LAS CUENTAS



Cuenta es el nombre que se utiliza para registrar, en forma ordenada, las operaciones que
diariamente realiza una empresa.


ESQUEMA DE LA CUENTA “T”


Es la forma más simple para iniciar el aprendizaje de los registros contables. Las partes de la
cuenta T,
son:

        1. Nombre completo de la cuenta
        2. Debe, el lado izquierdo, para registrar los debitos
        3. Haber, el lado derecho, para registrar los créditos


ESQUEMA DE LA CUENTA "T"




                                         1. NOMBRE


                                DEBE               HABER
                                2. Débitos        3. Créditos




CLASIFICACION, NOMENCLATURA Y MOVIMIENTO DE LAS CUENTAS

Las cuentas representan las propiedades, derechos y deudas de una empresa en una fecha
determinada; así mismo, los costos, los gastos y las utilidades en un período determinado.
De acuerdo con su naturaleza, las cuentas se clasifican en:


        1. REALES O DE BALANCE

        2. NOMINALES, DE RESULTADOS (TRANSITORIAS)

        3. ORDEN
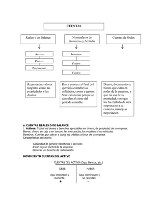
CUENTAS


  Reales o de Balance                     Nominales o de                    Cuentas de Orden
                                        Ganancias y Pérdidas



          Activo                          Ingresos

          Pasivo
                                           Gastos
        Patrimonio
                                           Costos


   Representan valores             Dan a conocer al final del        Dinero, documentos y
   tangibles como las              ejercicio contable las            bienes que están en
   propiedades y las               utilidades, costos y gastos.      poder de la empresa, y
   deudas.                         Son transitorias porque se        que no son de su
                                   cancelan al cierre del            propiedad, sino que
                                   periodo contable.                 los ha recibido de otra
                                                                     empresa para su
                                                                     custodia, manejo o
                                                                     negociación.



a. CUENTAS REALES O DE BALANCE
1. Activos: Todos los bienes y derechos apreciables en dinero, de propiedad de la empresa.
Bienes: dinero en caja o en bancos, las mercancías, los muebles y los vehículos
Derechos: Cuentas por cobrar y todos los créditos a favor de la empresa
Características del activo:

       -Capacidad de generar beneficios o servicios
       -Estar bajo el control de la empresa
       -Generar un derecho de reclamación

MOVIMIENTO CUENTAS DEL ACTIVO

                          CUENTAS DEL ACTIVO (Caja, Bancos, etc.)

                               DEBE                     HABER

                       Aquí empiezan y           Aquí disminuyen y
                          Aumenta                  se cancelan
                               +                        -
Ejemplo:
1, Compra de un carro por valor de $ 5,000,000 ( primer registro)
2, Adquisición de otro vehículo por $ 7,000,000 ( Segundo registro)
3, Si se vende el primer carro por $ 5,000,000, se debe registrar en el
crédito pues es una disminución del Activo y su movimiento crédito

                        FLOTA Y EQUIPO DE TRANSPORTE

                                 Debe              Haber

                              Aumenta (+)        Disminuye (-)
                                5.000.000         5.000.000
                                7.000.000             -

                               12.000.000          5.000.000
                                7.000.000

                              Saldo débito


El saldo de la cuenta del activo se calcula mediante la diferencia entre los saldos debitos y
créditos, o sea: $ 12,000,000 - $ 5,000,000 = $ 7,000,000
Como son mayores los débitos, el saldo es débito

CUENTAS QUE CONFORMAN LA CUENTA DEL ACTIVO
Caja, bancos, clientes, acciones, terrenos, inventarios, flota y equipo de transporte, etc.


2. Pasivo : Representa todas las obligaciones contraídas por la empresa para su cancelación en
el futuro. Son las deudas que debe pagar por cualquier concepto.

Características del pasivo:
- La obligación tiene que haberse causado, lo cual implica el deber de hacer el pago
- Existe una deuda con un beneficiario cierto

MOVIMIENTO CUENTAS DEL PASIVO

                                     CUENTAS DEL PASIVO

                                 DEBE                     HABER

                        Aquí disminuyen y        Aquí empiezan y
                          se cancelan              aumentan
                                 -                        +
                                                    Saldo Crédito



Ejemplo :
1, La empresa tiene una deuda por $ 350.000 (primer registro en el haber de Proveedores
Nacionales
2, La empresa tiene otra deuda por $ 500,000 (Aumento de la deuda, otro registro
crédito)
3, Se cancela la primera deuda por $ 350.000, proveedores se debita por este valor,
porque constituye disminución del pasivo.

