ÁCIDOS
CARBOXÍLICOS
CRISTHIAN Y. HILASACA ZEA
INTRODUCCIÓN
Los ácidos carboxílicos están clasificados entre
uno de los grupos funcionales más importantes
en la química orgánica. Su importancia se debe
a que los podemos encontraren muchas partes,
desde nuestro propio cuerpo humano hasta
productos industriales que usamos a diario.
También los encontramos ampliamente en la
naturaleza como ácidos carboxílicos saturados
simples, por ejemplo en la picadura de una
hormiga o de una abeja, donde está presente el
ácido fórmico, o simplemente en la aspirina el
ácido salicílico.
ÁCIDOS
CARBOXÍLICOS
• ácido = temor = ácidos inorgánicos.
• Ácidos orgánicos, estos no tienen el
mismo comportamiento, ya que
resultan de una combinación
orgánica, es decir, unido a otro
átomo de carbono.
• forman parte de los aminoácidos
• Ácidos grasos
• Frutas (ácido cítrico, málico y
tartárico).
• Ácidos biliares
• Algunas vitaminas (vit. PP -
niacina)
• Algunos medicamentos (ácido
acetilsalicilico).
ÁCIDOS CARBOXÍLICOS
Àcido Oleico
Grasa monoinsaturada presente
en los aceites vegetales como el
aceite de oliva. Su consumo
reduce el riesgo de
enfermedades cardiovasculares.
Aspirina
Ácido acetilsalicílico (Aspirina).
Antiinflamatorio no esteroideo de la
familia de los salicilatos, usado
frecuentemente como analgésico,
antipirético, antiagregante
plaquetario y antiinflamatorio
Los ácidos carboxílicos son los productos finales de la serie
de oxidación
R-CH3 → R-CH2OH → R-CHO → R-COOH
Alcohol Aldehído Ácido
carboxílico
El nombre carboxílico con el que se designa al grupo
funcional es
se compone de dos grupos carbonilo y el hidroxilo
carbonilo hidroxilo
O
O-H
C
O
C O-H
Los ácidos carboxílicos se representan como:
O
H-O
C
R
R-COOH RCO2H
Donde R puede ser alifático, cíclico o aromático
CLASIFICACIÓN
ÁCIDO MONOCARBOXÍLICO C
OH
O
CH2
CH2
C
H3
Ácido Butanoico
ÁCIDO DICARBOXÍLICO Ácido Ftálico
ÁCIDO TRICARBOXÍLICO Ácido Cítrico
Propiedades físicas
Solubilidad:
El grupo carboxilo –COOH confiere carácter polar a los ácidos y permite la
formación de puentes de hidrógeno entre la molécula de ácido
carboxílico y la molécula de agua.
Los ácidos carboxílicos son solubles en solventes menos polares, tales como
éter, alcohol, benceno, etc.
Punto de ebullición:
Los ácidos carboxílicos presentan puntos de ebullición elevados debido a
la presencia de doble puente de hidrógeno.
Punto de fusión:
El punto de fusión varía según el número de carbonos, siendo más
elevado el de los ácidos fórmico y acético, al compararlos con los ácidos
propiónico, butírico y valérico de 3, 4 y 5 carbonos, respectivamente.
Después de 6 carbonos el punto de fusión se eleva de manera irregular
Las sales de los ácidos carboxílicos son sólidos cristalinos no
volátiles constituidos por iones positivos y negativos y sus
propiedades son las que corresponden a tales estructuras.
Propiedades químicas
Formación de hidrólisis de nitrilos.
Los mejores reactivos para convertir los ácidos carboxílicos en cloruros
de ácido son el cloruro de tionilo (SOCl2) y el cloruro de oxalilo (COCl)2,
porque forman subproductos gaseosos que no contaminan al producto.
El cloruro de oxalilo es muy fácil de emplear porque hierve a 62ºC y se
evapora de la mezcla de reacción.
Los ACIDOS CARBOXÍLICOS contienen el grupo
carboxilo que es uno de los grupos más importantes
en química y bioquímica, ya que permite la síntesis
de otros compuestos. Los ácidos son unos de los
compuestos que les confieren olor y sabor a muchos
productos.
• Algunos de los derivados se utilizan como analgésicos
por ejemplo el ácido salicílico y el ácido acetilsalicílico
Utilidad en la industria de los ácidos carboxílicos
El de mayor aplicación industrial
SÍNTESIS DE ÁCIDOS ORGÁNICOS
a) Oxidación de alquenos
R - COOH + R* - COOH
KMnO4
b) Ozonolisis de alquenos y alquinos
O3
H2O2
R - COOH + R* - COOH
R - C C - R*
O3
H2O2
R - COOH + R* - COOH
c) Oxidación de alcoholes primarios y aldehidos
R - CH2OH R - COOH
R - COOH
Cr2O7K2/H
+
d) Oxidación de alquilbencenos
R
KMnO4
COOH
Q
KMnO4 /H
+
R - CHO
Q
R - CH CH- R*
CH- R*
R - CH
OBTENCIÓN DE ÁCIDOS CARBOXÍLICOS
R
KMnO4
COOH
e) Oxidación de metilcetonas (haloformo)
R - CO - CH3 R - COOH + CHX3
NaOH/X2
Si X=I2 CHI3
(precipitado de color amarillo)
f) Hidrólisis de cianuros de alquilo (nitrilos)
Medio ácido R - C N + 2H2O
HCl
R - COOH + NH4Cl
R - COONa + NH3
Hidrolisis
R - COOH
Q
NaOH
g) Reacción de los reactivos de Grignard con dióxido de carbono
R - Mg X + O = C = O R - C
O
- O - MgX
HX R - COOH + MgX2
Medio básico R - C N + 2H2O
OBTENCIÓN DE ÁCIDOS CARBOXÍLICOS
DERIVADOS DE LOS ÁCIDOS CARBOXÍLICOS
Cuando el OH del carboxilo es sustituido por otro radical : -X, -OCOR, -
OR, -NH2
Generan compuestos conocidos como: Haluros de acilo, anhídridos de
acilo, esteres, amidas. Estas sustancias se denominan:
DERIVADOS FUNCIONALES DE LOS ÁCIDOS
CARBOXÍLICOS.
Cuando el OH
del carboxilo
es sustituido
por otro
radical:
-OR
-NH2
Estas sustancias se denominan:
DERIVADOS FUNCIONALES DE
LOS ÁCIDOS CARBOXÍLICOS.
-X
-OCOR
-Esteres
-Amidas
-Haluros de
acilo
-Anhídridos
de acilo
Fórmula de los derivados de los ácido
carboxílico
O
C
R X
O
C
R
O
C R
O
C
R
O
C
R O
O R
NH2
Haluro de acilo
Amida
Anhidrido de acilo
Ester
Ácidos carboxílicos en productos naturales
Derivados de los ácidos carboxílicos
Los ésteres cíclicos son llamados lactonas
Las amidas cíclicas son llamas lactamas
1.- NOMENCLATURA
La función ácido carboxílico es siempre, con muy pocas excepciones, la principal.
Ácido 2-cloropropanoico Ácido 3-butenoico
Ácido 2-(1-metiletil)-
3,4,5-trimetilhexanoico
Ácido 2,4-bis(1-metiletil)-
3-metil-4-pentenoico
Ácido 2-(1-metiletil)-
3,5-dimetil-4-oxohexanoico
Ácido 2-bromo-2-metil-
ciclohexanocarboxílico
Ácido 2-(2-formilciclopentil)
acético
CF3CO2H
Ácido trifluoracético
(TFA)
2.- PROPIEDADES FÍSICAS
Propiedades físicas de algunos compuestos orgánicos
Fórmula IUPAC Nombre
Masa
Molecular
Punto
Ebullición
Solubilidad en
agua
CH3(CH2)2CO2H Ácido butanoico 88 164 ºC muy soluble
CH3(CH2)4OH 1-pentanol 88 138 ºC poco soluble
CH3(CH2)3CHO pentanal 86 103 ºC poco soluble
CH3CO2C2H5 Etanoato de etilo 88 77 ºC
moderadamente
soluble
CH3CH2CO2CH3 Propanoato de metilo 88 80 ºC poco soluble
CH3(CH2)2CONH
2
Butanamida 87 216 ºC soluble
CH3CON(CH3)2 N,N-dimetilletanamida 87 165 ºC muy soluble
CH3(CH2)4NH2 1-aminobutano 87 103 ºC muy soluble
CH3(CH2)3CN pentanonitrilo 83 140 ºC poco soluble
CH3(CH2)4CH3 hexano 86 69 ºC insoluble
Formula Nombre común Fuente IUPAC Nombre
Punto
fusión
Punto
ebullición
HCO2H Ácido fórmico Hormiga (L. formica) Ácido metanoico 8.4 ºC 101 ºC
CH3CO2H Ácido acetico vinagre (L. acetum) Ácido etanoico 16.6 ºC 118 ºC
CH3CH2CO2H Ácido propionico
leche (Gk. protus
prion)
Ácido propanoico -20.8 ºC 141 ºC
CH3(CH2)2CO2H Ácido butírico
mantequilla (L.
butyrum)
Ácido butanoico -5.5 ºC 164 ºC
CH3(CH2)3CO2H Ácido valérico Valeriana raiz Ácido pentanoico -34.5 ºC 186 ºC
CH3(CH2)4CO2H Ácido caproico cabras (L. caper) Ácido hexanoico -4.0 ºC 205 ºC
CH3(CH2)5CO2H Ácido enántico vid (Gk. oenanthe) Ácido heptanoico -7.5 ºC 223 ºC
CH3(CH2)6CO2H Ácido caprílico cabras (L. caper) Ácido octanoico 16.3 ºC 239 ºC
CH3(CH2)7CO2H
Ácido
pelargónico
pelargonium (hierba) Ácido nonanoico 12.0 ºC 253 ºC
CH3(CH2)8CO2H Ácido cáprico cabras (L. caper) Ácido decanoico 31.0 ºC 219 ºC
Saturados
Fórmula Nombre Común Punto Fusión
CH3(CH2)10CO2H Ácido láurico 45 ºC
CH3(CH2)12CO2H Ácido mirístico 55 ºC
CH3(CH2)14CO2H Ácido palmítico 63 ºC
CH3(CH2)16CO2H Ácido esteárico 69 ºC
CH3(CH2)18CO2H Ácido araquídico 76 ºC
Insaturados
Fórmula
Nombre
Común
Punto
Fusión
CH3(CH2)5CH=CH(CH2)7CO2H
Ácido
palmitoleico
0 ºC
CH3(CH2)7CH=CH(CH2)7CO2H Ácido oleico 13 ºC
CH3(CH2)4CH=CHCH2CH=CH(CH2)7CO2H Ácido linoleico -5 ºC
CH3CH2CH=CHCH2CH=CHCH2CH=CH(CH2)7CO2H Ácido linolénico -11 ºC
CH3(CH2)4(CH=CHCH2)4(CH2)2CO2H
Ácido
araquidónico
-49 ºC
ÁCIDOS
GRASOS
3.- ACIDEZ DE LOS ÁCIDOS CARBOXÍLICOS
Compuesto pKa
RCH3 45
R-NH2 35
25
R-CH2CO-R’ 20
R-OH 18
H2O 15
ArOH 10
R-CO2H 4
La fortaleza de un ácido AH está relacionada con la estabilidad de su base conjugada A-.
