NOCIONES BASICAS
UN MUNDO DE RAZONAMIENTO
VERBAL
ASPECTOS A TOMAR EN CUENTA EN
EL MUNDO DEL RAZONAMIENTO
VERBAL
ACESPECTOS QUE COMPRENDE
RAZONAMIENTO VERBAL
ASPECTOS ECENCIALES
ASPECTOS ASTRATEGICOS:
Nos ayuda a resolver problemas en
distintas etapas de la vida
ASPECTOS EMOCIONAL:
Si nos conocemos nosotros mismos tendremos
seguridad al resolver un problema
LA PALABRA:
La lucha por comunicarse de nuestros ante pasados
le llevo a poco a poco crear el más grande invento de
la humanidad que es la PALABRA
EL TEXTO:
La palabra texto proviene del latín “textus” que
significa tejer, trenzar, entrelazar, que el DRAE,
define, como un enunciado o conjunto
coherente de enunciados orales y escritos
SIGNOS LINGUISTICOS:
LA ARBITRARIEDAD – ES BIPLANICO – LA LINEALIDAD
– ES CONVENCIONAL – ES ARTICULADO.
NIVELES DE LA LECTURA:
LECTURA LITERAL EXPLORATIVA – LECTURA
INFERENCIAL INTERPRETATIVA – CRÍTICO
VALORATIVO – LECTURA RECREATIVA
SINONIMOS
Lograr el manejo y dominio de los conectores en la construcción de una oración o textos bien
estructurados a través del manejo de la gramática y el análisis rozando, permitiéndonos
desarrollar nuestra competencia lingüística en la solución de problemas
Conectores lógicos o ilativos
CLASIFICACION DE LOS CONECTORES O ILATIVOS
EL CAMPO SEMANTICO
Es importante tener en cuenta para solucionar
problemas de naturaleza de signos que,
contienen significados y significantes.
ESTRUCTURA DE LOS EJERCICIOS DE
CONECTORES LOGICOS
Los conectores están estructurados a partir de
un enunciado u oración, en el cual se ha
suprimido una o más
ESTRATEGIA DE RESOLUCION DE CONECTORES O
ILATIVOS
Ante situaciones de esta naturaleza es
importante manejar estrategias de resolución de
problemas recordándolos que no existe
LAS COMJUNCIONES.- une palabras y
oraciones del mismo nivel sintáctico, la
conjunciones son palabras que no tienen
variaciones en su empleo
LAS PREPOSICIONES.- unen las palabras de
diferente de diferente nivel sintáctico e
introduce elemento nominal al sustantivo
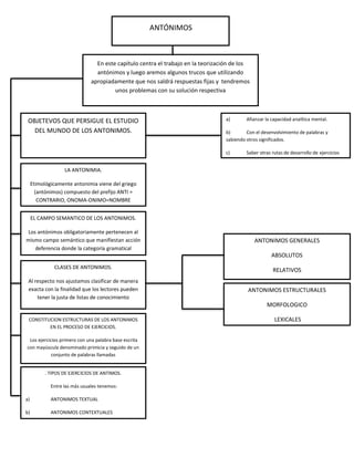
ANTÓNIMOS
En este capítulo centra el trabajo en la teorización de los
antónimos y luego aremos algunos trucos que utilizando
apropiadamente que nos saldrá respuestas fijas y tendremos
unos problemas con su solución respectiva
OBJETEVOS QUE PERSIGUE EL ESTUDIO
DEL MUNDO DE LOS ANTONIMOS.
LA ANTONIMIA.
Etimológicamente antonimia viene del griego
(antónimos) compuesto del prefijo ANTI =
CONTRARIO, ONOMA-ONIMO=NOMBRE
EL CAMPO SEMANTICO DE LOS ANTONIMOS.
Los antónimos obligatoriamente pertenecen al
mismo campo semántico que manifiestan acción
deferencia donde la categoría gramatical
siempre dan de ser el mismo
CLASES DE ANTONIMOS.
Al respecto nos ajustamos clasificar de manera
exacta con la finalidad que los lectores pueden
tener la justa de listas de conocimiento
CONSTITUCION ESTRUCTURAS DE LOS ANTONIMOS
EN EL PROCESO DE EJERCICIOS.
Los ejercicios primero con una palabra base escrita
con mayúscula denominado primicia y seguido de un
conjunto de palabras llamadas
. TIPOS DE EJERCICIOS DE ANTIMOS.
