Incrustar presentación
Descargado 77 veces















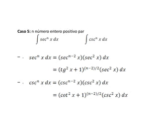
El documento describe varios métodos para calcular integrales definidas, incluyendo antiderivadas, sustitución, integración por partes e integrales trigonométricas. Explica casos específicos para integrales trigonométricas donde los exponentes son números enteros pares o impares y cómo usar la integración por partes para resolver algunos de estos casos.













