SESION DE APRENDIZAJE
I. DATOS INFORMATIVOS
1.1. UNIDAD DIDACTICA : Continuamos mejorando nuestros hábitos de estudios con decisión en nuestro
aniversario institucional.
1.2. TRIMESTRE : III
1.3. NIVEL : Secundaria
1.4. GRADO Y SECCIÓN : 1RO Grado, Sección Única
1.5. No DE ESTUDIANTES : 11
1.6. TURNO : Mañana
1.7. AREA : MATEMÁTICA
1.8. DOCENTE : SAUL TORRES SOLIS
1.9. FECHA : 17 de octubre del 2016
II. TEMA TRANSVERSAL
Educación en valores para contribuir a la excelencia académica
III. TÍTULO DE LA SESIÓN
Descomponemos terrenos
IV. INTENCIÓN PEDAGÓGICA
Los estudiantes saben determinar el área de figuras geométricas regulares, en esta sesión se espera que los estudiantes calculen el área de
figuras poligonales irregulares, descomponiendo en otras figuras regulares cuyas medidas son conocidas.
V. APRENDIZAJES ESPERADOS.
COMPETENCIA CAPACIDADES INDICADORES
Actúa y piensa matemáticamente en
situaciones de forma, movimiento y
localización
Matematiza situaciones
Organiza características y propiedades geométricas en
figuras y superficies, y las expresa en un modelo referido a
figuras poligonales regulares, compuestas y triángulos.
Elabora y usa estrategias
Calcula el área de figuras poligonales irregulares y
compuestos, descomponiendo en otras figuras cuyas
medidas son conocidas, con recursos gráficos y otros.
VI. SECUENCIA DIDACTICA
FASES ESTRATEGIAS METODOLÓGICAS
RECURSOS
DIDÁCTICOS
TIEM-
PO
INICIO
 El docente saluda amablemente a sus estudiantes.
 El docente repartirá a cada estudiante un tangram de papel.
 El docente plantea el reto de utilizar las piezas del tangram para formar la figura propuesta en el multimedia.
 Los estudiantes intentan descubrir cómo armar la figura moviendo y girando las
piezas del Tangram.
 Una vez que todos los estudiantes han logrado armar la figura, el docente plantea
las siguientes interrogantes: (Saberes Previos)
 ¿Qué forma tiene la figura?
 ¿Qué tipo de polígono representa? (Respuesta: polígono irregular)
 ¿Por qué? (Porque no todos sus lados y ángulos son congruentes)
 ¿Se podrán formar más figuras, con el tangram?
 ¿Se podrá calcular su área? ¿cómo?
 Cada respuesta será anotada en un papelote.
 El docente presentará el propósito de la clase:
Calcular el área de figuras poligonales irregulares,
descomponiendo en otras figuras regulares cuyas
medidas son conocidas.
 El docente preguntará si los estudiantes tienen claro: ¿qué es lo que vamos a aprender? , ¿Cómo vamos a calcular el
área de dichas figuras irregulares?
 El docente presentará las Normas de convivencia para la clase.
Normas de convivencia
Mantener limpio y ordenado tu lugar de trabajo.
Cuidar los materiales de trabajo.
Escuchar y valorar las opiniones de los demás.