Entre las más usuales tenemos:
a) ANTONIMOS TEXTUAL
b) ANTONIMOS CONTEXTUALES
ANTONIMOS GENERALES
ABSOLUTOS
RELATIVOS
ANTONIMOS ESTRUCTURALES
MORFOLOGICO
LEXICALES
a) Afianzar la capacidad analítica mental.
b) Con el desenvolvimiento de palabras y
sabiendo otros significados.
c) Saber otras rutas de desarrollo de ejercicios
de antonimia.
CONECTORES
El presente capitulo permite acercarnos a los
conectores o ilativos; abordando estrategias,
métodos y técnicas que, utilizados de manera
conveniente obtendremos resultados contundentes
OBJETIVOS:
Los objetivos podemos resumirlo en las siguientes
palabras; lograr el manejo y dominio de los conectores
en la construcción de una oración o textos bien
estructurados a través del manejo de la gramática
LOS CONECTORES LOGICOS O ILATIVOS
Conector o ilativo es la palabra que une partes
de un mensaje, estableciendo una relación
lógica entre oraciones, permitiendo la
adecuada unión de los enunciados de un texto.
CLASIFICACION DE LOS CONECTORES O
ILATIVOS
EL CAMPO SEMANTICO
Es importante tener en cuenta para solucionar
problemas de naturaleza de signos que,
contienen significados y significantes.
ESTRUCTURA DE LOS EJERCICIOS DE
CONECTORES LOGICOS
Los conectores están estructurados a partir de un
enunciado u oración, en el cual se ha suprimido una o
más unidades de conexión o relación lógica
ESTRATEGIA DE RESOLUCION DE CONECTORES
O ILATIVOS
Antes situaciones de esta naturaleza es importante
manejar estrategias de resolución de problemas,
recordándoles que no existe un solo métod
LAS CONJUNCIONES
Une palabra y oraciones del mismo nivel sintáctico las
conjunciones son palabras que no tienen variaciones en
su empleo
LAS PREPOSICIONES
Une palabras de diferente nivel sintáctico e introduce
elemento nominal al sustantivo.
FUNCION DE RELACIONANTES O CONECTORES
Resumiendo las líneas anteriores podemos encuadrar las
relacionantes de la siguiente manera.
CONDICON- ADICION- OPOSICION- CAUSA EFECTO- TIEMPO
AMPLIACION
ESTRATEGIA CLASICA DE RESOLUCION DE
PROBLEMAS CON CONECTORES
ESTRATEGIA ALTERNATIVA DE RESOLUCION
DE PROBLEMAS DE CONECTORES
a. A PATIR DE LAS ALTERNATIVAS
b. LA TECNICA DE LA EXTRAPOLACION
ORACIONES INCOMPLETAS
La oración incompleta se define como el sistema
gramatical en que se ha suprimido de manera
intencional uno o más términos, por lo que ha
perdido su coherencia inicial
OBJETIVO DEL ESTUDIO DE ORACIONES
INCOMPLETAS
1) Desarrollar la capacidad para sistematizar ideas
2) Aguzar el sentido lógico en el uso del idioma
3) Optimizar el manejo de la diversidad semántica de las
palabras.
4) Inculcar la observancia de las normas básicas de la
gramática.METODOS DE RESOLUCIÓN:
La base de este método es el análisis
sintáctico y semántico que se aplica a toda
clase de oración incompleta
CRITERIOS DE RESOLUCIÓN:
Son aquellas normas de aplicación general
que deben tomarse en cuenta con el fin de
lograr mayor certeza al momento de
completar una oración
CONSISTENCIA LÓGICA:
Es la solidez estructural de la oración, la cual se
refleja en los vínculos coherentes y compatibles
de sus elementos. Comprende dos aspectos:
CORRECCIÓN GRAMATICAL:
Es el uso correcto del idioma que se
logra con la observancia de las normas
básicas de la gramática.
PRECISIÓN SEMÁNTICA:
Consiste en la elección de la palabra más
idónea de acuerdo al significado que posea o
al nivel de la lengua al cual pertenezca
Supone dos aspectos:
• Sentido contextual; referido a la plenitud y
naturalidad del mensaje.
• Coherencia proposicional; referida a la
compatibilidad de las proposiciones
• Propiedad del término; significado de mayor
exactitud la palabra elegida.
• Estilo del autor; el nivel lingüístico o modo de
expresión.
