PATOLOGIA PULMONAR

GENERALIDADES

INTRODUCCIÓN

Se ha dicho insistentemente que la respiración es vida, que ningún ser humano resistiría más
que unos pocos minutos sin el flujo vital que le proporciona la respiración, mientras puede
pasar días o semanas sin alimentarse. El sistema respiratorio y los pulmones cuentan con una
maravillosa estructura que le permite al ser humano y a muchos seres vivos, realizar diversos
mecanismos para apropiarse del oxígeno y liberar el anhídrido carbónico, los cuales a su vez
son fundamentales para su supervivencia.

Obtener una comprensión de lo que ocurre durante los diferentes procesos que afectan la
normalidad del funcionamiento y adaptación del ser humano a la vida, requiere apropiarse del
conocimiento sobre los cambios adaptativos de orden morfológico, bioquímico, fisiológico
entre otros, y considerar que aún en la vida extrauterina se dan numerosos procesos de
maduración del sistema respiratorio.

EMBRIOLOGÍA

El pulmón tiene su origen esencialmente en las dos capas embrionarias más internas:
endodermo y mesodermo. El revestimiento de laringe, tráquea, bronquios, bronquíolos,
conductos alveolares y alvéolos es endodérmico mientras cartílago, músculo y todo el sistema
vascular que le sirve de armazón proviene del mesodermo en estrecho contacto con el
mesénquima que rodea el intestino anterior.

El tracto respiratorio inferior, se observa inicialmente como un pequeño surco localizado en el
piso de la faringe primitiva el cual se evagina en un divertículo laringotraqueal que se elonga
caudalmente como la yema pulmonar primitiva dentro del mesénquima subyacente. Las
yemas bronquiales se desarrollan por etapas, desde las unidades menos complejas como los
bronquios mayores hasta las más sofisticadas como los alvéolos iniciando su maduración
hacia la semana 16 de la gestación.




Figura 1: Sección Transversa entre Quinta y Sexta Semana del Sistema Respiratorio Inferior
Se han descrito cinco fases en el desarrollo pulmonar:

1. Fase embrionaria: en la cual se desarrollan las vías aéreas principales y va entre el día 26
   y la quinta semana.
2. Fase Pseudoglandular: en la que se desarrollan las vías aéreas terminales y va de la 5 a
   la 16 semana, se forman estructuras ramificadas de paredes gruesas, no se encuentran
   bonquíolos ni alvéolos.
3. Fase Canalicular en la cual cada bronquiolo terminal se divide en dos o mas bronquiolos
   respiratorios los cuales a su vez de dividen en 3 a 6 conductos alveolares, forman así los
   acinos con su correspondiente suplemento vascular; va de la 16 a 28 semana, donde se
   forma la interfase aire-sangre y se inicia la síntesis del surfactante.
4. Fase Sacular: donde se forman los espacios aéreos o sacos, con revestimiento alveolar,
   va de la semana 28 a 36.
5. Fase Alveolar: 8 meses a 10 años. Maduración de los alvéolos con contactos epiteliales –
   endoteliales bien desarrollados


ANATOMIA

El fin funcional del aparato respiratorio es poner en contacto el aire inspirado con la sangre
para su distribución, y le expulsión del dióxido de carbono. Este sistema se divide en dos
grandes componentes, los pulmones y la vía aérea.

                                                 Los pulmones: Uno derecho y otro izquierdo,
                                                 con un peso aproximado de 900 a 1100
                                                 gramos, los cuales participan directamente
                                                 sobre el intercambio de gases entre el
                                                 hematíe y el aire, se encuentran contenidos
                                                 en el saco pleural, delimitados por delante
                                                 con el mediastino, por atrás por las costillas y
                                                 la columna vertebral y lateralmente con las
                                                 costillas, están separados por el corazón y los
                                                 grandes vasos del mediastino medio. Estos
                                                 tienen una forma cónica, con su vértice
                                                 apuntando hacia arriba y la base en contacto
                                                 con el diafragma, se divide por lóbulos, el
                                                 derecho en tres (a saber superior, medio e
                                                 inferior por las cisuras horizontal y oblicua) y
                                                 el izquierdo en dos.

La vía aérea: O respiratoria se compone a su ves por nariz, faringe, laringe, traquea, bronquios
y bronquiolos.
 Nariz: esta dividida en dos narinas derecha e izquierda por el tabique nasal formado por el
    vomer, la lámina perpendicular del etmoides y el cartílago del tabique. La porción externa
    es sumamente variable en tamaño y forma según la disposición de los cartílagos, pero en
    general es una proyección antero-superior de la cara con un vértice en el frente. La parte
    interna de cada fosa es irregular por la presencia de cornetes superior medio e inferior.
    Faringe: es un conducto músculo membranoso que se extiende posteriormente de la
     cavidad nasal, bucal y se conecta con el esófago y la laringe.
    Laringe: como continuación de la faringe, es una estructura músculo-cartilaginosa, y es la
     estructura principal en la fonación, se ubican aquí los pliegues vestibulares y los pliegues
     vocales (cuerdas vocales), la epiglotis es una estructura cartilaginosa que junto con el
     estrechamiento de los pliegues vocales impiden el paso de alimento a los pulmones.
    Traquea y bronquios: La traquea es un conducto central desplazado ligeramente hacia la
     derecha por la aorta, constituida por una serie de anillos cartilaginosos, esta se bifurca a
     nivel de la quinta vértebra dorsal (la carina) en los bronquios principales, los cuales
     ingresan a los pulmones por el hilio pulmonar, estos se siguen dividiendo
     dicotómicamente hasta terminar en unas estructuras muy pequeñas llamadas bronquiolos.
Figura 2: Sistema Respiratorio
                                                     MICROANATOMIA

                                                    La tráquea se divide a nivel de la carina en
                                                    dos bronquios principales, derecho e
                                                    izquierdo, los cuales se dividen dicotómica
                                                    y progresivamente hasta que dan origen a
                                                    los bronquíolos terminales y respiratorios.

                                                    El lobulillo es una estructura poliédrica que
                                                    mide entre 1 y 2.5 cms. y se encuentra
                                                    centrada por un bronquíolo terminal que al
                                                    entrar al lobulillo se divide en bronquíolo
                                                    respiratorio y después en conductos
                                                    alveolares, sacos alveolares y alvéolos. El
                                                    lobulillo pulmonar secundario funciona
                                                    como una de las unidades básicas de la
                                                    estructura y       función,     configurando
subsegmentos, segmentos y lóbulos pulmonares y a su vez, están constituidos por acinos los
cuales están formados por docenas de alvéolos; sobre cada uno de los lados del lobulillo se
encuentran los septos inter-lobulillares que están formados por tejido conectivo discontinuo el
cual permite la comunicación directa entre un lobulillo y otro.

Los alvéolos también se encuentran intercomunicados a través de los poros de Kohn, los
cuales miden entre 5 y 15 micras. Otra estructura que permite la intercomunicación lobulillar
son los llamados canales de Lambert que permiten un flujo aéreo contralateral y comunican
los bronquíolos dístales preterminales con los alvéolos.

Se estima que entre 30 y 50 lobulillos primarios (conjunto formado por punto alveolar, atrio,
saco alveolar y alvéolo) constituyen un lobulillo secundario; mientras que el acino pulmonar
está centrado por un bronquíolo respiratorio y conformado por las respectivas estructuras
pulmonares dístales. Entre 3 y 5 acinos conforman un lobulillo pulmonar.
Figura 3: Ultraestructura de Los Alvéolos y Capilares Pulmonares

Figura 4: Subdivisiones y estructura de las Vías aéreas intrapulmonares




El alvéolo se halla revestido por neumocitos tipo l en un 95% y tipo ll en un 5% y en general,
la vía aérea inferior se encuentra tapizada por epitelio cilíndrico ciliado pseudoestratificado
con células mucoproductoras y células neuroendocrinas y externamente tienen cartílago
hialino.
Las ramas de la arteria pulmonar están distribuidas hacia la porción central del lobulillo y
terminan en un cojinete capilar pulmonar el cual se extiende a todo lo ancho del intersticio
alveolar. El flujo sanguíneo del capilar pulmonar drena a través de las vénulas, hacia las venas
pulmonares que corren centralmente a través del septo interlobulillar.
El pulmón tiene una doble circulación, derivadas tanto de las arterias pulmonares como de las
bronquiales, que son ramas de la Aorta o de las intercostales.

Los vasos linfáticos pulmonares como los nervios discurren a lo largo y ancho del
compartimiento intersticial; inmersos dentro del tejido conectivo, siguiendo las estructuras
broncovasculares.

El intersticio es el esqueleto fibroso del pulmón y se ha dividido en intersticio alveolar, que es
aquel que está inmediatamente por debajo de la membrana basal epitelial e intersticio
perivascular o axial que se extiende hasta dividir el pulmón en segmentos y lóbulos a través
del cual discurre el flujo vascular pulmonar y linfático. En general, se puede afirmar que el
intersticio pulmonar está formado por células derivadas del mesénquima, vasos sanguíneos,
vasos linfáticos, fibras de colágeno, elastina, fibroblastos, proteoglicanos y varias
glicoproteínas.

Las enfermedades que lo afectan comprometen la estructura y función de las células
endoteliales, paredes alveolares, vasos sanguíneos y las pequeñas vías aéreas. El espacio
alveolar está por lo general conservado, así muchas de ellas comiencen a nivel acinar o
alveolar. Allí es donde se deposita el líquido de exceso que se filtra en una hipertensión
arterial venocapilar, es el más comprometido en las neumoconiosis y en la diseminación
linfangítica de las neoplasias; su integridad se puede seguir en las imágenes radiológicas del
tórax y por lo tanto su evaluación es muy valiosa en el diagnóstico de un grupo de afecciones
pulmonares.
Las paredes de los alveolos se componen de 2 tipos de células: Neumocitos tipo I y II.

Neumocitos tipo I: Alrededor del 95% de la superficie alveolar se integra con epitelio
escamoso simple, cuyas células se conocen como neumocitos tipo I (también llamados
células alveolares tipo I y células alveolares escamosas). Su citoplasma puede ser muy
delgado. Estos neumocitos forman uniones ocluyentes unos con otros evitando así el escape
de líquido extracelular a la luz alveolar.




                                                            Figura 6: Neumocito tipo I

Neumocitos tipo 2: también conocidos como células alveolares mayores, células septales o
células alveolares tipo II, sólo ocupan alrededor del 5% de la superficie alveolar. Estas células
cuboides están entremezcladas entre los neumocitos tipo I y forman uniones de oclusión. Los
neumocitos tipo II se localizan habitualmente en regiones en las que están separados alveolos
adyacentes unos de otro por un tabique (de ahí el nombre de células septales) y su superficie
adluminal se recubre con lámina basal.




                                                                    Figura 7: Neumocito tipo II
La característica más distintiva de estas células es la presencia de cuerpos laminares unidos a
la membrana que contienen agente tensoactivo pulmonar (surfactante), el producto secretorio
de estas células. El agente tensoactivo pulmonar, que se sintetiza en el Retículo Endoplásmico
Rugoso (RER) de los neumocitos tipo II, se compone principalmente de dos fosfolípidos,
dipalmitoilfosfatidilcolina y fosfatidilglicerol, y 4 proteínas únicas, proteínas del agente
tensoactivo A, B, C y D. El agente tensoactivo se modifica en el aparato de Golgi y a
continuación se libera de la red de Golgi trans a vesículas secretorias, conocidas como
cuerpos compuestos, los precursores inmediatos de los cuerpos laminares.
El agente tensoactivo se libera por exocitosis hacia la luz de los alveolos en donde forma una
red amplia parecida a un enrejado conocida como mielina tubular, que se separa en
porciones lipídica y proteínica. El lípido se inserta en una película monomolecular de
fosfolípidos que forma un interfaz con el aire y la proteína penetra en la capa acuosa entre los
neumocitos y la película fosfolipídica.
El agente tensoactivo reduce la tensión superficial e impide así el colapso de los alveolos
durante la espiración y facilitando la expansión durante la inspiración.
Lo elaboran continuamente los neumocitos tipo II y, según pruebas reciente, lo fagocitan
estos últimos y macrófagos alveolares.
Los neumocitos tipo 2 y el surfactante son ya detectables a las 28 semanas de gestación, por
lo que los recién nacidos prematuros mayores de esta edad pueden teóricamente respirar por sí
mismos pero sin embargo entre las 28 semanas y el término de la gestación, las cantidades de
surfactante pueden ser insuficientes o consumirse demasiado rápidamente, y puede ser
necesario un soporte respiratorio artificial. La insuficiencia de surfactante da lugar al colapso
alveolar, con lesión de los neumocitos tipo I en el denominado “Síndrome de dificultad
respiratoria del lactante”.




