DERIVADA DE UNA FUNCIÓN

               CAPÍTULO 2
LA DERIVADA Y LA RECTA TANGENTE


• Recta tangente a un punto P: pendiente en punto P




• Recta secante: pendiente recta secante pasa por P y otro punto
DERIVADA:
INTERPRETACIÓN

• Taza de cambio o razón de cambio promedio: de la función f en el
  intervalo entre x0 y x0 + x.




• Derivada: de una función f (x) viene dada por:




    Esto siempre y cuando exista el límite.
• El valor de la derivada es una función de x, y se indica mediante cualquiera
  de las siguientes notaciones:




• Diferenciabilidad: una función f (x) es diferenciable en un punto x0 si la
  derivada de la función existe en dicho punto.
REGLAS DE DERIVACIÓN

• FÓRMULAS FUNDAMENTALES DE DERIVACIÓN:
   – Derivada de una función constante:




   – Derivada de la función identidad:




   – Derivada de una constante por una función:




   – Regla de la suma:
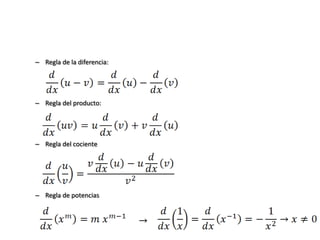
– Regla de la diferencia:




– Regla del producto:




– Regla del cociente




– Regla de potencias
• FUNCIONES COMPUESTAS Y REGLA DE LA CADENA:
   Funciones compuestas: función interna g(x) y función externa f (g(x)).




   Regla de la cadena: la derivada de la función f o g es el producto de la derivada de la
   función externa f ( evaluada en g(x)) y la derivada de la función interna (evaluada en x).




   Fórmulación alternativa de la regla de la cadena: sea u= g(x)  y= f(u). Entonces la función
   compuesta de f o g es: y= f(u) = f(g(x)), se aplica la fórmula:
• FUNCIONES INVERSAS:
   Dos funciones tales que: g(f(x)) = x y f(g(y))=y, se dice son inversas. Estas funciones
   invierten el efecto de la otra.
   Dada una ecuación cualquier y = f(x), se puede halalr una fórmula para la inversa de f
   despejando x en la ecuación en términos de y.




   Derivada de una función inversa:
• DERIVADAS SUPERIORES:
   Si y = f(x) es diferenciable:

   y‘ se denomina primera derivada de f.

   Si y’ es diferenciable:

   y‘’ se denomina segunda derivada de f

   Si y’’ es diferenciable:

   y’’’ se denomina tercera derivada

2 derivada de una funcion

  • 1.
    DERIVADA DE UNAFUNCIÓN CAPÍTULO 2
  • 2.
    LA DERIVADA YLA RECTA TANGENTE • Recta tangente a un punto P: pendiente en punto P • Recta secante: pendiente recta secante pasa por P y otro punto
  • 3.
    DERIVADA: INTERPRETACIÓN • Taza decambio o razón de cambio promedio: de la función f en el intervalo entre x0 y x0 + x. • Derivada: de una función f (x) viene dada por: Esto siempre y cuando exista el límite.
  • 4.
    • El valorde la derivada es una función de x, y se indica mediante cualquiera de las siguientes notaciones: • Diferenciabilidad: una función f (x) es diferenciable en un punto x0 si la derivada de la función existe en dicho punto.
  • 5.
    REGLAS DE DERIVACIÓN •FÓRMULAS FUNDAMENTALES DE DERIVACIÓN: – Derivada de una función constante: – Derivada de la función identidad: – Derivada de una constante por una función: – Regla de la suma:
  • 6.
    – Regla dela diferencia: – Regla del producto: – Regla del cociente – Regla de potencias
  • 7.
    • FUNCIONES COMPUESTASY REGLA DE LA CADENA: Funciones compuestas: función interna g(x) y función externa f (g(x)). Regla de la cadena: la derivada de la función f o g es el producto de la derivada de la función externa f ( evaluada en g(x)) y la derivada de la función interna (evaluada en x). Fórmulación alternativa de la regla de la cadena: sea u= g(x)  y= f(u). Entonces la función compuesta de f o g es: y= f(u) = f(g(x)), se aplica la fórmula:
  • 8.
    • FUNCIONES INVERSAS: Dos funciones tales que: g(f(x)) = x y f(g(y))=y, se dice son inversas. Estas funciones invierten el efecto de la otra. Dada una ecuación cualquier y = f(x), se puede halalr una fórmula para la inversa de f despejando x en la ecuación en términos de y. Derivada de una función inversa:
  • 9.
    • DERIVADAS SUPERIORES: Si y = f(x) es diferenciable: y‘ se denomina primera derivada de f. Si y’ es diferenciable: y‘’ se denomina segunda derivada de f Si y’’ es diferenciable: y’’’ se denomina tercera derivada