TERMINO EXCLUIDO E INCLUIDO
En el siguiente capítulo contiene los términos excluidos e incluidos
conteniendo estrategias y métodos más fáciles para resolver problemas con
solvencia racional con un gran contenidos de ejercicios.
OBJETIVOS QUE PERSIGUEN LOS TÉRMINOS
EXCLUIDOS.-
El propósito de los términos excluidos es de
desarrollar básicamente los siguientes objetivos.
a) Afianzar el ejercicio racional y analítico.
b) Desarrollar y discriminar palabras desde el punto
de vista semántico o sintáctico.
c) Dominar estrategias formas métodos de
resolución de problemas.
d) Elevar la competencia lingüística y lógica.TÉRMINOS EXCLUIDOS.-
Es la palabra que no contiene ninguna relación
semántica con el anuncio general, o difiere
estructuralmente con el conjunto formado por las
demás alternativas
EL CAMPO SEMÁNTICO.-
Con respecto con todo lo que se ha dado hasta
aquí el campo léxico o semántico es el gran
organizador del término excluido.
RELACIONES SEMÁNTICAS.-
Entre ellas tenemos
a) DE SINONIMIA.- cuando se encuentras palabras de parecidos
significados y se excluye el término que no es sinónimo de los demás.
b) DE ANTONIMIA.- es cuando se encuentras palabras de
opuestos significados.
c) DE HIPERONIMIA.- es cuando una palaba o termino de
significado general comprende de manera general otros significados
específicos o más precisos.
d) HIPONIMIA.- es el fenómeno lexical que se produce de
manera opuesta a los hiperónimos.
CLASIFICACIÓN DE TÉRMINOS EXCLUIDOS.-
Casos basados en la sinonimia.
• DE AFINIDAD SEMÁNTICA. Se separa la palabra que no
contiene el mismo temas con los demás.
• DE GENERO A ESPECIE. Se separa el término que no
pertenece a una especie del género de la premisa.
• DE COGENERIDAD. Se separa la palabra que no se
especifica y no pertenezca al mismo grupo de los demás.
• DE CASUALIDAD. Se separa la palabra que presente la
relación, efecto con la premisa o viceversa.
PLAN DE REDACCION
El presente capitulo centra su trabajo en la teorización que ayudará a entender mejor el
campo de Plan de Redacción; además se plantea estrategias, métodos y técnicas que,
utilizando de manera adecuada obtendremos resultados contundentes, seguido de una
batería de ejercicios con sus respectivas solucionarios.
OBJETIVOS QUE PERSIGUE EL ESTUDIO PLAN DE
REDACCION
Conlleva a lograr los siguientes objetivos.
PLAN DE REDACCION
Redactar es poner por escrito lo que se desea
comunicar. Para poder que se entienda el texto
debemos tener en cuenta los signos ortográficos y una
bueno coherencia al escribir.
PROBABLE ESQUEMA GENERAL DE REDACCION
FORMAS DE REDACCION
TIPOS DE PLAN DE REDACCION
ESTRUCTURA DEL EJERCICIO DE LA PLAN DE
REDACCION
a. Desarrollar capacidades y competencias para
organizar ideas.
b. Elevar la habilidad de inducción y deducción
lógica.
c. Afianza el desarrollo de estrategias
resolutivas.
ANTECEDENTES Da lugar a las apelaciones
DEFINOCION Afronta el tema tratado
CARACTERISTICA Diferencia de los demás
TIPO O CLASES Clasifica y estratifica
FORMAS CARACTERISTICAS EJEMPLOS
Narración Ordenado y basado en la ficción
a. ORDENAMIENTO ANALITICO
b. ORDENACION DE RELACION DE PROCEDENCIA
c. ORDENAMIENTO CARATEROLOGICO DISCURSIVO
A. ELEMENTOS DE PLAN DE REDACCION
B. TIPOS DE EJERCICIOS DE PLAN DE REDACCION
ORACIONES ELIMINADAS
El presente capítulo centrado en las oraciones eliminadas,
conceptúa, teoriza y plantea estrategias, métodos y técnicas
de resolución de problemas de esta naturaleza
OBJETIVOS DE ESTUDIOS:
El estudio de oraciones Eliminadas busca
desarrollar los siguientes objetivos:
• Optimizar la capacidad de análisis y síntesis.
