Microangiopatía Diabética
Dr. Andrés Ebensperger R
Residente Medicina Interna
Miércoles 20 de Agosto de 2014
Introducción
• La morbilidad de la diabetes es una consecuencia
tanto de la enfermedad macrovascular
(aterosclerosis) y la enfermedad microvascular
(retinopatía, nefropatía y neuropatía).
• Importante asociación entre pobre control
glicémico y complicaciones microvasculares.
• Hiperglicemia es FR tanto en DM1 como DM2.
Introducción
Crisis hiperglicémica
Hiperglicemia crónica
Complicaciones crónicas
diabetes
Retinopatía
Nefropatía
Neuropatía
Ateroesclerosis
Retinopatía Nefropatía Neuropatía
Retinopatía
• Causa más común de ceguera en personas de
mediana edad.
• La pérdida visual puede ser secundaria:
– Edema macular.
– Hemorragia de vasos de neoformación.
– Desprendimiento de retina.
– Glaucoma neovascular.
Patogénesis
• Hiperglicemia crónica:
– Tres de los mecanismos principales son:
• Alteración de la autorregulación del flujo sanguíneo
retiniano.
• Acumulación de sorbitol.
• Acumulación de productos finales de glicosilación
avanzada en el fluido extracelular.
Patogénesis
• Autorregulación flujo retina:
– Flujo sanguíneo de la retina es constante hasta que la
PAM se eleva aproximadamente 40%.
– Autorregulación se altera en presencia de hiperglucemia.
• Aumento la tensión de cizallamiento en vasos de la retina.
• Estímulo para la producción de sustancias vasoactivas, pérdida
vascular y aumento de líquido en las capas externas de la retina.
• Resultado: edema macular.
Role of blood flow and impaired autoregulation in the pathogenesis of diabetic retinopathy, Kohner EM, PatelV, Rassam SM, Diabetes.
1995;44(6):603.
Patogénesis
• Acumulación sorbitol:
– Papel de producción y acumulación de sorbitol en patogénesis de la RD es incierto.
– Glucosa  célula; se metaboliza en parte a sorbitol por enzima aldosa reductasa.
– Polimorfismo cerca del sitio de la transcripción del gen de la aldosa reductasa:
• Aparición precoz de RD en pacientes DM2.
– El consumo de NADPH durante la producción de sorbitol puede conducir:
• Estrés oxidativo.
• Aumento de la producción de prostaglandinas
• Alteraciones en la actividad de la proteína quinasa C.
An (A-C)n dinucleotide repeat polymorphic marker at the 5' end of the aldose reductase gene is associated with early-onset diabetic
retinopathy in NIDDM patients., Ko BC, Lam KS,Wat NM, Chung SS, Diabetes. 1995;44(7):727.
Patogénesis
• Productos de glicosilación:
– Exceso de glucosa se combina con los aminoácidos libres o proteínas de suero
o de tejido.
– Forma inicialmente productos de glicosilación temprana y luego productos
finales de glicosilación avanzada (PGA)
– Concentraciones de PGA en suero son elevados en pacientes diabéticos.
– Acumulación de tejido de PGA, que puede reticular con el colágeno, iniciando
de este modo las complicaciones microvasculares.
– Interacción entre PGA y su receptor produce Roxinflamación vascular.
Factores de riesgo
• Hiperglicemia.
• Hipertensión.
• Dislipidemia.
• Duración DM.
• Etnia (asiáticos/hispanos).
• Embarazo.
• Nefropatía/Microalbuminuria.
• Gravedad y duración RD.
Microaneurismas
Permeabilidad vascular
(edema macular)
Cierre capilar y neovascularización
(rosarios venosos, IRMA, hemorragias)
Clasificación RDNP
• Sólo microaneurismasMínima
• Microaneurismas, hemorragias
retinales, exudados duros.Leve
• RNDP leve más exudados algodonosos,
hemorragias, IRMA mínimo y/o rosario
venoso en 1 cuadrante.