                                 PROVEEDORES NACIONALES

                                 Debe              Haber

                             Disminuye (-)       Aumenta (+)
                               350.000            350.000
                                                  500.000

                               350.000            850.000
                                                  500.000

                                                 Saldo crédito


El saldo de la cuenta del Pasivo se calcula mediante la diferencia entre los saldos créditos y
débitos o sea: $ 850,000 - $ 350,000 = $ 500,000
Como son mayores los créditos, el saldo es crédito

CUENTAS QUE PERTENECEN AL PASIVO
Obligaciones con Bancos Nacionales, Proveedores Nacionales, salarios por pagar, etc.

3. Patrimonio:
Matemáticamente el Patrimonio se calcula por la diferencia entre el activo y el pasivo.
Representa los aportes del dueño o dueños para constituir la empresa, y ademas incluye las
utilidades y reservas. Este grupo constituye un pasivo a favor de los dueños de la empresa, por
lo cual se maneja de igual forma que las cuentas de Pasivo.

Características:
        - Está constituido por el aporte inicial y el aporte adicional de los dueños de la empresa
        - Se incrementa con las utilidades y se disminuye con las pérdidas del ejercicio contable.

MOVIMIENTO CUENTAS DEL PATRIMONIO


                                 CUENTAS DEL PATRIMONIO

                                 DEBE                    HABER

                        Aquí disminuyen y        Aquí empiezan y
                          se cancelan              aumentan
                                 -                       +
                                                   Saldo Crédito


Ejemplo :
1, Para constituir una empresa, tres socios aportan $ 1,000,000, $ 2,000,000 y $ 4,000,000
respectivamente ( aumento de patrimonio, registro en el haber)
2, Se retira el socio que aportó $ 1,000,000 (disminución del patrimonio, registro débito)
APORTES SOCIALES

                                 Debe              Haber

                             Disminuye (-)       Aumenta (+)
                               1.000.000         1.000.000
                                                 2.000.000
                                                 4.000.000

                               1.000.000         7.000.000
                                                 6.000.000
                                                 Saldo crédito

El saldo de la cuenta del Patrimonio se calcula mediante la diferencia entre los saldos
créditos y débitos o sea: $ 7,000,000 - $ 1,000,000 = $ 6.000.000
Como son mayores los créditos, el saldo es crédito

b. CUENTAS NOMINALES, DE RESULTADOS O TRANSITORIAS
Llamadas también de resultado porque al final de un ejercicio contable dan a conocer las
utilidades, costos y gastos, y son transitorias porque se cancelan al cierre del periodo contable.

CUENTAS QUE COMPRENDE EL ESTADO DE GANANCIAS Y PÉRDIDAS:
De Ingresos, gastos y Costos de ventas

1. Ingresos: Valores que recibe una empresa cuando realiza una venta o presta un servicio con
el fin de obtener una ganancia.
MOVIMIENTO CUENTAS DE INGRESOS
                                 CUENTAS DE INGRESOS

                                 DEBE                    HABER

                        Aquí disminuyen y        Aquí empiezan y
                          se cancelan              aumentan
                                 -                       +
                                                   Saldo Crédito

Ejemplo :
1, Se reciben $ 250.000 mensuales por concepto de arrendamiento de un
local por los meses de enero, febrero y
Marzo. ( se registra en el haber porque representa un ingreso)

                                 ARRENDAMIENTO (Ingresos)

                                 Debe              Haber

                             Disminuye (-)       Aumenta (+)
                                                  250.000
                                                  250.000
                                                  250.000

                                                  750.000
                                                 Saldo crédito
El saldo de la cuenta de Ingresos se obtiene sumando la columna del haber, saldo $ 750.000

2. Gastos: Una empresa debe efectuar pagos por los servicios y elementos necesarios para un
buen funcionamiento; esto constituye un gasto o una pérdida porque esos valores no son
recuperables.
Ejemplo: Pago de sueldos, arrendamientos, servicios públicos y otros.

MOVIMIENTO CUENTAS DE GASTOS

                                    CUENTAS DE GASTOS

                               DEBE                    HABER

                       Aquí empiezan y          Aquí disminuyen y
                         aumentan                se cancelan
                             +                         -
                           Débito


Ejemplo :
1, Se pagan servicios públicos del mes de mayo, así: energía $ 75,000, agua
$ 30.000, teléfono $ 65.000 (se registran en el debe, aumentan los gastos para la empresa.)

