Trabajo de calculo 2
Función exponencial
Ejemplos de funciones exponenciales
1. 7 x + 6 = 7 3x – 4
2. 3 2x + 3 = 3 (x2)
3. 2 – 100x = 0.5x – 4
4. f (x) = 2x
5. f (x) = (2/5) –x
Función logarítmica
En análisis matemático, usualmente, el logaritmo de un número real positivo —en una
base de logaritmo determinada— es el exponente al cual hay que elevar la base para
obtener dicho número. Por ejemplo, el logaritmo de 1000 en base 10 es 3, porque 1000 es
igual a 10 a la potencia 3: 1000 = 103 = 10×10×10.
De la misma manera que la operación opuesta de la suma es la resta y la de
la multiplicación la división, el cálculo de logaritmos es la operación inversa a
la exponenciación de la base del logaritmo.
Para representar la operación de logaritmo en una determinada base se escribe la
abreviatura log y como subíndice la base y después el número resultante del que
deseamos hallar el logaritmo. Por ejemplo, 35=243 luego log3243=5. Cuando se
sobreentiende la base, se puede omitir.
Los logaritmos fueron introducidos por John Napier a principios del siglo XVII como un
medio de simplificación de los cálculos. Estos fueron prontamente adoptados por
científicos, ingenieros, banqueros y otros para realizar operaciones fácil y rápidamente,
usando cálculo tablas de logaritmos.
Dado un número real (argumento x), la función logaritmo le asigna el exponente n (o
potencia) a la que un número fijo b(base) se ha de elevar para obtener dicho argumento.
Los logaritmos, independientemente de la base elegida, cumplen una serie de propiedades
comunes que los caracterizan. Así, logaritmo de su base es siempre 1; logb b = 1 ya
que b1 = b. El logaritmo de 1 es cero (independientemente de la base); logb 1=0 ya
que b0 = 1.
Si el número real a se encuentra dentro del intervalo 0 < a < 1 entonces logb a da un valor
negativo o se dice que es un logaritmo negativo. Es evidente, ya que si logaritmo de 1 es
cero, entonces valores reales menores que uno serán negativos por ser la función
logarítmica estrictamente creciente y cuyo recorrido es (-∞, +∞). También usando la
identidad logarítmica logb(x/y)=logb x - logb y; puesto que a pertenece al intervalo
0 < a < 1, su inverso a-1 será mayor que uno, con lo que logb(a)=logb(1/a-1) = logb 1 -
logb(a-1)= -logb(a-1).
Los números negativos no tienen logaritmo en el cuerpo de los reales R, ya que cualquiera
que sea el exponente n, se tendrá siempre que bn será mayor que cero, bn > 0; en
consecuencia, no hay ningún valor real de n que pueda satisfacerbn = x cuando x sea
menor que 0. Sin embargo, este obstáculo se puede salvar, ampliando el dominio de
definición al cuerpo de los números complejos C, pudiendo calcular logaritmos de números
negativos usando el logaritmo complejo o recurriendo a la fórmula de Euler.
Las potencias consecutivas de una base forman una progresión geométrica y la de los
exponentes una progresión aritmética. Por ejemplo, las potencias de 2 son
1,2,4,8,16,32,64,..., etc. y sus exponentes serán 0, 1, 2, 3, 4,..., etc. ya que 20 = 1, 21 = 2,
22 = 4, 23 = 8, y 24 = 16, etc. luego log2 1 = 0, log2 2 = 1, log2 4 = 2, log2 8 = 3 y log2 16 = 4,
etc.
En esta parte se destaca la capacidad operativa del uso de logaritmos en el sentido de
operaciones coligadas; mediante logaritmos, una operación se convierte en otra operación
de menor nivel. Por ejemplo, un producto de n factores se reduce a una adición de n
sumandos.
