TERMOQUÍMICA 1
1   CONCEPTOS BÁSICOS

2   PRIMER PRINCIPIO DE LA TERMODINÁMICA
       Calor (Q) y trabajo (W)

        Qp y Q v
       Entalpías

       Ley de Hess
       Entalpías de enlace

3   SEGUNDO PRINCIPIO DE LA TERMODINÁMICA
       Entropía
       Energía Libre
       Espontaneidad
REACCIONES EXOTÉRMICAS

    Se desprende calor

    ΔH < 0




                         (diagrama entálpico)
REACCIONES ENDOTÉRMICAS

     Se absobe calor

     ΔH > 0



                  (diagrama entálpico)
EN RESUMEN …
Ejercicio



Sea la reacción:

               H2SO4 (aq) + Zn (s)  ZnSO4 (s) + H2 (g) ΔH = -80 Kcal/mol

a) ¿Qué calor se obtiene al consumir 800 mL de disolución 0’35 M de H2SO4
   con zinc en exceso?
b) ¿Qué masa de agua elevará 25oC su temperatura al consumir 143 g de
   H2SO4 con zinc en exceso?

Ce H2O = 4’18 kJ oC Kg-1 ; S = 32 ; H = 1 ; O =16
Ejercicio: solución
SISTEMA   Parte del universo arbitraria




                                          universo
VARIABLES TERMODINÁMICAS


(dependen de la cantidad de materia)                                    (no dependen de la cantidad de materia)

                    EXTENSIVAS                                         INTENSIVAS




    Ej.: energía libre,                                                                    Ej.: presión, volumen,
              entropía             FUNCIONES DE ESTADO                                     temperatura


                          (su valor sólo depende del estado inicial y final del sistema)




         En termodinámica es importante diferenciar bien el estado inicial y final
PRIMER PRINCIPIO DE LA TERMODINÁMICA


       La energía total (Q + W) del universo en cualquier proceso
       termodinámico se mantiene constante. Esto significa que la energía
       se transfiere pero no se pierde.


                             Para un sistema




                                   ΔU = Q + W


U = ENERGÍA INTERNA DEL SISTEMA (cinética y potencial), inluye energía asociada al
movimiento de las partículas, en los enlaces químicos, atracciones intermoleculares y la
asociadad a los electrones de los átomos.
CONVENIO TERMODINÁMICO




Q > 0 : calor absorbido por el sistema. Aumenta la energía
Q < 0 : calor desprendido por el sistema. Disminuye la energía del sistema.
W > 0 : trabajo realizado sobre el sistema. Aumenta la energía del sistema
W < 0 : trabajo realizado por el sistema. Disminuye la energía del sistema.
Ejercicio




Un sistema realiza un trabajo de 150 J sobre el entorno y
absorbe 80 J de calor. Halla la variación de energía interna
del sistema
Ejercicio solución
Trabajo en una reacción química

Partimos de un recipiente de volumen variable




    ?
Consideraciones



      Si ΔV > 0, hay expansión del sistema y es él quien hace el
      trabajo. Por lo tanto W < 0




       Si ΔV < 0, hay compresión del sistema y se hace un trabajo
       sobre él. Por lo tanto W > 0
Caso 1            PROCESO ISOCÓRICO ; V = cte (recipiente cerrado)




  ΔV = 0  W = - p . ΔV = 0

  ΔU = Q + W  ΔU = Qv + 0  ΔU = Qv



El incremento de energía interna es igual al calor del proceso realizado
a volumen constante.
PROCESO ISOBÁRICO ; P = cte (recipiente abierto)
    Caso 2           Concepto de ENTALPÍA



    U Qp W
U2 U1 Qp p V2 V1                            U2 U1 Qp p V2 p V1

Qp U2 p V2                 U1 p V1


•    p.V, tiene unidades de energía
•    U, tiene unidades de energía, luego...
•    U + p.V también.
•    U + p. V es una energía que se
    define como ENTALPÍA = H                Qp H2 H1                    H

     El incremento de energía entalpía es igual al calor del proceso
     realizado a presión constante.
PROCESO ISOBÁRICO ; P = cte (recipiente abierto)
Caso 2     Concepto de ENTALPÍA




     U Qp W
    U2 U1 Qp p V2 V1         U2 U1 Qp p V2 p V1

    Qp U2 p V2    U1 p V1
Ejercicio nº 3


Para el proceso

                  H2 (g) + ½ O2 (g)   H2O (l)