                                      GASTOS SERVICIOS

                               Debe              Haber

                            Aumenta (+)
                              75.000
                              30.000
                              65.000

                               170.000
                            Saldo débito


El saldo de la cuenta de Gastos se obtiene sumando la columna del debe, saldo $ 170.000

3. Costo de Ventas: Representa el valor de adquisición de los artículos destinados a la venta.

                                    MOVIMIENTO CUENTAS
                                    DE COSTOS DE VENTAS

                               DEBE                    HABER

                       Aquí empiezan y          Aquí disminuyen y
                         aumentan                se cancelan
                             +                         -
                           Débito


Ejemplo :
1, Se compran 10 vestidos por valor de $ 500.000 y 20 pares de zapatos por
valor de $ 400.000
                                  COMPRA DE MERCANCIAS

                                Debe              Haber

                             Aumenta (+)
                               500.000
                               400.000

                                900.000
                             Saldo débito



Al sumar el movimiento de la columna del debe se obtiene un saldo débito

LA PARTIDA DOBLE Y LA ECUACION PATRIMONIAL
1. La partida doble :
Al recordar el manejo de las cuentas y examinar cualquier operación mercantil, se descubrirá que
en cada una de ellas se afectan, por lo menos, dos cuentas, una que se debita y otra que se
acredita.
Ejemplo 1. Venta al contado de un terreno por $ 7.400.000
Al vender de contado se recibe dinero, significa que CAJA, cuenta del activo, aumenta, por ello se
debita. Se recibe dinero y a cambio se entrega un terreno, luego la cuenta TERRENOS, que
también es de Activo, disminuye, por lo tanto, se acredita.

                                     LA PARTIDA DOBLE

                       CAJA                             TERRENOS
                 Debe     Haber                         Debe Haber
                7.400.000                                    7.400.000

                7.400.000                                       7.400.000


Ejemplo 2. Compra de mercancías a crédito por $ 900.000
La cuenta de COMPRA DE MERCANCIAS aumenta, debitándose.
Al recibir la mercancía se debe pagar ese valor pero la mercancía es comprada a crédito y las
deudas aumentan, luego PROVEEDORES NALES se acredita.

          COMPRA DE MERCANCIAS                   PROVEEDORES NACIONALES
              Debe    Haber                          Debe Haber
             900.000                                      900.000

                900.000                                          900.000



a. Asientos Contables.
Es el registro de las operaciones mercantiles en los comprobantes y libros de contabilidad.
En el registro contable, se pueden presentar dos tipos de asientos:
4. Asiento simple: Cuando solamente se afectan dos cuentas correspondientes a un débito y a un
crédito.
ASIENTO SIMPLE
Ejemplo :Se compra al contado con cheque, un teléfono para uso de la empresa por $ 300,000

   EQUIPO DE COMPUTAC. Y COMUNICACIÓN                                   BANCOS

                 Debe       Haber                                   Debe         Haber
                300.000                                                         300.000

                300.000                                                         300.000


2. Asiento compuesto: Cuando en el registro se afectan más de dos cuentas

                       CAJA                            CLIENTES
                 Debe     Haber                        Debe Haber
                200.000                              620.000


                200.000                              620.000



COMERCIO AL POR MAYOR Y AL POR MENOR
            Debe   Haber
                   820.000


                            820.000



c. Procedimiento para registrar las operaciones mercantiles
Para registrar las operaciones mercantiles en los comprobantes y libros de contabilidad se cambia
la cuenta T por los asientos de diario en forma horizontal.
Ejemplo El ejercicio anterior se registra así:

ASIENTO DE DIARIO

                  CUENTAS                                           DEBE             HABER
CAJA                                                                 200.000
CLIENTES                                                             620.000
COMERCIO AL POR MAYOR Y AL POR MENOR                                                      820.000

Proceso para registrar correctamente una operación mercantil es el siguiente:
1. Identificar las cuentas que se afectan según el tipo de transacción. Para ello debe plantearse
dos interrogantes.
         • Al comprar. ¿Qué se compra?, ¿Cómo se cancela?
         • Al vender ¿Qué se vende? , ¿Cómo se cobra su valor?
         • Al cancelar una deuda. ¿Qué tipo de deuda se paga?, ¿Cómo se cancela su valor?
2. Determinar la cuenta que se debita y la cuenta que se acredita. Para ello, primero se debe
identificar el grupo de cuentas a que pertenece y recordar su movimiento, teniendo presente sus
aumentos o disminuciones, luego se procede a debitar o acreditar cada una.
Una cuenta se DEBITA                               Una cuenta se ACREDITA

Si la cuenta es de:                               Si la cuenta es de:

         • Activo y aumenta                               • Activo y disminuye
        • Pasivo y disminuye                              • Pasivo y aumenta
        • Patrimonio y disminuye                          • Patrimonio y aumenta
        • Costo de ventas y aumenta                       • Costo de ventas y disminuye
        • Gastos y aumenta                                • Gastos y disminuye
        • Ingresos y disminuye                            • Ingresos y aumenta




