan las tarjetas en la pizarra, respetando el orden de presentación. • La maestra encierra en un círculo cada una de las tarjetas, asignándoles una letra para cada grupo. Libro de Lógico Matemático del MED pág. 8 al 11 3
  • 4.
    ESTRATEGIAS MEDIOS MATERIALES • La maestrapregunta ¿Qué hemos formado? ¿Quiénes forman el conjunto A, B, C, etc.? ¿Qué son Pepe, Luís, Juan, Inés, Olga en el conjunto A? • La maestra consolida la respuesta explicando el tema de conjunto en un mapa conceptual. los • Los niños (as) forman diversos conjuntos en la pizarra. • Transcriben a su cuaderno el mapa conceptual y los conjuntos formados por sus compañeros (as). • En forma individual trabajan con su libro de L.M. siguiendo las orientaciones de la maestra. • Se aplica una ficha de actividades en forma individual 4 CONJUNTO Forma cuando agrupamos objetos con una propiedad o característica común, asignándoles una letra mayúscula Objetos que forman un conjunto, se llama ELEMENTOS del conjunto se
  • 5.
    ESTRATEGIAS MEDIOS MATERIALES ¡DEMUESTRO LO QUEAPRENDÍ! NOMBRE: FECHA: I. Forma dos conjuntos de nombres de personas con tres elementos. II. Crea tres conjuntos con:  Nombres de personas  Apellidos de tus compañeros(as)  Nombre de ciudades ¡GRACIAS! 5
  • 6.
    ESTRATEGIAS MEDIOS MATERIALES  La maestraplantea ejercicios para la casa.  Forma conjunto de figuras geométricas.  Forma conjunto de vocales mayúsculas.  Forma conjunto de las cinco primeras letras del abecedario.  Forma conjunto de las letras de la palabra “vacaciones” 6
  • 7.
    SESIÓN DE APRENDIZAJENº 3 DIA MIÉRCOLES (PRIMERA SEMANA) SEGUNDO GRADO ACTIVIDAD SIGNIFICATIVA: “REGRESAMOS CON ALEGRÍA A NUESTRA INSTITUCIÓN EDUCATIVA” ESTRATEGIAS MEDIOS MATERIALES • Actividades permanentes. • La maestra indica a los niños (as) que presenten sus cuadernos de L.M. para revisar la tarea dejada el día anterior. • La maestra invita a un niño o niña de otra aula a que ingrese. • Se formula las siguientes interrogantes: ¿El niño o niña pertenece a nuestra aula? ¿Inés pertenece a nuestra aula? • La maestra expresa que el día de ayer trabajaron en casa ejercicios de conjunto, comprobaremos si lo hicieron bien. ► CONJUNTO DE FIGURAS GEOMÉTRICAS. Libro de Lógico Matemático del MED pág. 12 al 13 7 A
  • 8.
    ESTRATEGIAS MEDIOS MATERIALES ► CONJUNTO DEVOCALES MAYÚSCULAS ► CONJUNTO DE LAS CINCO PRIMERAS LETRAS DEL ABECEDARIO. ► FORMA CONJUNTO DE LAS LETRAS DE LA PALABRA “VACACIONES” 8 .A .I .E .U .O R M .A .B .C .D .E .V .A .S .C .I .O .N .E B
  • 9.
    ESTRATEGIAS MEDIOS MATERIALES • La maestraexplica a los niños y niñas que en un conjunto no se puede repetir los elementos. • Con los conjuntos trabajados determinaremos la pertenencia de los elementos de conjuntos dados. • La maestra explica sobre los elementos que pertenecen o no pertenecen a un conjunto. en • Teniendo en cuenta los conjuntos anteriores explicamos el uso de los signos de pertenencia y no pertenencia. ► CONJUNTO DE FIGURAS GEOMÉTRICAS € A € A € A € A 9 PERTENECE O NO PERTENECE Matemáticas el signo € significa “pertenece” y el signo ∋ significa “no pertenece” A
  • 10.