Fig. 8 Neumocito tipo 2 y surfactante.
® Tinción H&E de un corte delgado de resina acrílica que muestra la
confluencia de las paredes alveolares de tres alveolos adyacentes. En los
ángulos hay células redondeadas con un citoplasma vacuolado; éstas son
neumocitos tipo 2 (T2). También se ve el núcleo de un neumocito tipo 1 (T1).
® Microfotografía electrónica que muestra un neumocito tipo 2 activo. La célula es redonda y posee una cara luminal convexa que está
cubierta de microvellosidades. Las organelas intracitoplasmáticas más obvias son grandes cuerpos esféricos (B) rodeados de membrana que
contienen material laminar lipoproteico, que representa el surfactante. También se suelen ver descargando su contenido sobre la superficie
luminal (flechas).
© Microfotografía electrónica de barrido de dos neumocitos tipo 2. Obsérvense las microvellosidades (M) y las pequeñas cantidades de
material granuloso (flechas) que es surfactante recientemente arrojado.
Sistema respiratorio humano

                                   El sistema respiratorio de los seres
                                   humanos y otros vertebrados, consta de
                                   dos partes, la parte conductora y la
                                   parte de intercambio gaseoso, también
                                   llamada respiratoria.
                                   La parte conductora consta de una
                                   serie de vías que llevan el aire hacia la
                                   parte de intercambio gaseoso, en la que
                                   el gas se intercambia con la sangre en
                                   pequeños sacos presentes en los
                                   pulmones.

                                   El aire entra por la nariz o la boca,
                                   pasa por una cámara común, la faringe
                                   (1), y de ahí viaja a la laringe (2).

                                   La abertura de la laringe está
                                   custodiada por la epiglotis (3), una hoja
                                   de tejido sostenida por cartílago.
                                   Durante la respiración normal,
                                   epiglotis se inclina hacia arriba, lo que
                                   permite que el aire fluya libremente
                                   dentro de la laringe.
                                   Durante la deglución, la epiglotis se
                                   inclina hacia abajo y cubre la laringe,
                                   dirigiendo a las sustancias ingeridas
                                   hacia el esófago

                                   Dentro de la laringe se encuentran las
                                   cuerdas vocales, bandas de tejido
                                   elástico controladas por un músculo.

                                   El aire inhalado pasa de la laringe a la
                                   tráquea (4), un tubo flexible cuyas
                                   paredes están reforzadas con las
                                   bandas semicirculares de cartílago.
                                   Dentro del tórax, la tráquea se divide
                                   en dos grandes ramas, llamadas
                                   bronquios (5), cada una va hacia un
                                   pulmón (6).
                                   Dentro de cada pulmón, cada bronquio
                                   se divide en varios túbulos cada vez
                                   más pequeños, llamados bronquiolos
                                   (7).




ELEMENTOS A TENER EN CUENTA EN LA COMPRENSIÓN DE LA
PATOLOGÍA RESPIRATORIA
•    Sistema respiratorio consta de: tracto respiratorio superior, vía aérea y pulmones.

•    Las principales enfermedades de la vía aérea y los pulmones involucran procesos
     inflamatorios, frecuentemente de origen infeccioso.

•    La exposición a los agentes ambientales tiene un importante papel especialmente el
     tabaquismo y la exposición industrial. Los tumores malignos en ésta localización son el
     gran azote de la era moderna. Su diagnóstico es casi siempre tardío y su letalidad muy
     alta.

•    La consecuencia más severa de la falla respiratoria es la alteración en la oxigenación de
     la sangre.

ATELECTASIA: (COLAPSO PULMONAR)

Se entiende por atelectasia el colapso de una región pulmonar periférica, segmentaria o lobar,
o bien el colapso masivo de uno o ambos pulmones, que motiva la imposibilidad para realizar
el intercambio gaseoso, existe una expansión incompleta de los pulmones. Las atelectasia
importantes disminuyen la oxigenación de la sangre y predisponen a las infecciones.
En la Atelectasia se pierde el aire del parénquima, su volumen, y el pulmón se torna una
masa sólida, hecho característico y que lo diferencia de la consolidación neumónica en la cual
es reemplazado por el exudado.
Esta situación anómala es consecuencia de diferentes trastornos pulmonares o
extrapulmonares, por lo que dicha entidad patológica no es una enfermedad per se, sino la
manifestación de una patología pulmonar subyacente.
En el niño existe una mayor predisposición a desarrollar atelectasia que en el adulto, debido a
que las vías aéreas son más pequeñas y por lo tanto presentan una mayor tendencia al colapso.
A esto hay que añadir el menor número de canales de ventilación colateral y una estructura
del tórax que presenta mayor debilidad con respecto al adulto.
Las atelectasia adquiridas del adulto pueden clasificarse en atelectasia obstructiva, compresiva
y por contracción.

Por Reabsorción: Pérdida de aire debida a obstrucción del bronquio correspondiente al sub-
segmento, segmento, lóbulo o a todo un pulmón. Como el volumen del pulmón está
disminuido, el mediastino puede desviarse hacia el pulmón atelectásico. Es producida sobre
todo por los exudados o las secreciones excesivas (Ej: tapones de moco) localizados en los
bronquios más pequeños y, por tanto, es más frecuente en el asma bronquial, la bronquitis
crónica, la bronquiectasia y el período postoperatorio, así como después de la aspiración de
cuerpos extraños.
Por Compresión: Aparece siempre que la cavidad pleural está ocupada parcial o totalmente
por exudados líquidos, por tumor, por sangre o por aire (constituyendo en último caso un
neumotórax) o en el neumotórax a tensión. Se encuentra sobre todo en pacientes con
insuficiecia cardiaca y con líquido en la pleura, y en los pacientes con derrame neoplásico
dentro de la cavidad pleural. El mediastino se eleva hacia el lado opuesto del pulmón
afectado.
Por Cicatrización: Debidas a fibrosis del parénquima pulmonar como secuela de enfermedad
inflamatoria. En ellas no hay obstrucción bronquial, el grado de pérdida de volumen es mucho
mayor, hay cambios bronquiectásicos en el lóbulo comprometido y no se puede demostrar
patología pleural o de la pared del tórax.
Por Perdida del Surfactante Pulmonar o Esparcidas o Dispersas: Aparece cuando se
pierde sustancia tensoactiva, como en los Síndromes de dificultad Respiratoria del recién
nacido y del adulto.

CAUSAS




La causa más frecuente de Atelectasia es El Carcinoma Broncogénico. Además de los
tumores benignos, los tapones de moco y los cuerpos extraños; (como la obstrucción por una
masa u objetos introducidos en la cavidad bucal) en este caso se solidifican la luz del
bronquio comprometido (mayor) y el parénquima pulmonar, se reabsorbe el aire y se
convierte en una masa carnosa sólida.

Puede existir una fuerza externa que empuja el pulmón como el aire o un derrame pleural
líquido o una masa extrínseca. En otras ocasiones la Atelectasia es intrínseca del pulmón y se
debe a que hay una fibrosis intersticial, originando rigidez y retracción. Otra causa importante
es la pérdida del surfactante normal que se da en el recién nacido y en las personas que sufren
del Síndrome de Dificultad Respiratoria.

Los pacientes sometidos a ventilación mecánica presentan con frecuencia atelectasia del
lóbulo superior derecho que se origina en un efecto de succión que ejerce la columna de aire
impulsada por el ventilador al pasar por un orificio bronquial que forma un ángulo recto con
el bronquio fuente derecho.
MANIFESTACIONES CLINICAS

Los síntomas que presentan la atelectasia dependen fundamentalmente de dos factores: la
enfermedad de base y a magnitud de la obstrucción. En ocasiones la atelectasia puede no
presentar síntomas, a menos que la obstrucción sea importante.
La sintomatología que podemos encontrar es la siguiente: tos, disnea, estridor, dolor torácico,
cianosis y hemoptisis. Puede aparecer fiebre en caso de sobreinfección secundaria. El
desplazamiento mediastínico y los ruidos cardíacos hacia el lado afecto se presentan en las
atelectasias masivas.

TECNICAS DE IMAGEN

Rx de tórax anteroposterior (AP) y lateral: el estudio más importante para el diagnóstico de
atelectasia es la radiografía de tórax en sus dos proyecciones: anteroposterior y lateral.

Los signos radiológicos de colapso pulmonar son: directos e indirectos (figuras 1A y 1B).

Signos radiológicos directos

• Desplazamiento de las cisuras interlobares: en el sentido del pulmón colapsado.
• Pérdida de aireación: se muestra como una imagen radiopaca en la zona afectada.
• Signos bronquiales y vasculares: se manifiestan como un conglomerado de las tramas
bronquial y vascular en el interior del área que se está colapsando. A la visualización de los
bronquios dentro de esta área se denomina roncograma aéreo.

Signos radiológicos indirectos

• Desplazamiento hiliar: es el signo radiológico indirecto más importante de colapso pulmonar
y que por sí mismo siempre indica atelectasia.
• Elevación diafragmática: en el colapso del lóbulo inferior el diafragma puede encontrarse
elevado.
• Desplazamiento mediastínico: este desplazamiento se efectúa en el sentido del área
colapsada.
• Estrechamiento de los espacios intercostales en el hemitórax afecto. Es un signo difícil de
reconocer salvo en colapsos importantes.
• Enfisema compensador: el pulmón normal adyacente a la zona colapsada puede
hiperexpandirse para llenar el espacio vacío, denominándose a esto enfisema compensador. Se
identifica radiológicamente como aumento de la transparencia, siendo un signo de gran valor
diagnóstico. En caso de colapsos masivos, la hiperinsuflación tiene lugar en el pulmón
contralateral, pudiendo llegar a ser tan grande que el pulmón sobredistendido puede herniarse
a través del tabique mediastínico.
DIAGNÓSTICO
El diagnóstico de atelectasia debe iniciarse con la realización de una historia clínica completa,
seguida de una exploración minuciosa del paciente, en la que podemos encontrar: disminución
del murmullo vesicular o aumento en la transmisión aérea de forma asimétrica, crepitantes,
sibilantes, etc.
El colapso pulmonar puede localizarse en cualquier lóbulo o segmento pulmonar, siendo los
lóbulos inferiores, tanto derecho como izquierdo, los que se colapsan con mayor frecuencia.
En los lactantes con sospecha de reflujo gastroesofágico (RGE) o trastornos de la deglución,
la localización más frecuente es en el lóbulo superior derecho.

DIAGNÓSTICO DIFERENCIAL
La mayor dificultad se plantea en diferenciar la atelectasia de la consolidación neumónica.
Ambas entidades se presentan como opacidades radiológicas.

COMPLICACIONES Y PRONÓSTICO
Aún se desconocen los factores que determinan la posibilidad de que un paciente afecto de
atelectasia desarrolle complicaciones debidas a su colapso pulmonar. Las atelectasias agudas
y/o subagudas son generalmente benignas y responden bien al tratamiento médico .
ALTERACIONES DE LA DILATACIÓN BRONQUIAL

BRONQUIECTASIA (ectasia: dilatación de un conducto)
Se define como la dilatación anormal del bronquio acompañada de cambios inflamatorios en
la pared bronquial y el parénquima pulmonar adyacente. El bronquio normalmente es un
conducto elástico que como respuesta a circunstancias inflamatorias se puede dilatar de
diferentes formas, adoptando la de un tubo rígido, pequeño o grande, bien irregular o en
forma de un chaco.

Hay muchas variantes morfológicas que tienen interés para imaginólogos que estudian estos
casos. Un paciente que tenga dilatación de sus bronquios puede presentar compresión del
parénquima vecino, con turbulencias al paso del aire y alteraciones de la mucosa bronquial
que la hacen vulnerable a la infección.

Una de las características fundamentales es la infección del trayecto dilatado, lo cual lleva a
fibrosis o debilidad de la pared bronquial y tracción del parénquima

CAUSAS

Pueden ser de etiología obstructiva o no obstructiva. Las obstructivas comúnmente se deben a
tumores que ocluyen parcial o completamente la luz bronquial o a cuerpos extraños, lo cual
puede también llevar a retención de secreciones con infección y destrucción del cartílago.

Las no obstructivas se dividen en congénitas o adquiridas; éstas últimas generalmente se
deben a infección severa, destructiva de la pared dentro de las cuales se encuentran los
virus, la TBC o infecciones por otros gérmenes y pueden estar relacionadas con enfermedades
tales como la fibrosis quística, neumonías, disquinesia ciliar.
Las bronquiectasias congénitas, llamadas también síndrome de William Campbell se deben a
ausencia congénita del cartílago entre la 4ª. Y 8ª. generación.

Las anomalías que con mayor frecuencia se asocian a esta patología son:
• Fibrosis quística
• Defectos inmunológicos
• Síndromes aspirativos
– Cuerpos extraños
– Contenido gástrico
• Asma
• Déficit de alfa-1-antitripsina
• Aspergilosis broncopulmonar alérgica
• Displasia de los cartílagos bronquiales
• Alteraciones del aclaramiento mucociliar
– Discinesia ciliar
– Síndrome de Kartagener
MANIFESTACIONES CLINICAS
Las bronquiectasias pueden manifestarse diferentes formas, desde el niño prácticamente
asintomático, hasta el aciente crónicamente enfermo. El inicio puede ser agudo después de
una infección respiratoria, o puede manifestarse como enfermedad pulmonar recurrente o
crónica. El síntoma predominante es la tos recidivante o crónica, con dos características
fundamentales: se acompaña de expectoración más intensa y productiva por la mañana, como
consecuencia de las secreciones acumuladas durante la noche.
Otros síntomas acompañantes pueden dolor torácico, disnea, fiebre y hemoptisis.
En la exploración física podemos encontrar: alteración del desarrollo ponderoestatural,
cianosis y acropaquías. Como hallazgos auscultatorios: disminución o abolición del murmullo
vesicular, crepitantes y sibilantes.