EJERCICIOS DE APLICACIÓN
1.
      1. Consignación en Banco de Colombia por $ 500.000
      2. Compra de mercancías al contado por $ 800.000, valor cancelado con cheque del
          Banco de Colombia
      3. Compra de mercancías a crédito por $ 600.000
      4. Venta de mercancías al contado por $ 1.500.000
      5. Venta de mercancías a crédito por $ 1.700.000
      6. Compra a crédito activos diferentes: Muebles para la oficina por $ 470.000
      7. La empresa concede un préstamo a un empleado y gira cheque por $ 250.000
      8. La empresa obtiene un préstamo del Banco de Colombia por $ 3.000.000, que se
          consigna en la cuenta corriente.
      9. Un cliente abona $ 450.000 a la deuda por venta de mercancías a crédito, gira
          cheque a favor de la empresa.
      10. La empresa gira un cheque por $ 500.000 al Banco de Colombia como abono a la
          deuda.
      11. La empresa gira un cheque de $ 256.000 a un proveedor por concepto de abono a
          deuda por mercancías.
      12. Para iniciar una empresa, un socio aporta $ 1.300.000 con cheque, otro socio aporta
          un terreno por $ 1.500.000
      13. Gastos:
          -La empresa gira un cheque por $ 120.000 por concepto de arrendamiento de
          Oficinas por un mes.
          -El banco cobra intereses por sobregiro y descuenta directamente de la cuenta
          corriente de la empresa $ 5.000
      14. Gastos pagados por anticipado. La empresa gira un cheque por valor de $ 300.000
          correspondiente a tres meses de arrendamiento anticipado.
      15. Ingresos:
               -La empresa recibe $ 75.000 por concepto de arrendamiento de parqueadero
               - La empresa recibe honorarios por valor de $ 180.000 en cheque girado a favor
               de la empresa por asistencia técnica.
      16. Gastos causados por pagar
               - A fin de mes, la empresa adeuda los servicios públicos correspondientes a un
               mes por valor de $ 185.450
      17. Ingresos recibidos por anticipado.
               -La empresa recibe $90.000 por concepto de intereses anticipados
2. LA ECUACIÓN PATRIMONIAL

Contablemente debe existir equilibrio entre las cuentas reales de Activo, de Pasivo y de
patrimonio de una empresa. Para determinar el equilibrio entre estas cuentas, se utiliza una
formula matemática conocida con el nombre de ECUACIÓN PATRIMONIAL. Esta formula da a
conocer independientemente, el valor del Activo, del Pasivo o del Patrimonio.

ECUACIÓN PATRIMONIAL              ACTIVO = PASIVO + PATRIMONIO

De donde:                        PASIVO = ACTIVO - PATRIMONIO

                                 PATRIMONIO = ACTIVO – PASIVO

Ejemplo 1. Villarreal Asociados & Cía., suministra la siguiente información: Posee $ 600.000 en
una cuenta corriente bancaria, $ 3.000.000, en equipo para oficina, $ 1.200.000 que debe cobrar
por venta de mercancías, $ 1.800.000 en terrenos; debe pagar a proveedores $ 900.000, un
préstamo bancario por $ 500.000. Determinar el patrimonio de la empresa.

                              PATRIMONIO = ACTIVO – PASIVO

ACTIVO                                            PASIVO
Bancos                   $ 600.000                Bancos Nacionales                $ 500.000
Equipo de oficina        3.000.000                Proveedores Nales                $ 900.000_
Clientes                 1.200.000                Total                            $1.400.000
Terrenos                 1.800.000
Total                    $ 6.600.000              PATRIMONIO                       $ 5.200.000

Total ACTIVO             $6.600.000      Total PASIVO + PATRIMONIO                 $ 6.600.000

Nota: En la ecuación patrimonial solo intervienen las cuentas reales, por ello, del ejercicio
anterior únicamente se toman las cuentas del ACTIVO, PASIVO Y PATRIMONIO

Ejercicios:
2. Con la siguiente información determine el Patrimonio del Almacén la Gran Subasta:

Bancos                        850.000             Acreedores varios                300.000
Clientes                      700.000             Maquinaria y equipo              5.000.000
Costos y gastos x pagar       850.000             Cesantías consolidadas           200.000
Acciones                      1.500.000           Gastos de personal               850.000
Comercio al por Mayor y menor 3.500.000
Compra de mercancías          2.800.000
Ingresos diversos             150.000