    ESTRATEGIAS MEDIOS MATERIALES ► CONJUNTO DELAS CINCO PRIMERAS LETRAS DEL ABECEDARIO. R S F A € M R ∉ M B € M S ∉ M C € M F ∉ M D € M E € M • La maestra indica a los niños y niñas a que trabajen con el libro de L.M. en forma individual. • Canjean sus libros entre si para realizar la coevaluación. • Se aplica una ficha para reforzar lo aprendido. APLICO LO APRENDIDO NOMBRE: FECHA: I. Dado el conjunto A identifica los elementos que pertenecen (€) y no pertenecen (∉) 10 M .A .B .C .D .E
  • 11.
  • 12.
    ESTRATEGIAS MEDIOS MATERIALES II. Dado elconjunto P identifica elementos que pertenecen (€) y no pertenecen (∉) ojo mano Cabeza ojo tronco mano extremidades • La maestra pregunta a los niños (as): ¿Quién recuerda que elementos tiene el conjunto “P”? ¿La cabeza tronco y extremidades que forman? 12 . cabeza . tronco .extremidades P A P P P P P
  • 13.
    ESTRATEGIAS MEDIOS MATERIALES • Se presentaen un papelote la letra de una canción “La gente que alaba al Señor” • Se entona la canción moviendo nuestro cuerpo. • Iniciamos un diálogo con los niños y niñas rescatando sus ideas, formulando las siguientes preguntas: ¿De qué trata la letra de la canción? ¿La cabeza, el tronco, brazos y piernas son parte del? ¿Qué función realizan? • La maestra invita a los niños (as) a leer el texto de C y A. • Dialogan sobre las partes del cuerpo humano. • Con ayuda de los niños (as) la maestra elaboran un mapa conceptual sobre el cuerpo humano. • Los niños (as) trabajan en su cuaderno el mapa conceptual. • La maestra entrega a cada niño (a) una ficha de actividades para que identifiquen las partes del cuerpo humano y colorea (Anexo 1) 13 Esta es la gente que alaba al señor (bis) esta es la gente que tiene gozo que tiene fe y alaba al señor, cabeza arriba, cabeza abajo moviendo de lado a lado (bis) tronco, brazos, piernas.
  • 14.
    SESIÓN DE APRENDIZAJENº 4 DIA JUEVES (PRIMERA SEMANA) SEGUNDO GRADO ACTIVIDAD SIGNIFICATIVA: “REGRESAMOS CON ALEGRÍA A NUESTRA INSTITUCIÓN EDUCATIVA” ESTRATEGIAS MEDIOS MATERIALES • Actividades permanentes. • La maestra propone a los niños y niñas participar en la dinámica “Ritmo a gogo” • Formados en grupos y por turnos realizarán el juego según la consigna dada: “Ritmo a gogo diga usted nombres de personas, ciudades, frutas etc.” • Conversan sobre el juego: ¿En qué consiste? ¿Se divirtieron? ¿Por qué? ¿Saben como se escriben los nombres de persona, animales y lugares? ¿Saben cómo se llaman las letras con las que se escriben? • La maestra anota las respuestas dadas por los niños y niñas y les da a conocer el tema sobre el uso de la mayúscula. • Se le entrega una ficha de actividades para que identifiquen la otra mayúscula. Papel bond y carteles 14
  • 15.
    ESTRATEGIAS MEDIOS MATERIALES Subraya las letrasmayúsculas que encuentres en el texto. Muy niño José fue llevado a la sierra, criándose en el campo hasta los seis años. Luego regresó a Ica a un pueblo Joven de San Juan. Marca la alternativa correcta. 1. Las letras mayúsculas que encontré son: I M J S 2. Encontré la mayúscula: Al empezar las oraciones Al terminar las oraciones En el nombre de Ica Después de un punto • La maestra consolida el concepto sobre el uso de las mayúsculas. De un punto 15
  • 16.
    ESTRATEGIAS MEDIOS MATERIALES ESCRIBIREMOS CON MAYÚSCULA: -Los nombres de personas - Los nombres de países y ciudades - Los nombres de animales - Al principio de una oración - Después de un punto • Transcribe a su cuaderno y escriben el abecedario con letras mayúsculas. • Se entrega una ficha para reforzar lo aprendido. (Anexo 1) P.S. • Se inicia el diálogo formulando las siguientes preguntas: ¿Cómo se sintieron el primer día de clases? ¿Cómo se sienten hoy? • La maestra escribe en la pizarra los sentimientos y emociones por los niños y niñas. • En forma grupal los escriben en carteles utilizando la letra mayúscula. • Pegan en la pizarra los carteles y los corrigen y comentan acerca de ellos. AMOR MIEDOALEGRÌA PENA 16
  • 17.