• desarrollar la capacidad selectiva de la mente
• evitar los vicios de redacción
• propiciar el uso fluido y coherente del idioma
DEFINIENDO LAS ORACIONES ELIMINADAS:
Es un ejercicio mental íntimamente relacionado con la
redacción de textos, constituidos por un texto con
cinco o cuatro unidades de información entre las
cuales debemos identificar y eliminar aquella que es
impertinente.
CONSIDEREMOS PARA EL ESTUDIO DE LAS
ORACIONES ELIMINADAS.
Según los lingüistas Beaugrande y Dressler, todo
texto bien elaborado ha de presentar siete
características:
• Ha de ser coherente, centrándose en un solo tema, de
manera que las diversas ideas vertidas en él han de contribuir a la
creación de una idea global.
• Ha de tener cohesión en sus diversas secuencias que los
constituyen así mismo.
• Adecuación al destinatario, de manera que utilicemos un
lenguaje comprensible para su lector ideal, pero no necesariamente
para todos los lectores de manera que, además, ofrezca toda la
información necesaria.
• Ha de contar con una intención comunicativa.
• Ha de estar enmarcado con una situación comunicativa.
CRITERIOS DE ELIMINACIÓN DE ORACIONES:
Para identificar y calificar como
impertinente una unidad informativa dentro
de un ejercicio de eliminación de oraciones,
tenemos que proceder objetivamente, sobre
la base de una razón válida.
ESTRUCTURA DE LAS ORACIONES ELIMINADAS:
El ejercicio de oraciones eliminadas siempre se plantea
a través de un conjunto de enunciados, oraciones,
frases o proposiciones indispensables, donde una
oración desempeña el triste papel de impertinente la
misma que se debe eliminar.
ESTRATEGIAS DE RESOLUCIÓN DE
ORACIONES ELIMINADAS:
Aparte de las clásicas técnicas de resolución
de oraciones eliminadas, existen otras
técnicas, quizás más eficaces:
 LA CLÁSICA MANERA DE SOLUCIONAR EL
PROBLEMA
 LA TÉCNICA DE LA EXTRAPOLACIÓN
 A PARTIR DE LOS ENUNCIADOS INFORMATIVOS
Analogías
OBJETIVO
ANALOGÍAS
PRINCIPIOS DE ANALOGÍAS
TIPOS DE RELACIONES ANALOGICAS:
Entre las relaciones más comunes tenemos
los siguientes:
Que podamos desarrollar habilidades capaces y
competentes para relacionar ideas y diferenciar los usos del
lenguaje bajo diferentes textos
Son tipos de pruebas caracterizadas por su estructura y
contenido de relación y semejanza que apuntan a comparar
palabras y conceptos de acuerdo a pares llamadas premisas
Orden lógica
Necesidad lógica
Significado condicionado
RELACION DE TRABAJADOR A HERRAMIENTA
RELACION DE SUJETO A CARACTERISTICA INDISPENSABLE
RELACION DE AFICIONES
RELACION DE ESPECIALISTA A CAMPO DE ACCION
RELACION DE CIENCIA O ARTE A OBJETO DE ESTUDIO
RELACION DE INSTRUMENTO DE MEDIDA A USO O FUNCION
RELACION DE OBRA A AUTOR
RELACION DE OBJETO PASADO A ACTUAL
RELACION COGENERICA
RELACION MITOLOGICA
RELACION DE INTENSIDAD
RELACION DE CONJUNTO A ELEMENTO
RELACION DE ELEMENTO A CONJUNTO
RELACION DE TODO A PARTE
COMPRENSION LECTORA
El presente capitulo centra su trabajo en la teorización que
ayudara a entender mejor el campo de comprensión lectora.
OBJETIVOS DE ESTUDIOAS
a. Desarrollar la capacidad para construir el pensamiento del lector
b. Motivar una actitud analítica que permita conocer mejor la realidad
c. Mejorar y ampliar nuestra visión del mundo
d. Acceder a una información segura, autorizada y permanente
e. Incrementar nuestro vocabulario y adquirir destrezas
COMPRENSION LECTORA
Es el proceso a través del cual el lector “interactúa” con el
texto, lectura es un proceso de interacción del pensamiento y el
lenguaje, aquí el lector debe reconocer la palabra, las letras, las
frases; sin embargo no siempre entendemos los mensajes que
nos transmiten.