Ejemplo 2: Modificaciones en la ecuación patrimonial (La ecuación puede variar de acuerdo con
los aumentos o disminuciones del activo, pasivo o patrimonio)
• El 20 de mayo de 2004 Juan Gómez, tiene $ 3.000 en bancos y no tiene deudas a su cargo. La
ecuación patrimonial se representa así:
ACTIVO                                         PASIVO
Bancos                  $ 3.000.000                                           -0-
                                               PATRIMONIO
                                               Aportes sociales               $3.000.000
Total activo            $ 3.000.000            Total Patrimonio       $ 3.000.000
Ejercicio:
3. El 25 de mayo se compra de contado muebles por $ 500.000 y cancela con cheque
NOTA: Al cambiar un activo por otro activo, el patrimonio permanece igual.
4. • El 26 de mayo compra un terreno a crédito por $ 5.000.000
Nota: Al aumentar el activo y aumentar el pasivo por igual valor, el patrimonio no sufre variación
5. • El 27 de mayo paga con cheque $ 500.000 a la deuda del terreno
Nota: al disminuir el activo y disminuir el pasivo por el mismo valor, el patrimonio permanece
invariable.

Guia 1 3 Las Cuentas 2

  • 1.
    LAS CUENTAS Cuenta esel nombre que se utiliza para registrar, en forma ordenada, las operaciones que diariamente realiza una empresa. ESQUEMA DE LA CUENTA “T” Es la forma más simple para iniciar el aprendizaje de los registros contables. Las partes de la cuenta T, son: 1. Nombre completo de la cuenta 2. Debe, el lado izquierdo, para registrar los debitos 3. Haber, el lado derecho, para registrar los créditos ESQUEMA DE LA CUENTA "T" 1. NOMBRE DEBE HABER 2. Débitos 3. Créditos CLASIFICACION, NOMENCLATURA Y MOVIMIENTO DE LAS CUENTAS Las cuentas representan las propiedades, derechos y deudas de una empresa en una fecha determinada; así mismo, los costos, los gastos y las utilidades en un período determinado. De acuerdo con su naturaleza, las cuentas se clasifican en: 1. REALES O DE BALANCE 2. NOMINALES, DE RESULTADOS (TRANSITORIAS) 3. ORDEN
  • 2.
    CUENTAS Realeso de Balance Nominales o de Cuentas de Orden Ganancias y Pérdidas Activo Ingresos Pasivo Gastos Patrimonio Costos Representan valores Dan a conocer al final del Dinero, documentos y tangibles como las ejercicio contable las bienes que están en propiedades y las utilidades, costos y gastos. poder de la empresa, y deudas. Son transitorias porque se que no son de su cancelan al cierre del propiedad, sino que periodo contable. los ha recibido de otra empresa para su custodia, manejo o negociación. a. CUENTAS REALES O DE BALANCE 1. Activos: Todos los bienes y derechos apreciables en dinero, de propiedad de la empresa. Bienes: dinero en caja o en bancos, las mercancías, los muebles y los vehículos Derechos: Cuentas por cobrar y todos los créditos a favor de la empresa Características del activo: -Capacidad de generar beneficios o servicios -Estar bajo el control de la empresa -Generar un derecho de reclamación MOVIMIENTO CUENTAS DEL ACTIVO CUENTAS DEL ACTIVO (Caja, Bancos, etc.) DEBE HABER Aquí empiezan y Aquí disminuyen y Aumenta se cancelan + -
  • 3.
    Ejemplo: 1, Compra deun carro por valor de $ 5,000,000 ( primer registro) 2, Adquisición de otro vehículo por $ 7,000,000 ( Segundo registro) 3, Si se vende el primer carro por $ 5,000,000, se debe registrar en el crédito pues es una disminución del Activo y su movimiento crédito FLOTA Y EQUIPO DE TRANSPORTE Debe Haber Aumenta (+) Disminuye (-) 5.000.000 5.000.000 7.000.000 - 12.000.000 5.000.000 7.000.000 Saldo débito El saldo de la cuenta del activo se calcula mediante la diferencia entre los saldos debitos y créditos, o sea: $ 12,000,000 - $ 5,000,000 = $ 7,000,000 Como son mayores los débitos, el saldo es débito CUENTAS QUE CONFORMAN LA CUENTA DEL ACTIVO Caja, bancos, clientes, acciones, terrenos, inventarios, flota y equipo de transporte, etc. 2. Pasivo : Representa todas las obligaciones contraídas por la empresa para su cancelación en el futuro. Son las deudas que debe pagar por cualquier concepto. Características del pasivo: - La obligación tiene que haberse causado, lo cual implica el deber de hacer el pago - Existe una deuda con un beneficiario cierto MOVIMIENTO CUENTAS DEL PASIVO CUENTAS DEL PASIVO DEBE HABER Aquí disminuyen y Aquí empiezan y se cancelan aumentan - + Saldo Crédito Ejemplo : 1, La empresa tiene una deuda por $ 350.000 (primer registro en el haber de Proveedores Nacionales 2, La empresa tiene otra deuda por $ 500,000 (Aumento de la deuda, otro registro