    ESTRATEGIAS MEDIOS MATERIALES • Con laparticipación de los niños y niñas se elabora un organizador visual. • Dibujan caritas expresando diversos sentimientos 17
  • 18.
    SESIÓN DE APRENDIZAJENº 5 DIA VIERNES (PRIMERA SEMANA) SEGUNDO GRADO ACTIVIDAD SIGNIFICATIVA: “REGRESAMOS CON ALEGRÌA A NUESTRA INSTITUCIÒN EDUCATIVA” ESTRATEGIAS MEDIOS MATERIALES • Actividades permanentes. F.R. • La profesora pregunta: ¿Qué temas trabajamos ayer? ¿Cuál es el sentimiento más maravilloso? • Se ordena las respuestas dadas por los niños y niñas. • Con el comportamiento de la maestra los niños y niñas entonan la canción “El amor es maravilloso”. • La maestra pregunta ¿Por qué decimos que el amor de Dios es maravilloso? • Las respuestas son escritas en la pizarra. • Luego se pregunta ¿Qué cosas han sido creadas por Dios. • Del listado seleccionamos las cosas que han sido creadas por Dios. • Se presenta una lámina sobre la creación del mundo y comentan lo observado. • La maestra lee un texto bíblico sobre la creación del mundo (génesis 1 versículo 1 al 31) • Comentan sobre lo escuchado. • La maestra consolida y transcribe a su cuaderno. Papelotes, plumones. Lámina Biblia 18
  • 19.
    ESTRATEGIAS MEDIOS MATERIALES LA CREACIÓN DELMUNDO. • Díos creó al mundo en 06 días y el séptimo día descansó. * El 1º día creó el día y la noche. * El 2º día creó el cielo y separó la tierra de las aguas. * El 3º día creó las plantas. * El 4º día creó el sol, la luna y las estrellas. * El 5º día creó los animales. * El 6º día creó al hombre, primero a Adán y después a Eva. * El 7º día Dios descansó. • Los niños y niñas ordenan y colorean los dibujos acerca de la creación. - Hojas - Colores - Tijeras 78
  • 20.
    • La maestraverifica el trabajo realizado por los niños (as). • Se aplica una ficha de auto evaluación. (Anexo 2) y (Anexo 5). E.A. • En forma individual trabajaran una hoja acerca de la creación en donde demostrarán su habilidad utilizando la plastilina (Anexo 3). 79
  • 21.
    TUTORÍA • La maestrapresenta en un papelote una lectura. LUISITO DESOBEDIENTE En el Rosario, vivía una familia, papá, mamá y tres hijitos, El más pequeño era el más travieso, por eso mamá le decía: - Oye pequeñín, no te alejes de la casa, más allá de nuestra casa hay un pozo de agua profundo. Sin embargo, Luisito travieso se fue hacía el pozo donde siempre encontraba a sus amigos para jugar. Cuando estaba jugando animadamente, vio un hilo con un pequeño balde, en el que estaba dentro del pozo de agua. Sin pensar en el peligro que corría se acercó al pozo de agua y se cayó por intentar sacar el balde. • En su desesperación de salir del pozo decía: ¡Qué lástima esto me pasa por desobediente! • Los niños y niñas comentan sobre el contenido del texto. • La maestra consolida diciendo que “OBEDECER ES AMAR”. • En forma individual emparejan los siguientes puzzles: 80
  • 22.
    - Socializan susrespuestas con ayuda de la maestra. - La maestra presenta carteles con letras formando las palabras “Dios es amor” y con ayuda de los niños y niñas forman un texto teniendo en cuenta las palabras de los recuadros: - Socializa sus respuestas con ayuda de la maestra. - La maestra entrega una ficha para comprobar lo aprendido. ¿Qué aprendí hoy? Mi nombre es: …………………………………………………………………… I. Escribe dos acciones donde se practique el amor. a. ……………………………………………………………………………… b. ……………………………………………………………………………… 81
  • 23.