Ciertamente, las siguientes proposiciones funcionan como identidades para los valores de
su dominio de definición. Sin embargo, el éxito de la invención y uso de los logaritmos,
justamente, radicó en poder convertir productos en sumas; cocientes en restas; potencia
en producto y raíz de grado n en un cociente. Este hecho permite decir que, en su
momento, el uso de logaritmos produjo un cambio revolucionario en los cálculos,
empleados en la astronomía, navegación y matemática financiera aplicada a la banca y los
negocios colaterales
Los logaritmos son fáciles de calcular en algunos casos, tales como log10 (1000) = 3. En
general, los logaritmos pueden ser calculados usando series de potencias o la media
aritmético-geométrica, o ser obtenidos de una tabla de logaritmosprecalculada que
proporciona una precisión fijada.15 16
El método de Newton, un método iterativo para
resolver ecuaciones aproximadamente, puede ser usado también para calcular el
logaritmo, porque su función inversa, la función exponencial, puede ser calculada
eficientemente.17
Usando tablas de referencias, métodos como CORDIC pueden ser
usados para calcular logaritmos si las únicas operaciones disponibles son la adición y
el desplazamiento de bits
Ejemplos de funciones logarítmicas
Función trigonométrica
En matemáticas, las funciones trigonométricas son las funciones establecidas con el fin
de extender la definición de las razones a todos los números reales y complejos.
Las funciones trigonométricas son de gran importancia
en física, astronomía, cartografía, náutica, telecomunicaciones, la representación de
fenómenos periódicos, y otras muchas aplicaciones.
Las funciones trigonométricas se definen comúnmente como el cociente entre dos lados
de un triángulo rectángulo asociado a sus ángulos. Las funciones trigonométricas son
funciones cuyos valores son extensiones del concepto de razón trigonométrica en un
triángulo rectángulo trazado en una circunferencia unitaria (de radio unidad). Definiciones
más modernas las describen como series infinitas o como la solución de ciertas
ecuaciones diferenciales, permitiendo su extensión a valores positivos y negativos, e
incluso a números complejos.
Existen seis funciones trigonométricas básicas. Las últimas cuatro, se definen en relación
de las dos primeras funciones, aunque se pueden definir geométricamente o por medio de
sus relaciones. Algunas funciones fueron comunes antiguamente, y aparecen en las
primeras tablas, pero no se utilizan actualmente; por ejemplo el verseno (1 − cos θ) y la ex
secante(sec θ − 1).
Para definir las razones trigonométricas del ángulo: del vértice A, se parte de un
triángulo arbitrario que contiene a este ángulo. El nombre de los lados de este triángulo
rectángulo que se usará en el sucesivo será:
 La hipotenusa (h) es el lado opuesto al ángulo recto, o lado de mayor longitud del
triángulo rectángulo.
 El cateto opuesto (a) es el lado opuesto al ángulo .
 El cateto adyacente (b) es el lado adyacente al ángulo .
Todos los triángulos considerados se encuentran en el Plano Euclidiano, por lo que la
suma de sus ángulos internos es igual a π radianes (o 180°). En consecuencia, en
cualquier triángulo rectángulo los ángulos no rectos se encuentran entre 0 y π/2 radianes.
