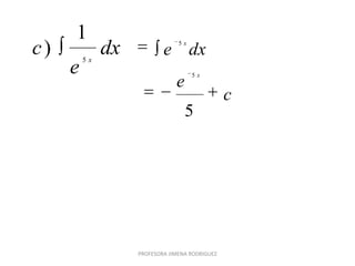
PROFESORA JIMENA RODRIGUEZ
Desarrollo de la clase
1.- Dudas clase anterior
2- Revisión tarea
3.- Repaso integrales
PROFESORA JIMENA RODRIGUEZ
INTEGRALES
ELEMENTALES
PROFESORA JIMENA RODRIGUEZ
dx1)1 x
EJEMPLO
dx cx
c
PROFESORA JIMENA RODRIGUEZ
dxa)2 ax
EJEMPLO
dx6 x6
c
c
PROFESORA JIMENA RODRIGUEZ
EJERCICIOS
cpxc
cxb
cxa
soluciones
)
3)
4)
pdxc
dxb
dxa
)
3)
4)
PROFESORA JIMENA RODRIGUEZ
dxx
n
)3 1
1
n
x
n
EJEMPLO
dxx
2
3
3
x
1n
c
c
PROFESORA JIMENA RODRIGUEZ
EJERCICIOS
dxxe
dxxd
dxxc
dxxb
dxxa
5
6
2
)
)
4)
3)
)
PROFESORA JIMENA RODRIGUEZ
SOLUCIONES
c
x
2
2
dxxa)
PROFESORA JIMENA RODRIGUEZ
dxx
2
3
dxxb
2
3)
c
x
3
3
cx
3
3
PROFESORA JIMENA RODRIGUEZ
dxxc
6
4)
cx
c
x
dxx
7
7
6
7
4
7
4
4
PROFESORA JIMENA RODRIGUEZ
c
x
2
3
2/3
dxxd )
dxx 2
1
cx 2
3
3
2
PROFESORA JIMENA RODRIGUEZ
c
x
c
x
4
4
4
4
dxxe
5
)
PROFESORA JIMENA RODRIGUEZ
x
dx
)4 cx)ln(
EJEMPLO
dx
x
3
cx)ln(3
PROFESORA JIMENA RODRIGUEZ
dx
x
1
3
EJERCICIOS
dxxc
dx
x
b
dx
x
a
1
7)
2
)
4
)
PROFESORA JIMENA RODRIGUEZ
SOLUCIONES
cx
dx
x
)ln(4
1
4
dx
x
a
4
)
PROFESORA JIMENA RODRIGUEZ
cx
dx
x
)ln(2
1
2
dx
x
b
2
)
PROFESORA JIMENA RODRIGUEZ
cx
dxx
)ln(7
7
1
dxxc
1
7)
PROFESORA JIMENA RODRIGUEZ
dxx)ln()5 cxxx )ln(
EJEMPLO
dxx)ln(5
cxxx )ln(5
)ln(5 xx
cxxx 5)ln(5
PROFESORA JIMENA RODRIGUEZ
dxx)ln(5
x5 c5
EJERCICIOS
dxxb
dxxa
)ln(3)
)ln(7)
PROFESORA JIMENA RODRIGUEZ
SOLUCIONES
cxxx
cxxx
cxxx
dxx
7)ln(7
77)ln(7
))ln((7
)ln(7
dxxa )ln(7)
PROFESORA JIMENA RODRIGUEZ
cxxx
cxxx
cxxx
cxxx
dxx
3)ln(3
3)ln(3
33)ln(3
))ln((3
)ln(3
dxxb )ln(3)
PROFESORA JIMENA RODRIGUEZ
dxa
x
)6 c
a
a
x
)ln(
EJEMPLO
dx
x
2 c
x
)2ln(
2
PROFESORA JIMENA RODRIGUEZ
EJERCICIOS
cb
ca
soluciones
x
x
)9ln(
9
)
)3ln(
3
)
dxb
dxa
x
x
9)
3)
PROFESORA JIMENA RODRIGUEZ
SOLUCIONES
c
x
)3ln(
3
dxa
x
3)
PROFESORA JIMENA RODRIGUEZ
c
x
)9ln(
9
dxb
x
9)
PROFESORA JIMENA RODRIGUEZ
dxe
xa
)7 c
a
e
xa
EJEMPLO
dxe
x2
c
e
x
2
2
PROFESORA JIMENA RODRIGUEZ
EJERCICIOS
dx
e
d
dx
e
c
dxeb
dxea
x
x
x
x
6
5
4
3
3
)
1
)
)
)
PROFESORA JIMENA RODRIGUEZ
SOLUCIONES
c
e
c
e
x
x
3
3
3
3
dxea
x3
)
PROFESORA JIMENA RODRIGUEZ
c
e
x
4
4
dxeb
x4
)
PROFESORA JIMENA RODRIGUEZ
c
e
dxe
x
x
5
5
5
dx
e
c x5
1
)
PROFESORA JIMENA RODRIGUEZ
c
e
c
e
dxe
x
x
x
2
6
3
3
6
6
6
dx
e
d x6
3
)
PROFESORA JIMENA RODRIGUEZ
dxxe
ax
)8 c
a
x
a
e
xa
1
EJEMPLO
dxxe
x2
cx
e
x
2
1
2
2
PROFESORA JIMENA RODRIGUEZ
EJERCICIOS
dx
e
x
c
dxxeb
dxxea
x
x
x
)
)
)
3
5
PROFESORA JIMENA RODRIGUEZ
SOLUCIONES
cx
e
x
5
1
5
5
dxxea
x5
)
PROFESORA JIMENA RODRIGUEZ
cx
e
cx
e
x
x
3
1
3
3
1
3
3
3
dxxeb
x3
)
PROFESORA JIMENA RODRIGUEZ
cxe
cx
e
dxxe
x
x
x
1
1
1
1
dx
e
x
c x
)
PROFESORA JIMENA RODRIGUEZ
EJEMPLO
7x
dx
ln
PROFESORA JIMENA RODRIGUEZ
7x
ax
dx
)9 Caxln
c
22
)10
ax
dx
I c
ax
ax
a
ln
2
1
EJEMPLO
9
2
x
dx
c
x
x
3
3
ln
32
1
PROFESORA JIMENA RODRIGUEZ
c
x
x
3
3
ln
6
1
EJERCICIOS
1
)
4
)
16
)
2
2
2
x
dx
c
x
dx
b
x
dx
a
PROFESORA JIMENA RODRIGUEZ
SOLUCIONES
c
x
x
c
x
x
4
4
ln
8
1
4
4
42
1
16
) 2
x
dx
a
PROFESORA JIMENA RODRIGUEZ
c
x
x
c
x
x
2
2
ln
4
1
2
2
ln
22
1
4
) 2
x
dx
b
PROFESORA JIMENA RODRIGUEZ
c
x
x
1
1
ln
2
1
1
) 2
x
dx
c
PROFESORA JIMENA RODRIGUEZ
TAREA 4
dxxxe
dxzbxaxd
dx
x
ec
dx
x
xxx
b
dx
x
xxa
xx
2
22
3
23
2
45)
46)
4
1
)
1723
)
4
3
79)
PROFESORA JIMENA RODRIGUEZ
TAREA 5
PROFESORA JIMENA RODRIGUEZ
TAREA 6
PROFESORA JIMENA RODRIGUEZ

Clase 02 integrales elementales