    II. Une conuna línea lo que se hace con amor. • Ayudar • Odiar • Obedecer • Aceptar • Respetar • Alegría • Pelear - Se aplica la ficha de auto evaluación sobre el comportamiento de los niños y niñas durante el desarrollo de las diferentes sesiones de aprendizaje. Ficha de auto evaluación Me llamo: ……………………………………………………………………………… Señala con X si has realizado alguna de las acciones en el trabajo grupal. AMOR 82
  • 24.
    SESIÓN DE APRENDIZAJENº 6 DIA LUNES (SEGUNDA SEMANA) SEGUNDO GRADO ACTIVIDAD SIGNIFICATIVA: “NOS ORGANIZAMOS PARA CONVIVIR EN UN AMBIENTE AGRADABLE” Estrategias Medios materiales - Actividades permanentes P.S. - La invita a los alumnos a salir al patio y formar un círculo. - Cantamos “El patio de mi escuela” - Invitamos al centro a la alumna o alumno voluntario para saltar. - Se ubica en el centro el alumno o alumna en que terminó la canción. - El docente entrega una bolsa con pequeñas tarjetitas con una de las letras de la palabra AMOR. - El docente indica a los alumnos que se agrupen según la letra que les tocó. - Pregunta ¿Qué hemos formado? ¿Para qué los habremos formado? - Asignan un nombre a cada grupo, teniendo en cuenta los buenos sentimientos. - La maestra consolida las respuestas y el significado de los nombres de cada grupo. - Cada grupo escribe su nombre en una cartulina. AMOR ALEGRÍA - El profesor pregunta ¿Qué debemos hacer para mejorar nuestra convivencia en el aula? - Los niños y niñas expresan sus ideas y se escriben en la pizarra. - La maestra consolida ideas. - Juntos ordenamos nuestro trabajo a realizar. Ejemplo: 1. Normas de convivencia 2. Organizamos la decoración del aula 3. Formamos comisiones de trabajo 4. Ambientamos cada sector, etc. - El profesor lo escribe en el papelote. - Cartulina, plumón. - Tijeras - Papelotes, plumones 83
  • 25.
    Estrategias Medios materiales - El profesorpresenta la lectura sobre normas de convivencia. - Invita a seis alumnos a leer en voz alta y que escuchen los que están sentados. - A partir de la información responden: ¿Cuáles son los buenos hábitos que debes practicar en la escuela? _________________________________________ _________________________________________ _________________________________________ _________________________________________ _________________________________________ _________________________________________ _________________________________________ _________________________________________ “Todos nos comprometemos a cumplir estos acuerdos” Copia 84
  • 26.
    Estrategias Medios materiales - El profesorpregunta ¿Qué es una norma de convivencia? ¿Para qué nos será útil? ¿A qué debemos comprometernos? - Consolida las respuestas - Juntos elaboramos un mapa conceptual. - Pedimos que expresen sus acuerdos. - Los escribimos en la pizarra, ordenando la expresión. - Solicitamos a un alumno o alumna voluntaria para que lo escriba en un papelote y lo pegamos en un lugar visible en el aula. - Los educandos trabajan en su cuaderno de personal social el mapa conceptual y sus acuerdos. - Escriben su compromiso para darle cumplimiento y lo decoran. “Yo me comprometo a respetar y cumplir los acuerdos tomados en el aula, para poder convivir con amor, en un ambiente agradable” - Papelotes, plumones. Normas de Convivencia Acuerdos que nos permiten trabajar respetando a los demás y debemos cumplirlas. son Llegar temprano a la escuela. Saludar. Asistir correctamente uniformados y aseados. 85
  • 27.
    Estrategias Medios materiales L.M. - El profesorpregunta ¿Qué formamos con ayuda de la dinámica? “grupos de trabajo” ¿Cuántos grupos formamos? ... - En la pizarra graficamos 6 conjuntos. - Preguntamos: ¿Qué serían ustedes como parte del conjunto? … - Escribimos los elementos o integrantes de cada grupo y asignamos una letra a cada conjunto. - El profesor formula diversas preguntas de pertenencia y no pertenencia. Ejemplo: ¿Rosario pertenece al conjunto A? … - En la pizarra resolvemos diversos ejercicios. - En su cuaderno trabajan diversos ejercicios de pertenencia y no pertenencia. Juan _____________ al conjunto A Rosa _____________ al conjunto B Pedro _____________ al conjunto D - El profesor aplica una ficha de evaluación. - Tizas de colores. - Copia. Inés Juan Olga José María Pablo A B 86
  • 28.