Tangram de
papel
Cartel con el
propósito
de la clase
Cartel de las
Normas de
Convivencia
8 min
PROCESO
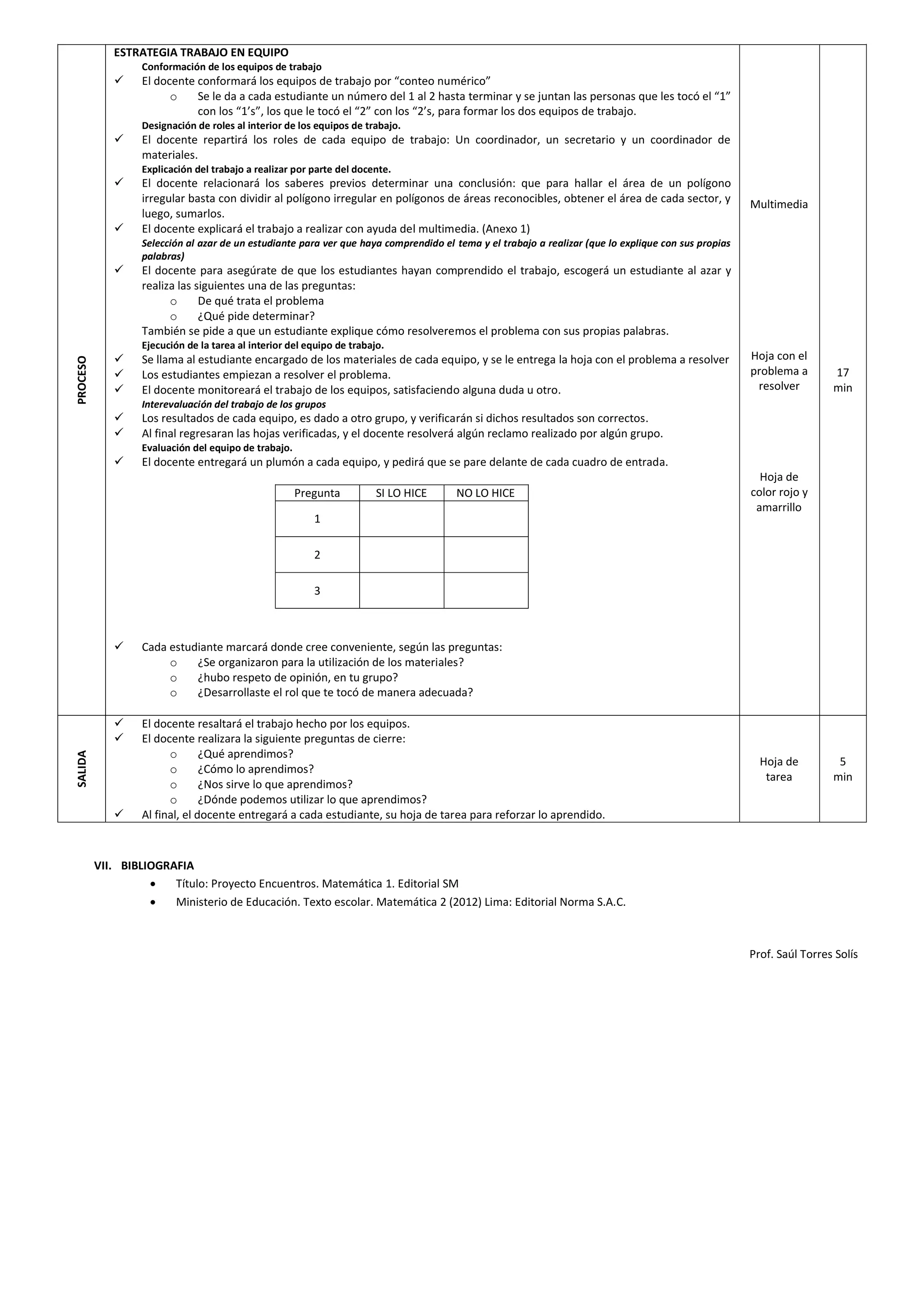
ESTRATEGIA TRABAJO EN EQUIPO
Conformación de los equipos de trabajo
 El docente conformará los equipos de trabajo por “conteo numérico”
o Se le da a cada estudiante un número del 1 al 2 hasta terminar y se juntan las personas que les tocó el “1”
con los “1’s”, los que le tocó el “2” con los “2’s, para formar los dos equipos de trabajo.
Designación de roles al interior de los equipos de trabajo.
 El docente repartirá los roles de cada equipo de trabajo: Un coordinador, un secretario y un coordinador de
materiales.
Explicación del trabajo a realizar por parte del docente.
 El docente relacionará los saberes previos determinar una conclusión: que para hallar el área de un polígono
irregular basta con dividir al polígono irregular en polígonos de áreas reconocibles, obtener el área de cada sector, y
luego, sumarlos.
