Cauchy – Euler y Variación Parámetros
Ecuaciones Diferenciales Página 1
Ecuación de Cauchy – Euler
Una ecuación diferencial de la forma
1
1
1 11
... ( )
n n
n n
n n on n
d y d dy
a x a x a x a y g x
dxdx dx


 
     (1.1)
Donde 1, ,......n n oa a a son constantes se llama ecuación de Cauchy –
Euler.
Método de Solución
Probamos una solución de la forma m
y x , donde m debe ser
determinado, las derivadas primera y segunda son:
1
2
( 1)
m
m
dy
mx
dx
dy
m m x
dx



 
(1.2)
De modo que la ecuación diferencial se transforma en
 
 
2
2 2 2 1
2
1
( 1)
1
m m m
m m m
m
d y dy
ax bx cy ax m m x bx mx cx
dxdx
am m x bmx cx
x am m bm c
 
       
   
     
Así m
y x será solución de la ecuación diferencial cada vez que m
sea solución de la ecuación auxiliar.
2
( 1) 0
( ) 0
am m bm c
ó
am b a m c
   
   
(1.3)
Hay que considerar tres casos diferentes dependiendo de si las raíces
de esta ecuación cuadrática son reales y distintas reales e iguales o
complejas conjugadas.
Cauchy – Euler y Variación Parámetros
Ecuaciones Diferenciales Página 2
Caso I
Sean 1m y 2m raíces reales de (1.3) tales que 1 2m m , entonces:
1 2
1 2em m
y x y x  (1.4)
Forman un conjunto fundamental de soluciones, por lo tanto la
solución general es:
1 2
1 2
m m
y C x C x  (1.5)
Caso II
Si 1 2m m obtenemos una solución a saber, 1m
y x , cuando las
raíces de la ecuación cuadrática 2
( ) 0am b a m c    , son iguales, el
discriminante de los coeficientes es necesariamente cero. Por lo tanto
la solución general es:
1 2
1 2 lnm
y C x C xm x  (1.6)
Caso III
Si 1m y 2m son complejas conjugadas, digamos:
1 2,m i m i       (1.7)
Donde  y  son reales, entonces una solución formal es:
1 2
i i
y C x C x    
  (1.8)
Con
 ln lnii x i x
x e e
 
  (1.9)
La cual por la formula de Euler es la misma que
   cos ln lni
x x isen x
  
Cauchy – Euler y Variación Parámetros
Ecuaciones Diferenciales Página 3
Se deduce que la solución general es:
   1 2cos ln lny x C x C sen x
     (1.10)
Variación de Parámetros
Vimos que la solución general de la ecuación lineal
( ) ( )
dy
P y f x
dx
  (1.11)
Para motivar un método adicional para resolver ecuaciones lineales no
homogéneas de segundo orden, mediante un método conocido como
método de variación de parámetros.
Resumen del Método
En general no es recomendable memorizar formulas en lugar de tratar
de comprender un procedimiento. Sin embargo el procedimiento
precedente es demasiado largo y complicado para usarlo cada vez
que queramos resolver una ecuación diferencial.
En este caso es más eficiente usar simplemente las siguientes
formulas:
2
2 2
1
1 2
1 2
1
1 1
2
1 2
1 2
0
( ) ' ( )
'
' '
0
' ( ) ( )
'
' '
y
f x y y f x
U
y y W
y y
y
y
y f x y f x
U
y y W
y y
W Wroskiano
  
 

Cauchy – Euler y Variación Parámetros
Ecuaciones Diferenciales Página 4
En consecuencia para resolver '' ' ( )ay by cy g x   , donde , ya b c son
constantes, primero encuentre la función complementaria
1 1 2 2cy C y C y  y luego calcule el wroskiano.
1 2
1 2' '
y y
W
y y
 (1.12)
Dividiendo por a la ecuación de la forma '' ' ( )y Py Qy f x   , para
determinar ( )f x . Encuentre 1U y 2U integrando, es decir:
2 1
1 2
( ) ( )
' y '
y f x y f x
U U
W W
      (1.13)
Finalmente, forme la solución particular
1 1 2 2py U y U y  (1.14)
En consecuencia tenemos que:
c p
c
p
y y y
y complementaria
y particular
 