La variación de la energía interna a una temperatura de 25oC y una
presión constante de 1 atm es ΔU = - 282 kJ. Determina ΔH a esa
temperatura y presión.
R = 8’31 J. oK-1 . mol-1
ENTALPÍA ESTÁNDAR de una REACCIÓN

       Condiciones estándar

                     Tª = 25oC

                     P = 1 atm



     ECUACIÓN TERMOQUÍMICA


              2 H2 (g) + O2 (g)        2 H2O (l)         ΔHo = - 571 Kj


                       muestran estado físico      muestra entalpía de la reacción




2 H2O (l)      2 H2 (g) + O2 (g)      ΔHo = + 571 Kj
Caso concreto: ENTALPÍA ESTÁNDAR DE FORMACIÓN


ΔHof, es la variación de entalpía
correspondientes a la formación de un
mol de sustancia en su estado estándar
a partir de sus elementos.

Se considera que la entalpía de
formación estándar de un elemento es
cero.




Para una reacción:

aA + bB        cC + dD
Ejercicio nº 4



Dadas las entalpías de formación estándar: ΔHfo
CO(g) = -110’5 kJ/mol ; ΔHfo CO2(g) = -393’5 kJ/mol,
halla ΔHfo para la reacción:

         CO (g) + ½ O2 (g)      CO2 (g)
Caso concreto: ENTALPÍAS de ENLACE



             Una reacción química es, en realidad, una rotura de enlaces y
             la formación de otros.


             La entalpía estándar es un reacción es la suma de las entalpías
             de los enlaces rotos menos la suma de las entalpías d elos
             enlaces formados.




                        consume energía              produce energía
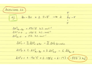
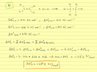
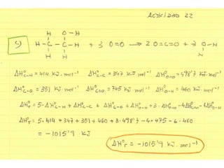
Actividad 22

Utilizando los valores de las entalpías de
enlace que aparecen en la tabla, determina
con carácter aproximado la entalpía
estándar de cada una de las reacciones
siguientes:

a) Br2 (g) + 3 F2 (g)       2 BrF3 (g)

b) CH2 = CH2 (g) + H2 (g)        CH3 – CH3 (g)

c) C2H5OH (g) + 3 O2 (g)         2 CO2 (g) + 3 H2O (g)
Caso concreto: ENTALPÍAS de COMBUSTIÓN



           Una reacción de combustión es la reacción de un compuesto
           con el oxígeno.


           Si el compuesto sólo tiene O, C y H se producirá CO2 y H2O


           Es la variación de energía que se produce cuando se quema un
           mol de sustancia en condiciones estándar


           Siempre son exotérmicas
Actividad 18



Formula la reacción de combustión del metano y calcula cuántos
kilogramos de este gas deben quemarse en condiciones estándar para
producir 2’7.106 kJ de calor si se sabe que sólo se aprovecha el 75 % del
calor obtenido en la combustión. (C = 12 ; H = 1)
 ΔHoc = -890 kJ.mol-1
LEY DE HESS


Si una reacción puede producirse en varias etapas, reales o
teóricas, su variación de entalpía es igual a la suma de las entalpías
de reacción de estas reacciones intermedias
EJEMPLO


                   N2O4 (g)             2 NO2 (g)


          ½ N2 (g) + O2 (g)   NO2 (g)      Δ Hf0 = +33’85 kJ

          N2 (g) + 2 O2 (g)   N2O4 (g)     ΔHfo = 9’66 kJ
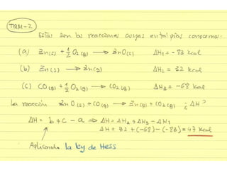
TQM - 2


Calcula el calor de reacción en el proceso:

            ZnO (s) + CO (g)     Zn (g) + CO2 (g) ¿ ΔH?

A partir de los siguientes datos: calor (entalpía) de formación del ZnO(s)
Δ H1 = -83 Kcal/mol ; calor (entalpía) de vaporización del Zn, ΔH2 = 32
Kcal/mol ; calor (entalpía) de combustión del CO, ΔH3 = -68 Kcal
http://about.me/profesorjano