    Estrategias Medios materiales FICHA DE EVALUACIÓN Nombre:_________________________________________ Fecha : ______________________________________ 1. Observa los conjuntos y completa con el símbolo: ∉∈ o a ____________ al conjunto R e ____________ al conjunto P r ____________ al conjunto X s ____________ al conjunto R t ____________ al conjunto P d ____________ al conjunto X 2. Teniendo en cuenta los conjuntos completa con (V), si es verdadero, y (F) si es falso. Ro∈ ( ) Pm∉ ( ) Rl ∈ ( ) Pp ∉ ( ) Xr ∉ ( ) - Copia X P R • a • m • r • e • o • r • s • p • t • o • s • o • l • i • d • a • r 87
  • 29.
    SESIÓN DE APRENDIZAJENº 7 DIA MARTES (SEGUNDA SEMANA) SEGUNDO GRADO ACTIVIDAD SIGNIFICATIVA: “NOS ORGANIZAMOS PARA CONVIVIR EN UN AMBIENTE AGRADABLE” Estrategias Medios materiales - Actividades permanentes L.M. - El profesor pregunta ¿Qué trabajamos el día de ayer? ¿Todos trabajaron? ¿Ninguno? ¿alguno se quedó sin trabajar? ¿Ninguno faltó? - La maestra presenta en un papelote la letra de la canción: SÚBETE A LA TREN DEL AMOR Súbete a la tren del amor Súbete a la tren de la fantasía Súbete sin temor. Que se suban algunos. Que se suban todos. Que no se quede ninguno Sin participar. (bis) - Leemos y entonamos la canción. - El profesor guía a sus alumnos para formar y cantar el tren del amor, partiendo de ella (repetidas veces) - Dialogamos si hemos cumplido con nuestras normas establecidas ¿cumplimos, todos, algunos, ninguno? - En el papelote el profesor subraya: algunos, todos y ninguno. - El profesor ¿Todos subieron al tren del amor? ¿Alguno se quedó sin participar? ¿Ninguno se quedó sin subir? ¿Qué tema trabajaremos el día de hoy? ¿Qué significa todos, alguno, ninguno? - El profesor consolida las respuestas. - El profesor invita a formar grupos de niños y otro de niñas. - Luego pregunta: - Tizas de colores 88
  • 30.
    Estrategias Medios materiales ¿En el conjuntoA todos los elementos son niñas? ¿En el conjunto A alguno es niño? ¿En el conjunto B todos son niños? ¿En el conjunto B ninguna es niña? - Trabajamos diversos ejercicios con la participación d los alumnos. - Los niños y niñas trabajan en su cuaderno. - Resuelven una ficha de evaluación. P.S. - El profesor pregunta ¿Cómo trabajaremos mejor, todos, alguno o ninguno? ¿Por qué? … ¿Ayer trabajamos todas nuestras normas? ¿Qué nos corresponde trabajar hoy? ¿cómo lo haremos? Creando un clima de confianza y respetando a los demás. - Consolidamos las respuestas dadas por los educandos, respetando sus opiniones. Propuestas para organizar el aula. - Adornarlo con dibujos - Buscar un lugar para cada área - Ordenar materiales - Ordenar las mesas - Limpiar el aula - Acomodar los materiales - Elaborar mensajes con carteles Lo que debemos hacer o traer - Buscar un lugar para los materiales - Colaborar para traer o comprar (escoba, recogedor, balde, trapos, etc.) - Traer los materiales necesarios para cada área. - Los niños y niñas proponen la forma de organización para trabajar, incentivamos para trabajar en grupo cada actividad en una fecha propuesta. - En un papelote el profesor elabora un cuadro para que los niños y las niñas lean y cumplan el día indicado su trabajo. 89
  • 31.