Ejemplo 1
Resuelva mediante variación de parámetros
2 4
'' 2 ' 2 x
x y xy y x e  
Solución
La sustitución m
y x conduce a la ecuación auxiliar
Cauchy – Euler y Variación Parámetros
Ecuaciones Diferenciales Página 5
  
 
  
1 2
2 2 1
2
2
2
, ' , '' ( 1)
1 2 2 0
2 2 0
2 2 0
3 2 0
2 1 0
m m m
m m m
m m m
m
m
m
y x y mx y m m x
x m m x x xmx x x
m m x mx x
x m m m
x m m
x m m
 
 
    
    
    
     
 
    
 
    
Por lo tanto las raíces son 2 12, 1m m  por lo tanto de acuerdo al caso
I tenemos:
1 2 2
1 2 1 2
m m
c cy C x C x y C x C x    
Antes de usar variación de parámetros recordemos que las formulas:
2
1
1
2
( )
'
( )
'
y f x
U
W
y
y f x
U
W
 

Fueron deducidas en el supuesto de la ecuación diferencial ha sido
reducida a la forma '' ( ) ' ( ) ( )y P x y Q x y f x   por lo tanto dividimos la
ecuación dada por 2
x y hacemos la identificación 2
( ) x
f x x e .
Ahora bien
2
2 2 2
2
1 2
x x
W x x x
x
   
Cauchy – Euler y Variación Parámetros
Ecuaciones Diferenciales Página 6
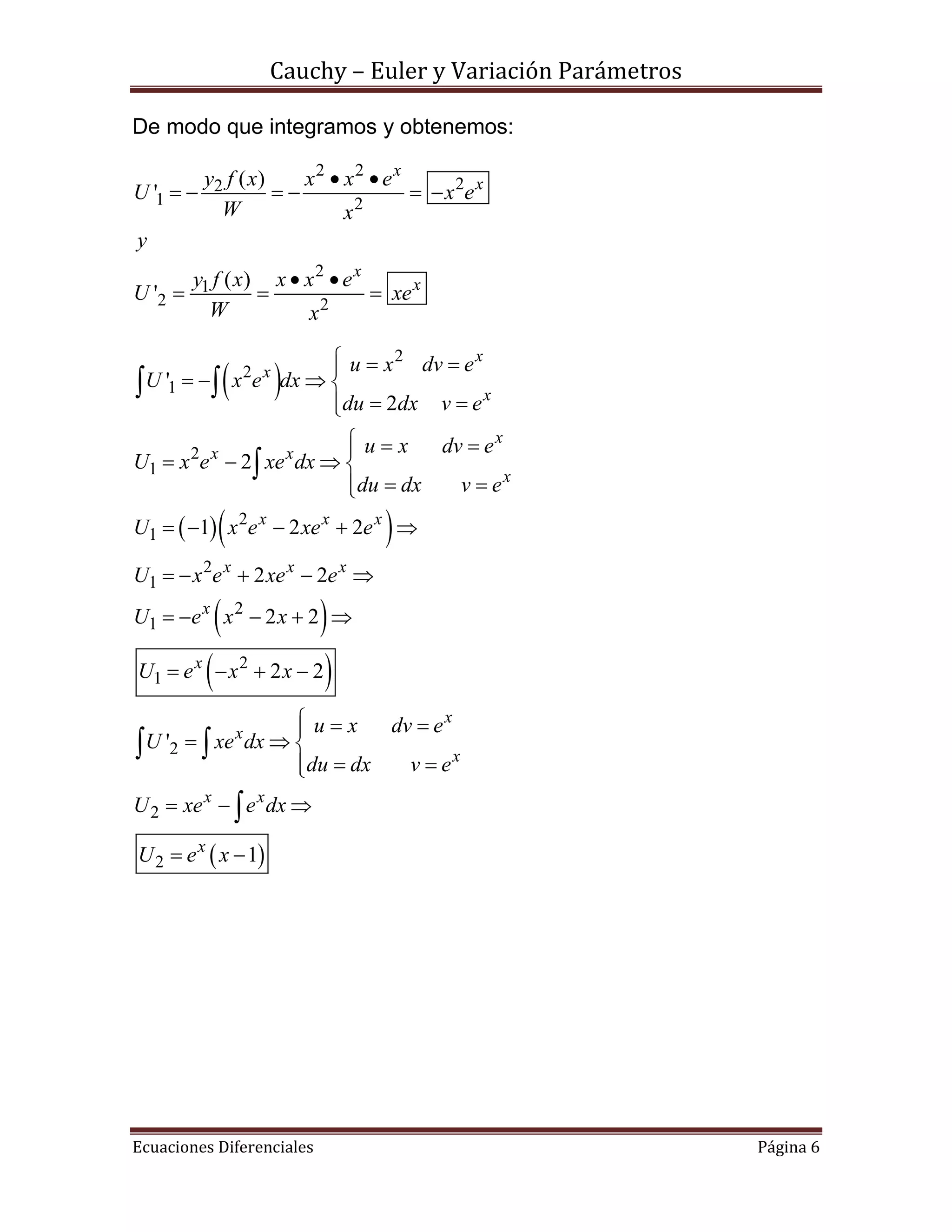
De modo que integramos y obtenemos:
2 2
22
1 2
2
1
2 2
( )
'
( )
'
x
x
x
x
y f x x x e
U x e
W x
y
y f x x x e
U xe
W x
 