  • 4.
    crédito) 3, Se cancelala primera deuda por $ 350.000, proveedores se debita por este valor, porque constituye disminución del pasivo. PROVEEDORES NACIONALES Debe Haber Disminuye (-) Aumenta (+) 350.000 350.000 500.000 350.000 850.000 500.000 Saldo crédito El saldo de la cuenta del Pasivo se calcula mediante la diferencia entre los saldos créditos y débitos o sea: $ 850,000 - $ 350,000 = $ 500,000 Como son mayores los créditos, el saldo es crédito CUENTAS QUE PERTENECEN AL PASIVO Obligaciones con Bancos Nacionales, Proveedores Nacionales, salarios por pagar, etc. 3. Patrimonio: Matemáticamente el Patrimonio se calcula por la diferencia entre el activo y el pasivo. Representa los aportes del dueño o dueños para constituir la empresa, y ademas incluye las utilidades y reservas. Este grupo constituye un pasivo a favor de los dueños de la empresa, por lo cual se maneja de igual forma que las cuentas de Pasivo. Características: - Está constituido por el aporte inicial y el aporte adicional de los dueños de la empresa - Se incrementa con las utilidades y se disminuye con las pérdidas del ejercicio contable. MOVIMIENTO CUENTAS DEL PATRIMONIO CUENTAS DEL PATRIMONIO DEBE HABER Aquí disminuyen y Aquí empiezan y se cancelan aumentan - + Saldo Crédito Ejemplo : 1, Para constituir una empresa, tres socios aportan $ 1,000,000, $ 2,000,000 y $ 4,000,000 respectivamente ( aumento de patrimonio, registro en el haber) 2, Se retira el socio que aportó $ 1,000,000 (disminución del patrimonio, registro débito)
  • 5.
    APORTES SOCIALES Debe Haber Disminuye (-) Aumenta (+) 1.000.000 1.000.000 2.000.000 4.000.000 1.000.000 7.000.000 6.000.000 Saldo crédito El saldo de la cuenta del Patrimonio se calcula mediante la diferencia entre los saldos créditos y débitos o sea: $ 7,000,000 - $ 1,000,000 = $ 6.000.000 Como son mayores los créditos, el saldo es crédito b. CUENTAS NOMINALES, DE RESULTADOS O TRANSITORIAS Llamadas también de resultado porque al final de un ejercicio contable dan a conocer las utilidades, costos y gastos, y son transitorias porque se cancelan al cierre del periodo contable. CUENTAS QUE COMPRENDE EL ESTADO DE GANANCIAS Y PÉRDIDAS: De Ingresos, gastos y Costos de ventas 1. Ingresos: Valores que recibe una empresa cuando realiza una venta o presta un servicio con el fin de obtener una ganancia. MOVIMIENTO CUENTAS DE INGRESOS CUENTAS DE INGRESOS DEBE HABER Aquí disminuyen y Aquí empiezan y se cancelan aumentan - + Saldo Crédito Ejemplo : 1, Se reciben $ 250.000 mensuales por concepto de arrendamiento de un local por los meses de enero, febrero y Marzo. ( se registra en el haber porque representa un ingreso) ARRENDAMIENTO (Ingresos) Debe Haber Disminuye (-) Aumenta (+) 250.000 250.000 250.000 750.000 Saldo crédito
  • 6.
    El saldo dela cuenta de Ingresos se obtiene sumando la columna del haber, saldo $ 750.000 2. Gastos: Una empresa debe efectuar pagos por los servicios y elementos necesarios para un buen funcionamiento; esto constituye un gasto o una pérdida porque esos valores no son recuperables. Ejemplo: Pago de sueldos, arrendamientos, servicios públicos y otros. MOVIMIENTO CUENTAS DE GASTOS CUENTAS DE GASTOS DEBE HABER Aquí empiezan y Aquí disminuyen y aumentan se cancelan + - Débito Ejemplo : 1, Se pagan servicios públicos del mes de mayo, así: energía $ 75,000, agua $ 30.000, teléfono $ 65.000 (se registran en el debe, aumentan los gastos para la empresa.) GASTOS SERVICIOS Debe Haber Aumenta (+) 75.000 30.000 65.000 170.000 Saldo débito El saldo de la cuenta de Gastos se obtiene sumando la columna del debe, saldo $ 170.000 3. Costo de Ventas: Representa el valor de adquisición de los artículos destinados a la venta. MOVIMIENTO CUENTAS DE COSTOS DE VENTAS DEBE HABER Aquí empiezan y Aquí disminuyen y aumentan se cancelan + - Débito Ejemplo : 1, Se compran 10 vestidos por valor de $ 500.000 y 20 pares de zapatos por
