1
Ejercicios de cálculo de derivadas
1Calcula las derivadas de las funciones:
1
2
3
4
5
6
7
8
9
2Calcula mediante la fórmula de la derivada de una potencia:
1
2
3
4
5
2
6
7
3Calcula mediante la fórmula de la derivada de una raíz:
1
2
3
4Deriva las funciones exponenciales
1
2
3
4
5
5Calcula la derivada de la funciones logarítmicas:
1
2
3
4
3
5
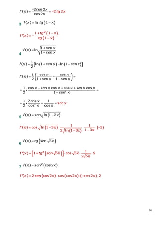
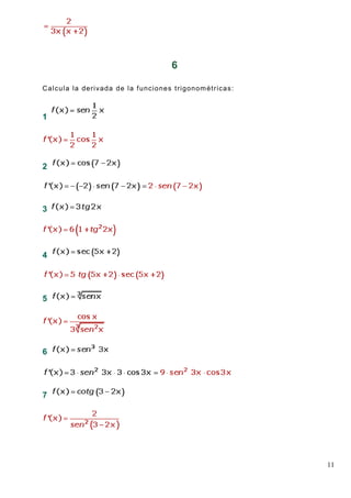
6Calcula la derivada de la funciones trigonométricas:
1
2
3
4
5
6
7
8
9
7Calcula la derivada de la funciones trigonométricas inversas:
1
2
3
4
5
4
8Derivar por la regla de la cadena las funciones:
1
2
3
4
5
6
7
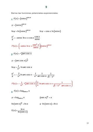
9Deriva las funciones potenciales-exponenciales:
1
2
3
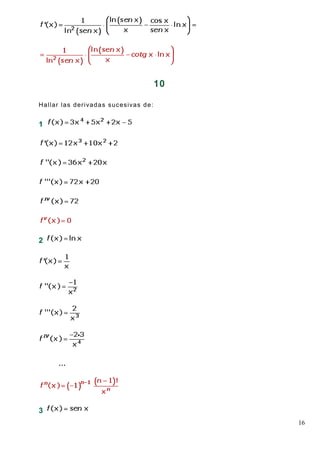
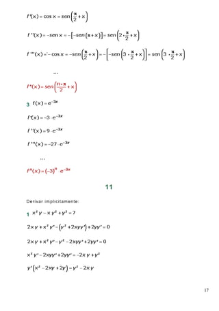
10Hallar las derivadas sucesivas de:
1
2
3
4
5
11Derivar implicitamente:
1
2
Soluciones:
1
Calcula las derivadas de las funciones:
1
2
3
4
5
6
6
7
8
9
2
Calcula mediante la fórmula de la derivada de una potencia:
1
2
3
7
4
5
6
7
3
Calcula mediante la fórmula de la derivada de una raíz:
1
2
8
3
4
Deriva las funciones exponenciales:
1
2
9
3
4
5
5
Calcula la derivada de la funciones logarítmicas:
1
2
Aplicando las propiedades de los logarítmos obtenemos:
10
3
Aplicando las propiedades de los logarítmos obtenemos:
4
Aplicando las propiedades de los logarítmos obtenemos:
5
Aplicando las propiedades de los logarítmos obtenemos:
11
6
Calcula la derivada de la funciones trigonométricas:
1
2
3
4
5
6
7
12
8
9
7
Calcula la derivada de la funciones tri gonométricas inversas:
1
2
13
3
4
5
8
Derivar por la regla de la cadena las funciones:
1
2
14
3
4
5
6
7
15
9
Deriva las funciones potenciales-exponenciales:
1
2
3
16
10
Hallar las derivadas sucesivas de:
1
2
3
17
3
11
Derivar implicitamente:
1
18
2

Ejercicios de derivadas2