ASPECTOS A CONSIDERAR PARA EL
DESARROLLO DE LA COMPRENSION LECTORA:
EL LECTOR
LA LECTURA
EL TEXTO
TIPOS DE PREGUNTAS DE COMPRENSION
LECTORA
A. PREGUNTAS DE COMPRENSION
B. PREGUNTAS DE TRADUCCION
C. PREGUNTAS DE INTERPRETACION
D. PREGUNTAS DE EXTRAPOLACION
ESTRUCTURA DE LOS EJERCICIOS DE
COMPRENSION LECTORA
Siempre se plantean con textos cortos, a con un titulo y a veces
se obvia el titulo, de enseguida va seguida de interrogantes
entre 4 o 5.

Doc2

  • 1.
    NOCIONES BASICAS UN MUNDODE RAZONAMIENTO VERBAL ASPECTOS A TOMAR EN CUENTA EN EL MUNDO DEL RAZONAMIENTO VERBAL ACESPECTOS QUE COMPRENDE RAZONAMIENTO VERBAL ASPECTOS ECENCIALES ASPECTOS ASTRATEGICOS: Nos ayuda a resolver problemas en distintas etapas de la vida ASPECTOS EMOCIONAL: Si nos conocemos nosotros mismos tendremos seguridad al resolver un problema LA PALABRA: La lucha por comunicarse de nuestros ante pasados le llevo a poco a poco crear el más grande invento de la humanidad que es la PALABRA EL TEXTO: La palabra texto proviene del latín “textus” que significa tejer, trenzar, entrelazar, que el DRAE, define, como un enunciado o conjunto coherente de enunciados orales y escritos SIGNOS LINGUISTICOS: LA ARBITRARIEDAD – ES BIPLANICO – LA LINEALIDAD – ES CONVENCIONAL – ES ARTICULADO. NIVELES DE LA LECTURA: LECTURA LITERAL EXPLORATIVA – LECTURA INFERENCIAL INTERPRETATIVA – CRÍTICO VALORATIVO – LECTURA RECREATIVA
  • 2.
    SINONIMOS Lograr el manejoy dominio de los conectores en la construcción de una oración o textos bien estructurados a través del manejo de la gramática y el análisis rozando, permitiéndonos desarrollar nuestra competencia lingüística en la solución de problemas Conectores lógicos o ilativos CLASIFICACION DE LOS CONECTORES O ILATIVOS EL CAMPO SEMANTICO Es importante tener en cuenta para solucionar problemas de naturaleza de signos que, contienen significados y significantes. ESTRUCTURA DE LOS EJERCICIOS DE CONECTORES LOGICOS Los conectores están estructurados a partir de un enunciado u oración, en el cual se ha suprimido una o más ESTRATEGIA DE RESOLUCION DE CONECTORES O ILATIVOS Ante situaciones de esta naturaleza es importante manejar estrategias de resolución de problemas recordándolos que no existe LAS COMJUNCIONES.- une palabras y oraciones del mismo nivel sintáctico, la conjunciones son palabras que no tienen variaciones en su empleo LAS PREPOSICIONES.- unen las palabras de diferente de diferente nivel sintáctico e introduce elemento nominal al sustantivo
  • 3.
    ANTÓNIMOS En este capítulocentra el trabajo en la teorización de los antónimos y luego aremos algunos trucos que utilizando apropiadamente que nos saldrá respuestas fijas y tendremos unos problemas con su solución respectiva OBJETEVOS QUE PERSIGUE EL ESTUDIO DEL MUNDO DE LOS ANTONIMOS. LA ANTONIMIA. Etimológicamente antonimia viene del griego (antónimos) compuesto del prefijo ANTI = CONTRARIO, ONOMA-ONIMO=NOMBRE EL CAMPO SEMANTICO DE LOS ANTONIMOS. Los antónimos obligatoriamente pertenecen al mismo campo semántico que manifiestan acción deferencia donde la categoría gramatical siempre dan de ser el mismo CLASES DE ANTONIMOS. Al respecto nos ajustamos clasificar de manera exacta con la finalidad que los lectores pueden tener la justa de listas de conocimiento CONSTITUCION ESTRUCTURAS DE LOS ANTONIMOS EN EL PROCESO DE EJERCICIOS. Los ejercicios primero con una palabra base escrita con mayúscula denominado primicia y seguido de un conjunto de palabras llamadas . TIPOS DE EJERCICIOS DE ANTIMOS. Entre las más usuales tenemos: a) ANTONIMOS TEXTUAL b) ANTONIMOS CONTEXTUALES ANTONIMOS GENERALES ABSOLUTOS RELATIVOS ANTONIMOS ESTRUCTURALES MORFOLOGICO LEXICALES a) Afianzar la capacidad analítica mental. b) Con el desenvolvimiento de palabras y sabiendo otros significados. c) Saber otras rutas de desarrollo de ejercicios de antonimia.