COMPLICACIONES
La supuración e infección crónica, abscesos pulmonares, diseminación de la infección a
otros órganos, amiloidosis asociada.

MORFOLOGÍA
La bronquiectasia suele afectar ambos lóbulos inferiores, especialmente a los conductos
respiratorios de dirección más vertical, y la lesión es mayor en los bronquios más distales y en
los bronquiolos.

Cuando las bronquiectasias se deben a tumores o aspiración de cuerpos extraños, las lesiones
pueden estar bien delimitadas y circunscribirse a un solo segmento pulmonar. Las vías
                 respiratorias están dilatadas, con un tamaño de hasta cuatro veces mayor
                 de lo normal. Estas dilataciones pueden ensanchar el calibre de los
                 bronquios en forma tubular (bronquiectasias cilindroides) o producir, en
                 otros casos, distensiones fusiformes o, incluso, marcadamente saculares
                 (bronquiectasias saculares).
                   Figura 10: Bronquiectasia asociada a aspiración de cuerpo extraño (espiga). Nótese la
                   acentuada inflamación perifocal con focos de bronconeumonía.



                 Figura 11: Bronquiectasiassaculares adquiridas. Dilatación sacciforme localizada en relación
                 con cicatrices tuberculosas.

                 Los bronquios afectados están dilatados, pueden ser de aspecto cilíndrico,
                 saculares o quísticos con material purulento en su luz y se disecan
                 fácilmente desde la periferia.

                El epitelio bronquial puede presentar ulceración o cambios reparativos con
                metaplasia escamosa. Hacia la lámina propia suele existir severa inflamación
crónica, prominencia de vasos sanguíneos y destrucción del cartílago.

Las bronquiectasias son una de las causas más frecuentes de halitosis, que se acompaña de
perdida del estado general y de enflaquecimiento severo. Tanto la broncografía como la
tomografía de alta resolución no hacen el diagnóstico pero son muy útiles para localizar el
bronquio afectado y efectuar un tratamiento adecuado.

Radiológicamente se observan como una pérdida de volumen de un pulmón con opacidad
incompleta con imágenes de espacios aéreos en el fondo.
CLASIFICACION MORFOLÓGICA DE LAS BRONQUIECTASIAS:

                                                          Cilíndricas o tubulares: Son de pared
                                                          regular, el bronquio se divide sin disminuir
                                                          de calibre de una generación a otra. Se
                                                          acompaña de disminución de las
                                                          generaciones bronquiales visibles. Se
                                                          considera que se deben a lesión de la
                                                          mucosa.

                                                          Figura 12: Bronquiectasias cilíndricas adquiridas
                                                          mútiples con infección secundaria por Actinomyces,
                                                          cuyas colonias aparecen como material granular que
                                                          rellena los bronquios.

Varicosas: Presentan segmentos alternados de dilatación y estenosis. La generación bronquial
bronquiectásica muestra mayor diámetro que aquella que la origina y se debe a compromiso
del músculo liso bronquial.

Saculares o quisticas: Los bronquios afectados
muestran una apariencia de globo y se asocia
con daño hasta del cartílago.        Los tres
corresponden a lesión cada vez más severa y
progresiva.

Figura 13: Bronquiectasia sacular adquirida. Dilatación
localizada, sacciforme, que afecta a dos bronquios.
Tejido pulmonar distal con fibrosis y bronconeumonía y
tejido pulmonar adyacente sin lesiones.

LESIONES A NIVEL DE LA ESTRUCTURA PULMONAR Y BRONQUIAL

Enfermedad Pulmonar Obstructiva Crónica (EPOC)

La Enfermedad Pulmonar Obstructiva Crónica (EPOC, por sus iniciales) es un término
empleado para agrupar principalmente dos trastornos: el enfisema y la bronquitis crónica. La
bronquitis crónica se caracteriza por la inflamación persistente de los bronquios, el enfisema
se caracteriza por el daño irreversible de los alvéolos. La mayoría de las personas con EPOC
tienen una combinación de enfisema y bronquitis crónica, aunque generalmente, uno de los
dos trastornos predomine.

ANATOMÍA PATOLÓGICA

Histopatológicamente tiene como base una lesión destructiva de los alvéolos (enfisema) y un
fenómeno inflamatorio crónico que afecta especialmente los bronquiolos. El enfisema se
caracteriza por la destrucción de los tabiques alveolares con dilatación permanente de los
espacios aéreos dístales al bronquiolo terminal. El mecanismo más probable en la patogenia
del enfisema es el desbalance entre las proteasas y antiproteasas a nivel pulmonar; el humo
del cigarrillo provoca acúmulos de neutrófilos en relación a los bronquíolos respiratorios, los
cuales liberarían su elastasa en cantidades tales que sobrepasan la capacidad inhibitoria
normal. El compromiso de las vías aéreas de la EPOC está representado por la inflamación
crónica de los bronquíolos terminales y respiratorios, fibrosis de sus paredes, estrechamiento
y obliteración de la vía aérea e hiperplasia de las células caliciformes del epitelio bronquiolar;
también se observa hiperplasia de las fibras musculares.

Radiografía del tórax. Aunque algunos hallazgos en la radiografía del tórax puedan sugerir
la presencia de EPOC no hay ningún signo que permita un diagnóstico preciso. Puede ser
normal en casos con compromiso clínico y funcional evidente y el grado de alteración
radiológica no se correlaciona con la severidad anatomopatológica o con el pronóstico de la
enfermedad. No es un método muy sensible para el diagnóstico de EPOC pero es un examen
muy útil para la valuación inicial, pues permite excluir otras enfermedades relativamente
frecuentes en estos pacientes como cáncer del pulmón, tuberculosis y neumoconiosis. Puede
sugerir la presencia de hipertensión pulmonar e hipertrofia de cavidades derechas y en las
exacerbaciones permite confirmar o excluir la presencia de neumonía, edema pulmonar o
neumotórax. Son signos de hiperinflación y por lo tanto sugestivos de enfisema en la
proyección posteroanterior el aplanamiento de los diafragmas con aumento del ángulo costo
diafragmático y la disminución del diámetro transverso de la silueta cardíaca. La disminución
de la excursión diafragmática que se puede demostrar en la fluoroscopia del tórax o con
radiografía tomada en inspiración y espiración forzadas sugiere atrapamiento de aire. La
disminución rápida del calibre vascular acompañada de hiperlucencia es un buen signo de
enfisema pero su reconocimiento depende de la calidad de la radiografía y la experiencia del
observador. Las bullas se presentan como áreas de radiolucencia con ausencia de sombras
vasculares delimitadas.

ETIOLOGÍA

Sobre el 90% de los casos se debe al tabaquismo, la mayoría de los que sufren EPOC son
grandes fumadores, o con antecedentes de tabaquismo, pero también puede producirse por
otras causas, tales como exposición a contaminantes ambientales, laborales o domésticos, a
déficit genético de α1- antitripsina, etc.

ENFISEMA

Es una afección pulmonar caracterizada por el aumento permanente y anómalo de los espacios
aéreos distales al bronquio terminal, acompañado de destrucción de sus paredes y sin signos
de fibrosis. El mayor problema de esta enfermedad es la dificultad para la espiración.

PATOGENIA

En el estado actual de los conocimientos sobre la patogenia del enfisema consideran modelos
experimentales en animales y evidencias clínicas, de los cuales se ha elaborado la hipótesis
elastasa-antielastasa. Según esta teoría el enfisema sería consecuencia de una degradación de
las fibras elásticas inducida por enzimas elastolíticas endógenas, predominantemente elastasa.
Esta es producida por polimorfonucleares y en menor grado por macrófagos. Por otro lado, se
asocia al déficit de antiproteasas normales, como por ejemplo la α1-antitripsina, que es la más
importante de las sustancias capaces de neutralizar la actividad de la elastasa pancreática y de
la neutrófila. De ésta se reconocen aproximadamente 20 fenotipos clasificados en el sistema
Pi. El gene normal es PiM y el anormal (déficit) es el PiZ. El tipo homozigoto PiZZ se
manifiesta como niveles séricos bajos de a-1-Pi. Este fenotipo se asocia a un alto riesgo de
enfisema pulmonar.

El enfisema es muy frecuente en fumadores. Se ha demostrado que el humo del cigarrillo es
capaz de estimular los macrófagos en la liberación de quimiotaxinas, con lo que se produce
agregación de neutrófilos. También estimula la liberación de elastasa, inhibe la actividad
antielastasa normal y reduce la capacidad de resíntesis de elastina. En humanos fumadores se
ha demostrado una disminución de los niveles de a-1-Pi funcionales en el lavado
broncoalveolar.

Por el componente de enfisema, estos enfermos presentan un aumento de la distensibilidad
pulmonar por disminución de la retracción elástica pulmonar. La pérdidad de la tracción
elástica sobre las vías aéreas sin cartílago es responsable de su colapso espiratorio con
obstrucción de la vía aérea e hiperinsuflación secundaria, a la que contribuye la alteración
intrínseca de las vías aéreas por el daño inflamatorio. Estos trastornos conducena un aumento
gradual de la resistencia de la vía aérea.

Fumadores:

•   Estimulan la liberación de PMN y macrófagos a los alvéolos.
•   Fumar, aumenta la actividad elástica de las proteasas en los macrófagos y no pude ser
    inhibida por alfa 1 – antitripsina.
•   Los agentes oxidantes del humo del cigarrillo y los radicales libres del O2 secretados por
    los PMN inhiben la alfa 1 – AT.
•   La nicotina es quimiotáctica para PMN.

Síntomas:

•   Disnea
•   Tos
•   Sibilancias
•   Perdida de peso
•   Tórax en forma de tonel
Humo de tabaco y
                             contaminación               Deficiencia genética




                       Bloqueo de α1antitripsina           Aumento Elastasa



     Quimotaxis                                                                   Bronquitis
                                                                                   crónica
                             Linfocitos               Elastolisis
                             Neutrofilos



                                                                       Enfisema


Figura 14: Patogenia del enfisema

El enfisema experimental como consecuencia de la instilación bronquial de elastasa es de tipo
panacinar, pero también se han reproducido el acinar proximal y el irregular con inhalación de
cloruro de cadmio. Actualmente muy poco se conoce sobre la posible patogenia del enfisema
acinar distal o paraseptal

Existen observaciones que sugieren que algunos trastornos de la microcirculación jugarían
también un papel importante en las lesiones tempranas del enfisema.



TIPOS DE ENFISEMA

El enfisema puede clasificarse según su distribución anatómica dentro del lobulillo pulmonar.
Aunque el término enfisema se aplica algunas veces vagamente a diversos procesos, existen 4
tipos especiales del mismo:

    1.   Enfisema panacinar (panlobulillar)
    2.   Enfisema acinar proximal (centrolobulillar, centroacinar)
    3.   Enfisema acinar distal (paraseptal)
    4.   Enfisema acinar irregular (paracicatrizal)

La identificación de cualquiera de las variedades de enfisema es más fácil al examen
macroscópico. Debe tenerse presente que los casos puros son raros, mucho más frecuente es
encontrar una mezcla de los diversos tipos. Aun así, queda un número importante de casos
inclasificables.
1. Enfisema panacinar

Se observa con mayor frecuencia en las zonas inferiores y bordes anteriores de cada pulmón.
Es más acentuado en las bases. Macroscópicamente hay pérdida del contraste normal entre
alvéolos y conductos alveolares con aparente simplificación de la arquitectura pulmonar. Las
alteraciones aumentan hasta que la pérdida de tejido es de tal magnitud que quedan solamente
las estructuras vasculares, tabiques interlobulillares y bronquíolos. Pueden encontrarse
fibrosis e inflamación leves de las paredes alveolares remanentes. Este tipo de enfisema se
asocia a déficit de α-1-antitripsina (70-80% de los casos), oclusión bronquial y bronquiolar
(síndrome de Swyer-James o de MacLeod), enfisema acinar proximal y enfisema irregular. Se
                                         encuentra ocasionalmente en forma incidental en
                                         personas mayores de 70 años, mujeres, en la
                                         superficie diafragmática y mitad inferior de la cara
                                         anterior y no asociado a bronquitis crónica. Existe
                                         una forma idiopática o esencial.

                                         Figura 15: Enfisema acinar difuso (e. panacinar, e.
                                         panlobulillar). Ampollas enfisematosas de tamaño variable, que
                                         afectan todo el lobulillo.




2. Enfisema centroacinar

Se caracteriza por un daño selectivo o predominante de las
porciones proximales del acino, es decir de los bronquíolos
respiratorios y de conductos alveolares. Las lesiones
predominan en lóbulos superiores y segmentos póstero-
apicales y segmentos superiores del lóbulo inferior. Los
espacios      adyacentes     y     tejidos     circundantes
característicamente contienen gran cantidad de pigmento
negro.