El anión carboxilato, base conjugada de la función ácido, es extraordinariamente estable porque posee
una elevada deslocalización de la carga negativa.
Formas resonantes del anión carboxilato, totalmente equivalentes, en las que la carga negativa se sitúa
sobre átomos electronegativos.
La acidez de los ácidos carboxílicos es patente, como lo demuestra
el valor medio de pKa. El valor más bajo (mayor acidez) corresponde
a la función CO2H. Los ácidos carboxílicos son un millón de veces
más ácidos que los fenoles, 1011 veces más que el agua, 1014 veces
más que los alcoholes, etc.
¿Por qué?.
Además del efecto resonante, el efecto inductivo también juega un papel notable en la acidez de los ácidos
carboxílicos
La acidez de un ácido carboxílico está modulada por la estructura del grupo R. Un
grupo R dador de electrones, desestabilizará el anión carboxilato y hará que la
fortaleza del ácido correspondiente sea menor. Este es el caso, por ejemplo, de
los restos alquilo. Por el contrario, un grupo R electronegativo deslocalizará aún
más la carga negativa del anión carboxilato, estabilizandolo, con lo que la
fortaleza del ácido aumentará. Este es el caso, por ejemplo, de los restos
halometilo
R-CO2H pKa
CH3 4.74
ClCH2 2.86
Cl2CH 1.26
Cl3C 0.64
F3C 0.23
R-CO2H pKa
CH3CH2CH2 4.90
CH3CH2CHCl 2.84
CH3CHClCH2 4.06
ClCH2CH2CH
2
4.52
El aumento del número de
halógenos estabiliza de forma
creciente el anión carboxilato y la
acidez aumenta. El cambio de
cloro por fluor, más
electronegativo, aumenta la
acidez.
La presencia de un átomo de
cloro en posición contigua al
grupo carboxilato deslocaliza la
carga negativa y aumenta la
acidez. Pero esta deslocalización
es muy sensible a la distancia.
Cuando el cloro está en la
posición 3 ó 4 la acidez
disminuye, aunque continúa
siendo ligeramente mayor que en
ausencia del halógeno
4.- PREPARACIÓN DE ÁCIDOS CARBOXÍLICOS
4.1.- MÉTODOS INDUSTRIALES
•Ácido fórmico
Ácido acético
•Oxidación de etileno
•Ruptura oxidativa del butano
•Carbonilación del metanol
4.2.- MÉTODOS LABORATORIO
4.2.1.- OXIDACIÓN
Los ácidos y derivados poseen el
carbono del grupo carboxílico en un
estado de oxidación formal +3, el más
alto que puede tener un carbono en un
grupo funcional orgánico.
Por tanto, un ácido carboxílico podrá
obtenerse a partir de la oxidación de
casi cualquier otro grupo funcional,
siempre que exista el reactivo
adecuado.
Los alcanos son difíciles de oxidar selectivamente. Sin embargo, la posición
bencílica es fácilmente oxidable
La oxidación con MnO2, oxidante muy
suave, sólo ha ocurrido en la posición
bencílica, siendo esta reacción
altamente regioselectiva.
La oxidación enérgica de
alquilbencenos provoca la
formación de ácidos benzoicos. La
oxidación ocurre en la posición
bencílica.
Los alquenos pueden oxidarse a ácidos carboxílicos, sufriendo la ruptura del doble enlace
La ozonolisis resulta útil para comvertir
cicloalquenos en compuestos dicarbonílicos
que, a su vez, pueden dar lugar a reacciones
importantes.
Los alquenos no cíclicos dan lugar a una
mezcla de productos. El análisis de la
estructura y cantidad de los fragmentos
obtenidos puede permitir averiguar la
estructura del alqueno de partida
Los alcoholes primarios son los únicos que pueden oxidarse a ácidos
carboxílicos sin ruptura de enlaces C-C
Los alcoholes secundarios y terciarios pueden oxidarse en condiciones muy enérgicas a ácidos
carboxícos, pero sufriendo ruptura de enlaces C-C
Los aldehídos se oxidan en condiciones muy suaves y con reactivos muy
selectivos a ácidos carboxílicos
El óxido de plata es un oxidante muy suave que resulta selectivo de
aldehídos. No se oxidará ninguna otra función, si existe en la molécula. Por
supuesto, oxidantes más fuertes como el KMnO4, K2Cr2O7 también oxidarán
los aldehídos a ácidos carboxílicos.
Las cetonas también pueden oxidarse a ácidos carboxícos pero tienen que sufrir ruptura
de un enlace C-C
La oxidación de cetonas pasa obligatoriamente por la ruptura de un enlace C-C. Si es enérgica se producen
dos ácidos carboxílicos. Si suave (oxidación de Baeyer-Villiger), se produce un éster que, una vez
hidrolizado, da lugar a un ácido y un alcohol.
Reactivos enérgicos: KMnO4, K2Cr2O7
Reactivo suave: perácidos carboxílicos.
4.2.2.- CARBOXILACIÓN DE COMPUESTOS ORGANOMETÁLICOS
Un método muy directo de preparar un ácido carboxílico, añadiendo un átomo de carbono más a la
molécula, es hacer reaccionar un compuesto organometálico con dióxido de carbono.
•Reactivos de Grignard
•Reactivos organolíticos
El carbono unido al metal, muy rico en electrones debido a la baja electronegatividad de éste último,
ataca al carbono del dióxido, muy pobre en electrones al estar unido a dos oxígenos más
electronegativos que él.
Ejemplos de síntesis de ácidos carboxílicos a traves de organometálicos
El tolueno puede ser precursor de dos ácidos muy diferentes. La etapa clave es la bromación. Si se
utiliza bromo molecular en presencia de un ácido de Lewis, la bromación se produce por SEAr en el
anillo. Si se emplea N-bromosuccinimida (NBS), generadora de bromo atómico radical, la bromación se
produce en posición bencílica. La metalación, en un caso en el anillo y en el otro en la posición bencílica,
da lugar a organolíticos diferentes. El organolítico aromático, por reacción con CO2, da lugar al p-
metilbenzoato de litio, mientras que el bencílico da lugar al fenilacetato de litio. ¡Donde pongo el
halógeno, pongo el carboxilato!.
4.2.3.- HIDRÓLISIS DE NITRILOS
Los nitrilos se hidrolizan en medio ácido o básico para dar ácidos carboxílicos.
Así la introducción de un grupo nitrilo, a partir de cianuro por SN de un compuesto con un buen grupo
saliente, es otro método para obtener un ácido carboxílico.
Recuerda que las reacciones de sustitución
nucleófila pueden no darse fácilmente, en
función de la estructura el grupo R..
Otra posibilidad interesante es la formación de
una cianhidrina, por adición de cianuro a un
aldehído. La hidrólisis del nitrilo permite obtener
α-hidroxiácidos en este caso.
Hidrólisis ácida
Hidrólisis alcalina
4.2.4.- HIDRÓLISIS DE DERIVADOS DE ÁCIDO
•Cloruros de ácido
•Anhídridos
•Ésteres
•Amidas
5.- REACTIVIDAD DE ÁCIDOS CARBOXÍLICOS
El mapa de reactividad de un ácido carboxílico está marcado, en primer
lugar, por la elevada acidez del OH y, en segundo, por la electrofilia del
carbono carbonílico.
La limitada acidez de los hidrógenos en a, muy patente en otros derivados
carbonílicos, queda totalmente enmascarada por la elevada acidez del grupo
carboxilo.
La acidez del
grupo carboxilo
suele interferir
casi siempre en
las reacciones
que se quieran
llevar a cabo en
medio básico,
neutralizando la
base e
impidiendo que
se produzcan.
Por tanto, el
ataque nucleófilo
al carbono
carbonílico
deberá hacerse,
en general, en
medio ácido.
Reducción hasta alcoholes
primarios
Conversión en haluros de
ácido
Conversión en ésteres
5.1.- REDUCCIÓN DE ÁCIDOS CARBOXÍLICOS
Un ácido carboxílico podrá reducirse y
dar lugar a otro grupo funcional con el
carbono en un estado de oxidación
menor, siempre que exista el reactivo
adecuado
•Reducción a aldehídos
Los metales alcalinos son buenos reductores
porque tienen una gran tendencia a ceder su
electrón más externo. El carbono carboxílico, con
deficiencia electrónica, puede aceptar el electrón y
reducirse así. La amina puede aportar los
hidrógenos necesarios. ¿Podrías plantear un
mecanismo razonable?
El hidruro de diisobutilaluminio, menos reactivo
que el hidruro de litio y aluminio, reduce el grupo
carboxilo parcialmente y la reducción se detiene
en el aldehído.