    Estrategias Medios materiales Tareas Grupos Organizarlaimplementacióndelrincóndeaseo Limpiarelaula Conseguiropreparardibujosdepared. Buscaryambientarelsectordemateriales. Pegarenlaparedlosdibujossegúnlasáreas. Elaborarypegarcartelesconmensajes. Día M J VL M Grupo 1 Grupo 2 Grupo 3 Grupo 4 Grupo 5 Grupo 6 - Los niños y niñas trabajan su cuadro de responsabilidades en su cuaderno. - Escriben su compromiso de cumplimiento. - Actividad: Investiga ¿Qué festividad tradicional se está cumpliendo en nuestra provincia? Averigua y trae información sobre ella. - Papelote, plumones. - Diversos textos de informa- ción. 90
  • 32.
    SESIÓN DE APRENDIZAJENº 8 DIA MIÉRCOLES (SEGUNDA SEMANA) SEGUNDO GRADO ACTIVIDAD SIGNIFICATIVA: “NOS ORGANIZAMOS PARA CONVIVIR EN UN AMBIENTE AGRADABLE” Estrategias Medios materiales - Actividades permanentes C.I. - La maestra pregunta ¿Desarrollaron sus actividades? ¿Qué actividad nos encontramos celebrando? ¿Cómo celebramos la fiesta de la vendimia? ¿Qué actividades se realizan? ¿Cómo participan de esta celebración? ¿Qué es lo que más te gusta? ¿Por qué? - El profesor consolida las respuestas de los alumnos e invita a 5 alumnos para que lean su investigación. - El profesor presenta en papelote un cuadro informativo - Juntos completamos el cuadro. CUADRO INFORMATIVO Respuesta Pregunta ¿Qué actividad se está celebrando en nuestra provincia? ¿Cómo se celebra? ¿Qué actividades se realizan? - Papelotes, plumones 91
  • 33.
    Estrategias Medios materiales - El profesorrefuerza las respuestas. - Los educandos trabajan en su cuaderno el cuadro. - Individualmente cada alumno narra en su cuaderno sobre la celebración de la fiesta de la vendimia. E.x.A. - Grafican sobre lo que más les agrada de esta celebración. - El profesor entrega cada niño y niña un dibujo y da las recomendaciones necesarias para que usen la plastilina de manera adecuada. - Decoran el aula con sus trabajos. - El profesor expresa que cada uno de los trabajos está bonito. - Actividad: averigua quienes organizan la fiesta de la vendimia. - Hoja bond, plastilina. - Diversos textos de informa- ción. 92
  • 34.
    SESIÓN DE APRENDIZAJENº 9 DIA JUEVES (SEGUNDA SEMANA) SEGUNDO GRADO ACTIVIDAD SIGNIFICATIVA: “NOS ORGANIZAMOS PARA CONVIVIR EN UN AMBIENTE AGRADABLE” Estrategias Medios materiales - Actividades permanentes P.S. - el profesor pregunta ¿qué es lo que más les agradó del trabajo de ayer? ¿Por qué? ¿Cómo se comportaron mientras realizaron el trabajo? - las respuestas son escritas en la pizarra sin obviar. Comportamiento - Nos paramos - Hicimos desorden - Movimos las carpetas - Hablamos fuerte, etc. - El profesor pregunta ¿Cumplimos con nuestras normas? ¿Por qué no hemos cumplido? ¿Qué estamos demostrando? ¿Esas actitudes están bien? ¿Qué hubiera pasado si se presentaba un temblor? ¿Nos ponen en peligro las malas actitudes? ¿Por qué? - Consolidamos las respuestas y escribimos en la pizarra. Situaciones de riesgo que nos pueden causar daño 1. Estar caminando sin motivo en el aula. 2. Desordenar el mobiliario. 3. Tirar objetos en el piso. 4. Pelear 5. Coger y tirar objetos. 6. - Los niños y niñas lo escriben en su cuaderno. - Actividad: gráfica situaciones de riesgo 93
  • 35.