  • 7.
    valor de $400.000 COMPRA DE MERCANCIAS Debe Haber Aumenta (+) 500.000 400.000 900.000 Saldo débito Al sumar el movimiento de la columna del debe se obtiene un saldo débito LA PARTIDA DOBLE Y LA ECUACION PATRIMONIAL 1. La partida doble : Al recordar el manejo de las cuentas y examinar cualquier operación mercantil, se descubrirá que en cada una de ellas se afectan, por lo menos, dos cuentas, una que se debita y otra que se acredita. Ejemplo 1. Venta al contado de un terreno por $ 7.400.000 Al vender de contado se recibe dinero, significa que CAJA, cuenta del activo, aumenta, por ello se debita. Se recibe dinero y a cambio se entrega un terreno, luego la cuenta TERRENOS, que también es de Activo, disminuye, por lo tanto, se acredita. LA PARTIDA DOBLE CAJA TERRENOS Debe Haber Debe Haber 7.400.000 7.400.000 7.400.000 7.400.000 Ejemplo 2. Compra de mercancías a crédito por $ 900.000 La cuenta de COMPRA DE MERCANCIAS aumenta, debitándose. Al recibir la mercancía se debe pagar ese valor pero la mercancía es comprada a crédito y las deudas aumentan, luego PROVEEDORES NALES se acredita. COMPRA DE MERCANCIAS PROVEEDORES NACIONALES Debe Haber Debe Haber 900.000 900.000 900.000 900.000 a. Asientos Contables. Es el registro de las operaciones mercantiles en los comprobantes y libros de contabilidad. En el registro contable, se pueden presentar dos tipos de asientos: 4. Asiento simple: Cuando solamente se afectan dos cuentas correspondientes a un débito y a un crédito.
  • 8.
    ASIENTO SIMPLE Ejemplo :Secompra al contado con cheque, un teléfono para uso de la empresa por $ 300,000 EQUIPO DE COMPUTAC. Y COMUNICACIÓN BANCOS Debe Haber Debe Haber 300.000 300.000 300.000 300.000 2. Asiento compuesto: Cuando en el registro se afectan más de dos cuentas CAJA CLIENTES Debe Haber Debe Haber 200.000 620.000 200.000 620.000 COMERCIO AL POR MAYOR Y AL POR MENOR Debe Haber 820.000 820.000 c. Procedimiento para registrar las operaciones mercantiles Para registrar las operaciones mercantiles en los comprobantes y libros de contabilidad se cambia la cuenta T por los asientos de diario en forma horizontal. Ejemplo El ejercicio anterior se registra así: ASIENTO DE DIARIO CUENTAS DEBE HABER CAJA 200.000 CLIENTES 620.000 COMERCIO AL POR MAYOR Y AL POR MENOR 820.000 Proceso para registrar correctamente una operación mercantil es el siguiente: 1. Identificar las cuentas que se afectan según el tipo de transacción. Para ello debe plantearse dos interrogantes. • Al comprar. ¿Qué se compra?, ¿Cómo se cancela? • Al vender ¿Qué se vende? , ¿Cómo se cobra su valor? • Al cancelar una deuda. ¿Qué tipo de deuda se paga?, ¿Cómo se cancela su valor? 2. Determinar la cuenta que se debita y la cuenta que se acredita. Para ello, primero se debe identificar el grupo de cuentas a que pertenece y recordar su movimiento, teniendo presente sus aumentos o disminuciones, luego se procede a debitar o acreditar cada una.
  • 9.
    Una cuenta seDEBITA Una cuenta se ACREDITA Si la cuenta es de: Si la cuenta es de: • Activo y aumenta • Activo y disminuye • Pasivo y disminuye • Pasivo y aumenta • Patrimonio y disminuye • Patrimonio y aumenta • Costo de ventas y aumenta • Costo de ventas y disminuye • Gastos y aumenta • Gastos y disminuye • Ingresos y disminuye • Ingresos y aumenta EJERCICIOS DE APLICACIÓN 1. 1. Consignación en Banco de Colombia por $ 500.000 2. Compra de mercancías al contado por $ 800.000, valor cancelado con cheque del Banco de Colombia 3. Compra de mercancías a crédito por $ 600.000 4. Venta de mercancías al contado por $ 1.500.000 5. Venta de mercancías a crédito por $ 1.700.000 6. Compra a crédito activos diferentes: Muebles para la oficina por $ 470.000 7. La empresa concede un préstamo a un empleado y gira cheque por $ 250.000 8. La empresa obtiene un préstamo del Banco de Colombia por $ 3.000.000, que se consigna en la cuenta corriente. 