Moderada
• Hemorragias retinales/microaneurismas
en 4 cuadrantes.
• Rosarios venosos en 2 o más
cuadrantes.
• IRMA severo en al menos 1 cuadrante.
Grave
• 2 o 3 de las características de la
RDNP grave.Muy grave
Clasificación RDP
• Neovascularización retiniana
y/o papilar menor a 1/3 del
área papilar.
Moderada
• Neovascularización papilar
mayor a 1/3 del área papilar.
• Hemorragia pre retinal o
vítrea.
De alto
riesgo
• Hemorragia vítrea extensa y
densa.
• Desprendimiento de retina.
• Proliferación fibrovascular.
Avanzada
Seguimiento
• DM 1: 5 años post diagnóstico.
• DM 2: Al diagnóstico de DM.
• Mujeres con RD antes de embarazarse:
– Primer examen antes de embarazo o 1° trimestre.
– Seguimiento según hallazgos.
Nefropatía
Hiperfiltración
Microalbuminuria
Macroalbuminuria
Deterioro
función renal
ERC terminal
Nefropatía
• Los cambios estructurales predominantes incluyen:
– Expansión mesangial.
– Engrosamiento de la membrana basal glomerular.
– Esclerosis glomerular.
• Las principales manifestaciones clínicas son:
– Albuminuria.
– Hematuria, con menos frecuencia.
– Enfermedad renal crónica progresiva.
Factores de riesgo
• Genética.
• Edad.
• Presión arterial.
• Tasa de filtración glomerular .
• Control de la glicemia .
• Raza.
• Obesidad.
• Tabaco.
• Anticonceptivos orales
Estadios
• Hiperfiltración en etapas precoces.
• Microalbuminuria:
– Excreción de albúmina urinaria entre 30 y 300 mg / día o entre 30 y
300 mg / g de creatinina en una muestra de orina al azar).
• Macroalbuminuria :
– Excreción urinaria de albúmina por encima de 300 mg / día o
superiores a 300 mg / g de creatinina en una muestra de orina al azar).
• Macroalbuminuria en ausencia de una terapia eficaz, lleva
progresivamente a deterioro FG hasta ERCT.
Patogénesis
• Hiperfiltración glomerular:
– Papel de hipertensión glomerular e hiperfiltración.
– Beneficios del bloqueo del sistema RAA.
• Hiperglicemia y productos finales de glicación avanzada:
– Hiperglicemia puede inducir expansión mesangial y lesiones.
– Hiperglicemia estimula producción de matriz mesangial y apoptosis celular mesangial.
– Glicación de proteínas también puede contribuir al desarrollo nefropatía.
• Prorrenina:
– Factor de riesgo para el desarrollo de nefropatía diabética.
• Citocinas
– Activación de citoquinas, elementos profibróticos, la inflamación, y factores de crecimiento)
pueden estar involucrados en la acumulación de la matriz en la nefropatía diabética.
Tratamiento
• Intervenciones primarias:Control FR.
• Bloqueo eje R-A-A.
• Ingesta proteica.
• Preparación para diálisis o trasplante.
• Trasplante riñón-páncreas.
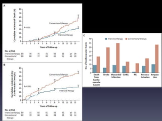
599 pacientes DM2, obesos, HTA, con proteinuria, todos con losartan.
Grupo Aliskiren vs placebo
Polineuropatía
• ManifestacionesClínicas:
– Polineuropatía sensitiva simétrica.
– Inicialmente de extremidades inferiores distales.
– 10 a 18% tienen evidencia de daño en nervios al momento de diagnóstico
DM.
– Con la progresión de la enfermedad, la pérdida sensorial asciende y, al llegar a
aproximadamente mitad de la pantorrilla, aparece en las manos.
• Axones más largos se afectan primero.
– Compromiso motor se produce sólo más tarde y en casos más severos.
Clínica
• Pérdida de la sensibilidad vibratoria y propiocepción alterada refleja una pérdida
de gran fibra.