                                        Se asocia a bronquitis crónica, fibrosis focal e
                                        infiltración mononuclear. Predomina en hombres y en
                                        fumadores.



                                        Figura 16: Enfisema acinar proximal (e. centrolobulillar), fase
                                        avanzada. Las cavidades reemplazan extensamente los lobulillos.




3. Enfisema paraseptal

Hay compromiso predominante de sacos alveolares y también de conductos alveolares y es
más prominente hacia la zona subpleural (enfisema superficial), a lo largo de tabiques
interlobulillares (paraseptal), en los márgenes de lobulillos y acinos (periacinar) y a lo largo
de vasos sanguíneos y vías aéreas (lineal). La forma pura es rara y generalmente se asocia a
                                       enfisema acinar proximal. Habitualmente es de
                                       extensión limitada. Más frecuente en porciones
                                       anteriores y posteriores de lóbulos superiores y
                                       superficie posterior de los inferiores. Puede ser
                                       idiopático, asociado a enfisema acinar proximal,
                                       bronquitis crónica y limitación crónica del flujo aéreo.

                                              Figura 17: Enfisema acinar distal (e. paraseptal). Ampollas
                                              enfisematosas localizadas, subpleurales, con antracosis.




4. Enfisema irregular

Invariablemente asociado a cicatrices, especialmente
secuelas apicales de tuberculosis (20-40%). Es el
tipo más frecuente. El compromiso acinar es
irregular, no sistematizado, sin predominio de región
alguna.

Figura 18: Enfisema acinar irregular (e. paracicatrizal).
Cicatriz tuberculosa apical con focos irregulares de enfisema y
bronquiectasias.




Otros tipos de enfisema:

ENFISEMA INTERSTICIAL

No corresponde a un enfisema según el concepto anterior. En esta condición el aire escapa al
intersticio donde forma burbujas de 1 a 2 mm de diámetro. Primero se observan bajo la
pleura, especialmente donde se fusiona con los tabiques interlobulillares y se extiende al hilio
por los espacios perivasculares y de ahí puede hacerlo al mediastino, cuello y tronco. Las
ampollas más grandes en el hilio pueden comprimir los vasos pulmonares.

En niños se observa en relación con maniobras de resucitación, atelectasia y aspiración. En
ancianos, en traumatismos, fracturas costales, coqueluche, anestesia intratraqueal, intubación
inadecuada, punción pulmonar, etc.

Microscópicamente, hay alvéolos distendidos y pueden comunicarse con el espacio pleural.
Signos morfológicos indirectos son espacios claros alrededor de las estructuras vasculares y
bronquiales y atelectasia lobulillar perifocal.

ENFISEMA SENIL

Se refiere a los pulmones hiperdistendidos, y a veces voluminosos, que se observan en los
ancianos. Estas alteraciones se deben a cambios de la geometría interna de los pulmones
(conductos alveolares mayores y alvéolos más pequeños), que dependen de la edad y que
aparecen sin pérdida de tejido elástico ni destrucción del tejido pulmonar.

ENFISEMA BULLOSO

Un tipo concreto de enfisema paraseptal distal con formación de quistes aéreos únicos o
múltiples de tamaños variables.

Los pacientes presentan disnea por compresión del parénquima pulmonar adyacente a los
quistes. Durante episodios agudos de infección respiratoria, pueden llenarse los quistes de
exudado e infectarse. En este caso se comporta como un absceso pulmonar. La rotura de las
áreas de enfisema produce neumotórax.

Radiológicamente se aprecia una hiperclaridad en la zona bullosa con compresión del resto
del parénquima, que se manifiesta por agrupamiento vascular.

BRONQUITIS CRONICA
Anatomopatológicamente, es una hipersecreción de moco en el interior de las vías aéreas que
se puede presentar de forma crónica o recurrente, siempre y cuando esta no sea secundaria a
otra patología de base (tuberculosis, CA de pulmón, bronquiectasias o ICC) que puede
contribuir a la aparición de enfisema. La bronquitis crónica es un proceso que se presenta
como episodios de tos con expectoración por lo menos durante tres meses cada año durante
dos años consecutivos.

Existe un tipo de bronquitis identificable clínicamente llamada Bronquitis Crónica Simple, en
la cual existen los signos y síntomas clásicos de la enfermedad, pero no hay ninguna
evidencia de obstrucción de las vías respiratorias.

En algunos casos se puede presentar concomitante con vías respiratorias hiperreactivas que
favorecen la aparición de episodios intermitentes de broncoespasmo con sibilancias este
proceso es conocido como Bronquitis Asmática Crónica.

La causa más importante de la bronquitis es extrínseca y ocasionada por irritantes,
contaminación ambiental o tabaquismo.

                                   El proceso se realiza en la pared bronquial con la
                                   participación de las glándulas (hipersecreción de moco por
                                   el estímulo irritativo crónico de las glándulas mucosas),
                                   presencia de inflamación crónica en el músculo liso de la
                                   pared y aumento de su grosor, hay cambios metaplásicos
                                   en el epitelio como respuesta a tal irritación, lo cual la
                                   hace más susceptible a la colonización por bacterias, por
                                   tanto el individuo que tenga una bronquitis crónica con
                                   mayor frecuencia sufre de bronconeumonía.



ANATOMÍA PATOLOGICA
En la bronqutis crónica Puede haber hiperemia, edema, encharcamiento de la mucosa,
acompañado de abundante secrecion mucopurulenta que tapisa el epitelio y en ocasiones
puede obstruir la luz del bronquio. Histologicamente se caracteriza por hipretrofia de las
glandulas secretoras, de la trquea y bronqios. El epitelio puede estar metapasico o displasico
ayudando asi a formar tapones mucosos, hay inflamacion y firosis

Epidemiología

El principal factor de riesgo es el consumo de tabaco y cigarrillos, y la exposición a irritantes
ambientales como el smoc.

Según estadísticas recientes del Banco Mundial, fumar cigarrillo continúa siendo la causa más
importante de enfermedades que se pueden prevenir en los países en desarrollo. Aunque en
Colombia las estadísticas no son tan claras, algunas instituciones de han reportado que una de
las doce primeras causas de hospitalización es la bronquitis crónica y que en la mayoría de los
casos el paciente es fumador activo o pasivo.

El tabaquismo causa más de un 80 por ciento de bronquitis crónica y de otras enfermedades
crónicas del pulmón,

SÍNDOME DE DIFICULTAD RESPIRATORIA.
SINDROME DE DIFICULTAD RESPIRATORIA DEL RECIEN NACIDO
El síndrome de dificultad respiratoria (SDR) es una entidad propia del recién nacido,
particularmente del neonato prematuro debido a la inmadurez general del desarrollo del
infante y en especial a la deficiente madurez pulmonar, la cual se traduce en síntesis, depósito
o liberación disminuidas de surfactante pulmonar, desarrollo estructural incompleto de los
pulmones, debilidad de la pared torácica, aumento de líquido pulmonar y resistencia vascular
pulmonar aumentada.
La incidencia del síndrome es mayor a menor peso y edad gestacional.
Se presenta en el 60 a 80 % de los prematuros menores de 28 semanas de gestación; en el 20 a
30 % de prematuros entre 32 y 36 semanas y en el 0.05 % en mayores de 37 semanas. En los
EStados Unidos, anualmente hay afectados 40.000 recién nacidos.

Son factores de riesgo de desarrollar el síndrome: Recién nacidos de madres diabéticas,
segundo niño de embarazo gemelar, cesárea sin trabajo de parto, asfixia perinatal, sexo
masculino e historia de infantes previos afectados.

Las manifestaciones clínicas más importantes son las relacionadas con dificultad respiratoria
que comienza al nacimiento o en las primeras horas de vida, con presentación progresiva y
caracterizada por taquipnea, aleteo nasal, tiraje intercostal, retracción xifoidea y quejido
espiratorio, coexistiendo cianosis o palidez




SINDROME DE DIFICULTAD RESPIRATORIA DEL ADULTO
Enfermedad sistémica con comienzo agudo, dinámico y explosivo como resultado de una
reacción inflamatoria difusa y severa del parénquima pulmonar a nivel de la membrana de la
unidad alvéolo-capilar, con pérdida de la compartimentización, ocasionando un incremento de
la permeabilidad con la formación de un edema exudativo rico en proteínas, con cinco
elementos fundamentales:
1.- Hipoxemia a pesar de altas concentraciones de oxígeno suplementario
2.- Disminución progresiva de la compílanse pulmonar
3.- Infiltrado difuso pulmonar con expresión radiológica
4.- Ausencia de insuficiencia cardíaca congestiva
5.- Antecedentes causales

Con el tiempo este cuadro clínico aquí definido fue observado en edades mucho más
tempranas de la vida, incluyendo el recién nacido, siendo titulado SDRA en el niño o recién
nacido.
CAUSAS
El SDRA ha sido descrito en múltiples eventos, situaciones o entidades, siendo los más
recuentes:
- Sepsis
- Shock
- Traumatismos
-Circulación extracorpórea o bypass cardiopulmonar
- Broncoaspiración (contenido gástrico, meconio, líquido amniótico)
- Membrana hialina
- Neumonía (viral, bacteriana, micótica)
- Hipertransfusión
- Tromboembolismo
- Embolismo graso
- Obstrucción mecánica de vías aéreas
- Ahogamiento parcial
- Hernia diafragmática congénita
- Intoxicación por drogas, medicamentos, metales, etc.
- Quemaduras
- Inhalación de humo o gases
- Electrocución
- Anafilaxia
- Neoplasias
- Pancreatitis
- Fiebre tifoidea
- Síndrome hipereosinofílico.
Este listado puede seguirse incrementando con otros procesos clínicos en cuyo cuadro puede
producirse el SDRA.




FISIOPATOLOGIA
Las múltiples entidades causales señaladas pueden conducir al SDRA en un tiempo variable
que dependerá del grado de agresión, pero que en términos generales será en las primeras 72
horas. El desencadenamiento de los hechos es extremadamente complejo y se superponen
eventos patológicos variados.
La lesión agresora crea una respuesta inflamatoria pulmonar exagerada teniendo en cuenta
que el pulmón es el primer filtro donde el sistema capilar recibe desechos, toxinas, células
activadas de la sangre, citoquinas, etc.
Se produce una activación del sistema del complemento, creación de toxinas anafilácticas y
acción sobre los polimorfonucleares (PMN), creando un éxtasis leucocitario a nivel de la
membrana, que aumenta su fagocitosis y quimiotaxis dando lugar a la formación de una serie
de radicales tóxicos de oxígeno (RTO) (superóxido (O2), radical hidroxilo (OH), peróxido de
hidrógeno(H2O2), radical perhidroxilo y oxígeno simple, y también proteasas
leucocitarias (elastasa, colagenasa, catepsinas) en cuyo ataque a la membrana producen
edema severo de las células alveolares tipo II. Los RTO pueden también producirse por
hipoxia que ocasiona la ruptura del ATP en difosfato de adenosina (ADP), monofosfato
(AMP), adenosina, inosina e hipoxantina, que por la xantina oxidasa (XO) se convierte en
xantina liberando O2 y H2O2 y también hierro de la ferritina, produciendo OH, que es el radical
más reactivo de todos.
Paralelamente las toxinas anafilácticas (C3a, C5a) activan los macrófagos que secretan
potentes citoquinas proinflamatorias (factor de necrosis tumoral (FNT), interleukina 1 (IL-1)
y factor activador plaquetario (FAP). A ello se suma la formación de un complejo de ataque a
la membrana (C5b-C9) que libera otros mediadores secundarios tales como: prostaglandina
E2(PGE2), leucotrieno B4 y tromboxano, que son de importancia en el proceso inflamatorio.
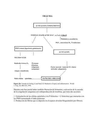
Figura 20: Tomado de Schlag, G and Redl, H; Mediators of injury and inflammation . World
J. Surg. 20, 406-410, 1996.

Durante esta fase puede haber también liberación de histamina y activación de la cascada
de la coagulación sanguínea con sobreproducción de trombina, que tiene dos acciones:

1. Estimulación de las células epiteliales (vía P-Selectina + L-Selectina) que interactúa con
los PMN aumentando el daño pulmonar.
2. Producción de fibrina que se deposita en el espacio alveolar bloqueándolo por fibrosis.
Figura 21: Tomado de Schlag, G. and Redl, H; Mediators of injury and inflammation .
World J. Surg. 20, 406-410, 1996.