Reducción a alcoholes
Para reducir un grupo carboxilato a alcohol se necesitan reductores más enérgicos. Hay que tener precaución
si la molécula posee otros grupos funcionales ya que algunos de ellos pueden reducirse.
Reductor [H] Otros grupos que interfieren
LiALH4 / éter
¡Precaución!. La reacción del LAH con un ácido es fuertemente
exotérmica y puede dar lugar a explosiones o incendios.
BH3 / THF
5.2.- SUSTITUCIÓN DEL GRUPO HIDROXILO
El mecanismo de ataque a un ácido carboxílico o a un derivado suyo se denomina de adición-eliminación
porque siempre consta de, al menos, esas dos etapas. La etapa de adición ocurre primero y es seguida de otra
de eliminación.
El oxígeno del grupo carbonilo tiene propiedades débilmente básicas. En presencia de un ácido mineral o
de Lewis, las pocas moléculas que se protonen van a ser mucho más reactivas frente a un nucleófilo, ya
que se aumenta la deficiencia electrónica del carbono carbonílico. Las formas resonantes así nos lo
indican.
Las reacciones de los ácidos
carboxílicos se llevan a cabo en
medio ácido mineral o de Lewis. De
esta forma se evita la interferencia de
la acidez del grupo OH y se aumenta
la nucleofilia del carbono, al
producirse la protonación parcial del
grupo carbonilo, de propiedades
básicas.
En la etapa de adición el carbono inicialmente carbonílico cambia de hibridación sp2 (trigonal plana) a sp3
(tetraédrica).
Se produce entonces la adición del
nucleófilo, que debe ser protonado
porque estamos en medio ácido.
En la eliminación el carbono reaccionante recupera de hibridación sp2. El protón utilizado inicialmente se
recupera, por lo que la cantidad requerida de ácido para estas reacciones es catalítica.
La molécula de agua incipiente
formada en la etapa anterior se
elimina con facilidad, dando lugar al
derivado de ácido carboxílico, tras la
pérdida de un protón.
5.2.1- ESTERIFICACIÓN
La reacción se lleva a cabo con una cantidad catalítica
de un ácido mineral (clorhídrico o sulfúrico) que es
capaz de protonar el grupo carbonilo, débilmente
básico.
En presencia de un exceso de alcohol, que suele ser el
disolvente de la reacción, se produce el ataque
nucleófilo
La pérdida de agua reintegra la estructura protonada
del grupo carbonilo, que ya está unido al oxígeno
alcohólico
Diagrama de energía
5.2.2- FORMACIÓN DE HALUROS DE ÁCIDO
La transformación de un ácido carboxílico en un haluro de ácido conduce a un compuesto con mucha mayor
reactividad en el grupo carbonilo por la presencia del átomo de halógeno
El átomo de azufre del cloruro de tionilo es
muy electrófilo al estar unido a tres átomos
muy electronegativos. Puede ser atacado por
el OH de un alcohol o de un ácido carboxílico y
así expulsará un ion cloruro, muy buen grupo
saleinte.
Se prodece el ataque del cloruro al grupo
carbonilo
En el último paso se produce la pérdida del grupo
saliente, creado en la primera etapa previa a la
adición-eliminación. La formación final de SO2
gaseoso y su desprendimiento, desplazan los
equilibrios de las etapas anteriores hacia la
generación del cloruro de ácido
5.3.- SUSTITUCIÓN EN EL HIDRÓGENO α
La halogenación en a de un ácido carboxílico puede lograrse con bromo molecular y
fósforo atómico rojo:
Se consigue así funcionalizar la
posición a de un ácido y activarla
para poder efectuar reacciones
posteriores.
La reacción toma el nombre de sus descubridores: Hell-Volhard-Zelinski
5.4.- FORMACIÓN DE SALES (ACIDEZ)
CON METALES
CON HIDRÓXIDOS METÁLICOS
CON CARBONATOS O
HIDROGENOCARBONATOS
CON AMONIACO
CON AMINAS
6.- DERIVADOS DE LOS ÁCIDOS CARBOXÍLICOS
Los ésteres cíclicos son llamados lactonas
Las amidas cíclicas son llamas lactamas
6.1- NOMENCLATURA DE LOS DERIVADOS DE LOS ÁCIDOS
CARBOXÍLICOS
Ésteres
Un éster es un derivado de condensación entre un ácido carboxílico y un alcohol (ácido + alcohol =
éster + agua). Por analogía con las sales inorgánicas (ácido + base = sal + agua), los ésteres se nombran
como si fueran sales del ácido (carboxilato), siendo el imaginario contraion un resto alquilo.
Formiato de metilo
Isobutirato de
isopropilo
2-Metilpropanoato
de 1-metiletilo
Ciclohexil-
carboxilato de etilo
d-Lactona
2-oxooxa-
ciclohexano
2-oxopirano
Cuando la función éster no es la principal se nombra como alquilioxicarbonil o alquilcarboniloxi,
dependiendo de si se une a la cadena principal por el grupo carbonilo o por el oxígeno.
2-Benciloxicar-
bonilbenzaldehído
2-Bencilcarbonil-
oxibenzaldehído
•Amidas
Una amida es un derivado de condensación de un ácido carboxílico y una amina. Las amidas se nombran
como los ácidos correspondientes, sustituyendo el sufijo ico, oico o ílico por amida. Los sustituyentes en el
nitrógeno se nombran como en las aminas, con el localizador N.
Formamida N,N,2-Trimetil-
propanamida
Ácido 3-carbamoil-
benzoico
N-Metil Ciclopentil-
carboxamida
d-Lactama
2-oxoaza-
ciclohexano
2-oxopiperidina
propenamida
acrilamida
Cuando la función amida no es la principal el grupo CONH2 de denomina carbamoílo.
•Haluros de ácido (acilo o alcanoílo)
Los haluros de ácido, acilo o alcanoílo son como los ácidos carboxílicos, en los que el grupo OH se ha
sustituído por un halógeno. Se nombran como halogenuros de alcanoílo, no de alquilo, para indicar la
presencia del grupo carbonilo.
Cloruro de acetilo Bromuro de 3-bromo-2-
metilbutanoilo
Fluoruro de ciclobutano-
carbonilo
Ácido 2-(2-
cloroformilciclo-
pentil)acético
Cuando la función haluro de acilo no es la principal, se nombra como haloformil, con el
correspondiente número localizador.
•Anhídridos
Un anhídrido es un producto de condensación de dos ácidos carboxílicos. Se nombran como los ácidos
carboxílicos, sustituyendo el nombre de ácido por anhídrido.
Anhídrido acético
Anhídrido
3,5-dimetilhexanoico Anhídrido acético benzoico
•Nitrilos
Un nitrilo puede considerarse un derivado de ácido ya que proviene de la deshidratación de una amida.
Si el grupo funcional CN es el principal se engloba dentro del nombre de la cadena principal, utilizando el
sufijo "nitrilo". Si no actúa como función principal, se considera como un sustituyente "ciano" con el
número localizador correspondiente.
4-Metilpentanonitrilo
El grupo funcional se engloba
dentro de la cadena principal
(S)-2-Metil-3-
hexinonitrilo
El grupo funcional se engloba
dentro de la cadena principal
Butanodinitrilo
(succinonitrilo)
Los grupos funcionales se engloban
dentro de la cadena principal
trans-3-metilciclo-
hexanocarbonitrilo
El grupo funcional no se puede
englobar dentro de la cadena
principal
m-Clorobenzonitrilo
El grupo funcional no se puede
englobar dentro de la cadena
principal
Cianoacetato de
2-cianoetilo
El grupo CN no es la función
principal
6.2- PROPIEDADES FÍSICAS DE LOS DERIVADOS DE LOS
ÁCIDOS CARBOXÍLICOS
Diagrama comparativo
Puntos de ebullición de alcanos, ácidos carboxílicos, ésteres, haluros de ácido y amidas
Los ácidos forman dímeros y tienen puntos de ebullición equivalentes a los alcanos de peso molecular doble. Los ésteres y
haluros de ácido no pueden formar dímeros. Tienen puntos de ebullición parecidos a los alcanos de igual número de carbonos, lo
que indica que la función éster o haluro de ácido, sin duda polar, no aporta cohesión intermolecular adicional a las fuerzasde van
der Waals, que son las más importantes.
Las acetamidas tienen puntos de ebullición mucho más altos que los alcanos de peso molecular semejante. En una molécula
pequeña, como las acetamidas, la polaridad del grupo amida sí aporta cohesión intermolecular adicional.
Physical Properties of Some Carboxylic Acid Derivatives
Formula IUPAC Name Molecular Weight Boiling Point Water Solubility
CH3(CH2)2CO2H butanoic acid 88 164 ºC very soluble
CH3(CH2)2CONH2 butanamide 87 216-220 ºC soluble
CH3CH2CONHCH3 N-methylpropanamide 87 205 -210 ºC soluble
CH3CON(CH3)2 N,N-dimethylethanamide 87 166 ºC very soluble
HCON(CH3)CH2CH3 N-ethyl, N-methylmethanamide 87 170-180 ºC very soluble
CH3(CH2)3CN pentanenitrile 83 141 ºC slightly soluble
CH3CO2CHO
ethanoic methanoic
anhydride
88 105-112 ºC reacts with water
CH3CH2CO2CH3 methyl propanoate 88 80 ºC slightly soluble
CH3CO2C2H5 ethyl ethanoate 88 77 ºC moderately soluble
CH3CH2COCl propanoyl chloride 92.5 80 ºC reacts with water
CH3(CH2)3CHO pentanal 86 103 ºC slightly soluble
CH3(CH2)2COCH3 2-pentanone 86 102 ºC slightly soluble
El orden de reactividad se explica teniendo en cuenta la basicidad del
grupo saliente
6.3- REACTIVIDAD DE LOS DERIVADOS DE LOS ÁCIDOS CARBOXÍLICOS
6.4- SÍNTESIS DE LOS DERIVADOS DE LOS ÁCIDOS CARBOXÍLICOS
6.4- REACCIONES DE LOS DERIVADOS DE LOS ÁCIDOS CARBOXÍLICOS
6.4.1.- REDUCCIÓN DE
ÁCIDOS CARBOXÍLICOS
Y ÉSTERES
Tanto los ácidos
carboxílicos como los
ésteres pueden
reducirse a alcoholes
empleando un
reductor fuerte como
el hidruro de aluminio
y litio
6.4.2.- REACCIÓN DE ÉSTERES CON ORGANOMETÁLICOS
6.4.3.- CONDENSACIÓN DE CLAISEN
6.4.4.- SAPONIFICACIÓN DE ÉSTERES
NOMENCLATURA
Formaldehído
Metanal
Acetaldehído
Etanal
Benzaldehído
Benceno-
carbaldehído
Acetona
Dimetil cetona
Propanona
Etil metil cetona
Butanona
Benzofenona
Difenil cetona
Acetofenona
Fenil metil cetona
1-Feniletanona
3-Cloro-4-
metilpentanal
cis-4-Hidroxi-
ciclohexano-
carbaldehído
3-Nitro-
benzaldehído
5-Hidroxi-
6-hepten-3-ona Ciclohexanona
4-Oxo-2-
hexenal
Ácido trans-2-
formilciclo-
pentano-
carboxílico 2-Butinal
NOMENCLATURA
ÁCIDOS CARBOXÍLICOS
• Algunos ácidos alifáticos se conocen desde hace cientos de años y sus nombres
comunes reflejan sus orígenes históricos.