                www.profesorjano.org




                www.profesorjano.com


profesorjano@gmail.com

Termoquímica 1 jano

  • 1.
  • 2.
    1 CONCEPTOS BÁSICOS 2 PRIMER PRINCIPIO DE LA TERMODINÁMICA Calor (Q) y trabajo (W) Qp y Q v Entalpías Ley de Hess Entalpías de enlace 3 SEGUNDO PRINCIPIO DE LA TERMODINÁMICA Entropía Energía Libre Espontaneidad
  • 3.
    REACCIONES EXOTÉRMICAS Se desprende calor ΔH < 0 (diagrama entálpico)
  • 4.
    REACCIONES ENDOTÉRMICAS Se absobe calor ΔH > 0 (diagrama entálpico)
  • 5.
  • 6.
    Ejercicio Sea la reacción: H2SO4 (aq) + Zn (s)  ZnSO4 (s) + H2 (g) ΔH = -80 Kcal/mol a) ¿Qué calor se obtiene al consumir 800 mL de disolución 0’35 M de H2SO4 con zinc en exceso? b) ¿Qué masa de agua elevará 25oC su temperatura al consumir 143 g de H2SO4 con zinc en exceso? Ce H2O = 4’18 kJ oC Kg-1 ; S = 32 ; H = 1 ; O =16
  • 7.
  • 8.
    SISTEMA Parte del universo arbitraria universo
  • 9.
    VARIABLES TERMODINÁMICAS (dependen dela cantidad de materia) (no dependen de la cantidad de materia) EXTENSIVAS INTENSIVAS Ej.: energía libre, Ej.: presión, volumen, entropía FUNCIONES DE ESTADO temperatura (su valor sólo depende del estado inicial y final del sistema) En termodinámica es importante diferenciar bien el estado inicial y final
  • 10.
    PRIMER PRINCIPIO DELA TERMODINÁMICA La energía total (Q + W) del universo en cualquier proceso termodinámico se mantiene constante. Esto significa que la energía se transfiere pero no se pierde. Para un sistema ΔU = Q + W U = ENERGÍA INTERNA DEL SISTEMA (cinética y potencial), inluye energía asociada al movimiento de las partículas, en los enlaces químicos, atracciones intermoleculares y la asociadad a los electrones de los átomos.
  • 11.
    CONVENIO TERMODINÁMICO Q >0 : calor absorbido por el sistema. Aumenta la energía Q < 0 : calor desprendido por el sistema. Disminuye la energía del sistema. W > 0 : trabajo realizado sobre el sistema. Aumenta la energía del sistema W < 0 : trabajo realizado por el sistema. Disminuye la energía del sistema.
  • 12.
    Ejercicio Un sistema realizaun trabajo de 150 J sobre el entorno y absorbe 80 J de calor. Halla la variación de energía interna del sistema
  • 13.
  • 14.
    Trabajo en unareacción química Partimos de un recipiente de volumen variable ?
  • 15.
    Consideraciones Si ΔV > 0, hay expansión del sistema y es él quien hace el trabajo. Por lo tanto W < 0 Si ΔV < 0, hay compresión del sistema y se hace un trabajo sobre él. Por lo tanto W > 0
  • 16.
    Caso 1 PROCESO ISOCÓRICO ; V = cte (recipiente cerrado) ΔV = 0  W = - p . ΔV = 0 ΔU = Q + W  ΔU = Qv + 0  ΔU = Qv El incremento de energía interna es igual al calor del proceso realizado a volumen constante.
  • 17.
    PROCESO ISOBÁRICO ;P = cte (recipiente abierto) Caso 2 Concepto de ENTALPÍA U Qp W U2 U1 Qp p V2 V1 U2 U1 Qp p V2 p V1 Qp U2 p V2 U1 p V1 • p.V, tiene unidades de energía • U, tiene unidades de energía, luego... • U + p.V también. • U + p. V es una energía que se define como ENTALPÍA = H Qp H2 H1 H El incremento de energía entalpía es igual al calor del proceso realizado a presión constante.
  • 18.
    PROCESO ISOBÁRICO ;P = cte (recipiente abierto) Caso 2 Concepto de ENTALPÍA U Qp W U2 U1 Qp p V2 V1 U2 U1 Qp p V2 p V1 Qp U2 p V2 U1 p V1
  • 19.
    Ejercicio nº 3 Parael proceso H2 (g) + ½ O2 (g) H2O (l) La variación de la energía interna a una temperatura de 25oC y una presión constante de 1 atm es ΔU = - 282 kJ. Determina ΔH a esa temperatura y presión. R = 8’31 J. oK-1 . mol-1
  • 21.
    ENTALPÍA ESTÁNDAR deuna REACCIÓN Condiciones estándar Tª = 25oC P = 1 atm ECUACIÓN TERMOQUÍMICA 2 H2 (g) + O2 (g) 2 H2O (l) ΔHo = - 571 Kj muestran estado físico muestra entalpía de la reacción 2 H2O (l) 2 H2 (g) + O2 (g) ΔHo = + 571 Kj
  • 22.
    Caso concreto: ENTALPÍAESTÁNDAR DE FORMACIÓN ΔHof, es la variación de entalpía correspondientes a la formación de un mol de sustancia en su estado estándar a partir de sus elementos. Se considera que la entalpía de formación estándar de un elemento es cero. Para una reacción: aA + bB cC + dD
  • 23.
    Ejercicio nº 4 Dadaslas entalpías de formación estándar: ΔHfo CO(g) = -110’5 kJ/mol ; ΔHfo CO2(g) = -393’5 kJ/mol, halla ΔHfo para la reacción: CO (g) + ½ O2 (g) CO2 (g)
  • 25.
    Caso concreto: ENTALPÍASde ENLACE Una reacción química es, en realidad, una rotura de enlaces y la formación de otros. La entalpía estándar es un reacción es la suma de las entalpías de los enlaces rotos menos la suma de las entalpías d elos enlaces formados. consume energía produce energía
  • 26.
    Actividad 22 Utilizando losvalores de las entalpías de enlace que aparecen en la tabla, determina con carácter aproximado la entalpía estándar de cada una de las reacciones siguientes: a) Br2 (g) + 3 F2 (g) 2 BrF3 (g) b) CH2 = CH2 (g) + H2 (g) CH3 – CH3 (g) c) C2H5OH (g) + 3 O2 (g) 2 CO2 (g) + 3 H2O (g)
  • 30.
    Caso concreto: ENTALPÍASde COMBUSTIÓN Una reacción de combustión es la reacción de un compuesto con el oxígeno. Si el compuesto sólo tiene O, C y H se producirá CO2 y H2O Es la variación de energía que se produce cuando se quema un mol de sustancia en condiciones estándar Siempre son exotérmicas
  • 31.
    Actividad 18 Formula lareacción de combustión del metano y calcula cuántos kilogramos de este gas deben quemarse en condiciones estándar para producir 2’7.106 kJ de calor si se sabe que sólo se aprovecha el 75 % del calor obtenido en la combustión. (C = 12 ; H = 1) ΔHoc = -890 kJ.mol-1
  • 33.
    LEY DE HESS Siuna reacción puede producirse en varias etapas, reales o teóricas, su variación de entalpía es igual a la suma de las entalpías de reacción de estas reacciones intermedias
  • 34.
    EJEMPLO N2O4 (g) 2 NO2 (g) ½ N2 (g) + O2 (g) NO2 (g) Δ Hf0 = +33’85 kJ N2 (g) + 2 O2 (g) N2O4 (g) ΔHfo = 9’66 kJ
  • 35.
    TQM - 2 Calculael calor de reacción en el proceso: ZnO (s) + CO (g) Zn (g) + CO2 (g) ¿ ΔH? A partir de los siguientes datos: calor (entalpía) de formación del ZnO(s) Δ H1 = -83 Kcal/mol ; calor (entalpía) de vaporización del Zn, ΔH2 = 32 Kcal/mol ; calor (entalpía) de combustión del CO, ΔH3 = -68 Kcal
  • 37.
    http://about.me/profesorjano www.profesorjano.org www.profesorjano.com profesorjano@gmail.com