También se ha descrito un incremento sérico de la fosfatasa A2 no pancreática que genera
mediadores lípidos proinflamatorios como lisofosfolípidos (precursores del FAP), lipofuscina,
ácido araquidónico y óxido nítrico (ON).
Este gran proceso inflamatorio y sus reacciones da lugar a que solo un pequeño volumen
pulmonar esté ventilado, con disminución de la compliance estática y dinámica, de la
capacidad vital, un incremento del trabajo respiratorio, hipoxemia por defecto de la
ventilación/perfusión que da lugar al incremento de la permeabilidad capilar, mayor
formación de edema y líquido rico en proteínas, aumento de la resistencia vascular pulmonar
con hipertensión y aumento de los shunts derecha-izquierda (derivación intrapulmonar normal
de 3 a7 %), pasando más sangre desoxigenada a través de los pulmones por los alvéolos no
ventilados y se combina con sangre venosa pulmonar saturada normalmente, lo que aumenta
la hipoxemia. .
Este incremento del edema y líquido intersticial produce depresión del surfactante y proteínas
asociadas que se encuentran situados estratégicamente en la interfase de la capa acuosa y la
fase gaseosa de la luz alveolar, contraponiéndose a la tensión superficial generada por la
subfase acuosa, por lo que su ausencia provoca el incremento de la tensión superficial a lo
largo del epitelio alveolar, lo que produce colapso alveolar y lisis de células epiteliales
aumentando la atelectasia del parénquima y la dificultad respiratoria.
La eliminación del CO2 se encuentra alterada también por el espacio muerto creado por la
microtrombosis y vasoconstricción, así como el espacio muerto químico creado por la
inhibición de la anhidrasa carbónica producida por la elastasa de los PMN.
Todos estos cambios originados por los mediadores liberados repercutirán también en
cambios hemodinámicos y la función ventricular.

Patologia pulmonar(lopez)