• Deterioro de percepción de dolor, tacto y la temperatura es 2ª a la pérdida de
fibras pequeñas.
• Disminución o ausencia de reflejos del tobillo ocurren temprano en la
enfermedad, mientras que la pérdida más generalizada de los reflejos y debilidad
motora son hallazgos tardíos.
• Pacientes con prediabetes pueden presentar dolor en los pies.
• Los pacientes con polineuropatía diabética franca también pueden presentar
dolor, parestesias o disestesias de sus pies.
Diagnóstico
Score mayor a 2: S: 80%, E: 95%
Tratamiento
• Control glicémico.
• Cuidado de los pies.
• Manejo del dolor.
Agent
type
Reason for recommendation Agent names*
First tier ≥2 RCTs in DPN
Duloxetine, oxycodone CR, pregabalin,
TCAs
Second
tier
1 RCT in DPN; ≥1 in other
painful neuropathies
Carbamazepine, gabapentin,
lamotrigine, tramadol, venlafaxine ER
Topical Mechanism of action Capsaicin, lidocaine
Other
≥1 RCTs in other painful
neuropathies or other evidence
Bupropion, citalopram, methadone,
paroxetine, phenytoin, topiramate
*Listed alphabetically;
CR=controlled release; DPN=diabetic peripheral neuropathy; DPNP=diabetic
peripheral neuropathic pain;
ER=extended release; RCT=randomized controlled trial;TCAs=tricyclic
antidepressants.
Conclusiones
• DM produce microangiopatía con frecuencia, en directa
relación con cuantía y duración hiperglicemia.
• Ante la ausencia de terapias que reviertan el daño, es
importante implementar medidas de pesquisa precoz y
prevención.
• El control de la glicemia, PA y otros factores de riesgo CV
permiten disminuir la progresión del daño y disminuir la
morbimortalidad.
Microangiopatía Diabética
Dr. Andrés Ebensperger R
Residente Medicina Interna
Miércoles 20 de Agosto de 2014

Microangiopatia diabetica

  • 1.
    Microangiopatía Diabética Dr. AndrésEbensperger R Residente Medicina Interna Miércoles 20 de Agosto de 2014
  • 2.
    Introducción • La morbilidadde la diabetes es una consecuencia tanto de la enfermedad macrovascular (aterosclerosis) y la enfermedad microvascular (retinopatía, nefropatía y neuropatía). • Importante asociación entre pobre control glicémico y complicaciones microvasculares. • Hiperglicemia es FR tanto en DM1 como DM2.
  • 3.
    Introducción Crisis hiperglicémica Hiperglicemia crónica Complicacionescrónicas diabetes Retinopatía Nefropatía Neuropatía Ateroesclerosis
  • 14.
  • 15.
    Retinopatía • Causa máscomún de ceguera en personas de mediana edad. • La pérdida visual puede ser secundaria: – Edema macular. – Hemorragia de vasos de neoformación. – Desprendimiento de retina. – Glaucoma neovascular.
  • 16.
    Patogénesis • Hiperglicemia crónica: –Tres de los mecanismos principales son: • Alteración de la autorregulación del flujo sanguíneo retiniano. • Acumulación de sorbitol. • Acumulación de productos finales de glicosilación avanzada en el fluido extracelular.
  • 17.
    Patogénesis • Autorregulación flujoretina: – Flujo sanguíneo de la retina es constante hasta que la PAM se eleva aproximadamente 40%. – Autorregulación se altera en presencia de hiperglucemia. • Aumento la tensión de cizallamiento en vasos de la retina. • Estímulo para la producción de sustancias vasoactivas, pérdida vascular y aumento de líquido en las capas externas de la retina. • Resultado: edema macular. Role of blood flow and impaired autoregulation in the pathogenesis of diabetic retinopathy, Kohner EM, PatelV, Rassam SM, Diabetes. 1995;44(6):603.
  • 18.