Notas del editor

  • #4 Las reaccionesexotérmicas son aquellasquecuandosucedendesprendencalor.
  • #5 Las REACCIONES ENDOTÉRMICAS son aquellasqueparaquetenganlugarnecesitanrecibircalor (enfrían el entorno en un sistemaabierto o cerrado)
  • #6 Observacomo en ambos casos la reaccióntienequepasarpor un estado de energía mayor al estado final e inicialquerecibe el nombre de COMPLEJO ACTIVADO. La energíanecesariaparaalcanzareseestadodesde el nivelenergético de los reactivos se llama ENERGÍA DE ACTIVIACIÓN.
  • #7 © PROFESOR JANO
  • #8 Quehaya zinc en excesosignificaque el ácidosulfúricoes el reactivolimitante y el que hay quetener en cuenta a la hora de hacercálculos. Para otrosproblemas ten en cuentaque en el caso del AGUA un ml es 1 gramo y un litro 1 kg.© PROFESOR JANO
  • #9 TERMODINÁMICA: es la cienciaquetrata de los cambios de energíaque se producen en los procesosfísico y químicos. (sisólo se fija en los cambiosquímicos: TERMOQUÍMICA).© PROFESOR JANO
  • #10 © PROFESOR JANO
  • #11 © PROFESOR JANO
  • #35 Observa el ejemplo 8 del libro.