Las definiciones que se dan a continuación definen estrictamente las funciones
trigonométricas para ángulos dentro de ese rango:
1) El seno de un ángulo es la relación entre la longitud del cateto opuesto
2) El coseno de un ángulo es la relación entre la longitud del cateto adyacente
3) La tangente de un ángulo es la relación entre la longitud del cateto opuesto
4) La cotangente de un ángulo es la relación entre la longitud del cateto adyacente y
la del opuesto
5) La secante de un ángulo es la relación entre la longitud de la hipotenusa y la
longitud del cateto adyacente
6) La cosecante de un ángulo es la relación entre la longitud de la hipotenusa y la
longitud del cateto opuesto
Ejemplos de funciones trigonométricas
1)
Sen 30° = 4/x
Sen 30° = 1/2
4/x = 1/2
x = 8
Cos 30° = y / x
Cos 30° = .86
Y / x = y / 8 = .86
y = 6.9
2) Sen 45 ° = 7/x
Sen 45° = .70
7/x = .7
x = 9.9
Cos 45° = y/x
Cos 45° = .7
Y/x = y/9.9 = .7
y= 7
3) Sen θ = 4/5
Cos θ = 3/5
Tan θ = 4/3
Cot θ = 3/4
Sec θ = 5/3
Csc θ = 5/4
4) a2 + 22 = 52
a =
Sen θ = 2/5
Cos θ = /5
Tan θ = 2/
Cot θ = /2
Sec θ = 5/
Csc θ = 5/2
5)
a2 + b2 = c2
c =
Sen θ = a/
Cos θ = b/
Tan θ = a/b
Cot θ = b/a
Sec θ = /b
Csc θ = /a
Función inversa
Sabemos que una función es un conjunto de pares. Se nos puede ocurrir la idea de dar la
vuelta a los pares y obtener así una nueva función. Hagámoslo con la función:
f = { (1, 2), (2, 4), (3, -1), (4, -2) }
y observemos qué pasa llamando g al conjunto resultante:
g = { (2, 1), (4, 2), (-1, 3), (-2, 4) }
Hemos obtenido una nueva función.
Sin embargo, esto no funciona siempre. Tomemos ahora como f el conjunto:
f = { (1, 2), (2, 4), (3, -1), (4, 2) }
y, entonces, g será:
g = { (2, 1), (4, 2), (-1, 3), (2, 4) }
que no es una función, pues g(2) no está determinado de forma única; es decir, g no
cumple la condición de función. Existen dos pares, (2, 1) y (2, 4), que tienen la misma
primera coordenada y la segunda coordenada es distinta.
¿Cuál es la diferencia entre estos dos ejemplos? Sencillamente, que en el segundo
ejemplo f(1)=f(4)=2 y al darle la vuelta a los pares, g(2) no está determinado de forma
única; con lo cual g no es una función. En el primer ejemplo, para valores diferentes de la
"x" se obtienen valores diferentes de la "y". Las funciones que se comportan como la del
primer ejemplo se llaman funciones inyectivas o uno a uno.
DEFINICIÓN: Una función f es inyectiva o uno a uno si f(a) es distinto de f(b) cuando a es
distinto de b.
Cuando al invertir los pares de que consta una función se obtiene otra función, decimos
que dicha función tiene inversa (también llamada recíproca). Por lo dicho anteriormente,
sólo tienen inversas las funciones inyectivas.
DEFINICIÓN: Si f es una función inyectiva, llamamos función inversa de f y la
representamos por f-1 al conjunto:
f-1 = { (a, b) / (b, a) Î f }
Es decir, f-1 = { (x, y) / x=f(y), si y es del dominio de f } = { (f(y), y) / si y es del dominio de f
}
De la definición se sigue inmediatamente que el dominio de la función inversa f-1 es el
rango de f y, recíprocamente, el rango de f-1 es el dominio de f. También es fácil observar
que f-1(a)=b es equivalente a decir que f(b)=a. Utilizando la "x" y la "y" que tan
acostumbrado estamos a usarlas cuando se habla de funciones: f-1(x)=y es equivalente a
decir que f(y)=x. Otra forma de decir esto es: f(f-1(x))=x (donde x pertenece al rango de f),
o bien, f-1(f(x))=x (donde x pertenece al dominio de f). Utilizando la composición de
funciones y llamando I (función Identidad) a la función definida por I(x)=x, podemos
escribir:
Fof-1 = I y f-1of = I
Salvo que el segundo miembro de estas dos igualdades tendrá un dominio más amplio que
el primer miembro si el dominio de f o de f-1 no es todo R.
Por cierto, si una función tiene inversa, ¿a qué será igual (f-1)-1, o sea, la función inversa
de la función inversa?
La idea de función inversa se ha utilizado muchas veces en los cursos anteriores a este
nivel, sólo que no se le ha dado nombre. Recordar cómo se definía raíz cuadrada, cúbica...