     
 
  
 
  
 
 
2
2
1
2
1
2
1
2
1
2
1
2
1
2
'
2
2
1 2 2
2 2
2 2
2 2
'
x
x
x
x
x x
x
x x x
x x x
x
x
x
x
u x dv e
U x e dx
du dx v e
u x dv e
U x e xe dx
du dx v e
U x e xe e
U x e xe e
U e x x
U e x x
u x dv e
U xe dx
du dx v e
  
   
 
  
   
 
    
    
    
   
 
 
 
 


 
2
2 1
x
x x
x
U xe e dx
U e x



  
 


Cauchy – Euler y Variación Parámetros
Ecuaciones Diferenciales Página 7
Luego
   
1 1 2 2
2 2
3
2 2 1
p
x x
p
x
p
y U y U y
y e x x x e x x
y x e
  
     
  2 3
2 2x x x
x e xe x e   2
2
2
x
x x
p
x e
y x e xe

 
Finalmente tenemos:
2 2
1 2 2
c p
x x
y y y
y C x C x x e xe
  
   
Relación con coeficientes constantes la semejanza entre las formas de
las soluciones a las ecuaciones de Cauchy – Euler y a las ecuaciones
lineales con coeficientes constantes no es mera coincidencia: por
ejemplo, cuando las raíces de las ecuaciones auxiliares de
2
'' ' 0ax y bxy cy   son distintas y reales, las soluciones respectivas
generales son:
1 2 1 2
1 2 1 2y , 0m x m x m m
y C e C e y C x C x x     (1.15)
En vista de la identidad ln
, 0x
e x x  , la segunda solución se puede
expresar en la misma forma que la primera
1 2 1 2ln ln
1 2 1 2
m x m x mt m t
y C e C e C e C e    (1.16)
Donde lnt x . Este último resultado ilustro que toda ecuación de
Cauchy Euler. Siempre se puede escribir en la forma de una ecuación
diferencial lineal con coeficientes constantes, mediante la sustitución
t
x e . La idea es resolver la nueva ecuación diferencial en términos
de la variable t siguiendo los métodos de las secciones anteriores y
una vez obtenida la solución general restituir lnt x . Este método que
Cauchy – Euler y Variación Parámetros
Ecuaciones Diferenciales Página 8
ilustramos en el último ejemplo requiere la aplicación de la regla de la
cadena, de la diferenciación.
Ejemplo 2
Resolver la siguiente ecuación diferencial
2
2 2
10 8
d y dy
x x y x
dt dt
  