    Patogénesis • Acumulación sorbitol: –Papel de producción y acumulación de sorbitol en patogénesis de la RD es incierto. – Glucosa  célula; se metaboliza en parte a sorbitol por enzima aldosa reductasa. – Polimorfismo cerca del sitio de la transcripción del gen de la aldosa reductasa: • Aparición precoz de RD en pacientes DM2. – El consumo de NADPH durante la producción de sorbitol puede conducir: • Estrés oxidativo. • Aumento de la producción de prostaglandinas • Alteraciones en la actividad de la proteína quinasa C. An (A-C)n dinucleotide repeat polymorphic marker at the 5' end of the aldose reductase gene is associated with early-onset diabetic retinopathy in NIDDM patients., Ko BC, Lam KS,Wat NM, Chung SS, Diabetes. 1995;44(7):727.
  • 19.
    Patogénesis • Productos deglicosilación: – Exceso de glucosa se combina con los aminoácidos libres o proteínas de suero o de tejido. – Forma inicialmente productos de glicosilación temprana y luego productos finales de glicosilación avanzada (PGA) – Concentraciones de PGA en suero son elevados en pacientes diabéticos. – Acumulación de tejido de PGA, que puede reticular con el colágeno, iniciando de este modo las complicaciones microvasculares. – Interacción entre PGA y su receptor produce Roxinflamación vascular.
  • 20.
    Factores de riesgo •Hiperglicemia. • Hipertensión. • Dislipidemia. • Duración DM. • Etnia (asiáticos/hispanos). • Embarazo. • Nefropatía/Microalbuminuria. • Gravedad y duración RD.
  • 21.
    Microaneurismas Permeabilidad vascular (edema macular) Cierrecapilar y neovascularización (rosarios venosos, IRMA, hemorragias)
  • 22.
    Clasificación RDNP • SólomicroaneurismasMínima • Microaneurismas, hemorragias retinales, exudados duros.Leve • RNDP leve más exudados algodonosos, hemorragias, IRMA mínimo y/o rosario venoso en 1 cuadrante. Moderada • Hemorragias retinales/microaneurismas en 4 cuadrantes. • Rosarios venosos en 2 o más cuadrantes. • IRMA severo en al menos 1 cuadrante. Grave • 2 o 3 de las características de la RDNP grave.Muy grave
  • 23.
    Clasificación RDP • Neovascularizaciónretiniana y/o papilar menor a 1/3 del área papilar. Moderada • Neovascularización papilar mayor a 1/3 del área papilar. • Hemorragia pre retinal o vítrea. De alto riesgo • Hemorragia vítrea extensa y densa. • Desprendimiento de retina. • Proliferación fibrovascular. Avanzada
  • 25.
    Seguimiento • DM 1:5 años post diagnóstico. • DM 2: Al diagnóstico de DM. • Mujeres con RD antes de embarazarse: – Primer examen antes de embarazo o 1° trimestre. – Seguimiento según hallazgos.
  • 27.
  • 28.
    Nefropatía • Los cambiosestructurales predominantes incluyen: – Expansión mesangial. – Engrosamiento de la membrana basal glomerular. – Esclerosis glomerular. • Las principales manifestaciones clínicas son: – Albuminuria. – Hematuria, con menos frecuencia. – Enfermedad renal crónica progresiva.
  • 29.
    Factores de riesgo •Genética. • Edad. • Presión arterial. • Tasa de filtración glomerular . • Control de la glicemia . • Raza. • Obesidad. • Tabaco. • Anticonceptivos orales
  • 30.
    Estadios • Hiperfiltración enetapas precoces. • Microalbuminuria: – Excreción de albúmina urinaria entre 30 y 300 mg / día o entre 30 y 300 mg / g de creatinina en una muestra de orina al azar). • Macroalbuminuria : – Excreción urinaria de albúmina por encima de 300 mg / día o superiores a 300 mg / g de creatinina en una muestra de orina al azar). • Macroalbuminuria en ausencia de una terapia eficaz, lleva progresivamente a deterioro FG hasta ERCT.