 El docente explicará el trabajo a realizar con ayuda del multimedia. (Anexo 1)
Selección al azar de un estudiante para ver que haya comprendido el tema y el trabajo a realizar (que lo explique con sus propias
palabras)
 El docente para asegúrate de que los estudiantes hayan comprendido el trabajo, escogerá un estudiante al azar y
realiza las siguientes una de las preguntas:
o De qué trata el problema
o ¿Qué pide determinar?
También se pide a que un estudiante explique cómo resolveremos el problema con sus propias palabras.
Ejecución de la tarea al interior del equipo de trabajo.
 Se llama al estudiante encargado de los materiales de cada equipo, y se le entrega la hoja con el problema a resolver
 Los estudiantes empiezan a resolver el problema.
 El docente monitoreará el trabajo de los equipos, satisfaciendo alguna duda u otro.
Interevaluación del trabajo de los grupos
 Los resultados de cada equipo, es dado a otro grupo, y verificarán si dichos resultados son correctos.
 Al final regresaran las hojas verificadas, y el docente resolverá algún reclamo realizado por algún grupo.
Evaluación del equipo de trabajo.
 El docente entregará un plumón a cada equipo, y pedirá que se pare delante de cada cuadro de entrada.
Pregunta SI LO HICE NO LO HICE
1
2
3
 Cada estudiante marcará donde cree conveniente, según las preguntas:
o ¿Se organizaron para la utilización de los materiales?
o ¿hubo respeto de opinión, en tu grupo?
o ¿Desarrollaste el rol que te tocó de manera adecuada?
Multimedia
Hoja con el
problema a
resolver
Hoja de
color rojo y
amarrillo
17
min
SALIDA
 El docente resaltará el trabajo hecho por los equipos.
 El docente realizara la siguiente preguntas de cierre:
o ¿Qué aprendimos?
o ¿Cómo lo aprendimos?
o ¿Nos sirve lo que aprendimos?
o ¿Dónde podemos utilizar lo que aprendimos?
 Al final, el docente entregará a cada estudiante, su hoja de tarea para reforzar lo aprendido.
Hoja de
tarea
5
min
VII. BIBLIOGRAFIA
 Título: Proyecto Encuentros. Matemática 1. Editorial SM
 Ministerio de Educación. Texto escolar. Matemática 2 (2012) Lima: Editorial Norma S.A.C.
Prof. Saúl Torres Solís
ANEXO 1
Ficha de trabajo
Integrantes:
AYUDANDO A ELEGIR EL TERRENO ADECUADO PARA EL GIMNASIO
Con la finalidad de promover la práctica del deporte en toda la comunidad educativa, el director de la
I.E. desea construir las instalaciones de un gimnasio para lo cual cuenta con dos opciones de terreno, tal
como se muestran en la figura. ¿Cuál de ellos debe escoger si desea el que tenga mayor área?
A B
a. ¿Cuántas figuras conocidas se obtiene al descomponer el terreno A y cuáles son?
b. ¿Cuántas figuras conocidas se obtiene al descomponer el terreno B y cuáles son?
A
B
C
D
E
2cm
2cm
2cm
4cm
7cm
6cm
5cm
A
B
C D
E
F
4cm
6cm
8cm
2cm
6cm
c. ¿Cuál es el área total del terreno A?
d. ¿Cuál es el área total del terreno B?
ANEXO 1
Ficha de trabajo
Integrantes:
AYUDANDO A ELEGIR EL TERRENO ADECUADO PARA EL GIMNASIO
Con la finalidad de promover la práctica del deporte en toda la comunidad educativa, el director de la
I.E. desea construir las instalaciones de un gimnasio para lo cual cuenta con dos opciones de terreno, tal
como se muestran en la figura. ¿Cuál de ellos debe escoger si desea el que tenga mayor área?
A B
a. ¿Cuántas figuras conocidas se obtiene al descomponer el terreno A y cuáles son?
b. ¿Cuántas figuras conocidas se obtiene al descomponer el terreno B y cuáles son?
A
B
C
D
E
3cm
2cm
2cm
4cm
6cm
8cm
4cm
A
B
C D
E
F
6cm
6cm
12cm
2cm
6cm
c. ¿Cuál es el área total del terreno A?
d. ¿Cuál es el área total del terreno B?