  • 4.
    CONECTORES El presente capitulopermite acercarnos a los conectores o ilativos; abordando estrategias, métodos y técnicas que, utilizados de manera conveniente obtendremos resultados contundentes OBJETIVOS: Los objetivos podemos resumirlo en las siguientes palabras; lograr el manejo y dominio de los conectores en la construcción de una oración o textos bien estructurados a través del manejo de la gramática LOS CONECTORES LOGICOS O ILATIVOS Conector o ilativo es la palabra que une partes de un mensaje, estableciendo una relación lógica entre oraciones, permitiendo la adecuada unión de los enunciados de un texto. CLASIFICACION DE LOS CONECTORES O ILATIVOS EL CAMPO SEMANTICO Es importante tener en cuenta para solucionar problemas de naturaleza de signos que, contienen significados y significantes. ESTRUCTURA DE LOS EJERCICIOS DE CONECTORES LOGICOS Los conectores están estructurados a partir de un enunciado u oración, en el cual se ha suprimido una o más unidades de conexión o relación lógica ESTRATEGIA DE RESOLUCION DE CONECTORES O ILATIVOS Antes situaciones de esta naturaleza es importante manejar estrategias de resolución de problemas, recordándoles que no existe un solo métod LAS CONJUNCIONES Une palabra y oraciones del mismo nivel sintáctico las conjunciones son palabras que no tienen variaciones en su empleo LAS PREPOSICIONES Une palabras de diferente nivel sintáctico e introduce elemento nominal al sustantivo. FUNCION DE RELACIONANTES O CONECTORES Resumiendo las líneas anteriores podemos encuadrar las relacionantes de la siguiente manera. CONDICON- ADICION- OPOSICION- CAUSA EFECTO- TIEMPO AMPLIACION ESTRATEGIA CLASICA DE RESOLUCION DE PROBLEMAS CON CONECTORES ESTRATEGIA ALTERNATIVA DE RESOLUCION DE PROBLEMAS DE CONECTORES a. A PATIR DE LAS ALTERNATIVAS b. LA TECNICA DE LA EXTRAPOLACION
  • 5.
    ORACIONES INCOMPLETAS La oraciónincompleta se define como el sistema gramatical en que se ha suprimido de manera intencional uno o más términos, por lo que ha perdido su coherencia inicial OBJETIVO DEL ESTUDIO DE ORACIONES INCOMPLETAS 1) Desarrollar la capacidad para sistematizar ideas 2) Aguzar el sentido lógico en el uso del idioma 3) Optimizar el manejo de la diversidad semántica de las palabras. 4) Inculcar la observancia de las normas básicas de la gramática.METODOS DE RESOLUCIÓN: La base de este método es el análisis sintáctico y semántico que se aplica a toda clase de oración incompleta CRITERIOS DE RESOLUCIÓN: Son aquellas normas de aplicación general que deben tomarse en cuenta con el fin de lograr mayor certeza al momento de completar una oración CONSISTENCIA LÓGICA: Es la solidez estructural de la oración, la cual se refleja en los vínculos coherentes y compatibles de sus elementos. Comprende dos aspectos: CORRECCIÓN GRAMATICAL: Es el uso correcto del idioma que se logra con la observancia de las normas básicas de la gramática. PRECISIÓN SEMÁNTICA: Consiste en la elección de la palabra más idónea de acuerdo al significado que posea o al nivel de la lengua al cual pertenezca Supone dos aspectos: • Sentido contextual; referido a la plenitud y naturalidad del mensaje. • Coherencia proposicional; referida a la compatibilidad de las proposiciones • Propiedad del término; significado de mayor exactitud la palabra elegida. • Estilo del autor; el nivel lingüístico o modo de expresión.
  • 6.