  • 31.
    Patogénesis • Hiperfiltración glomerular: –Papel de hipertensión glomerular e hiperfiltración. – Beneficios del bloqueo del sistema RAA. • Hiperglicemia y productos finales de glicación avanzada: – Hiperglicemia puede inducir expansión mesangial y lesiones. – Hiperglicemia estimula producción de matriz mesangial y apoptosis celular mesangial. – Glicación de proteínas también puede contribuir al desarrollo nefropatía. • Prorrenina: – Factor de riesgo para el desarrollo de nefropatía diabética. • Citocinas – Activación de citoquinas, elementos profibróticos, la inflamación, y factores de crecimiento) pueden estar involucrados en la acumulación de la matriz en la nefropatía diabética.
  • 32.
    Tratamiento • Intervenciones primarias:ControlFR. • Bloqueo eje R-A-A. • Ingesta proteica. • Preparación para diálisis o trasplante. • Trasplante riñón-páncreas.
  • 33.
    599 pacientes DM2,obesos, HTA, con proteinuria, todos con losartan. Grupo Aliskiren vs placebo
  • 37.
    Polineuropatía • ManifestacionesClínicas: – Polineuropatíasensitiva simétrica. – Inicialmente de extremidades inferiores distales. – 10 a 18% tienen evidencia de daño en nervios al momento de diagnóstico DM. – Con la progresión de la enfermedad, la pérdida sensorial asciende y, al llegar a aproximadamente mitad de la pantorrilla, aparece en las manos. • Axones más largos se afectan primero. – Compromiso motor se produce sólo más tarde y en casos más severos.
  • 38.
    Clínica • Pérdida dela sensibilidad vibratoria y propiocepción alterada refleja una pérdida de gran fibra. • Deterioro de percepción de dolor, tacto y la temperatura es 2ª a la pérdida de fibras pequeñas. • Disminución o ausencia de reflejos del tobillo ocurren temprano en la enfermedad, mientras que la pérdida más generalizada de los reflejos y debilidad motora son hallazgos tardíos. • Pacientes con prediabetes pueden presentar dolor en los pies. • Los pacientes con polineuropatía diabética franca también pueden presentar dolor, parestesias o disestesias de sus pies.
  • 41.
    Diagnóstico Score mayor a2: S: 80%, E: 95%
  • 42.
    Tratamiento • Control glicémico. •Cuidado de los pies. • Manejo del dolor.
  • 44.
    Agent type Reason for recommendationAgent names* First tier ≥2 RCTs in DPN Duloxetine, oxycodone CR, pregabalin, TCAs Second tier 1 RCT in DPN; ≥1 in other painful neuropathies Carbamazepine, gabapentin, lamotrigine, tramadol, venlafaxine ER Topical Mechanism of action Capsaicin, lidocaine Other ≥1 RCTs in other painful neuropathies or other evidence Bupropion, citalopram, methadone, paroxetine, phenytoin, topiramate *Listed alphabetically; CR=controlled release; DPN=diabetic peripheral neuropathy; DPNP=diabetic peripheral neuropathic pain; ER=extended release; RCT=randomized controlled trial;TCAs=tricyclic antidepressants.
  • 45.
    Conclusiones • DM producemicroangiopatía con frecuencia, en directa relación con cuantía y duración hiperglicemia. • Ante la ausencia de terapias que reviertan el daño, es importante implementar medidas de pesquisa precoz y prevención. • El control de la glicemia, PA y otros factores de riesgo CV permiten disminuir la progresión del daño y disminuir la morbimortalidad.
  • 46.
    Microangiopatía Diabética Dr. AndrésEbensperger R Residente Medicina Interna Miércoles 20 de Agosto de 2014

Notas del editor

  • #6 76% 54%
  • #16 12000 casos nuevos año USA
  • #18 Sheer stress
  • #22 anormalidades intraretinales microvasculares
  • #34 Bloqueador renina.