Microsesión 2

  • 1.
    SESION DE APRENDIZAJE I.DATOS INFORMATIVOS 1.1. UNIDAD DIDACTICA : Continuamos mejorando nuestros hábitos de estudios con decisión en nuestro aniversario institucional. 1.2. TRIMESTRE : III 1.3. NIVEL : Secundaria 1.4. GRADO Y SECCIÓN : 1RO Grado, Sección Única 1.5. No DE ESTUDIANTES : 11 1.6. TURNO : Mañana 1.7. AREA : MATEMÁTICA 1.8. DOCENTE : SAUL TORRES SOLIS 1.9. FECHA : 17 de octubre del 2016 II. TEMA TRANSVERSAL Educación en valores para contribuir a la excelencia académica III. TÍTULO DE LA SESIÓN Descomponemos terrenos IV. INTENCIÓN PEDAGÓGICA Los estudiantes saben determinar el área de figuras geométricas regulares, en esta sesión se espera que los estudiantes calculen el área de figuras poligonales irregulares, descomponiendo en otras figuras regulares cuyas medidas son conocidas. V. APRENDIZAJES ESPERADOS. COMPETENCIA CAPACIDADES INDICADORES Actúa y piensa matemáticamente en situaciones de forma, movimiento y localización Matematiza situaciones Organiza características y propiedades geométricas en figuras y superficies, y las expresa en un modelo referido a figuras poligonales regulares, compuestas y triángulos. Elabora y usa estrategias Calcula el área de figuras poligonales irregulares y compuestos, descomponiendo en otras figuras cuyas medidas son conocidas, con recursos gráficos y otros. VI. SECUENCIA DIDACTICA FASES ESTRATEGIAS METODOLÓGICAS RECURSOS DIDÁCTICOS TIEM- PO INICIO  El docente saluda amablemente a sus estudiantes.  El docente repartirá a cada estudiante un tangram de papel.  El docente plantea el reto de utilizar las piezas del tangram para formar la figura propuesta en el multimedia.  Los estudiantes intentan descubrir cómo armar la figura moviendo y girando las piezas del Tangram.  Una vez que todos los estudiantes han logrado armar la figura, el docente plantea las siguientes interrogantes: (Saberes Previos)  ¿Qué forma tiene la figura?  ¿Qué tipo de polígono representa? (Respuesta: polígono irregular)  ¿Por qué? (Porque no todos sus lados y ángulos son congruentes)  ¿Se podrán formar más figuras, con el tangram?  ¿Se podrá calcular su área? ¿cómo?  Cada respuesta será anotada en un papelote.  El docente presentará el propósito de la clase: Calcular el área de figuras poligonales irregulares, descomponiendo en otras figuras regulares cuyas medidas son conocidas.  El docente preguntará si los estudiantes tienen claro: ¿qué es lo que vamos a aprender? , ¿Cómo vamos a calcular el área de dichas figuras irregulares?  El docente presentará las Normas de convivencia para la clase. Normas de convivencia Mantener limpio y ordenado tu lugar de trabajo. Cuidar los materiales de trabajo. Escuchar y valorar las opiniones de los demás. Tangram de papel Cartel con el propósito de la clase Cartel de las Normas de Convivencia 8 min
  • 2.