Para determinar si una función tiene inversa tenemos que observar sus pares y ver si es
inyectiva. Esto es muy fácil de hacer cuando la función viene dada por una lista de pares.
Cuando la función viene definida por una propiedad, todo se complica y no siempre
tendremos suficientes conocimientos matemáticos para determinar tal circunstancia (del
mismo modo que nos pasaba cuando queríamos determinar si un determinado conjunto
era o no función).
La representación gráfica de la función nos permitirá saber si la función tiene inversa o no,
al menos en los casos más comunes. Basta observar que la definición de función inyectiva
significa, gráficamente, que no hay dos puntos de la función situados sobre la misma recta
horizontal. O dicho de otra forma, a partir de la representación gráfica de f, se construye la
representación gráfica del conjunto de pares invertidos y se observa si este conjunto es
función o no.
Se llama función inversa o reciproca de f a otra
función f−1 que c umple que:
Si f(a) = b, entonces f−1(b) = a.
Veamos un ejemplo a partir de la func ión f(x) = x + 4
Podemos observar que:
.El dominio de f−1 es el rec orrido de f.
.El rec orrido de f−1 es el dominio de f.
Si quere mo s hallar el rec orrido de una func ión tenemos que
hallar el dominio de su func ión inversa.
Si dos funciones son inversas su composición es la función
identidad .
(f o f−1) (x) = (f−1 o f) (x) = x
Las gráfic as de f y f-1 son simétric as respec to de la bisec triz del
prime r y terc er c uadrante.
Hay que distinguir entre la función inversa, f−1(x), y la inversa
de una función,
Cálculo de la función inversa
1. Se esc ribe la ec uac ión de la func ión c on x e y.
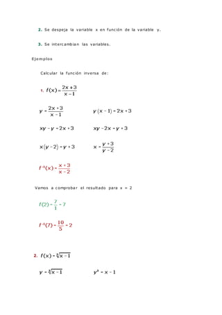
2. Se despeja la variable x en func ión de la variable y.
3. Se interc ambia n las variables.
Ejemplos
Calc ular la func ión inversa de:
1.
Vamos a c omproba r el resultado para x = 2
2.
3.
Ejemplos de funciones inversas
1.
.
.
.
.
Trabajo de calculo 2

Trabajo de calculo 2

  • 1.
    Trabajo de calculo2 Función exponencial
  • 3.
    Ejemplos de funcionesexponenciales 1. 7 x + 6 = 7 3x – 4
  • 4.
    2. 3 2x+ 3 = 3 (x2) 3. 2 – 100x = 0.5x – 4 4. f (x) = 2x 5. f (x) = (2/5) –x
  • 5.
    Función logarítmica En análisismatemático, usualmente, el logaritmo de un número real positivo —en una base de logaritmo determinada— es el exponente al cual hay que elevar la base para obtener dicho número. Por ejemplo, el logaritmo de 1000 en base 10 es 3, porque 1000 es igual a 10 a la potencia 3: 1000 = 103 = 10×10×10. De la misma manera que la operación opuesta de la suma es la resta y la de la multiplicación la división, el cálculo de logaritmos es la operación inversa a la exponenciación de la base del logaritmo. Para representar la operación de logaritmo en una determinada base se escribe la abreviatura log y como subíndice la base y después el número resultante del que deseamos hallar el logaritmo. Por ejemplo, 35=243 luego log3243=5. Cuando se sobreentiende la base, se puede omitir. Los logaritmos fueron introducidos por John Napier a principios del siglo XVII como un medio de simplificación de los cálculos. Estos fueron prontamente adoptados por científicos, ingenieros, banqueros y otros para realizar operaciones fácil y rápidamente, usando cálculo tablas de logaritmos. Dado un número real (argumento x), la función