• El ácido carboxílico más simple, el ácido fórmico, es el causante de la irritación
causada por la picadura de las hormigas (del latín formica, hormiga).
• El ácido acético se aisló del vinagre, cuyo nombre en latín es acetum (agrio). El
ácido propiónico se consideró como el primer ácido graso, y su nombre deriva del
griego protos pion (primera grasa).
• El ácido butírico se obtiene por oxidación del butiraldehído, que se encuentra en
la mantequilla (en latín butyrum). Los ácidos caproico, caprílico y cáprico se
encuentran en las secreciones cutáneas de las cabras (capri en latín).
NOMENCLATURA
ÁCIDOS CARBOXÍLICOS
• La nomenclatura IUPAC para los ácidos carboxílicos emplea el nombre del
alcano que corresponde a la cadena más larga de átomos de carbono, que
incluye al grupo carboxílico.
• El carbono del grupo carboxílico lleva el nº 1
• La o final de alcanos se sustituye por el sufijo oico, y se antepone la
palabra ácido.
• y los sustituyentes en las cadenas hidrocarbonadas se nombran como en
los hidrocarburos simples.
NOMENCLATURA
ÁCIDOS CARBOXÍLICOS
Sufijo: -oico
Ácido (nombre de la estructura principal) + terminación –o cambia a -oico
CH3-COOH
2 carbonos: etano Ácido etanoico
(Ácido acético)
NOMENCLATURA
ÁCIDOS CARBOXÍLICOS
• El grupo –COOH es grupo principal y el C no está incluido en la cadena
principal
Sufijo: -carboxílico
Ácido (nombre de la estructura principal) + terminación –carboxílico
COOH
Benceno
Ácido bencenocarboxílico
ACIDO BENZOICO
COOH
Ciclohexano
Ácido
ciclohexanocarboxílico
NOMENCLATURA
ÁCIDOS CARBOXÍLICOS
• Si hay más de dos grupos –COOH unidos a la cadena principal y el grupo –
COOH no es grupo principal
COOH
HOOC-CH2-CH2-CH-CH2-CH2-COOH
7
4
1
Ácido 4-carboxiheptanodioico
(Ácido 1,3,5-pentanotricarboxílico)
1 3 5
CO2H
CO2H
HO2C
Ácido 3-(carboximetil)hexanodioico
1
6
3
Prefijo: Carboxi-
NOMENCLATURA
ÁCIDOS CARBOXÍLICOS
COOH
HOOC-CH2-CH2-CH-CH2-CH2-COOH
5
3
1
Ácido 1,3,5-pentanotricarboxílico
CO2H
HO2C
CO2H
CO2
H
3
1
2
6
Ácido 3-(2-carboxietil)hexano-1,2,6-tricarboxílico
NOMENCLATURA
ÁCIDOS CARBOXÍLICOS
NOMBRES VULGARES ACEPTADOS
H-COOH
CH3-COOH
CH3-CH2-COOH
CH3-(CH2)2-COOH
CH3-(CH2)3-COOH
Ácido formico
Ácido acético
Ácido propiónico
Ácido butírico
Ácido valérico
1.- Ácidos monocarboxílicos
2.- Ácidos dicarboxílicos
HOOC-COOH
HOOC-CH2-COOH
HOOC-(CH2)2-COOH
CH3-(CH2)5-COOH
CH3-(CH2)6-COOH
HOOC-(CH2)3-COOH
HOOC-(CH2)4-COOH
CH3-(CH2)7-COOH
CH3-(CH2)8-COOH
Ácido oxálico
Ácido malónico
Ácido succinico
Ácido pimélico
Ácido subérico
Ácido glutárico
Ácido adípico
Ácido acelaico
Ácido sebácico
H H
COOH
HOOC
H
H
HOOC
COOH
COOH
COOH
Ácido maleico Ácido ftálico
Ácido fumárico
NOMENCLATURA
ÁCIDOS CARBOXÍLICOS
• Los ácidos carboxílicos de cadena larga con número par de átomos de
carbono son de gran importancia biológica por su abundancia en grasas y
aceites y son referenciados generalmente como ácidos grasos. Dichos
ácidos grasos conservan también nombres triviales:
Ácido Láurico
Ácido Mirístico
Ácido Palmítico, etc
• Otro sistema para nombrar los ácidos carboxílicos consiste en
designar a los átomos de carbono con las letras griegas α, β, γ, δ, etc.
Que están próximos al grupo carboxilo.
NOMENCLATURA
ÁCIDOS CARBOXÍLICOS
• Para nombrar a los radicales R-COO, se cambia la terminación –
OICO por –ATO:
H-COO- Metanoato
H3C-COO- Etanoato
H3C-CH2-COO- Propanoato
NOMENCLATURA
ÁCIDOS CARBOXÍLICOS
• Para el nombre de los radicales acilo:
Terminación del
nombre vulgar
- oico - oilo
- ico - ilo
- oxílico - onilo
O
CH3-C-
Radical acetilo
o etanoilo
C
O
Radical benzoilo
C
O
Radical
ciclohexanocarbonilo
NOMENCLATURA
ÁCIDOS CARBOXÍLICOS
• Aniones y Sales de los Ácidos Carboxílicos
Sufijo anión -ico (ácido) -ato
Anión acetato
O
O
O
C
H3 O
Anión benzoato
NOMENCLATURA
ÁCIDOS CARBOXÍLICOS
◆ Sales Neutras:
O
O
Na
+
Nombre Anión + de + Nombre Catión
Nombre Anión + Nombre Catión adjetivado
Heptanoato de sodio
Heptanoato sódico
O
O
K+
Ciclopentanocarboxilato
de potasio
O
O
Li+
Benzoato
de litio
NOMENCLATURA
ÁCIDOS CARBOXÍLICOS
◆Sales ácidas:
O
O
O
O
K
H
+
+
Igual que las neutras y las palabras hidrógeno,
dihidrógeno, etc. detrás del nombre de los cationes
O
O
O
HO
O OH
Na+
Ftalato de potasio
e hidrógeno
1,3,5-Pentanotricarboxilato
de sodio y dihidrógeno
NOMENCLATURA
ÁCIDOS CARBOXÍLICOS
NOMENCLATURA
DERIVADOS DE LOS ÁCIDOS CARBOXÍLICOS
HALOGENUROS DE ACILO
• Estos compuestos llevan nombre al estilo de sales inorgánicas. El nombre
del grupo acilo se deriva del ácido carboxílico reemplazando la
terminación ico por ilo o la terminación carboxílico por carbonilo.
NOMENCLATURA
DERIVADOS DE LOS ÁCIDOS CARBOXÍLICOS
ANHIDRIDOS
• Los anhídridos simétricos de ácidos carboxílicos de cadena recta y los anhídridos cíclicos de
ácidos dicarboxílicos se nombran cambiando la palabra ácido por anhídrido.
• Si el anhídrido se deriva de un ácido sustituido, se utiliza el prefijo bis en el nombre.
Anhídridos asimétricos se nombran anteponiendo la palabra anhídrido al nombre de los dos
ácidos.
NOMENCLATURA
DERIVADOS DE LOS ÁCIDOS CARBOXÍLICOS
ÉSTERES
• Los ésteres reciben nombres como si fueran sales inorgánicas. La terminación ico
del ácido correspondiente se cambia a ato y luego se menciona el grupo
alcohoxilo con la terminación ilo separando las dos palabras con la palabra de.
NOMENCLATURA
DERIVADOS DE LOS ÁCIDOS CARBOXÍLICOS
AMIDAS
• Las amidas se nombran a partir del ácido que les da origen, eliminando la palabra
ácido y cambiando la terminación oico o ico por amida o la terminación
carboxílico por carboxamida.
• Si la amida tiene sustituyentes alquílicos en el átomo de nitrógeno, se indica su
posición con el prefijo N-.
NOMENCLATURA
DERIVADOS DE LOS ÁCIDOS CARBOXÍLICOS
NITRILOS
• Para dar nombre a estos compuestos, se escoge la cadena más larga, incluyendo el
carbono del grupo –CN, y al nombre del alcano correspondiente se la agrega el
sufijo nitrilo.
• El carbono número 1 es el carbono del nitrilo;
NOMENCLATURA
DERIVADOS DE LOS ÁCIDOS CARBOXÍLICOS
NITRILOS
• Si el grupo –CN es grupo principal, pero no forma parte de la cadena principal se
utiliza el sufijo carbonitrilo.
NOMENCLATURA
DERIVADOS DE LOS ÁCIDOS CARBOXÍLICOS
NITRILOS
• En la nomenclatura rádico-funcional se consideran derivados del ácido cianhídrico
(HCN) denominándose como cianuros de alquilo .