    TERMINO EXCLUIDO EINCLUIDO En el siguiente capítulo contiene los términos excluidos e incluidos conteniendo estrategias y métodos más fáciles para resolver problemas con solvencia racional con un gran contenidos de ejercicios. OBJETIVOS QUE PERSIGUEN LOS TÉRMINOS EXCLUIDOS.- El propósito de los términos excluidos es de desarrollar básicamente los siguientes objetivos. a) Afianzar el ejercicio racional y analítico. b) Desarrollar y discriminar palabras desde el punto de vista semántico o sintáctico. c) Dominar estrategias formas métodos de resolución de problemas. d) Elevar la competencia lingüística y lógica.TÉRMINOS EXCLUIDOS.- Es la palabra que no contiene ninguna relación semántica con el anuncio general, o difiere estructuralmente con el conjunto formado por las demás alternativas EL CAMPO SEMÁNTICO.- Con respecto con todo lo que se ha dado hasta aquí el campo léxico o semántico es el gran organizador del término excluido. RELACIONES SEMÁNTICAS.- Entre ellas tenemos a) DE SINONIMIA.- cuando se encuentras palabras de parecidos significados y se excluye el término que no es sinónimo de los demás. b) DE ANTONIMIA.- es cuando se encuentras palabras de opuestos significados. c) DE HIPERONIMIA.- es cuando una palaba o termino de significado general comprende de manera general otros significados específicos o más precisos. d) HIPONIMIA.- es el fenómeno lexical que se produce de manera opuesta a los hiperónimos. CLASIFICACIÓN DE TÉRMINOS EXCLUIDOS.- Casos basados en la sinonimia. • DE AFINIDAD SEMÁNTICA. Se separa la palabra que no contiene el mismo temas con los demás. • DE GENERO A ESPECIE. Se separa el término que no pertenece a una especie del género de la premisa. • DE COGENERIDAD. Se separa la palabra que no se especifica y no pertenezca al mismo grupo de los demás. • DE CASUALIDAD. Se separa la palabra que presente la relación, efecto con la premisa o viceversa.
  • 7.
    PLAN DE REDACCION Elpresente capitulo centra su trabajo en la teorización que ayudará a entender mejor el campo de Plan de Redacción; además se plantea estrategias, métodos y técnicas que, utilizando de manera adecuada obtendremos resultados contundentes, seguido de una batería de ejercicios con sus respectivas solucionarios. OBJETIVOS QUE PERSIGUE EL ESTUDIO PLAN DE REDACCION Conlleva a lograr los siguientes objetivos. PLAN DE REDACCION Redactar es poner por escrito lo que se desea comunicar. Para poder que se entienda el texto debemos tener en cuenta los signos ortográficos y una bueno coherencia al escribir. PROBABLE ESQUEMA GENERAL DE REDACCION FORMAS DE REDACCION TIPOS DE PLAN DE REDACCION ESTRUCTURA DEL EJERCICIO DE LA PLAN DE REDACCION a. Desarrollar capacidades y competencias para organizar ideas. b. Elevar la habilidad de inducción y deducción lógica. c. Afianza el desarrollo de estrategias resolutivas. ANTECEDENTES Da lugar a las apelaciones DEFINOCION Afronta el tema tratado CARACTERISTICA Diferencia de los demás TIPO O CLASES Clasifica y estratifica FORMAS CARACTERISTICAS EJEMPLOS Narración Ordenado y basado en la ficción a. ORDENAMIENTO ANALITICO b. ORDENACION DE RELACION DE PROCEDENCIA c. ORDENAMIENTO CARATEROLOGICO DISCURSIVO A. ELEMENTOS DE PLAN DE REDACCION B. TIPOS DE EJERCICIOS DE PLAN DE REDACCION
  • 8.