Solución
t
x e y por la regla de la cadena se tiene que la primera y segunda
derivada:
Regla de la Cadena
dy dy dt
dt dt dx

2
2 2
2
2 2
2
2 2
2 2
2 2 2
ó ln
1
Primera Derivada
1 1
1 1
1 1 1
1
Segunda Der
t
x e t x
dy dy
dx dt x
d y d dy dy
x dx dt dtdx x
d y d dy dy
x dt dx dtdx x
d y d dy dy
x dt dt x dtdx x
d y d y dy
dtdx x dt
  

  
      
   
  
      
   
  
      
   
 
   
 
ivada
Sustituyendo la primera y segunda derivada tenemos:
Cauchy – Euler y Variación Parámetros
Ecuaciones Diferenciales Página 9
 
2 22
2 2
2
2
2
2
2
2
1 1
10 8
10 8
9 8
t
t
t
d y dy dy
x x y e
dt dx xx dt
d y dy dy
y e
dt dtdt
d y dy
y e
dtdt
    
              
    
  
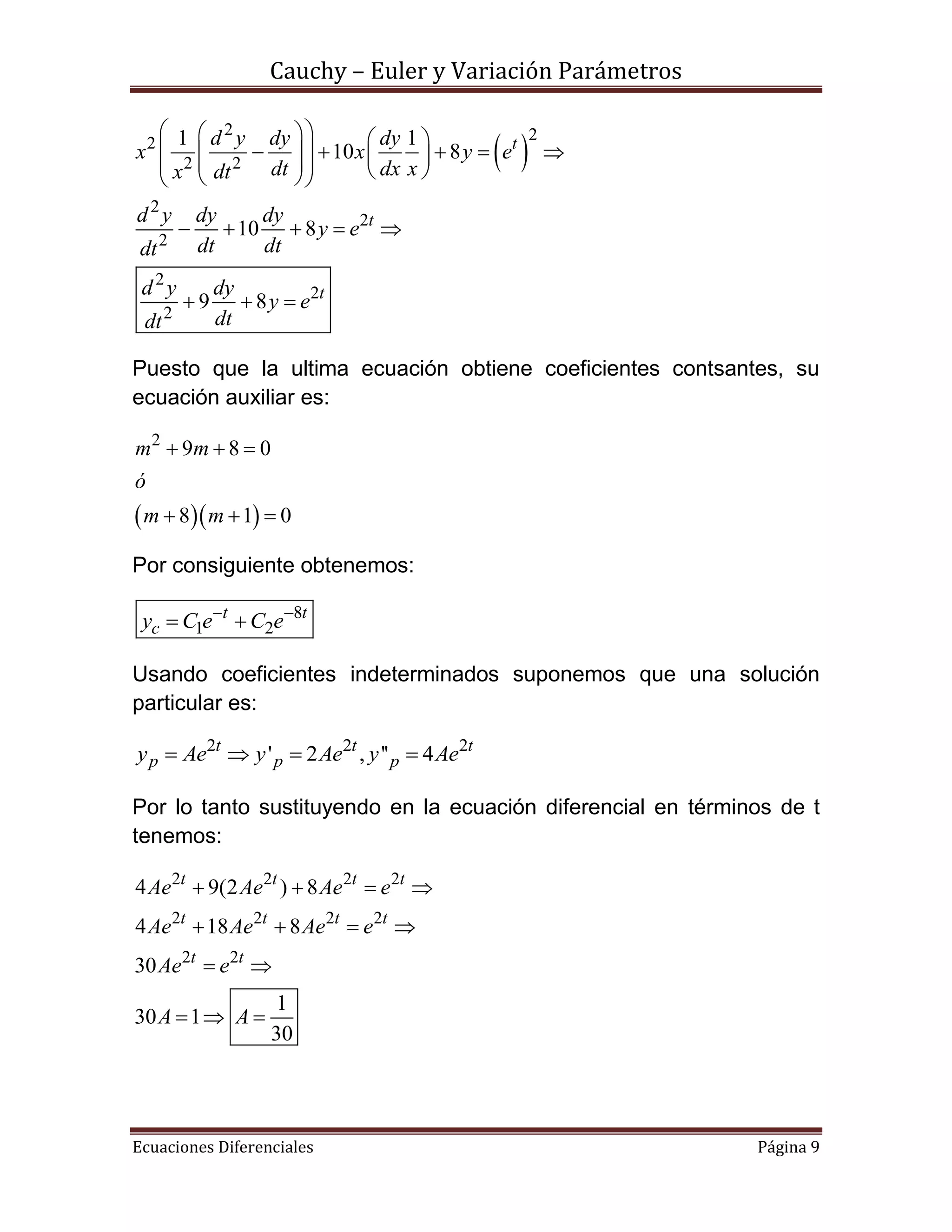
Puesto que la ultima ecuación obtiene coeficientes contsantes, su
ecuación auxiliar es:
  
