APLICACIÓN DE LAS DERIVADAS

Ejercicio 3. Halla el valor de a para que la función f ( x) ax 2 2 x 3
tenga en x 1 una recta tangente que forme un ángulo de 45 con
el eje de abcisas.




Ejercicio 5. Halla el valor de a para que la función   f ( x)   x2   ax 2
tenga un mínimo en x 1 .
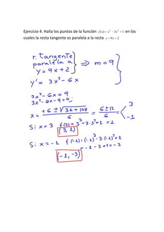
Ejercicio 4. Halla los puntos de la función f ( x)   x3     3x 2   1   en los
cuales la recta tangente es paralela a la recta      y 9x     2
Ejercicio 6. Halla el valor de b, c y d para que la función
 f ( x) x 3 bx 2 cx d tenga un extremo en 2,0 y un punto de
inflexión en x 1
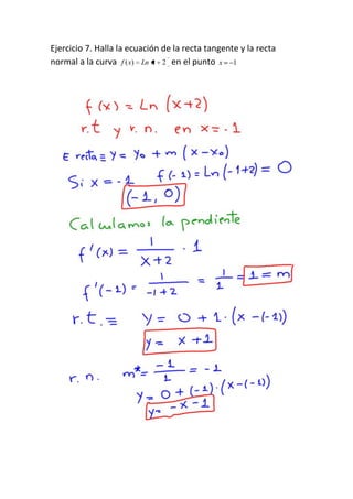
Ejercicio 7. Halla la ecuación de la recta tangente y la recta
normal a la curva f ( x) Ln x 2 en el punto x 1
Ejercicio 8. Halla el valor de a, b, c y d para que la función
 f ( x) ax 3 bx 2 cx d tenga un máximo en 0,1 y un mínimo en     1,2
Optimización
1º. Se tiene un alambre de 1 m de longitud y se desea dividirlo en
dos trozos para formar con uno de ellos un círculo y con el otro
un cuadrado. Determinar la longitud que se ha de dar a cada uno
de los trozos para que la suma de las áreas del círculo y del
cuadrado sea mínima.
5º. Recortando convenientemente en cada esquina de una
lámina de cartón de dimensiones 80 cm x 50 cm un cuadrado de
lado x y doblando convenientemente , se construye una caja.
Calcular x para que volumen de dicha caja sea máximo.
Ejercicios derivadas
Ejercicios derivadas

Ejercicios derivadas

  • 1.
    APLICACIÓN DE LASDERIVADAS Ejercicio 3. Halla el valor de a para que la función f ( x) ax 2 2 x 3 tenga en x 1 una recta tangente que forme un ángulo de 45 con el eje de abcisas. Ejercicio 5. Halla el valor de a para que la función f ( x) x2 ax 2 tenga un mínimo en x 1 .
  • 2.
    Ejercicio 4. Hallalos puntos de la función f ( x) x3 3x 2 1 en los cuales la recta tangente es paralela a la recta y 9x 2
  • 3.
    Ejercicio 6. Hallael valor de b, c y d para que la función f ( x) x 3 bx 2 cx d tenga un extremo en 2,0 y un punto de inflexión en x 1
  • 5.
    Ejercicio 7. Hallala ecuación de la recta tangente y la recta normal a la curva f ( x) Ln x 2 en el punto x 1
  • 6.
    Ejercicio 8. Hallael valor de a, b, c y d para que la función f ( x) ax 3 bx 2 cx d tenga un máximo en 0,1 y un mínimo en 1,2
  • 8.
    Optimización 1º. Se tieneun alambre de 1 m de longitud y se desea dividirlo en dos trozos para formar con uno de ellos un círculo y con el otro un cuadrado. Determinar la longitud que se ha de dar a cada uno de los trozos para que la suma de las áreas del círculo y del cuadrado sea mínima.
  • 9.
    5º. Recortando convenientementeen cada esquina de una lámina de cartón de dimensiones 80 cm x 50 cm un cuadrado de lado x y doblando convenientemente , se construye una caja. Calcular x para que volumen de dicha caja sea máximo.