• Si se considera como sustituyente se utiliza el prefijo ciano-.
EJERCICIO: Nombrar los siguientes compuestos
Acido ciclohexanocarboxilico
Acido bencenocarboxilico
Acido 1,1,3-propanotricarboxilico
Acido propenoico
Acido propanodioico
EJERCICIO: Nombrar los siguientes compuestos
EJERCICIO: Nombrar los siguientes compuestos
EJERCICIO: Nombrar los siguientes compuestos
Acido benceno-1,2-dicarboxilico
Acido butanoico
Acido naftaleno-2-carboxilico
Acidos carboxilicos

Acidos carboxilicos

  • 1.
  • 2.
    INTRODUCCIÓN Los ácidos carboxílicosestán clasificados entre uno de los grupos funcionales más importantes en la química orgánica. Su importancia se debe a que los podemos encontraren muchas partes, desde nuestro propio cuerpo humano hasta productos industriales que usamos a diario. También los encontramos ampliamente en la naturaleza como ácidos carboxílicos saturados simples, por ejemplo en la picadura de una hormiga o de una abeja, donde está presente el ácido fórmico, o simplemente en la aspirina el ácido salicílico.
  • 3.
    ÁCIDOS CARBOXÍLICOS • ácido =temor = ácidos inorgánicos. • Ácidos orgánicos, estos no tienen el mismo comportamiento, ya que resultan de una combinación orgánica, es decir, unido a otro átomo de carbono. • forman parte de los aminoácidos • Ácidos grasos • Frutas (ácido cítrico, málico y tartárico). • Ácidos biliares • Algunas vitaminas (vit. PP - niacina) • Algunos medicamentos (ácido acetilsalicilico).
  • 5.
    ÁCIDOS CARBOXÍLICOS Àcido Oleico Grasamonoinsaturada presente en los aceites vegetales como el aceite de oliva. Su consumo reduce el riesgo de enfermedades cardiovasculares. Aspirina Ácido acetilsalicílico (Aspirina). Antiinflamatorio no esteroideo de la familia de los salicilatos, usado frecuentemente como analgésico, antipirético, antiagregante plaquetario y antiinflamatorio
  • 6.
    Los ácidos carboxílicosson los productos finales de la serie de oxidación R-CH3 → R-CH2OH → R-CHO → R-COOH Alcohol Aldehído Ácido carboxílico
  • 7.
    El nombre carboxílicocon el que se designa al grupo funcional es se compone de dos grupos carbonilo y el hidroxilo carbonilo hidroxilo O O-H C O C O-H
  • 8.
    Los ácidos carboxílicosse representan como: O H-O C R R-COOH RCO2H Donde R puede ser alifático, cíclico o aromático
  • 9.
    CLASIFICACIÓN ÁCIDO MONOCARBOXÍLICO C OH O CH2 CH2 C H3 ÁcidoButanoico ÁCIDO DICARBOXÍLICO Ácido Ftálico ÁCIDO TRICARBOXÍLICO Ácido Cítrico
  • 10.
    Propiedades físicas Solubilidad: El grupocarboxilo –COOH confiere carácter polar a los ácidos y permite la formación de puentes de hidrógeno entre la molécula de ácido carboxílico y la molécula de agua.
  • 11.
    Los ácidos carboxílicosson solubles en solventes menos polares, tales como éter, alcohol, benceno, etc. Punto de ebullición: Los ácidos carboxílicos presentan puntos de ebullición elevados debido a la presencia de doble puente de hidrógeno.
  • 12.
    Punto de fusión: Elpunto de fusión varía según el número de carbonos, siendo más elevado el de los ácidos fórmico y acético, al compararlos con los ácidos propiónico, butírico y valérico de 3, 4 y 5 carbonos, respectivamente. Después de 6 carbonos el punto de fusión se eleva de manera irregular
  • 13.
    Las sales delos ácidos carboxílicos son sólidos cristalinos no volátiles constituidos por iones positivos y negativos y sus propiedades son las que corresponden a tales estructuras.
  • 14.
    Propiedades químicas Formación dehidrólisis de nitrilos. Los mejores reactivos para convertir los ácidos carboxílicos en cloruros de ácido son el cloruro de tionilo (SOCl2) y el cloruro de oxalilo (COCl)2, porque forman subproductos gaseosos que no contaminan al producto. El cloruro de oxalilo es muy fácil de emplear porque hierve a 62ºC y se evapora de la mezcla de reacción.
  • 15.
    Los ACIDOS CARBOXÍLICOScontienen el grupo carboxilo que es uno de los grupos más importantes en química y bioquímica, ya que permite la síntesis de otros compuestos. Los ácidos son unos de los compuestos que les confieren olor y sabor a muchos productos.
  • 16.
    • Algunos delos derivados se utilizan como analgésicos por ejemplo el ácido salicílico y el ácido acetilsalicílico
  • 17.
    Utilidad en laindustria de los ácidos carboxílicos El de mayor aplicación industrial
  • 18.
    SÍNTESIS DE ÁCIDOSORGÁNICOS a) Oxidación de alquenos R - COOH + R* - COOH KMnO4 b) Ozonolisis de alquenos y alquinos O3 H2O2 R - COOH + R* - COOH R - C C - R* O3 H2O2 R - COOH + R* - COOH c) Oxidación de alcoholes primarios y aldehidos R - CH2OH R - COOH R - COOH Cr2O7K2/H + d) Oxidación de alquilbencenos R KMnO4 COOH Q KMnO4 /H + R - CHO Q R - CH CH- R* CH- R* R - CH OBTENCIÓN DE ÁCIDOS CARBOXÍLICOS
  • 19.
    R KMnO4 COOH e) Oxidación demetilcetonas (haloformo) R - CO - CH3 R - COOH + CHX3 NaOH/X2 Si X=I2 CHI3 (precipitado de color amarillo) f) Hidrólisis de cianuros de alquilo (nitrilos) Medio ácido R - C N + 2H2O HCl R - COOH + NH4Cl R - COONa + NH3 Hidrolisis R - COOH Q NaOH g) Reacción de los reactivos de Grignard con dióxido de carbono R - Mg X + O = C = O R - C O - O - MgX HX R - COOH + MgX2 Medio básico R - C N + 2H2O OBTENCIÓN DE ÁCIDOS CARBOXÍLICOS
  • 20.
    DERIVADOS DE LOSÁCIDOS CARBOXÍLICOS Cuando el OH del carboxilo es sustituido por otro radical : -X, -OCOR, - OR, -NH2 Generan compuestos conocidos como: Haluros de acilo, anhídridos de acilo, esteres, amidas. Estas sustancias se denominan: DERIVADOS FUNCIONALES DE LOS ÁCIDOS CARBOXÍLICOS.
  • 21.
    Cuando el OH delcarboxilo es sustituido por otro radical: -OR -NH2 Estas sustancias se denominan: DERIVADOS FUNCIONALES DE LOS ÁCIDOS CARBOXÍLICOS. -X -OCOR -Esteres -Amidas -Haluros de acilo -Anhídridos de acilo
  • 22.
    Fórmula de losderivados de los ácido carboxílico O C R X O C R O C R O C R O C R O O R NH2 Haluro de acilo Amida Anhidrido de acilo Ester
  • 23.
    Ácidos carboxílicos enproductos naturales
  • 25.
    Derivados de losácidos carboxílicos Los ésteres cíclicos son llamados lactonas Las amidas cíclicas son llamas lactamas
  • 26.
    1.- NOMENCLATURA La funciónácido carboxílico es siempre, con muy pocas excepciones, la principal. Ácido 2-cloropropanoico Ácido 3-butenoico Ácido 2-(1-metiletil)- 3,4,5-trimetilhexanoico Ácido 2,4-bis(1-metiletil)- 3-metil-4-pentenoico Ácido 2-(1-metiletil)- 3,5-dimetil-4-oxohexanoico Ácido 2-bromo-2-metil- ciclohexanocarboxílico Ácido 2-(2-formilciclopentil) acético CF3CO2H Ácido trifluoracético (TFA)
  • 27.
    2.- PROPIEDADES FÍSICAS Propiedadesfísicas de algunos compuestos orgánicos Fórmula IUPAC Nombre Masa Molecular Punto Ebullición Solubilidad en agua CH3(CH2)2CO2H Ácido butanoico 88 164 ºC muy soluble CH3(CH2)4OH 1-pentanol 88 138 ºC poco soluble CH3(CH2)3CHO pentanal 86 103 ºC poco soluble CH3CO2C2H5 Etanoato de etilo 88 77 ºC moderadamente soluble CH3CH2CO2CH3 Propanoato de metilo 88 80 ºC poco soluble CH3(CH2)2CONH 2 Butanamida 87 216 ºC soluble CH3CON(CH3)2 N,N-dimetilletanamida 87 165 ºC muy soluble CH3(CH2)4NH2 1-aminobutano 87 103 ºC muy soluble CH3(CH2)3CN pentanonitrilo 83 140 ºC poco soluble CH3(CH2)4CH3 hexano 86 69 ºC insoluble
  • 28.
    Formula Nombre comúnFuente IUPAC Nombre Punto fusión Punto ebullición HCO2H Ácido fórmico Hormiga (L. formica) Ácido metanoico 8.4 ºC 101 ºC CH3CO2H Ácido acetico vinagre (L. acetum) Ácido etanoico 16.6 ºC 118 ºC CH3CH2CO2H Ácido propionico leche (Gk. protus prion) Ácido propanoico -20.8 ºC 141 ºC CH3(CH2)2CO2H Ácido butírico mantequilla (L. butyrum) Ácido butanoico -5.5 ºC 164 ºC CH3(CH2)3CO2H Ácido valérico Valeriana raiz Ácido pentanoico -34.5 ºC 186 ºC CH3(CH2)4CO2H Ácido caproico cabras (L. caper) Ácido hexanoico -4.0 ºC 205 ºC CH3(CH2)5CO2H Ácido enántico vid (Gk. oenanthe) Ácido heptanoico -7.5 ºC 223 ºC CH3(CH2)6CO2H Ácido caprílico cabras (L. caper) Ácido octanoico 16.3 ºC 239 ºC CH3(CH2)7CO2H Ácido pelargónico pelargonium (hierba) Ácido nonanoico 12.0 ºC 253 ºC CH3(CH2)8CO2H Ácido cáprico cabras (L. caper) Ácido decanoico 31.0 ºC 219 ºC
  • 29.