  • 1.
    PATOLOGIA PULMONAR GENERALIDADES INTRODUCCIÓN Se hadicho insistentemente que la respiración es vida, que ningún ser humano resistiría más que unos pocos minutos sin el flujo vital que le proporciona la respiración, mientras puede pasar días o semanas sin alimentarse. El sistema respiratorio y los pulmones cuentan con una maravillosa estructura que le permite al ser humano y a muchos seres vivos, realizar diversos mecanismos para apropiarse del oxígeno y liberar el anhídrido carbónico, los cuales a su vez son fundamentales para su supervivencia. Obtener una comprensión de lo que ocurre durante los diferentes procesos que afectan la normalidad del funcionamiento y adaptación del ser humano a la vida, requiere apropiarse del conocimiento sobre los cambios adaptativos de orden morfológico, bioquímico, fisiológico entre otros, y considerar que aún en la vida extrauterina se dan numerosos procesos de maduración del sistema respiratorio. EMBRIOLOGÍA El pulmón tiene su origen esencialmente en las dos capas embrionarias más internas: endodermo y mesodermo. El revestimiento de laringe, tráquea, bronquios, bronquíolos, conductos alveolares y alvéolos es endodérmico mientras cartílago, músculo y todo el sistema vascular que le sirve de armazón proviene del mesodermo en estrecho contacto con el mesénquima que rodea el intestino anterior. El tracto respiratorio inferior, se observa inicialmente como un pequeño surco localizado en el piso de la faringe primitiva el cual se evagina en un divertículo laringotraqueal que se elonga caudalmente como la yema pulmonar primitiva dentro del mesénquima subyacente. Las yemas bronquiales se desarrollan por etapas, desde las unidades menos complejas como los bronquios mayores hasta las más sofisticadas como los alvéolos iniciando su maduración hacia la semana 16 de la gestación. Figura 1: Sección Transversa entre Quinta y Sexta Semana del Sistema Respiratorio Inferior
  • 2.
    Se han descritocinco fases en el desarrollo pulmonar: 1. Fase embrionaria: en la cual se desarrollan las vías aéreas principales y va entre el día 26 y la quinta semana. 2. Fase Pseudoglandular: en la que se desarrollan las vías aéreas terminales y va de la 5 a la 16 semana, se forman estructuras ramificadas de paredes gruesas, no se encuentran bonquíolos ni alvéolos. 3. Fase Canalicular en la cual cada bronquiolo terminal se divide en dos o mas bronquiolos respiratorios los cuales a su vez de dividen en 3 a 6 conductos alveolares, forman así los acinos con su correspondiente suplemento vascular; va de la 16 a 28 semana, donde se forma la interfase aire-sangre y se inicia la síntesis del surfactante. 4. Fase Sacular: donde se forman los espacios aéreos o sacos, con revestimiento alveolar, va de la semana 28 a 36. 5. Fase Alveolar: 8 meses a 10 años. Maduración de los alvéolos con contactos epiteliales – endoteliales bien desarrollados ANATOMIA El fin funcional del aparato respiratorio es poner en contacto el aire inspirado con la sangre para su distribución, y le expulsión del dióxido de carbono. Este sistema se divide en dos grandes componentes, los pulmones y la vía aérea. Los pulmones: Uno derecho y otro izquierdo, con un peso aproximado de 900 a 1100 gramos, los cuales participan directamente sobre el intercambio de gases entre el hematíe y el aire, se encuentran contenidos en el saco pleural, delimitados por delante con el mediastino, por atrás por las costillas y la columna vertebral y lateralmente con las costillas, están separados por el corazón y los grandes vasos del mediastino medio. Estos tienen una forma cónica, con su vértice apuntando hacia arriba y la base en contacto con el diafragma, se divide por lóbulos, el derecho en tres (a saber superior, medio e inferior por las cisuras horizontal y oblicua) y el izquierdo en dos. La vía aérea: O respiratoria se compone a su ves por nariz, faringe, laringe, traquea, bronquios y bronquiolos.  Nariz: esta dividida en dos narinas derecha e izquierda por el tabique nasal formado por el vomer, la lámina perpendicular del etmoides y el cartílago del tabique. La porción externa es sumamente variable en tamaño y forma según la disposición de los cartílagos, pero en general es una proyección antero-superior de la cara con un vértice en el frente. La parte interna de cada fosa es irregular por la presencia de cornetes superior medio e inferior.
  • 3.
    Faringe: es un conducto músculo membranoso que se extiende posteriormente de la cavidad nasal, bucal y se conecta con el esófago y la laringe.  Laringe: como continuación de la faringe, es una estructura músculo-cartilaginosa, y es la estructura principal en la fonación, se ubican aquí los pliegues vestibulares y los pliegues vocales (cuerdas vocales), la epiglotis es una estructura cartilaginosa que junto con el estrechamiento de los pliegues vocales impiden el paso de alimento a los pulmones.  Traquea y bronquios: La traquea es un conducto central desplazado ligeramente hacia la derecha por la aorta, constituida por una serie de anillos cartilaginosos, esta se bifurca a nivel de la quinta vértebra dorsal (la carina) en los bronquios principales, los cuales ingresan a los pulmones por el hilio pulmonar, estos se siguen dividiendo dicotómicamente hasta terminar en unas estructuras muy pequeñas llamadas bronquiolos. Figura 2: Sistema Respiratorio MICROANATOMIA La tráquea se divide a nivel de la carina en dos bronquios principales, derecho e izquierdo, los cuales se dividen dicotómica y progresivamente hasta que dan origen a los bronquíolos terminales y respiratorios. El lobulillo es una estructura poliédrica que mide entre 1 y 2.5 cms. y se encuentra centrada por un bronquíolo terminal que al entrar al lobulillo se divide en bronquíolo respiratorio y después en conductos alveolares, sacos alveolares y alvéolos. El lobulillo pulmonar secundario funciona como una de las unidades básicas de la estructura y función, configurando subsegmentos, segmentos y lóbulos pulmonares y a su vez, están constituidos por acinos los cuales están formados por docenas de alvéolos; sobre cada uno de los lados del lobulillo se encuentran los septos inter-lobulillares que están formados por tejido conectivo discontinuo el cual permite la comunicación directa entre un lobulillo y otro. Los alvéolos también se encuentran intercomunicados a través de los poros de Kohn, los cuales miden entre 5 y 15 micras. Otra estructura que permite la intercomunicación lobulillar son los llamados canales de Lambert que permiten un flujo aéreo contralateral y comunican los bronquíolos dístales preterminales con los alvéolos. Se estima que entre 30 y 50 lobulillos primarios (conjunto formado por punto alveolar, atrio, saco alveolar y alvéolo) constituyen un lobulillo secundario; mientras que el acino pulmonar está centrado por un bronquíolo respiratorio y conformado por las respectivas estructuras pulmonares dístales. Entre 3 y 5 acinos conforman un lobulillo pulmonar.
  • 4.
    Figura 3: Ultraestructurade Los Alvéolos y Capilares Pulmonares Figura 4: Subdivisiones y estructura de las Vías aéreas intrapulmonares El alvéolo se halla revestido por neumocitos tipo l en un 95% y tipo ll en un 5% y en general, la vía aérea inferior se encuentra tapizada por epitelio cilíndrico ciliado pseudoestratificado con células mucoproductoras y células neuroendocrinas y externamente tienen cartílago hialino.
  • 5.
    Las ramas dela arteria pulmonar están distribuidas hacia la porción central del lobulillo y terminan en un cojinete capilar pulmonar el cual se extiende a todo lo ancho del intersticio alveolar. El flujo sanguíneo del capilar pulmonar drena a través de las vénulas, hacia las venas pulmonares que corren centralmente a través del septo interlobulillar. El pulmón tiene una doble circulación, derivadas tanto de las arterias pulmonares como de las bronquiales, que son ramas de la Aorta o de las intercostales. Los vasos linfáticos pulmonares como los nervios discurren a lo largo y ancho del compartimiento intersticial; inmersos dentro del tejido conectivo, siguiendo las estructuras broncovasculares. El intersticio es el esqueleto fibroso del pulmón y se ha dividido en intersticio alveolar, que es aquel que está inmediatamente por debajo de la membrana basal epitelial e intersticio perivascular o axial que se extiende hasta dividir el pulmón en segmentos y lóbulos a través del cual discurre el flujo vascular pulmonar y linfático. En general, se puede afirmar que el intersticio pulmonar está formado por células derivadas del mesénquima, vasos sanguíneos, vasos linfáticos, fibras de colágeno, elastina, fibroblastos, proteoglicanos y varias glicoproteínas. Las enfermedades que lo afectan comprometen la estructura y función de las células endoteliales, paredes alveolares, vasos sanguíneos y las pequeñas vías aéreas. El espacio alveolar está por lo general conservado, así muchas de ellas comiencen a nivel acinar o alveolar. Allí es donde se deposita el líquido de exceso que se filtra en una hipertensión arterial venocapilar, es el más comprometido en las neumoconiosis y en la diseminación linfangítica de las neoplasias; su integridad se puede seguir en las imágenes radiológicas del tórax y por lo tanto su evaluación es muy valiosa en el diagnóstico de un grupo de afecciones pulmonares.
  • 6.
    Las paredes delos alveolos se componen de 2 tipos de células: Neumocitos tipo I y II. Neumocitos tipo I: Alrededor del 95% de la superficie alveolar se integra con epitelio escamoso simple, cuyas células se conocen como neumocitos tipo I (también llamados células alveolares tipo I y células alveolares escamosas). Su citoplasma puede ser muy delgado. Estos neumocitos forman uniones ocluyentes unos con otros evitando así el escape de líquido extracelular a la luz alveolar. Figura 6: Neumocito tipo I Neumocitos tipo 2: también conocidos como células alveolares mayores, células septales o células alveolares tipo II, sólo ocupan alrededor del 5% de la superficie alveolar. Estas células cuboides están entremezcladas entre los neumocitos tipo I y forman uniones de oclusión. Los neumocitos tipo II se localizan habitualmente en regiones en las que están separados alveolos adyacentes unos de otro por un tabique (de ahí el nombre de células septales) y su superficie adluminal se recubre con lámina basal. Figura 7: Neumocito tipo II
  • 7.
    La característica másdistintiva de estas células es la presencia de cuerpos laminares unidos a la membrana que contienen agente tensoactivo pulmonar (surfactante), el producto secretorio de estas células. El agente tensoactivo pulmonar, que se sintetiza en el Retículo Endoplásmico Rugoso (RER) de los neumocitos tipo II, se compone principalmente de dos fosfolípidos, dipalmitoilfosfatidilcolina y fosfatidilglicerol, y 4 proteínas únicas, proteínas del agente tensoactivo A, B, C y D. El agente tensoactivo se modifica en el aparato de Golgi y a continuación se libera de la red de Golgi trans a vesículas secretorias, conocidas como cuerpos compuestos, los precursores inmediatos de los cuerpos laminares. El agente tensoactivo se libera por exocitosis hacia la luz de los alveolos en donde forma una red amplia parecida a un enrejado conocida como mielina tubular, que se separa en porciones lipídica y proteínica. El lípido se inserta en una película monomolecular de fosfolípidos que forma un interfaz con el aire y la proteína penetra en la capa acuosa entre los neumocitos y la película fosfolipídica. El agente tensoactivo reduce la tensión superficial e impide así el colapso de los alveolos durante la espiración y facilitando la expansión durante la inspiración. Lo elaboran continuamente los neumocitos tipo II y, según pruebas reciente, lo fagocitan estos últimos y macrófagos alveolares. Los neumocitos tipo 2 y el surfactante son ya detectables a las 28 semanas de gestación, por lo que los recién nacidos prematuros mayores de esta edad pueden teóricamente respirar por sí mismos pero sin embargo entre las 28 semanas y el término de la gestación, las cantidades de surfactante pueden ser insuficientes o consumirse demasiado rápidamente, y puede ser necesario un soporte respiratorio artificial. La insuficiencia de surfactante da lugar al colapso alveolar, con lesión de los neumocitos tipo I en el denominado “Síndrome de dificultad respiratoria del lactante”. Fig. 8 Neumocito tipo 2 y surfactante. ® Tinción H&E de un corte delgado de resina acrílica que muestra la confluencia de las paredes alveolares de tres alveolos adyacentes. En los ángulos hay células redondeadas con un citoplasma vacuolado; éstas son neumocitos tipo 2 (T2). También se ve el núcleo de un neumocito tipo 1 (T1). ® Microfotografía electrónica que muestra un neumocito tipo 2 activo. La célula es redonda y posee una cara luminal convexa que está cubierta de microvellosidades. Las organelas intracitoplasmáticas más obvias son grandes cuerpos esféricos (B) rodeados de membrana que contienen material laminar lipoproteico, que representa el surfactante. También se suelen ver descargando su contenido sobre la superficie luminal (flechas). © Microfotografía electrónica de barrido de dos neumocitos tipo 2. Obsérvense las microvellosidades (M) y las pequeñas cantidades de material granuloso (flechas) que es surfactante recientemente arrojado.
  • 8.
    Sistema respiratorio humano El sistema respiratorio de los seres humanos y otros vertebrados, consta de dos partes, la parte conductora y la parte de intercambio gaseoso, también llamada respiratoria. La parte conductora consta de una serie de vías que llevan el aire hacia la parte de intercambio gaseoso, en la que el gas se intercambia con la sangre en pequeños sacos presentes en los pulmones. El aire entra por la nariz o la boca, pasa por una cámara común, la faringe (1), y de ahí viaja a la laringe (2). La abertura de la laringe está custodiada por la epiglotis (3), una hoja de tejido sostenida por cartílago. Durante la respiración normal, epiglotis se inclina hacia arriba, lo que permite que el aire fluya libremente dentro de la laringe. Durante la deglución, la epiglotis se inclina hacia abajo y cubre la laringe, dirigiendo a las sustancias ingeridas hacia el esófago Dentro de la laringe se encuentran las cuerdas vocales, bandas de tejido elástico controladas por un músculo. El aire inhalado pasa de la laringe a la tráquea (4), un tubo flexible cuyas paredes están reforzadas con las bandas semicirculares de cartílago. Dentro del tórax, la tráquea se divide en dos grandes ramas, llamadas bronquios (5), cada una va hacia un pulmón (6). Dentro de cada pulmón, cada bronquio se divide en varios túbulos cada vez más pequeños, llamados bronquiolos (7). ELEMENTOS A TENER EN CUENTA EN LA COMPRENSIÓN DE LA PATOLOGÍA RESPIRATORIA
  • 9.
    Sistema respiratorio consta de: tracto respiratorio superior, vía aérea y pulmones. • Las principales enfermedades de la vía aérea y los pulmones involucran procesos inflamatorios, frecuentemente de origen infeccioso. • La exposición a los agentes ambientales tiene un importante papel especialmente el tabaquismo y la exposición industrial. Los tumores malignos en ésta localización son el gran azote de la era moderna. Su diagnóstico es casi siempre tardío y su letalidad muy alta. • La consecuencia más severa de la falla respiratoria es la alteración en la oxigenación de la sangre. ATELECTASIA: (COLAPSO PULMONAR) Se entiende por atelectasia el colapso de una región pulmonar periférica, segmentaria o lobar, o bien el colapso masivo de uno o ambos pulmones, que motiva la imposibilidad para realizar el intercambio gaseoso, existe una expansión incompleta de los pulmones. Las atelectasia importantes disminuyen la oxigenación de la sangre y predisponen a las infecciones. En la Atelectasia se pierde el aire del parénquima, su volumen, y el pulmón se torna una masa sólida, hecho característico y que lo diferencia de la consolidación neumónica en la cual es reemplazado por el exudado. Esta situación anómala es consecuencia de diferentes trastornos pulmonares o extrapulmonares, por lo que dicha entidad patológica no es una enfermedad per se, sino la manifestación de una patología pulmonar subyacente. En el niño existe una mayor predisposición a desarrollar atelectasia que en el adulto, debido a que las vías aéreas son más pequeñas y por lo tanto presentan una mayor tendencia al colapso. A esto hay que añadir el menor número de canales de ventilación colateral y una estructura del tórax que presenta mayor debilidad con respecto al adulto. Las atelectasia adquiridas del adulto pueden clasificarse en atelectasia obstructiva, compresiva y por contracción. Por Reabsorción: Pérdida de aire debida a obstrucción del bronquio correspondiente al sub- segmento, segmento, lóbulo o a todo un pulmón. Como el volumen del pulmón está disminuido, el mediastino puede desviarse hacia el pulmón atelectásico. Es producida sobre todo por los exudados o las secreciones excesivas (Ej: tapones de moco) localizados en los bronquios más pequeños y, por tanto, es más frecuente en el asma bronquial, la bronquitis crónica, la bronquiectasia y el período postoperatorio, así como después de la aspiración de cuerpos extraños. Por Compresión: Aparece siempre que la cavidad pleural está ocupada parcial o totalmente por exudados líquidos, por tumor, por sangre o por aire (constituyendo en último caso un neumotórax) o en el neumotórax a tensión. Se encuentra sobre todo en pacientes con insuficiecia cardiaca y con líquido en la pleura, y en los pacientes con derrame neoplásico dentro de la cavidad pleural. El mediastino se eleva hacia el lado opuesto del pulmón afectado. Por Cicatrización: Debidas a fibrosis del parénquima pulmonar como secuela de enfermedad inflamatoria. En ellas no hay obstrucción bronquial, el grado de pérdida de volumen es mucho