    PROCESO ESTRATEGIA TRABAJO ENEQUIPO Conformación de los equipos de trabajo  El docente conformará los equipos de trabajo por “conteo numérico” o Se le da a cada estudiante un número del 1 al 2 hasta terminar y se juntan las personas que les tocó el “1” con los “1’s”, los que le tocó el “2” con los “2’s, para formar los dos equipos de trabajo. Designación de roles al interior de los equipos de trabajo.  El docente repartirá los roles de cada equipo de trabajo: Un coordinador, un secretario y un coordinador de materiales. Explicación del trabajo a realizar por parte del docente.  El docente relacionará los saberes previos determinar una conclusión: que para hallar el área de un polígono irregular basta con dividir al polígono irregular en polígonos de áreas reconocibles, obtener el área de cada sector, y luego, sumarlos.  El docente explicará el trabajo a realizar con ayuda del multimedia. (Anexo 1) Selección al azar de un estudiante para ver que haya comprendido el tema y el trabajo a realizar (que lo explique con sus propias palabras)  El docente para asegúrate de que los estudiantes hayan comprendido el trabajo, escogerá un estudiante al azar y realiza las siguientes una de las preguntas: o De qué trata el problema o ¿Qué pide determinar? También se pide a que un estudiante explique cómo resolveremos el problema con sus propias palabras. Ejecución de la tarea al interior del equipo de trabajo.  Se llama al estudiante encargado de los materiales de cada equipo, y se le entrega la hoja con el problema a resolver  Los estudiantes empiezan a resolver el problema.  El docente monitoreará el trabajo de los equipos, satisfaciendo alguna duda u otro. Interevaluación del trabajo de los grupos  Los resultados de cada equipo, es dado a otro grupo, y verificarán si dichos resultados son correctos.  Al final regresaran las hojas verificadas, y el docente resolverá algún reclamo realizado por algún grupo. Evaluación del equipo de trabajo.  El docente entregará un plumón a cada equipo, y pedirá que se pare delante de cada cuadro de entrada. Pregunta SI LO HICE NO LO HICE 1 2 3  Cada estudiante marcará donde cree conveniente, según las preguntas: o ¿Se organizaron para la utilización de los materiales? o ¿hubo respeto de opinión, en tu grupo? o ¿Desarrollaste el rol que te tocó de manera adecuada? Multimedia Hoja con el problema a resolver Hoja de color rojo y amarrillo 17 min SALIDA  El docente resaltará el trabajo hecho por los equipos.  El docente realizara la siguiente preguntas de cierre: o ¿Qué aprendimos? o ¿Cómo lo aprendimos? o ¿Nos sirve lo que aprendimos? o ¿Dónde podemos utilizar lo que aprendimos?  Al final, el docente entregará a cada estudiante, su hoja de tarea para reforzar lo aprendido. Hoja de tarea 5 min VII. BIBLIOGRAFIA  Título: Proyecto Encuentros. Matemática 1. Editorial SM  Ministerio de Educación. Texto escolar. Matemática 2 (2012) Lima: Editorial Norma S.A.C. Prof. Saúl Torres Solís
  • 3.
    ANEXO 1 Ficha detrabajo Integrantes: AYUDANDO A ELEGIR EL TERRENO ADECUADO PARA EL GIMNASIO Con la finalidad de promover la práctica del deporte en toda la comunidad educativa, el director de la I.E. desea construir las instalaciones de un gimnasio para lo cual cuenta con dos opciones de terreno, tal como se muestran en la figura. ¿Cuál de ellos debe escoger si desea el que tenga mayor área? A B a. ¿Cuántas figuras conocidas se obtiene al descomponer el terreno A y cuáles son? b. ¿Cuántas figuras conocidas se obtiene al descomponer el terreno B y cuáles son? A B C D E 2cm 2cm 2cm 4cm 7cm 6cm 5cm A B C D E F 4cm 6cm 8cm 2cm 6cm
  • 4.
    c. ¿Cuál esel área total del terreno A? d. ¿Cuál es el área total del terreno B?
  • 5.
    ANEXO 1 Ficha detrabajo Integrantes: AYUDANDO A ELEGIR EL TERRENO ADECUADO PARA EL GIMNASIO Con la finalidad de promover la práctica del deporte en toda la comunidad educativa, el director de la I.E. desea construir las instalaciones de un gimnasio para lo cual cuenta con dos opciones de terreno, tal como se muestran en la figura. ¿Cuál de ellos debe escoger si desea el que tenga mayor área? A B a. ¿Cuántas figuras conocidas se obtiene al descomponer el terreno A y cuáles son? b. ¿Cuántas figuras conocidas se obtiene al descomponer el terreno B y cuáles son? A B C D E 3cm 2cm 2cm 4cm 6cm 8cm 4cm A B C D E F 6cm 6cm 12cm 2cm 6cm
  • 6.
    c. ¿Cuál esel área total del terreno A? d. ¿Cuál es el área total del terreno B?