logaritmo le asigna el exponente n (o potencia) a la que un número fijo b(base) se ha de elevar para obtener dicho argumento. Los logaritmos, independientemente de la base elegida, cumplen una serie de propiedades comunes que los caracterizan. Así, logaritmo de su base es siempre 1; logb b = 1 ya que b1 = b. El logaritmo de 1 es cero (independientemente de la base); logb 1=0 ya que b0 = 1. Si el número real a se encuentra dentro del intervalo 0 < a < 1 entonces logb a da un valor negativo o se dice que es un logaritmo negativo. Es evidente, ya que si logaritmo de 1 es cero, entonces valores reales menores que uno serán negativos por ser la función logarítmica estrictamente creciente y cuyo recorrido es (-∞, +∞). También usando la identidad logarítmica logb(x/y)=logb x - logb y; puesto que a pertenece al intervalo 0 < a < 1, su inverso a-1 será mayor que uno, con lo que logb(a)=logb(1/a-1) = logb 1 - logb(a-1)= -logb(a-1). Los números negativos no tienen logaritmo en el cuerpo de los reales R, ya que cualquiera que sea el exponente n, se tendrá siempre que bn será mayor que cero, bn > 0; en consecuencia, no hay ningún valor real de n que pueda satisfacerbn = x cuando x sea menor que 0. Sin embargo, este obstáculo se puede salvar, ampliando el dominio de definición al cuerpo de los números complejos C, pudiendo calcular logaritmos de números negativos usando el logaritmo complejo o recurriendo a la fórmula de Euler. Las potencias consecutivas de una base forman una progresión geométrica y la de los exponentes una progresión aritmética. Por ejemplo, las potencias de 2 son 1,2,4,8,16,32,64,..., etc. y sus exponentes serán 0, 1, 2, 3, 4,..., etc. ya que 20 = 1, 21 = 2,
  • 6.
    22 = 4,23 = 8, y 24 = 16, etc. luego log2 1 = 0, log2 2 = 1, log2 4 = 2, log2 8 = 3 y log2 16 = 4, etc. En esta parte se destaca la capacidad operativa del uso de logaritmos en el sentido de operaciones coligadas; mediante logaritmos, una operación se convierte en otra operación de menor nivel. Por ejemplo, un producto de n factores se reduce a una adición de n sumandos. Ciertamente, las siguientes proposiciones funcionan como identidades para los valores de su dominio de definición. Sin embargo, el éxito de la invención y uso de los logaritmos, justamente, radicó en poder convertir productos en sumas; cocientes en restas; potencia en producto y raíz de grado n en un cociente. Este hecho permite decir que, en su momento, el uso de logaritmos produjo un cambio revolucionario en los cálculos, empleados en la astronomía, navegación y matemática financiera aplicada a la banca y los negocios colaterales Los logaritmos son fáciles de calcular en algunos casos, tales como log10 (1000) = 3. En general, los logaritmos pueden ser calculados usando series de potencias o la media aritmético-geométrica, o ser obtenidos de una tabla de logaritmosprecalculada que proporciona una precisión fijada.15 16 El método de Newton, un método iterativo para resolver ecuaciones aproximadamente, puede ser usado también para calcular el logaritmo, porque su función inversa, la función exponencial, puede ser calculada eficientemente.17 Usando tablas de referencias, métodos como CORDIC pueden ser usados para calcular logaritmos si las únicas operaciones disponibles son la adición y el desplazamiento de bits Ejemplos de funciones logarítmicas
  • 8.