  • 10.
    mayor, hay cambiosbronquiectásicos en el lóbulo comprometido y no se puede demostrar patología pleural o de la pared del tórax. Por Perdida del Surfactante Pulmonar o Esparcidas o Dispersas: Aparece cuando se pierde sustancia tensoactiva, como en los Síndromes de dificultad Respiratoria del recién nacido y del adulto. CAUSAS La causa más frecuente de Atelectasia es El Carcinoma Broncogénico. Además de los tumores benignos, los tapones de moco y los cuerpos extraños; (como la obstrucción por una masa u objetos introducidos en la cavidad bucal) en este caso se solidifican la luz del bronquio comprometido (mayor) y el parénquima pulmonar, se reabsorbe el aire y se convierte en una masa carnosa sólida. Puede existir una fuerza externa que empuja el pulmón como el aire o un derrame pleural líquido o una masa extrínseca. En otras ocasiones la Atelectasia es intrínseca del pulmón y se debe a que hay una fibrosis intersticial, originando rigidez y retracción. Otra causa importante es la pérdida del surfactante normal que se da en el recién nacido y en las personas que sufren del Síndrome de Dificultad Respiratoria. Los pacientes sometidos a ventilación mecánica presentan con frecuencia atelectasia del lóbulo superior derecho que se origina en un efecto de succión que ejerce la columna de aire impulsada por el ventilador al pasar por un orificio bronquial que forma un ángulo recto con el bronquio fuente derecho.
  • 11.
    MANIFESTACIONES CLINICAS Los síntomasque presentan la atelectasia dependen fundamentalmente de dos factores: la enfermedad de base y a magnitud de la obstrucción. En ocasiones la atelectasia puede no presentar síntomas, a menos que la obstrucción sea importante. La sintomatología que podemos encontrar es la siguiente: tos, disnea, estridor, dolor torácico, cianosis y hemoptisis. Puede aparecer fiebre en caso de sobreinfección secundaria. El desplazamiento mediastínico y los ruidos cardíacos hacia el lado afecto se presentan en las atelectasias masivas. TECNICAS DE IMAGEN Rx de tórax anteroposterior (AP) y lateral: el estudio más importante para el diagnóstico de atelectasia es la radiografía de tórax en sus dos proyecciones: anteroposterior y lateral. Los signos radiológicos de colapso pulmonar son: directos e indirectos (figuras 1A y 1B). Signos radiológicos directos • Desplazamiento de las cisuras interlobares: en el sentido del pulmón colapsado. • Pérdida de aireación: se muestra como una imagen radiopaca en la zona afectada. • Signos bronquiales y vasculares: se manifiestan como un conglomerado de las tramas bronquial y vascular en el interior del área que se está colapsando. A la visualización de los bronquios dentro de esta área se denomina roncograma aéreo. Signos radiológicos indirectos • Desplazamiento hiliar: es el signo radiológico indirecto más importante de colapso pulmonar y que por sí mismo siempre indica atelectasia. • Elevación diafragmática: en el colapso del lóbulo inferior el diafragma puede encontrarse elevado. • Desplazamiento mediastínico: este desplazamiento se efectúa en el sentido del área colapsada. • Estrechamiento de los espacios intercostales en el hemitórax afecto. Es un signo difícil de reconocer salvo en colapsos importantes. • Enfisema compensador: el pulmón normal adyacente a la zona colapsada puede hiperexpandirse para llenar el espacio vacío, denominándose a esto enfisema compensador. Se identifica radiológicamente como aumento de la transparencia, siendo un signo de gran valor diagnóstico. En caso de colapsos masivos, la hiperinsuflación tiene lugar en el pulmón contralateral, pudiendo llegar a ser tan grande que el pulmón sobredistendido puede herniarse a través del tabique mediastínico.
  • 12.
    DIAGNÓSTICO El diagnóstico deatelectasia debe iniciarse con la realización de una historia clínica completa, seguida de una exploración minuciosa del paciente, en la que podemos encontrar: disminución del murmullo vesicular o aumento en la transmisión aérea de forma asimétrica, crepitantes, sibilantes, etc. El colapso pulmonar puede localizarse en cualquier lóbulo o segmento pulmonar, siendo los lóbulos inferiores, tanto derecho como izquierdo, los que se colapsan con mayor frecuencia. En los lactantes con sospecha de reflujo gastroesofágico (RGE) o trastornos de la deglución, la localización más frecuente es en el lóbulo superior derecho. DIAGNÓSTICO DIFERENCIAL La mayor dificultad se plantea en diferenciar la atelectasia de la consolidación neumónica. Ambas entidades se presentan como opacidades radiológicas. COMPLICACIONES Y PRONÓSTICO Aún se desconocen los factores que determinan la posibilidad de que un paciente afecto de atelectasia desarrolle complicaciones debidas a su colapso pulmonar. Las atelectasias agudas y/o subagudas son generalmente benignas y responden bien al tratamiento médico .
  • 13.
    ALTERACIONES DE LADILATACIÓN BRONQUIAL BRONQUIECTASIA (ectasia: dilatación de un conducto) Se define como la dilatación anormal del bronquio acompañada de cambios inflamatorios en la pared bronquial y el parénquima pulmonar adyacente. El bronquio normalmente es un conducto elástico que como respuesta a circunstancias inflamatorias se puede dilatar de diferentes formas, adoptando la de un tubo rígido, pequeño o grande, bien irregular o en forma de un chaco. Hay muchas variantes morfológicas que tienen interés para imaginólogos que estudian estos casos. Un paciente que tenga dilatación de sus bronquios puede presentar compresión del parénquima vecino, con turbulencias al paso del aire y alteraciones de la mucosa bronquial que la hacen vulnerable a la infección. Una de las características fundamentales es la infección del trayecto dilatado, lo cual lleva a fibrosis o debilidad de la pared bronquial y tracción del parénquima CAUSAS Pueden ser de etiología obstructiva o no obstructiva. Las obstructivas comúnmente se deben a tumores que ocluyen parcial o completamente la luz bronquial o a cuerpos extraños, lo cual puede también llevar a retención de secreciones con infección y destrucción del cartílago. Las no obstructivas se dividen en congénitas o adquiridas; éstas últimas generalmente se deben a infección severa, destructiva de la pared dentro de las cuales se encuentran los virus, la TBC o infecciones por otros gérmenes y pueden estar relacionadas con enfermedades tales como la fibrosis quística, neumonías, disquinesia ciliar. Las bronquiectasias congénitas, llamadas también síndrome de William Campbell se deben a ausencia congénita del cartílago entre la 4ª. Y 8ª. generación. Las anomalías que con mayor frecuencia se asocian a esta patología son: • Fibrosis quística • Defectos inmunológicos • Síndromes aspirativos – Cuerpos extraños – Contenido gástrico • Asma • Déficit de alfa-1-antitripsina • Aspergilosis broncopulmonar alérgica • Displasia de los cartílagos bronquiales • Alteraciones del aclaramiento mucociliar – Discinesia ciliar – Síndrome de Kartagener MANIFESTACIONES CLINICAS Las bronquiectasias pueden manifestarse diferentes formas, desde el niño prácticamente asintomático, hasta el aciente crónicamente enfermo. El inicio puede ser agudo después de una infección respiratoria, o puede manifestarse como enfermedad pulmonar recurrente o crónica. El síntoma predominante es la tos recidivante o crónica, con dos características
  • 14.
    fundamentales: se acompañade expectoración más intensa y productiva por la mañana, como consecuencia de las secreciones acumuladas durante la noche. Otros síntomas acompañantes pueden dolor torácico, disnea, fiebre y hemoptisis. En la exploración física podemos encontrar: alteración del desarrollo ponderoestatural, cianosis y acropaquías. Como hallazgos auscultatorios: disminución o abolición del murmullo vesicular, crepitantes y sibilantes. COMPLICACIONES La supuración e infección crónica, abscesos pulmonares, diseminación de la infección a otros órganos, amiloidosis asociada. MORFOLOGÍA La bronquiectasia suele afectar ambos lóbulos inferiores, especialmente a los conductos respiratorios de dirección más vertical, y la lesión es mayor en los bronquios más distales y en los bronquiolos. Cuando las bronquiectasias se deben a tumores o aspiración de cuerpos extraños, las lesiones pueden estar bien delimitadas y circunscribirse a un solo segmento pulmonar. Las vías respiratorias están dilatadas, con un tamaño de hasta cuatro veces mayor de lo normal. Estas dilataciones pueden ensanchar el calibre de los bronquios en forma tubular (bronquiectasias cilindroides) o producir, en otros casos, distensiones fusiformes o, incluso, marcadamente saculares (bronquiectasias saculares). Figura 10: Bronquiectasia asociada a aspiración de cuerpo extraño (espiga). Nótese la acentuada inflamación perifocal con focos de bronconeumonía. Figura 11: Bronquiectasiassaculares adquiridas. Dilatación sacciforme localizada en relación con cicatrices tuberculosas. Los bronquios afectados están dilatados, pueden ser de aspecto cilíndrico, saculares o quísticos con material purulento en su luz y se disecan fácilmente desde la periferia. El epitelio bronquial puede presentar ulceración o cambios reparativos con metaplasia escamosa. Hacia la lámina propia suele existir severa inflamación crónica, prominencia de vasos sanguíneos y destrucción del cartílago. Las bronquiectasias son una de las causas más frecuentes de halitosis, que se acompaña de perdida del estado general y de enflaquecimiento severo. Tanto la broncografía como la tomografía de alta resolución no hacen el diagnóstico pero son muy útiles para localizar el bronquio afectado y efectuar un tratamiento adecuado. Radiológicamente se observan como una pérdida de volumen de un pulmón con opacidad incompleta con imágenes de espacios aéreos en el fondo.
  • 15.
    CLASIFICACION MORFOLÓGICA DELAS BRONQUIECTASIAS: Cilíndricas o tubulares: Son de pared regular, el bronquio se divide sin disminuir de calibre de una generación a otra. Se acompaña de disminución de las generaciones bronquiales visibles. Se considera que se deben a lesión de la mucosa. Figura 12: Bronquiectasias cilíndricas adquiridas mútiples con infección secundaria por Actinomyces, cuyas colonias aparecen como material granular que rellena los bronquios. Varicosas: Presentan segmentos alternados de dilatación y estenosis. La generación bronquial bronquiectásica muestra mayor diámetro que aquella que la origina y se debe a compromiso del músculo liso bronquial. Saculares o quisticas: Los bronquios afectados muestran una apariencia de globo y se asocia con daño hasta del cartílago. Los tres corresponden a lesión cada vez más severa y progresiva. Figura 13: Bronquiectasia sacular adquirida. Dilatación localizada, sacciforme, que afecta a dos bronquios. Tejido pulmonar distal con fibrosis y bronconeumonía y tejido pulmonar adyacente sin lesiones. LESIONES A NIVEL DE LA ESTRUCTURA PULMONAR Y BRONQUIAL Enfermedad Pulmonar Obstructiva Crónica (EPOC) La Enfermedad Pulmonar Obstructiva Crónica (EPOC, por sus iniciales) es un término empleado para agrupar principalmente dos trastornos: el enfisema y la bronquitis crónica. La bronquitis crónica se caracteriza por la inflamación persistente de los bronquios, el enfisema se caracteriza por el daño irreversible de los alvéolos. La mayoría de las personas con EPOC tienen una combinación de enfisema y bronquitis crónica, aunque generalmente, uno de los dos trastornos predomine. ANATOMÍA PATOLÓGICA Histopatológicamente tiene como base una lesión destructiva de los alvéolos (enfisema) y un fenómeno inflamatorio crónico que afecta especialmente los bronquiolos. El enfisema se caracteriza por la destrucción de los tabiques alveolares con dilatación permanente de los espacios aéreos dístales al bronquiolo terminal. El mecanismo más probable en la patogenia del enfisema es el desbalance entre las proteasas y antiproteasas a nivel pulmonar; el humo del cigarrillo provoca acúmulos de neutrófilos en relación a los bronquíolos respiratorios, los
  • 16.
    cuales liberarían suelastasa en cantidades tales que sobrepasan la capacidad inhibitoria normal. El compromiso de las vías aéreas de la EPOC está representado por la inflamación crónica de los bronquíolos terminales y respiratorios, fibrosis de sus paredes, estrechamiento y obliteración de la vía aérea e hiperplasia de las células caliciformes del epitelio bronquiolar; también se observa hiperplasia de las fibras musculares. Radiografía del tórax. Aunque algunos hallazgos en la radiografía del tórax puedan sugerir la presencia de EPOC no hay ningún signo que permita un diagnóstico preciso. Puede ser normal en casos con compromiso clínico y funcional evidente y el grado de alteración radiológica no se correlaciona con la severidad anatomopatológica o con el pronóstico de la enfermedad. No es un método muy sensible para el diagnóstico de EPOC pero es un examen muy útil para la valuación inicial, pues permite excluir otras enfermedades relativamente frecuentes en estos pacientes como cáncer del pulmón, tuberculosis y neumoconiosis. Puede sugerir la presencia de hipertensión pulmonar e hipertrofia de cavidades derechas y en las exacerbaciones permite confirmar o excluir la presencia de neumonía, edema pulmonar o neumotórax. Son signos de hiperinflación y por lo tanto sugestivos de enfisema en la proyección posteroanterior el aplanamiento de los diafragmas con aumento del ángulo costo diafragmático y la disminución del diámetro transverso de la silueta cardíaca. La disminución de la excursión diafragmática que se puede demostrar en la fluoroscopia del tórax o con radiografía tomada en inspiración y espiración forzadas sugiere atrapamiento de aire. La disminución rápida del calibre vascular acompañada de hiperlucencia es un buen signo de enfisema pero su reconocimiento depende de la calidad de la radiografía y la experiencia del observador. Las bullas se presentan como áreas de radiolucencia con ausencia de sombras vasculares delimitadas. ETIOLOGÍA Sobre el 90% de los casos se debe al tabaquismo, la mayoría de los que sufren EPOC son grandes fumadores, o con antecedentes de tabaquismo, pero también puede producirse por otras causas, tales como exposición a contaminantes ambientales, laborales o domésticos, a déficit genético de α1- antitripsina, etc. ENFISEMA Es una afección pulmonar caracterizada por el aumento permanente y anómalo de los espacios aéreos distales al bronquio terminal, acompañado de destrucción de sus paredes y sin signos de fibrosis. El mayor problema de esta enfermedad es la dificultad para la espiración. PATOGENIA En el estado actual de los conocimientos sobre la patogenia del enfisema consideran modelos experimentales en animales y evidencias clínicas, de los cuales se ha elaborado la hipótesis elastasa-antielastasa. Según esta teoría el enfisema sería consecuencia de una degradación de las fibras elásticas inducida por enzimas elastolíticas endógenas, predominantemente elastasa. Esta es producida por polimorfonucleares y en menor grado por macrófagos. Por otro lado, se asocia al déficit de antiproteasas normales, como por ejemplo la α1-antitripsina, que es la más importante de las sustancias capaces de neutralizar la actividad de la elastasa pancreática y de la neutrófila. De ésta se reconocen aproximadamente 20 fenotipos clasificados en el sistema
  • 17.
    Pi. El genenormal es PiM y el anormal (déficit) es el PiZ. El tipo homozigoto PiZZ se manifiesta como niveles séricos bajos de a-1-Pi. Este fenotipo se asocia a un alto riesgo de enfisema pulmonar. El enfisema es muy frecuente en fumadores. Se ha demostrado que el humo del cigarrillo es capaz de estimular los macrófagos en la liberación de quimiotaxinas, con lo que se produce agregación de neutrófilos. También estimula la liberación de elastasa, inhibe la actividad antielastasa normal y reduce la capacidad de resíntesis de elastina. En humanos fumadores se ha demostrado una disminución de los niveles de a-1-Pi funcionales en el lavado broncoalveolar. Por el componente de enfisema, estos enfermos presentan un aumento de la distensibilidad pulmonar por disminución de la retracción elástica pulmonar. La pérdidad de la tracción elástica sobre las vías aéreas sin cartílago es responsable de su colapso espiratorio con obstrucción de la vía aérea e hiperinsuflación secundaria, a la que contribuye la alteración intrínseca de las vías aéreas por el daño inflamatorio. Estos trastornos conducena un aumento gradual de la resistencia de la vía aérea. Fumadores: • Estimulan la liberación de PMN y macrófagos a los alvéolos. • Fumar, aumenta la actividad elástica de las proteasas en los macrófagos y no pude ser inhibida por alfa 1 – antitripsina. • Los agentes oxidantes del humo del cigarrillo y los radicales libres del O2 secretados por los PMN inhiben la alfa 1 – AT. • La nicotina es quimiotáctica para PMN. Síntomas: • Disnea • Tos • Sibilancias • Perdida de peso • Tórax en forma de tonel