    Saturados Fórmula Nombre ComúnPunto Fusión CH3(CH2)10CO2H Ácido láurico 45 ºC CH3(CH2)12CO2H Ácido mirístico 55 ºC CH3(CH2)14CO2H Ácido palmítico 63 ºC CH3(CH2)16CO2H Ácido esteárico 69 ºC CH3(CH2)18CO2H Ácido araquídico 76 ºC Insaturados Fórmula Nombre Común Punto Fusión CH3(CH2)5CH=CH(CH2)7CO2H Ácido palmitoleico 0 ºC CH3(CH2)7CH=CH(CH2)7CO2H Ácido oleico 13 ºC CH3(CH2)4CH=CHCH2CH=CH(CH2)7CO2H Ácido linoleico -5 ºC CH3CH2CH=CHCH2CH=CHCH2CH=CH(CH2)7CO2H Ácido linolénico -11 ºC CH3(CH2)4(CH=CHCH2)4(CH2)2CO2H Ácido araquidónico -49 ºC ÁCIDOS GRASOS
  • 30.
    3.- ACIDEZ DELOS ÁCIDOS CARBOXÍLICOS Compuesto pKa RCH3 45 R-NH2 35 25 R-CH2CO-R’ 20 R-OH 18 H2O 15 ArOH 10 R-CO2H 4 La fortaleza de un ácido AH está relacionada con la estabilidad de su base conjugada A-. El anión carboxilato, base conjugada de la función ácido, es extraordinariamente estable porque posee una elevada deslocalización de la carga negativa. Formas resonantes del anión carboxilato, totalmente equivalentes, en las que la carga negativa se sitúa sobre átomos electronegativos. La acidez de los ácidos carboxílicos es patente, como lo demuestra el valor medio de pKa. El valor más bajo (mayor acidez) corresponde a la función CO2H. Los ácidos carboxílicos son un millón de veces más ácidos que los fenoles, 1011 veces más que el agua, 1014 veces más que los alcoholes, etc. ¿Por qué?.
  • 31.
    Además del efectoresonante, el efecto inductivo también juega un papel notable en la acidez de los ácidos carboxílicos La acidez de un ácido carboxílico está modulada por la estructura del grupo R. Un grupo R dador de electrones, desestabilizará el anión carboxilato y hará que la fortaleza del ácido correspondiente sea menor. Este es el caso, por ejemplo, de los restos alquilo. Por el contrario, un grupo R electronegativo deslocalizará aún más la carga negativa del anión carboxilato, estabilizandolo, con lo que la fortaleza del ácido aumentará. Este es el caso, por ejemplo, de los restos halometilo
  • 32.
    R-CO2H pKa CH3 4.74 ClCH22.86 Cl2CH 1.26 Cl3C 0.64 F3C 0.23 R-CO2H pKa CH3CH2CH2 4.90 CH3CH2CHCl 2.84 CH3CHClCH2 4.06 ClCH2CH2CH 2 4.52 El aumento del número de halógenos estabiliza de forma creciente el anión carboxilato y la acidez aumenta. El cambio de cloro por fluor, más electronegativo, aumenta la acidez. La presencia de un átomo de cloro en posición contigua al grupo carboxilato deslocaliza la carga negativa y aumenta la acidez. Pero esta deslocalización es muy sensible a la distancia. Cuando el cloro está en la posición 3 ó 4 la acidez disminuye, aunque continúa siendo ligeramente mayor que en ausencia del halógeno
  • 33.
    4.- PREPARACIÓN DEÁCIDOS CARBOXÍLICOS
  • 34.
    4.1.- MÉTODOS INDUSTRIALES •Ácidofórmico Ácido acético •Oxidación de etileno •Ruptura oxidativa del butano •Carbonilación del metanol
  • 35.
    4.2.- MÉTODOS LABORATORIO 4.2.1.-OXIDACIÓN Los ácidos y derivados poseen el carbono del grupo carboxílico en un estado de oxidación formal +3, el más alto que puede tener un carbono en un grupo funcional orgánico. Por tanto, un ácido carboxílico podrá obtenerse a partir de la oxidación de casi cualquier otro grupo funcional, siempre que exista el reactivo adecuado.
  • 36.
    Los alcanos sondifíciles de oxidar selectivamente. Sin embargo, la posición bencílica es fácilmente oxidable La oxidación con MnO2, oxidante muy suave, sólo ha ocurrido en la posición bencílica, siendo esta reacción altamente regioselectiva. La oxidación enérgica de alquilbencenos provoca la formación de ácidos benzoicos. La oxidación ocurre en la posición bencílica.
  • 37.
    Los alquenos puedenoxidarse a ácidos carboxílicos, sufriendo la ruptura del doble enlace La ozonolisis resulta útil para comvertir cicloalquenos en compuestos dicarbonílicos que, a su vez, pueden dar lugar a reacciones importantes. Los alquenos no cíclicos dan lugar a una mezcla de productos. El análisis de la estructura y cantidad de los fragmentos obtenidos puede permitir averiguar la estructura del alqueno de partida
  • 38.
    Los alcoholes primariosson los únicos que pueden oxidarse a ácidos carboxílicos sin ruptura de enlaces C-C Los alcoholes secundarios y terciarios pueden oxidarse en condiciones muy enérgicas a ácidos carboxícos, pero sufriendo ruptura de enlaces C-C
  • 39.
    Los aldehídos seoxidan en condiciones muy suaves y con reactivos muy selectivos a ácidos carboxílicos El óxido de plata es un oxidante muy suave que resulta selectivo de aldehídos. No se oxidará ninguna otra función, si existe en la molécula. Por supuesto, oxidantes más fuertes como el KMnO4, K2Cr2O7 también oxidarán los aldehídos a ácidos carboxílicos.
  • 40.
    Las cetonas tambiénpueden oxidarse a ácidos carboxícos pero tienen que sufrir ruptura de un enlace C-C La oxidación de cetonas pasa obligatoriamente por la ruptura de un enlace C-C. Si es enérgica se producen dos ácidos carboxílicos. Si suave (oxidación de Baeyer-Villiger), se produce un éster que, una vez hidrolizado, da lugar a un ácido y un alcohol. Reactivos enérgicos: KMnO4, K2Cr2O7 Reactivo suave: perácidos carboxílicos.
  • 41.
    4.2.2.- CARBOXILACIÓN DECOMPUESTOS ORGANOMETÁLICOS Un método muy directo de preparar un ácido carboxílico, añadiendo un átomo de carbono más a la molécula, es hacer reaccionar un compuesto organometálico con dióxido de carbono. •Reactivos de Grignard •Reactivos organolíticos El carbono unido al metal, muy rico en electrones debido a la baja electronegatividad de éste último, ataca al carbono del dióxido, muy pobre en electrones al estar unido a dos oxígenos más electronegativos que él.
  • 42.
    Ejemplos de síntesisde ácidos carboxílicos a traves de organometálicos El tolueno puede ser precursor de dos ácidos muy diferentes. La etapa clave es la bromación. Si se utiliza bromo molecular en presencia de un ácido de Lewis, la bromación se produce por SEAr en el anillo. Si se emplea N-bromosuccinimida (NBS), generadora de bromo atómico radical, la bromación se produce en posición bencílica. La metalación, en un caso en el anillo y en el otro en la posición bencílica, da lugar a organolíticos diferentes. El organolítico aromático, por reacción con CO2, da lugar al p- metilbenzoato de litio, mientras que el bencílico da lugar al fenilacetato de litio. ¡Donde pongo el halógeno, pongo el carboxilato!.
  • 43.
    4.2.3.- HIDRÓLISIS DENITRILOS Los nitrilos se hidrolizan en medio ácido o básico para dar ácidos carboxílicos. Así la introducción de un grupo nitrilo, a partir de cianuro por SN de un compuesto con un buen grupo saliente, es otro método para obtener un ácido carboxílico. Recuerda que las reacciones de sustitución nucleófila pueden no darse fácilmente, en función de la estructura el grupo R.. Otra posibilidad interesante es la formación de una cianhidrina, por adición de cianuro a un aldehído. La hidrólisis del nitrilo permite obtener α-hidroxiácidos en este caso.
  • 44.
  • 45.
    4.2.4.- HIDRÓLISIS DEDERIVADOS DE ÁCIDO •Cloruros de ácido •Anhídridos •Ésteres •Amidas
  • 46.
    5.- REACTIVIDAD DEÁCIDOS CARBOXÍLICOS
  • 47.
    El mapa dereactividad de un ácido carboxílico está marcado, en primer lugar, por la elevada acidez del OH y, en segundo, por la electrofilia del carbono carbonílico. La limitada acidez de los hidrógenos en a, muy patente en otros derivados carbonílicos, queda totalmente enmascarada por la elevada acidez del grupo carboxilo. La acidez del grupo carboxilo suele interferir casi siempre en las reacciones que se quieran llevar a cabo en medio básico, neutralizando la base e impidiendo que se produzcan. Por tanto, el ataque nucleófilo al carbono carbonílico deberá hacerse, en general, en medio ácido.
  • 48.
    Reducción hasta alcoholes primarios Conversiónen haluros de ácido Conversión en ésteres
  • 49.
    5.1.- REDUCCIÓN DEÁCIDOS CARBOXÍLICOS Un ácido carboxílico podrá reducirse y dar lugar a otro grupo funcional con el carbono en un estado de oxidación menor, siempre que exista el reactivo adecuado
  • 50.
    •Reducción a aldehídos Losmetales alcalinos son buenos reductores porque tienen una gran tendencia a ceder su electrón más externo. El carbono carboxílico, con deficiencia electrónica, puede aceptar el electrón y reducirse así. La amina puede aportar los hidrógenos necesarios. ¿Podrías plantear un mecanismo razonable? El hidruro de diisobutilaluminio, menos reactivo que el hidruro de litio y aluminio, reduce el grupo carboxilo parcialmente y la reducción se detiene en el aldehído.