    Función trigonométrica En matemáticas,las funciones trigonométricas son las funciones establecidas con el fin de extender la definición de las razones a todos los números reales y complejos. Las funciones trigonométricas son de gran importancia en física, astronomía, cartografía, náutica, telecomunicaciones, la representación de fenómenos periódicos, y otras muchas aplicaciones. Las funciones trigonométricas se definen comúnmente como el cociente entre dos lados de un triángulo rectángulo asociado a sus ángulos. Las funciones trigonométricas son funciones cuyos valores son extensiones del concepto de razón trigonométrica en un triángulo rectángulo trazado en una circunferencia unitaria (de radio unidad). Definiciones más modernas las describen como series infinitas o como la solución de ciertas ecuaciones diferenciales, permitiendo su extensión a valores positivos y negativos, e incluso a números complejos. Existen seis funciones trigonométricas básicas. Las últimas cuatro, se definen en relación de las dos primeras funciones, aunque se pueden definir geométricamente o por medio de sus relaciones. Algunas funciones fueron comunes antiguamente, y aparecen en las primeras tablas, pero no se utilizan actualmente; por ejemplo el verseno (1 − cos θ) y la ex secante(sec θ − 1). Para definir las razones trigonométricas del ángulo: del vértice A, se parte de un triángulo arbitrario que contiene a este ángulo. El nombre de los lados de este triángulo rectángulo que se usará en el sucesivo será:  La hipotenusa (h) es el lado opuesto al ángulo recto, o lado de mayor longitud del triángulo rectángulo.  El cateto opuesto (a) es el lado opuesto al ángulo .  El cateto adyacente (b) es el lado adyacente al ángulo . Todos los triángulos considerados se encuentran en el Plano Euclidiano, por lo que la suma de sus ángulos internos es igual a π radianes (o 180°). En consecuencia, en cualquier triángulo rectángulo los ángulos no rectos se encuentran entre 0 y π/2 radianes. Las definiciones que se dan a continuación definen estrictamente las funciones trigonométricas para ángulos dentro de ese rango: 1) El seno de un ángulo es la relación entre la longitud del cateto opuesto 2) El coseno de un ángulo es la relación entre la longitud del cateto adyacente 3) La tangente de un ángulo es la relación entre la longitud del cateto opuesto 4) La cotangente de un ángulo es la relación entre la longitud del cateto adyacente y la del opuesto
  • 9.
    5) La secantede un ángulo es la relación entre la longitud de la hipotenusa y la longitud del cateto adyacente 6) La cosecante de un ángulo es la relación entre la longitud de la hipotenusa y la longitud del cateto opuesto Ejemplos de funciones trigonométricas 1) Sen 30° = 4/x Sen 30° = 1/2 4/x = 1/2 x = 8 Cos 30° = y / x Cos 30° = .86 Y / x = y / 8 = .86 y = 6.9 2) Sen 45 ° = 7/x
  • 10.
    Sen 45° =.70 7/x = .7 x = 9.9 Cos 45° = y/x Cos 45° = .7 Y/x = y/9.9 = .7 y= 7 3) Sen θ = 4/5 Cos θ = 3/5 Tan θ = 4/3 Cot θ = 3/4 Sec θ = 5/3 Csc θ = 5/4
  • 11.
    4) a2 +22 = 52 a = Sen θ = 2/5 Cos θ = /5 Tan θ = 2/ Cot θ = /2 Sec θ = 5/ Csc θ = 5/2 5) a2 + b2 = c2 c = Sen θ = a/ Cos θ = b/ Tan θ = a/b Cot θ = b/a Sec θ = /b Csc θ = /a
  • 12.