9. Un cliente abona $ 450.000 a la deuda por venta de mercancías a crédito, gira cheque a favor de la empresa. 10. La empresa gira un cheque por $ 500.000 al Banco de Colombia como abono a la deuda. 11. La empresa gira un cheque de $ 256.000 a un proveedor por concepto de abono a deuda por mercancías. 12. Para iniciar una empresa, un socio aporta $ 1.300.000 con cheque, otro socio aporta un terreno por $ 1.500.000 13. Gastos: -La empresa gira un cheque por $ 120.000 por concepto de arrendamiento de Oficinas por un mes. -El banco cobra intereses por sobregiro y descuenta directamente de la cuenta corriente de la empresa $ 5.000 14. Gastos pagados por anticipado. La empresa gira un cheque por valor de $ 300.000 correspondiente a tres meses de arrendamiento anticipado. 15. Ingresos: -La empresa recibe $ 75.000 por concepto de arrendamiento de parqueadero - La empresa recibe honorarios por valor de $ 180.000 en cheque girado a favor de la empresa por asistencia técnica. 16. Gastos causados por pagar - A fin de mes, la empresa adeuda los servicios públicos correspondientes a un mes por valor de $ 185.450 17. Ingresos recibidos por anticipado. -La empresa recibe $90.000 por concepto de intereses anticipados
  • 10.
    2. LA ECUACIÓNPATRIMONIAL Contablemente debe existir equilibrio entre las cuentas reales de Activo, de Pasivo y de patrimonio de una empresa. Para determinar el equilibrio entre estas cuentas, se utiliza una formula matemática conocida con el nombre de ECUACIÓN PATRIMONIAL. Esta formula da a conocer independientemente, el valor del Activo, del Pasivo o del Patrimonio. ECUACIÓN PATRIMONIAL ACTIVO = PASIVO + PATRIMONIO De donde: PASIVO = ACTIVO - PATRIMONIO PATRIMONIO = ACTIVO – PASIVO Ejemplo 1. Villarreal Asociados & Cía., suministra la siguiente información: Posee $ 600.000 en una cuenta corriente bancaria, $ 3.000.000, en equipo para oficina, $ 1.200.000 que debe cobrar por venta de mercancías, $ 1.800.000 en terrenos; debe pagar a proveedores $ 900.000, un préstamo bancario por $ 500.000. Determinar el patrimonio de la empresa. PATRIMONIO = ACTIVO – PASIVO ACTIVO PASIVO Bancos $ 600.000 Bancos Nacionales $ 500.000 Equipo de oficina 3.000.000 Proveedores Nales $ 900.000_ Clientes 1.200.000 Total $1.400.000 Terrenos 1.800.000 Total $ 6.600.000 PATRIMONIO $ 5.200.000 Total ACTIVO $6.600.000 Total PASIVO + PATRIMONIO $ 6.600.000 Nota: En la ecuación patrimonial solo intervienen las cuentas reales, por ello, del ejercicio anterior únicamente se toman las cuentas del ACTIVO, PASIVO Y PATRIMONIO Ejercicios: 2. Con la siguiente información determine el Patrimonio del Almacén la Gran Subasta: Bancos 850.000 Acreedores varios 300.000 Clientes 700.000 Maquinaria y equipo 5.000.000 Costos y gastos x pagar 850.000 Cesantías consolidadas 200.000 Acciones 1.500.000 Gastos de personal 850.000 Comercio al por Mayor y menor 3.500.000 Compra de mercancías 2.800.000 Ingresos diversos 150.000 Ejemplo 2: Modificaciones en la ecuación patrimonial (La ecuación puede variar de acuerdo con los aumentos o disminuciones del activo, pasivo o patrimonio) • El 20 de mayo de 2004 Juan Gómez, tiene $ 3.000 en bancos y no tiene deudas a su cargo. La ecuación patrimonial se representa así: ACTIVO PASIVO Bancos $ 3.000.000 -0- PATRIMONIO Aportes sociales $3.000.000 Total activo $ 3.000.000 Total Patrimonio $ 3.000.000
  • 11.
    Ejercicio: 3. El 25de mayo se compra de contado muebles por $ 500.000 y cancela con cheque NOTA: Al cambiar un activo por otro activo, el patrimonio permanece igual. 4. • El 26 de mayo compra un terreno a crédito por $ 5.000.000 Nota: Al aumentar el activo y aumentar el pasivo por igual valor, el patrimonio no sufre variación 5. • El 27 de mayo paga con cheque $ 500.000 a la deuda del terreno Nota: al disminuir el activo y disminuir el pasivo por el mismo valor, el patrimonio permanece invariable.