    Estrategias Medios materiales C.I. - El profesorpregunta: ¿Al asistir a las actividades de la vendimia corremos el riesgo? ¿Qué debemos hacer? ¿Quiénes son los organizadores de este festival? - indicamos en cinco niñas y niños para que lean su información. - El profesor le entrega cada uno un texto informativo sobre la vendimia. - El profesor lee el texto, luego invita a los alumnos a leer silenciosamente. - El grupo lee coralmente. - Los alumnos responden a preguntas formuladas por el profesor sobre el contenido. ¿Quiénes son los personajes? ¿Sobre que nos habla? ¿Qué opinión les merece cada uno? ¿Te gustó la lectura? ¿Por qué? - Cada niño pega en su cuaderno el texto. - Responde las siguientes preguntas: 1. ¿Cuál es el título de la lectura? 2. ¿Sobre que nos habla? 3. ¿Quiénes son los personajes que se mencionan? Escribe sus nombres. 4. ¿Qué opina sobre las autoridades? 5. ¿si tú fueras autoridad, como serías? - Dibuja sobre el contenido de la lectura. - Lápiz, colores - Lápiz, colores. 94
  • 36.
    SESIÓN DE APRENDIZAJENº 10 DIA VIERNES (SEGUNDA SEMANA) SEGUNDO GRADO ACTIVIDAD SIGNIFICATIVA: “NOS ORGANIZAMOS PARA CONVIVIR EN UN AMBIENTE AGRADABLE” Estrategias Medios materiales - Actividades permanentes C.I. - El profesor pide los alumnos que abran sus cuadernos de comunicación integral. - El profesor revisa los cuadernos en los niños y felicita a los niños que cumplieron con su actividad. - El docente pregunta a cada responsable de grupo que han avanzado sobre las responsabilidades que se les ha asignado para mejorar el ambiente de nuestra aula. - El profesor da las indicaciones y sugerencias necesarias para mejorar el poder cumplir de la mejor manera su trabajo, orientándolo sobre el cuidado el trabajar. C.A. - El profesor pregunta ¿Por qué debemos cuidarnos? - Entonamos la canción: “La gente que alaba al señor” - Preguntamos ¿qué órganos forman la cabeza? ¿en qué parte se divide el tronco? ¿cuántas son las extremidades? - Se les en que era una ficha informativa cada integrante del grupo para que sea leída en voz alta. EL CUERPO HUMANO En el cuerpo humano distinguimos fácilmente tres partes: la cabeza, tronco y las extremidades (superiores e inferiores). A) La cabeza: se ubique la parte superior de nuestro cuerpo, en ellos podemos distinguir: la cara, el cráneo y el cuello. En la cara se encuentra los ojos, las cejas, en las orejas, la nariz y la boca. B) El tronco: es la parte central de nuestro cuerpo se divide en dos partes: el tórax y el abdomen. C) Las extremidades: son dos: - Las superiores: se le conoce con el hombre de brazos en ellos encontramos: hombro, brazo, antebrazo y mano. - Textos informa- tivos. 95
  • 37.
    Estrategias Medios materiales - Las inferiores:se le conoce con el hombre de piernas en ellas distinguimos: caderas, muslo, pierna y pie. “Nuestro cuerpo es importante porque cumple muchas funciones” - Individualmente trabajan un mapa conceptual, respetando el esquema. - Actividad: lee y grafica los gráficos del texto de C.A. que señalan las partes de nuestra cara, del tronco y extremidades. - El profesor pregunta ¿Terminamos trabajando correcta o incorrectamente? Aplicamos una ficha de reconocimiento de acciones. Texto de C y A. Pág. 12, 13 y 14. 96
  • 38.
  • 39.
    SESIÓN DE APRENDIZAJENº 11 DIA LUNES (TERCERA SEMANA) SEGUNDO GRADO ACTIVIDAD SIGNIFICATIVA: “PRACTICAMOS NUESTRA FE CRISTIANA SIENDO SOLIDARIOS” Estrategias Medios materiales - Actividades permanentes. E.R. - El profesor inicia un diálogo con los niños y niñas formulando las siguientes preguntas: ¿Qué fiesta religiosa celebramos esta semana? ¿Qué es la semana santa? - Se ordena las respuestas dadas por los niños y niñas una ficha para que den lectura sobre cómo Jesús muere y resucita por nosotros (anexo 4) - Los niños y niñas comentan sobre el contenido del texto bíblico leído. - Se consolida el tema elaborando un organizador visual con la participación de los niños y niñas. - Los niños y niñas transcriben el organizador visual. - El profesor entrega una ficha de actividades para que sea trabajado por los niños y niñas. 98