  • 51.
    Reducción a alcoholes Parareducir un grupo carboxilato a alcohol se necesitan reductores más enérgicos. Hay que tener precaución si la molécula posee otros grupos funcionales ya que algunos de ellos pueden reducirse. Reductor [H] Otros grupos que interfieren LiALH4 / éter ¡Precaución!. La reacción del LAH con un ácido es fuertemente exotérmica y puede dar lugar a explosiones o incendios. BH3 / THF
  • 52.
    5.2.- SUSTITUCIÓN DELGRUPO HIDROXILO El mecanismo de ataque a un ácido carboxílico o a un derivado suyo se denomina de adición-eliminación porque siempre consta de, al menos, esas dos etapas. La etapa de adición ocurre primero y es seguida de otra de eliminación. El oxígeno del grupo carbonilo tiene propiedades débilmente básicas. En presencia de un ácido mineral o de Lewis, las pocas moléculas que se protonen van a ser mucho más reactivas frente a un nucleófilo, ya que se aumenta la deficiencia electrónica del carbono carbonílico. Las formas resonantes así nos lo indican. Las reacciones de los ácidos carboxílicos se llevan a cabo en medio ácido mineral o de Lewis. De esta forma se evita la interferencia de la acidez del grupo OH y se aumenta la nucleofilia del carbono, al producirse la protonación parcial del grupo carbonilo, de propiedades básicas. En la etapa de adición el carbono inicialmente carbonílico cambia de hibridación sp2 (trigonal plana) a sp3 (tetraédrica). Se produce entonces la adición del nucleófilo, que debe ser protonado porque estamos en medio ácido. En la eliminación el carbono reaccionante recupera de hibridación sp2. El protón utilizado inicialmente se recupera, por lo que la cantidad requerida de ácido para estas reacciones es catalítica. La molécula de agua incipiente formada en la etapa anterior se elimina con facilidad, dando lugar al derivado de ácido carboxílico, tras la pérdida de un protón.
  • 54.
    5.2.1- ESTERIFICACIÓN La reacciónse lleva a cabo con una cantidad catalítica de un ácido mineral (clorhídrico o sulfúrico) que es capaz de protonar el grupo carbonilo, débilmente básico. En presencia de un exceso de alcohol, que suele ser el disolvente de la reacción, se produce el ataque nucleófilo La pérdida de agua reintegra la estructura protonada del grupo carbonilo, que ya está unido al oxígeno alcohólico
  • 55.
  • 56.
    5.2.2- FORMACIÓN DEHALUROS DE ÁCIDO La transformación de un ácido carboxílico en un haluro de ácido conduce a un compuesto con mucha mayor reactividad en el grupo carbonilo por la presencia del átomo de halógeno El átomo de azufre del cloruro de tionilo es muy electrófilo al estar unido a tres átomos muy electronegativos. Puede ser atacado por el OH de un alcohol o de un ácido carboxílico y así expulsará un ion cloruro, muy buen grupo saleinte. Se prodece el ataque del cloruro al grupo carbonilo En el último paso se produce la pérdida del grupo saliente, creado en la primera etapa previa a la adición-eliminación. La formación final de SO2 gaseoso y su desprendimiento, desplazan los equilibrios de las etapas anteriores hacia la generación del cloruro de ácido
  • 57.
    5.3.- SUSTITUCIÓN ENEL HIDRÓGENO α La halogenación en a de un ácido carboxílico puede lograrse con bromo molecular y fósforo atómico rojo: Se consigue así funcionalizar la posición a de un ácido y activarla para poder efectuar reacciones posteriores. La reacción toma el nombre de sus descubridores: Hell-Volhard-Zelinski
  • 58.
    5.4.- FORMACIÓN DESALES (ACIDEZ) CON METALES CON HIDRÓXIDOS METÁLICOS CON CARBONATOS O HIDROGENOCARBONATOS CON AMONIACO CON AMINAS
  • 59.
    6.- DERIVADOS DELOS ÁCIDOS CARBOXÍLICOS Los ésteres cíclicos son llamados lactonas Las amidas cíclicas son llamas lactamas
  • 60.
    6.1- NOMENCLATURA DELOS DERIVADOS DE LOS ÁCIDOS CARBOXÍLICOS Ésteres Un éster es un derivado de condensación entre un ácido carboxílico y un alcohol (ácido + alcohol = éster + agua). Por analogía con las sales inorgánicas (ácido + base = sal + agua), los ésteres se nombran como si fueran sales del ácido (carboxilato), siendo el imaginario contraion un resto alquilo. Formiato de metilo Isobutirato de isopropilo 2-Metilpropanoato de 1-metiletilo Ciclohexil- carboxilato de etilo d-Lactona 2-oxooxa- ciclohexano 2-oxopirano Cuando la función éster no es la principal se nombra como alquilioxicarbonil o alquilcarboniloxi, dependiendo de si se une a la cadena principal por el grupo carbonilo o por el oxígeno. 2-Benciloxicar- bonilbenzaldehído 2-Bencilcarbonil- oxibenzaldehído
  • 61.
    •Amidas Una amida esun derivado de condensación de un ácido carboxílico y una amina. Las amidas se nombran como los ácidos correspondientes, sustituyendo el sufijo ico, oico o ílico por amida. Los sustituyentes en el nitrógeno se nombran como en las aminas, con el localizador N. Formamida N,N,2-Trimetil- propanamida Ácido 3-carbamoil- benzoico N-Metil Ciclopentil- carboxamida d-Lactama 2-oxoaza- ciclohexano 2-oxopiperidina propenamida acrilamida Cuando la función amida no es la principal el grupo CONH2 de denomina carbamoílo.
  • 62.
    •Haluros de ácido(acilo o alcanoílo) Los haluros de ácido, acilo o alcanoílo son como los ácidos carboxílicos, en los que el grupo OH se ha sustituído por un halógeno. Se nombran como halogenuros de alcanoílo, no de alquilo, para indicar la presencia del grupo carbonilo. Cloruro de acetilo Bromuro de 3-bromo-2- metilbutanoilo Fluoruro de ciclobutano- carbonilo Ácido 2-(2- cloroformilciclo- pentil)acético Cuando la función haluro de acilo no es la principal, se nombra como haloformil, con el correspondiente número localizador.
  • 63.
    •Anhídridos Un anhídrido esun producto de condensación de dos ácidos carboxílicos. Se nombran como los ácidos carboxílicos, sustituyendo el nombre de ácido por anhídrido. Anhídrido acético Anhídrido 3,5-dimetilhexanoico Anhídrido acético benzoico
  • 64.
    •Nitrilos Un nitrilo puedeconsiderarse un derivado de ácido ya que proviene de la deshidratación de una amida. Si el grupo funcional CN es el principal se engloba dentro del nombre de la cadena principal, utilizando el sufijo "nitrilo". Si no actúa como función principal, se considera como un sustituyente "ciano" con el número localizador correspondiente. 4-Metilpentanonitrilo El grupo funcional se engloba dentro de la cadena principal (S)-2-Metil-3- hexinonitrilo El grupo funcional se engloba dentro de la cadena principal Butanodinitrilo (succinonitrilo) Los grupos funcionales se engloban dentro de la cadena principal trans-3-metilciclo- hexanocarbonitrilo El grupo funcional no se puede englobar dentro de la cadena principal m-Clorobenzonitrilo El grupo funcional no se puede englobar dentro de la cadena principal Cianoacetato de 2-cianoetilo El grupo CN no es la función principal
  • 65.
    6.2- PROPIEDADES FÍSICASDE LOS DERIVADOS DE LOS ÁCIDOS CARBOXÍLICOS Diagrama comparativo Puntos de ebullición de alcanos, ácidos carboxílicos, ésteres, haluros de ácido y amidas Los ácidos forman dímeros y tienen puntos de ebullición equivalentes a los alcanos de peso molecular doble. Los ésteres y haluros de ácido no pueden formar dímeros. Tienen puntos de ebullición parecidos a los alcanos de igual número de carbonos, lo que indica que la función éster o haluro de ácido, sin duda polar, no aporta cohesión intermolecular adicional a las fuerzasde van der Waals, que son las más importantes. Las acetamidas tienen puntos de ebullición mucho más altos que los alcanos de peso molecular semejante. En una molécula pequeña, como las acetamidas, la polaridad del grupo amida sí aporta cohesión intermolecular adicional.
  • 66.
    Physical Properties ofSome Carboxylic Acid Derivatives Formula IUPAC Name Molecular Weight Boiling Point Water Solubility CH3(CH2)2CO2H butanoic acid 88 164 ºC very soluble CH3(CH2)2CONH2 butanamide 87 216-220 ºC soluble CH3CH2CONHCH3 N-methylpropanamide 87 205 -210 ºC soluble CH3CON(CH3)2 N,N-dimethylethanamide 87 166 ºC very soluble HCON(CH3)CH2CH3 N-ethyl, N-methylmethanamide 87 170-180 ºC very soluble CH3(CH2)3CN pentanenitrile 83 141 ºC slightly soluble CH3CO2CHO ethanoic methanoic anhydride 88 105-112 ºC reacts with water CH3CH2CO2CH3 methyl propanoate 88 80 ºC slightly soluble CH3CO2C2H5 ethyl ethanoate 88 77 ºC moderately soluble CH3CH2COCl propanoyl chloride 92.5 80 ºC reacts with water CH3(CH2)3CHO pentanal 86 103 ºC slightly soluble CH3(CH2)2COCH3 2-pentanone 86 102 ºC slightly soluble
  • 67.
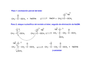
    El orden dereactividad se explica teniendo en cuenta la basicidad del grupo saliente 6.3- REACTIVIDAD DE LOS DERIVADOS DE LOS ÁCIDOS CARBOXÍLICOS
  • 69.
    6.4- SÍNTESIS DELOS DERIVADOS DE LOS ÁCIDOS CARBOXÍLICOS
  • 75.