    ORACIONES ELIMINADAS El presentecapítulo centrado en las oraciones eliminadas, conceptúa, teoriza y plantea estrategias, métodos y técnicas de resolución de problemas de esta naturaleza OBJETIVOS DE ESTUDIOS: El estudio de oraciones Eliminadas busca desarrollar los siguientes objetivos: • Optimizar la capacidad de análisis y síntesis. • desarrollar la capacidad selectiva de la mente • evitar los vicios de redacción • propiciar el uso fluido y coherente del idioma DEFINIENDO LAS ORACIONES ELIMINADAS: Es un ejercicio mental íntimamente relacionado con la redacción de textos, constituidos por un texto con cinco o cuatro unidades de información entre las cuales debemos identificar y eliminar aquella que es impertinente. CONSIDEREMOS PARA EL ESTUDIO DE LAS ORACIONES ELIMINADAS. Según los lingüistas Beaugrande y Dressler, todo texto bien elaborado ha de presentar siete características: • Ha de ser coherente, centrándose en un solo tema, de manera que las diversas ideas vertidas en él han de contribuir a la creación de una idea global. • Ha de tener cohesión en sus diversas secuencias que los constituyen así mismo. • Adecuación al destinatario, de manera que utilicemos un lenguaje comprensible para su lector ideal, pero no necesariamente para todos los lectores de manera que, además, ofrezca toda la información necesaria. • Ha de contar con una intención comunicativa. • Ha de estar enmarcado con una situación comunicativa. CRITERIOS DE ELIMINACIÓN DE ORACIONES: Para identificar y calificar como impertinente una unidad informativa dentro de un ejercicio de eliminación de oraciones, tenemos que proceder objetivamente, sobre la base de una razón válida. ESTRUCTURA DE LAS ORACIONES ELIMINADAS: El ejercicio de oraciones eliminadas siempre se plantea a través de un conjunto de enunciados, oraciones, frases o proposiciones indispensables, donde una oración desempeña el triste papel de impertinente la misma que se debe eliminar. ESTRATEGIAS DE RESOLUCIÓN DE ORACIONES ELIMINADAS: Aparte de las clásicas técnicas de resolución de oraciones eliminadas, existen otras técnicas, quizás más eficaces:  LA CLÁSICA MANERA DE SOLUCIONAR EL PROBLEMA  LA TÉCNICA DE LA EXTRAPOLACIÓN  A PARTIR DE LOS ENUNCIADOS INFORMATIVOS
  • 9.
    Analogías OBJETIVO ANALOGÍAS PRINCIPIOS DE ANALOGÍAS TIPOSDE RELACIONES ANALOGICAS: Entre las relaciones más comunes tenemos los siguientes: Que podamos desarrollar habilidades capaces y competentes para relacionar ideas y diferenciar los usos del lenguaje bajo diferentes textos Son tipos de pruebas caracterizadas por su estructura y contenido de relación y semejanza que apuntan a comparar palabras y conceptos de acuerdo a pares llamadas premisas Orden lógica Necesidad lógica Significado condicionado RELACION DE TRABAJADOR A HERRAMIENTA RELACION DE SUJETO A CARACTERISTICA INDISPENSABLE RELACION DE AFICIONES RELACION DE ESPECIALISTA A CAMPO DE ACCION RELACION DE CIENCIA O ARTE A OBJETO DE ESTUDIO RELACION DE INSTRUMENTO DE MEDIDA A USO O FUNCION RELACION DE OBRA A AUTOR RELACION DE OBJETO PASADO A ACTUAL RELACION COGENERICA RELACION MITOLOGICA RELACION DE INTENSIDAD RELACION DE CONJUNTO A ELEMENTO RELACION DE ELEMENTO A CONJUNTO RELACION DE TODO A PARTE
  • 10.
    COMPRENSION LECTORA El presentecapitulo centra su trabajo en la teorización que ayudara a entender mejor el campo de comprensión lectora. OBJETIVOS DE ESTUDIOAS a. Desarrollar la capacidad para construir el pensamiento del lector b. Motivar una actitud analítica que permita conocer mejor la realidad c. Mejorar y ampliar nuestra visión del mundo d. Acceder a una información segura, autorizada y permanente e. Incrementar nuestro vocabulario y adquirir destrezas COMPRENSION LECTORA Es el proceso a través del cual el lector “interactúa” con el texto, lectura es un proceso de interacción del pensamiento y el lenguaje, aquí el lector debe reconocer la palabra, las letras, las frases; sin embargo no siempre entendemos los mensajes que nos transmiten. ASPECTOS A CONSIDERAR PARA EL DESARROLLO DE LA COMPRENSION LECTORA: EL LECTOR LA LECTURA EL TEXTO TIPOS DE PREGUNTAS DE COMPRENSION LECTORA A. PREGUNTAS DE COMPRENSION B. PREGUNTAS DE TRADUCCION C. PREGUNTAS DE INTERPRETACION D. PREGUNTAS DE EXTRAPOLACION ESTRUCTURA DE LOS EJERCICIOS DE COMPRENSION LECTORA Siempre se plantean con textos cortos, a con un titulo y a veces se obvia el titulo, de enseguida va seguida de interrogantes entre 4 o 5.