    Función inversa Sabemos queuna función es un conjunto de pares. Se nos puede ocurrir la idea de dar la vuelta a los pares y obtener así una nueva función. Hagámoslo con la función: f = { (1, 2), (2, 4), (3, -1), (4, -2) } y observemos qué pasa llamando g al conjunto resultante: g = { (2, 1), (4, 2), (-1, 3), (-2, 4) } Hemos obtenido una nueva función. Sin embargo, esto no funciona siempre. Tomemos ahora como f el conjunto: f = { (1, 2), (2, 4), (3, -1), (4, 2) } y, entonces, g será: g = { (2, 1), (4, 2), (-1, 3), (2, 4) } que no es una función, pues g(2) no está determinado de forma única; es decir, g no cumple la condición de función. Existen dos pares, (2, 1) y (2, 4), que tienen la misma primera coordenada y la segunda coordenada es distinta. ¿Cuál es la diferencia entre estos dos ejemplos? Sencillamente, que en el segundo ejemplo f(1)=f(4)=2 y al darle la vuelta a los pares, g(2) no está determinado de forma única; con lo cual g no es una función. En el primer ejemplo, para valores diferentes de la "x" se obtienen valores diferentes de la "y". Las funciones que se comportan como la del primer ejemplo se llaman funciones inyectivas o uno a uno. DEFINICIÓN: Una función f es inyectiva o uno a uno si f(a) es distinto de f(b) cuando a es distinto de b. Cuando al invertir los pares de que consta una función se obtiene otra función, decimos que dicha función tiene inversa (también llamada recíproca). Por lo dicho anteriormente, sólo tienen inversas las funciones inyectivas. DEFINICIÓN: Si f es una función inyectiva, llamamos función inversa de f y la representamos por f-1 al conjunto: f-1 = { (a, b) / (b, a) Î f } Es decir, f-1 = { (x, y) / x=f(y), si y es del dominio de f } = { (f(y), y) / si y es del dominio de f } De la definición se sigue inmediatamente que el dominio de la función inversa f-1 es el rango de f y, recíprocamente, el rango de f-1 es el dominio de f. También es fácil observar que f-1(a)=b es equivalente a decir que f(b)=a. Utilizando la "x" y la "y" que tan acostumbrado estamos a usarlas cuando se habla de funciones: f-1(x)=y es equivalente a decir que f(y)=x. Otra forma de decir esto es: f(f-1(x))=x (donde x pertenece al rango de f), o bien, f-1(f(x))=x (donde x pertenece al dominio de f). Utilizando la composición de funciones y llamando I (función Identidad) a la función definida por I(x)=x, podemos escribir: Fof-1 = I y f-1of = I
  • 13.
    Salvo que elsegundo miembro de estas dos igualdades tendrá un dominio más amplio que el primer miembro si el dominio de f o de f-1 no es todo R. Por cierto, si una función tiene inversa, ¿a qué será igual (f-1)-1, o sea, la función inversa de la función inversa? La idea de función inversa se ha utilizado muchas veces en los cursos anteriores a este nivel, sólo que no se le ha dado nombre. Recordar cómo se definía raíz cuadrada, cúbica... Para determinar si una función tiene inversa tenemos que observar sus pares y ver si es inyectiva. Esto es muy fácil de hacer cuando la función viene dada por una lista de pares. Cuando la función viene definida por una propiedad, todo se complica y no siempre tendremos suficientes conocimientos matemáticos para determinar tal circunstancia (del mismo modo que nos pasaba cuando queríamos determinar si un determinado conjunto era o no función). La representación gráfica de la función nos permitirá saber si la función tiene inversa o no, al menos en los casos más comunes. Basta observar que la definición de función inyectiva significa, gráficamente, que no hay dos puntos de la función situados sobre la misma recta horizontal. O dicho de otra forma, a partir de la representación gráfica de f, se construye la representación gráfica del conjunto de pares invertidos y se observa si este conjunto es función o no. Se llama función inversa o reciproca de f a otra función f−1 que c umple que: Si f(a) = b, entonces f−1(b) = a. Veamos un ejemplo a partir de la func ión f(x) = x + 4
  • 14.
    Podemos observar que: .Eldominio de f−1 es el rec orrido de f. .El rec orrido de f−1 es el dominio de f. Si quere mo s hallar el rec orrido de una func ión tenemos que hallar el dominio de su func ión inversa. Si dos funciones son inversas su composición es la función identidad . (f o f−1) (x) = (f−1 o f) (x) = x Las gráfic as de f y f-1 son simétric as respec to de la bisec triz del prime r y terc er c uadrante. Hay que distinguir entre la función inversa, f−1(x), y la inversa de una función, Cálculo de la función inversa 1. Se esc ribe la ec uac ión de la func ión c on x e y.
  • 15.
    2. Se despejala variable x en func ión de la variable y. 3. Se interc ambia n las variables. Ejemplos Calc ular la func ión inversa de: 1. Vamos a c omproba r el resultado para x = 2 2.
  • 16.
    3. Ejemplos de funcionesinversas 1. . .
  • 17.