  • 18.
    Humo de tabacoy contaminación Deficiencia genética Bloqueo de α1antitripsina Aumento Elastasa Quimotaxis Bronquitis crónica Linfocitos Elastolisis Neutrofilos Enfisema Figura 14: Patogenia del enfisema El enfisema experimental como consecuencia de la instilación bronquial de elastasa es de tipo panacinar, pero también se han reproducido el acinar proximal y el irregular con inhalación de cloruro de cadmio. Actualmente muy poco se conoce sobre la posible patogenia del enfisema acinar distal o paraseptal Existen observaciones que sugieren que algunos trastornos de la microcirculación jugarían también un papel importante en las lesiones tempranas del enfisema. TIPOS DE ENFISEMA El enfisema puede clasificarse según su distribución anatómica dentro del lobulillo pulmonar. Aunque el término enfisema se aplica algunas veces vagamente a diversos procesos, existen 4 tipos especiales del mismo: 1. Enfisema panacinar (panlobulillar) 2. Enfisema acinar proximal (centrolobulillar, centroacinar) 3. Enfisema acinar distal (paraseptal) 4. Enfisema acinar irregular (paracicatrizal) La identificación de cualquiera de las variedades de enfisema es más fácil al examen macroscópico. Debe tenerse presente que los casos puros son raros, mucho más frecuente es encontrar una mezcla de los diversos tipos. Aun así, queda un número importante de casos inclasificables.
  • 19.
    1. Enfisema panacinar Seobserva con mayor frecuencia en las zonas inferiores y bordes anteriores de cada pulmón. Es más acentuado en las bases. Macroscópicamente hay pérdida del contraste normal entre alvéolos y conductos alveolares con aparente simplificación de la arquitectura pulmonar. Las alteraciones aumentan hasta que la pérdida de tejido es de tal magnitud que quedan solamente las estructuras vasculares, tabiques interlobulillares y bronquíolos. Pueden encontrarse fibrosis e inflamación leves de las paredes alveolares remanentes. Este tipo de enfisema se asocia a déficit de α-1-antitripsina (70-80% de los casos), oclusión bronquial y bronquiolar (síndrome de Swyer-James o de MacLeod), enfisema acinar proximal y enfisema irregular. Se encuentra ocasionalmente en forma incidental en personas mayores de 70 años, mujeres, en la superficie diafragmática y mitad inferior de la cara anterior y no asociado a bronquitis crónica. Existe una forma idiopática o esencial. Figura 15: Enfisema acinar difuso (e. panacinar, e. panlobulillar). Ampollas enfisematosas de tamaño variable, que afectan todo el lobulillo. 2. Enfisema centroacinar Se caracteriza por un daño selectivo o predominante de las porciones proximales del acino, es decir de los bronquíolos respiratorios y de conductos alveolares. Las lesiones predominan en lóbulos superiores y segmentos póstero- apicales y segmentos superiores del lóbulo inferior. Los espacios adyacentes y tejidos circundantes característicamente contienen gran cantidad de pigmento negro. Se asocia a bronquitis crónica, fibrosis focal e infiltración mononuclear. Predomina en hombres y en fumadores. Figura 16: Enfisema acinar proximal (e. centrolobulillar), fase avanzada. Las cavidades reemplazan extensamente los lobulillos. 3. Enfisema paraseptal Hay compromiso predominante de sacos alveolares y también de conductos alveolares y es más prominente hacia la zona subpleural (enfisema superficial), a lo largo de tabiques interlobulillares (paraseptal), en los márgenes de lobulillos y acinos (periacinar) y a lo largo
  • 20.
    de vasos sanguíneosy vías aéreas (lineal). La forma pura es rara y generalmente se asocia a enfisema acinar proximal. Habitualmente es de extensión limitada. Más frecuente en porciones anteriores y posteriores de lóbulos superiores y superficie posterior de los inferiores. Puede ser idiopático, asociado a enfisema acinar proximal, bronquitis crónica y limitación crónica del flujo aéreo. Figura 17: Enfisema acinar distal (e. paraseptal). Ampollas enfisematosas localizadas, subpleurales, con antracosis. 4. Enfisema irregular Invariablemente asociado a cicatrices, especialmente secuelas apicales de tuberculosis (20-40%). Es el tipo más frecuente. El compromiso acinar es irregular, no sistematizado, sin predominio de región alguna. Figura 18: Enfisema acinar irregular (e. paracicatrizal). Cicatriz tuberculosa apical con focos irregulares de enfisema y bronquiectasias. Otros tipos de enfisema: ENFISEMA INTERSTICIAL No corresponde a un enfisema según el concepto anterior. En esta condición el aire escapa al intersticio donde forma burbujas de 1 a 2 mm de diámetro. Primero se observan bajo la pleura, especialmente donde se fusiona con los tabiques interlobulillares y se extiende al hilio por los espacios perivasculares y de ahí puede hacerlo al mediastino, cuello y tronco. Las ampollas más grandes en el hilio pueden comprimir los vasos pulmonares. En niños se observa en relación con maniobras de resucitación, atelectasia y aspiración. En ancianos, en traumatismos, fracturas costales, coqueluche, anestesia intratraqueal, intubación inadecuada, punción pulmonar, etc. Microscópicamente, hay alvéolos distendidos y pueden comunicarse con el espacio pleural. Signos morfológicos indirectos son espacios claros alrededor de las estructuras vasculares y bronquiales y atelectasia lobulillar perifocal. ENFISEMA SENIL Se refiere a los pulmones hiperdistendidos, y a veces voluminosos, que se observan en los ancianos. Estas alteraciones se deben a cambios de la geometría interna de los pulmones
  • 21.
    (conductos alveolares mayoresy alvéolos más pequeños), que dependen de la edad y que aparecen sin pérdida de tejido elástico ni destrucción del tejido pulmonar. ENFISEMA BULLOSO Un tipo concreto de enfisema paraseptal distal con formación de quistes aéreos únicos o múltiples de tamaños variables. Los pacientes presentan disnea por compresión del parénquima pulmonar adyacente a los quistes. Durante episodios agudos de infección respiratoria, pueden llenarse los quistes de exudado e infectarse. En este caso se comporta como un absceso pulmonar. La rotura de las áreas de enfisema produce neumotórax. Radiológicamente se aprecia una hiperclaridad en la zona bullosa con compresión del resto del parénquima, que se manifiesta por agrupamiento vascular. BRONQUITIS CRONICA Anatomopatológicamente, es una hipersecreción de moco en el interior de las vías aéreas que se puede presentar de forma crónica o recurrente, siempre y cuando esta no sea secundaria a otra patología de base (tuberculosis, CA de pulmón, bronquiectasias o ICC) que puede contribuir a la aparición de enfisema. La bronquitis crónica es un proceso que se presenta como episodios de tos con expectoración por lo menos durante tres meses cada año durante dos años consecutivos. Existe un tipo de bronquitis identificable clínicamente llamada Bronquitis Crónica Simple, en la cual existen los signos y síntomas clásicos de la enfermedad, pero no hay ninguna evidencia de obstrucción de las vías respiratorias. En algunos casos se puede presentar concomitante con vías respiratorias hiperreactivas que favorecen la aparición de episodios intermitentes de broncoespasmo con sibilancias este proceso es conocido como Bronquitis Asmática Crónica. La causa más importante de la bronquitis es extrínseca y ocasionada por irritantes, contaminación ambiental o tabaquismo. El proceso se realiza en la pared bronquial con la participación de las glándulas (hipersecreción de moco por el estímulo irritativo crónico de las glándulas mucosas), presencia de inflamación crónica en el músculo liso de la pared y aumento de su grosor, hay cambios metaplásicos en el epitelio como respuesta a tal irritación, lo cual la hace más susceptible a la colonización por bacterias, por tanto el individuo que tenga una bronquitis crónica con mayor frecuencia sufre de bronconeumonía. ANATOMÍA PATOLOGICA
  • 22.
    En la bronqutiscrónica Puede haber hiperemia, edema, encharcamiento de la mucosa, acompañado de abundante secrecion mucopurulenta que tapisa el epitelio y en ocasiones puede obstruir la luz del bronquio. Histologicamente se caracteriza por hipretrofia de las glandulas secretoras, de la trquea y bronqios. El epitelio puede estar metapasico o displasico ayudando asi a formar tapones mucosos, hay inflamacion y firosis Epidemiología El principal factor de riesgo es el consumo de tabaco y cigarrillos, y la exposición a irritantes ambientales como el smoc. Según estadísticas recientes del Banco Mundial, fumar cigarrillo continúa siendo la causa más importante de enfermedades que se pueden prevenir en los países en desarrollo. Aunque en Colombia las estadísticas no son tan claras, algunas instituciones de han reportado que una de las doce primeras causas de hospitalización es la bronquitis crónica y que en la mayoría de los casos el paciente es fumador activo o pasivo. El tabaquismo causa más de un 80 por ciento de bronquitis crónica y de otras enfermedades crónicas del pulmón, SÍNDOME DE DIFICULTAD RESPIRATORIA. SINDROME DE DIFICULTAD RESPIRATORIA DEL RECIEN NACIDO El síndrome de dificultad respiratoria (SDR) es una entidad propia del recién nacido, particularmente del neonato prematuro debido a la inmadurez general del desarrollo del infante y en especial a la deficiente madurez pulmonar, la cual se traduce en síntesis, depósito o liberación disminuidas de surfactante pulmonar, desarrollo estructural incompleto de los pulmones, debilidad de la pared torácica, aumento de líquido pulmonar y resistencia vascular pulmonar aumentada. La incidencia del síndrome es mayor a menor peso y edad gestacional. Se presenta en el 60 a 80 % de los prematuros menores de 28 semanas de gestación; en el 20 a 30 % de prematuros entre 32 y 36 semanas y en el 0.05 % en mayores de 37 semanas. En los EStados Unidos, anualmente hay afectados 40.000 recién nacidos. Son factores de riesgo de desarrollar el síndrome: Recién nacidos de madres diabéticas, segundo niño de embarazo gemelar, cesárea sin trabajo de parto, asfixia perinatal, sexo masculino e historia de infantes previos afectados. Las manifestaciones clínicas más importantes son las relacionadas con dificultad respiratoria que comienza al nacimiento o en las primeras horas de vida, con presentación progresiva y caracterizada por taquipnea, aleteo nasal, tiraje intercostal, retracción xifoidea y quejido espiratorio, coexistiendo cianosis o palidez SINDROME DE DIFICULTAD RESPIRATORIA DEL ADULTO
  • 23.
    Enfermedad sistémica concomienzo agudo, dinámico y explosivo como resultado de una reacción inflamatoria difusa y severa del parénquima pulmonar a nivel de la membrana de la unidad alvéolo-capilar, con pérdida de la compartimentización, ocasionando un incremento de la permeabilidad con la formación de un edema exudativo rico en proteínas, con cinco elementos fundamentales: 1.- Hipoxemia a pesar de altas concentraciones de oxígeno suplementario 2.- Disminución progresiva de la compílanse pulmonar 3.- Infiltrado difuso pulmonar con expresión radiológica 4.- Ausencia de insuficiencia cardíaca congestiva 5.- Antecedentes causales Con el tiempo este cuadro clínico aquí definido fue observado en edades mucho más tempranas de la vida, incluyendo el recién nacido, siendo titulado SDRA en el niño o recién nacido. CAUSAS El SDRA ha sido descrito en múltiples eventos, situaciones o entidades, siendo los más recuentes: - Sepsis - Shock - Traumatismos -Circulación extracorpórea o bypass cardiopulmonar - Broncoaspiración (contenido gástrico, meconio, líquido amniótico) - Membrana hialina - Neumonía (viral, bacteriana, micótica) - Hipertransfusión - Tromboembolismo - Embolismo graso - Obstrucción mecánica de vías aéreas - Ahogamiento parcial - Hernia diafragmática congénita - Intoxicación por drogas, medicamentos, metales, etc. - Quemaduras - Inhalación de humo o gases - Electrocución - Anafilaxia - Neoplasias - Pancreatitis - Fiebre tifoidea - Síndrome hipereosinofílico. Este listado puede seguirse incrementando con otros procesos clínicos en cuyo cuadro puede producirse el SDRA. FISIOPATOLOGIA
  • 24.
    Las múltiples entidadescausales señaladas pueden conducir al SDRA en un tiempo variable que dependerá del grado de agresión, pero que en términos generales será en las primeras 72 horas. El desencadenamiento de los hechos es extremadamente complejo y se superponen eventos patológicos variados. La lesión agresora crea una respuesta inflamatoria pulmonar exagerada teniendo en cuenta que el pulmón es el primer filtro donde el sistema capilar recibe desechos, toxinas, células activadas de la sangre, citoquinas, etc. Se produce una activación del sistema del complemento, creación de toxinas anafilácticas y acción sobre los polimorfonucleares (PMN), creando un éxtasis leucocitario a nivel de la membrana, que aumenta su fagocitosis y quimiotaxis dando lugar a la formación de una serie de radicales tóxicos de oxígeno (RTO) (superóxido (O2), radical hidroxilo (OH), peróxido de hidrógeno(H2O2), radical perhidroxilo y oxígeno simple, y también proteasas leucocitarias (elastasa, colagenasa, catepsinas) en cuyo ataque a la membrana producen edema severo de las células alveolares tipo II. Los RTO pueden también producirse por hipoxia que ocasiona la ruptura del ATP en difosfato de adenosina (ADP), monofosfato (AMP), adenosina, inosina e hipoxantina, que por la xantina oxidasa (XO) se convierte en xantina liberando O2 y H2O2 y también hierro de la ferritina, produciendo OH, que es el radical más reactivo de todos. Paralelamente las toxinas anafilácticas (C3a, C5a) activan los macrófagos que secretan potentes citoquinas proinflamatorias (factor de necrosis tumoral (FNT), interleukina 1 (IL-1) y factor activador plaquetario (FAP). A ello se suma la formación de un complejo de ataque a la membrana (C5b-C9) que libera otros mediadores secundarios tales como: prostaglandina E2(PGE2), leucotrieno B4 y tromboxano, que son de importancia en el proceso inflamatorio.
  • 25.
    Figura 20: Tomadode Schlag, G and Redl, H; Mediators of injury and inflammation . World J. Surg. 20, 406-410, 1996. Durante esta fase puede haber también liberación de histamina y activación de la cascada de la coagulación sanguínea con sobreproducción de trombina, que tiene dos acciones: 1. Estimulación de las células epiteliales (vía P-Selectina + L-Selectina) que interactúa con los PMN aumentando el daño pulmonar. 2. Producción de fibrina que se deposita en el espacio alveolar bloqueándolo por fibrosis.
  • 26.
    Figura 21: Tomadode Schlag, G. and Redl, H; Mediators of injury and inflammation . World J. Surg. 20, 406-410, 1996. También se ha descrito un incremento sérico de la fosfatasa A2 no pancreática que genera mediadores lípidos proinflamatorios como lisofosfolípidos (precursores del FAP), lipofuscina, ácido araquidónico y óxido nítrico (ON). Este gran proceso inflamatorio y sus reacciones da lugar a que solo un pequeño volumen pulmonar esté ventilado, con disminución de la compliance estática y dinámica, de la capacidad vital, un incremento del trabajo respiratorio, hipoxemia por defecto de la ventilación/perfusión que da lugar al incremento de la permeabilidad capilar, mayor formación de edema y líquido rico en proteínas, aumento de la resistencia vascular pulmonar con hipertensión y aumento de los shunts derecha-izquierda (derivación intrapulmonar normal de 3 a7 %), pasando más sangre desoxigenada a través de los pulmones por los alvéolos no ventilados y se combina con sangre venosa pulmonar saturada normalmente, lo que aumenta la hipoxemia. .
  • 27.
    Este incremento deledema y líquido intersticial produce depresión del surfactante y proteínas asociadas que se encuentran situados estratégicamente en la interfase de la capa acuosa y la fase gaseosa de la luz alveolar, contraponiéndose a la tensión superficial generada por la subfase acuosa, por lo que su ausencia provoca el incremento de la tensión superficial a lo largo del epitelio alveolar, lo que produce colapso alveolar y lisis de células epiteliales aumentando la atelectasia del parénquima y la dificultad respiratoria. La eliminación del CO2 se encuentra alterada también por el espacio muerto creado por la microtrombosis y vasoconstricción, así como el espacio muerto químico creado por la inhibición de la anhidrasa carbónica producida por la elastasa de los PMN. Todos estos cambios originados por los mediadores liberados repercutirán también en cambios hemodinámicos y la función ventricular.