    6.4- REACCIONES DELOS DERIVADOS DE LOS ÁCIDOS CARBOXÍLICOS
  • 76.
    6.4.1.- REDUCCIÓN DE ÁCIDOSCARBOXÍLICOS Y ÉSTERES Tanto los ácidos carboxílicos como los ésteres pueden reducirse a alcoholes empleando un reductor fuerte como el hidruro de aluminio y litio
  • 78.
    6.4.2.- REACCIÓN DEÉSTERES CON ORGANOMETÁLICOS
  • 79.
  • 82.
  • 84.
    NOMENCLATURA Formaldehído Metanal Acetaldehído Etanal Benzaldehído Benceno- carbaldehído Acetona Dimetil cetona Propanona Etil metilcetona Butanona Benzofenona Difenil cetona Acetofenona Fenil metil cetona 1-Feniletanona 3-Cloro-4- metilpentanal cis-4-Hidroxi- ciclohexano- carbaldehído 3-Nitro- benzaldehído 5-Hidroxi- 6-hepten-3-ona Ciclohexanona 4-Oxo-2- hexenal Ácido trans-2- formilciclo- pentano- carboxílico 2-Butinal
  • 85.
    NOMENCLATURA ÁCIDOS CARBOXÍLICOS • Algunosácidos alifáticos se conocen desde hace cientos de años y sus nombres comunes reflejan sus orígenes históricos. • El ácido carboxílico más simple, el ácido fórmico, es el causante de la irritación causada por la picadura de las hormigas (del latín formica, hormiga). • El ácido acético se aisló del vinagre, cuyo nombre en latín es acetum (agrio). El ácido propiónico se consideró como el primer ácido graso, y su nombre deriva del griego protos pion (primera grasa). • El ácido butírico se obtiene por oxidación del butiraldehído, que se encuentra en la mantequilla (en latín butyrum). Los ácidos caproico, caprílico y cáprico se encuentran en las secreciones cutáneas de las cabras (capri en latín).
  • 86.
    NOMENCLATURA ÁCIDOS CARBOXÍLICOS • Lanomenclatura IUPAC para los ácidos carboxílicos emplea el nombre del alcano que corresponde a la cadena más larga de átomos de carbono, que incluye al grupo carboxílico. • El carbono del grupo carboxílico lleva el nº 1 • La o final de alcanos se sustituye por el sufijo oico, y se antepone la palabra ácido. • y los sustituyentes en las cadenas hidrocarbonadas se nombran como en los hidrocarburos simples.
  • 87.
  • 88.
    Sufijo: -oico Ácido (nombrede la estructura principal) + terminación –o cambia a -oico CH3-COOH 2 carbonos: etano Ácido etanoico (Ácido acético) NOMENCLATURA ÁCIDOS CARBOXÍLICOS
  • 89.
    • El grupo–COOH es grupo principal y el C no está incluido en la cadena principal Sufijo: -carboxílico Ácido (nombre de la estructura principal) + terminación –carboxílico COOH Benceno Ácido bencenocarboxílico ACIDO BENZOICO COOH Ciclohexano Ácido ciclohexanocarboxílico NOMENCLATURA ÁCIDOS CARBOXÍLICOS
  • 90.
    • Si haymás de dos grupos –COOH unidos a la cadena principal y el grupo – COOH no es grupo principal COOH HOOC-CH2-CH2-CH-CH2-CH2-COOH 7 4 1 Ácido 4-carboxiheptanodioico (Ácido 1,3,5-pentanotricarboxílico) 1 3 5 CO2H CO2H HO2C Ácido 3-(carboximetil)hexanodioico 1 6 3 Prefijo: Carboxi- NOMENCLATURA ÁCIDOS CARBOXÍLICOS
  • 91.
  • 92.
    NOMBRES VULGARES ACEPTADOS H-COOH CH3-COOH CH3-CH2-COOH CH3-(CH2)2-COOH CH3-(CH2)3-COOH Ácidoformico Ácido acético Ácido propiónico Ácido butírico Ácido valérico 1.- Ácidos monocarboxílicos 2.- Ácidos dicarboxílicos HOOC-COOH HOOC-CH2-COOH HOOC-(CH2)2-COOH CH3-(CH2)5-COOH CH3-(CH2)6-COOH HOOC-(CH2)3-COOH HOOC-(CH2)4-COOH CH3-(CH2)7-COOH CH3-(CH2)8-COOH Ácido oxálico Ácido malónico Ácido succinico Ácido pimélico Ácido subérico Ácido glutárico Ácido adípico Ácido acelaico Ácido sebácico H H COOH HOOC H H HOOC COOH COOH COOH Ácido maleico Ácido ftálico Ácido fumárico
  • 93.
    NOMENCLATURA ÁCIDOS CARBOXÍLICOS • Losácidos carboxílicos de cadena larga con número par de átomos de carbono son de gran importancia biológica por su abundancia en grasas y aceites y son referenciados generalmente como ácidos grasos. Dichos ácidos grasos conservan también nombres triviales: Ácido Láurico Ácido Mirístico Ácido Palmítico, etc
  • 94.
    • Otro sistemapara nombrar los ácidos carboxílicos consiste en designar a los átomos de carbono con las letras griegas α, β, γ, δ, etc. Que están próximos al grupo carboxilo. NOMENCLATURA ÁCIDOS CARBOXÍLICOS
  • 95.
    • Para nombrara los radicales R-COO, se cambia la terminación – OICO por –ATO: H-COO- Metanoato H3C-COO- Etanoato H3C-CH2-COO- Propanoato NOMENCLATURA ÁCIDOS CARBOXÍLICOS
  • 96.
    • Para elnombre de los radicales acilo: Terminación del nombre vulgar - oico - oilo - ico - ilo - oxílico - onilo O CH3-C- Radical acetilo o etanoilo C O Radical benzoilo C O Radical ciclohexanocarbonilo NOMENCLATURA ÁCIDOS CARBOXÍLICOS
  • 97.
    • Aniones ySales de los Ácidos Carboxílicos Sufijo anión -ico (ácido) -ato Anión acetato O O O C H3 O Anión benzoato NOMENCLATURA ÁCIDOS CARBOXÍLICOS
  • 98.
    ◆ Sales Neutras: O O Na + NombreAnión + de + Nombre Catión Nombre Anión + Nombre Catión adjetivado Heptanoato de sodio Heptanoato sódico O O K+ Ciclopentanocarboxilato de potasio O O Li+ Benzoato de litio NOMENCLATURA ÁCIDOS CARBOXÍLICOS
  • 99.
    ◆Sales ácidas: O O O O K H + + Igual quelas neutras y las palabras hidrógeno, dihidrógeno, etc. detrás del nombre de los cationes O O O HO O OH Na+ Ftalato de potasio e hidrógeno 1,3,5-Pentanotricarboxilato de sodio y dihidrógeno NOMENCLATURA ÁCIDOS CARBOXÍLICOS
  • 100.
    NOMENCLATURA DERIVADOS DE LOSÁCIDOS CARBOXÍLICOS HALOGENUROS DE ACILO • Estos compuestos llevan nombre al estilo de sales inorgánicas. El nombre del grupo acilo se deriva del ácido carboxílico reemplazando la terminación ico por ilo o la terminación carboxílico por carbonilo.
  • 101.
    NOMENCLATURA DERIVADOS DE LOSÁCIDOS CARBOXÍLICOS ANHIDRIDOS • Los anhídridos simétricos de ácidos carboxílicos de cadena recta y los anhídridos cíclicos de ácidos dicarboxílicos se nombran cambiando la palabra ácido por anhídrido. • Si el anhídrido se deriva de un ácido sustituido, se utiliza el prefijo bis en el nombre. Anhídridos asimétricos se nombran anteponiendo la palabra anhídrido al nombre de los dos ácidos.
  • 102.
    NOMENCLATURA DERIVADOS DE LOSÁCIDOS CARBOXÍLICOS ÉSTERES • Los ésteres reciben nombres como si fueran sales inorgánicas. La terminación ico del ácido correspondiente se cambia a ato y luego se menciona el grupo alcohoxilo con la terminación ilo separando las dos palabras con la palabra de.
  • 103.
    NOMENCLATURA DERIVADOS DE LOSÁCIDOS CARBOXÍLICOS AMIDAS • Las amidas se nombran a partir del ácido que les da origen, eliminando la palabra ácido y cambiando la terminación oico o ico por amida o la terminación carboxílico por carboxamida. • Si la amida tiene sustituyentes alquílicos en el átomo de nitrógeno, se indica su posición con el prefijo N-.
  • 104.
    NOMENCLATURA DERIVADOS DE LOSÁCIDOS CARBOXÍLICOS NITRILOS • Para dar nombre a estos compuestos, se escoge la cadena más larga, incluyendo el carbono del grupo –CN, y al nombre del alcano correspondiente se la agrega el sufijo nitrilo. • El carbono número 1 es el carbono del nitrilo;
  • 105.
    NOMENCLATURA DERIVADOS DE LOSÁCIDOS CARBOXÍLICOS NITRILOS • Si el grupo –CN es grupo principal, pero no forma parte de la cadena principal se utiliza el sufijo carbonitrilo.
  • 106.
    NOMENCLATURA DERIVADOS DE LOSÁCIDOS CARBOXÍLICOS NITRILOS • En la nomenclatura rádico-funcional se consideran derivados del ácido cianhídrico (HCN) denominándose como cianuros de alquilo . • Si se considera como sustituyente se utiliza el prefijo ciano-.
  • 107.
    EJERCICIO: Nombrar lossiguientes compuestos
  • 108.
    Acido ciclohexanocarboxilico Acido bencenocarboxilico Acido1,1,3-propanotricarboxilico Acido propenoico Acido propanodioico EJERCICIO: Nombrar los siguientes compuestos
  • 109.
    EJERCICIO: Nombrar lossiguientes compuestos
  • 110.
    EJERCICIO: Nombrar lossiguientes compuestos Acido benceno-1,2-dicarboxilico Acido butanoico Acido naftaleno-2-carboxilico