2
9 8 0
8 1 0
m m
ó
m m
  
  
Por consiguiente obtenemos:
8
1 2
t t
cy C e C e 
 
Usando coeficientes indeterminados suponemos que una solución
particular es:
2 2 2
' 2 , '' 4t t t
p p py Ae y Ae y Ae   
Por lo tanto sustituyendo en la ecuación diferencial en términos de t
tenemos:
2 2 2 2
2 2 2 2
2 2
4 9(2 ) 8
4 18 8
30
1
30 1
30
t t t t
t t t t
t t
Ae Ae Ae e
Ae Ae Ae e
Ae e
A A
   
   
 
  
Cauchy – Euler y Variación Parámetros
Ecuaciones Diferenciales Página 10
Luego tenemos:
8 2
1 2
1
30
c p
t t t
y y y
y C e C e e 
  
  
La ecuación de Cauchy – Euler puede ser reducida a una ecuación
con coeficientes constantes por medio de la sustitución t
x e .

Variación+de+parametros

  • 1.
    Cauchy – Eulery Variación Parámetros Ecuaciones Diferenciales Página 1 Ecuación de Cauchy – Euler Una ecuación diferencial de la forma 1 1 1 11 ... ( ) n n n n n n on n d y d dy a x a x a x a y g x dxdx dx          (1.1) Donde 1, ,......n n oa a a son constantes se llama ecuación de Cauchy – Euler. Método de Solución Probamos una solución de la forma m y x , donde m debe ser determinado, las derivadas primera y segunda son: 1 2 ( 1) m m dy mx dx dy m m x dx      (1.2) De modo que la ecuación diferencial se transforma en     2 2 2 2 1 2 1 ( 1) 1 m m m m m m m d y dy ax bx cy ax m m x bx mx cx dxdx am m x bmx cx x am m bm c                     Así m y x será solución de la ecuación diferencial cada vez que m sea solución de la ecuación auxiliar. 2 ( 1) 0 ( ) 0 am m bm c ó am b a m c         (1.3) Hay que considerar tres casos diferentes dependiendo de si las raíces de esta ecuación cuadrática son reales y distintas reales e iguales o complejas conjugadas.
  • 2.
    Cauchy – Eulery Variación Parámetros Ecuaciones Diferenciales Página 2 Caso I Sean 1m y 2m raíces reales de (1.3) tales que 1 2m m , entonces: 1 2 1 2em m y x y x  (1.4) Forman un conjunto fundamental de soluciones, por lo tanto la solución general es: 1 2 1 2 m m y C x C x  (1.5) Caso II Si 1 2m m obtenemos una solución a saber, 1m y x , cuando las raíces de la ecuación cuadrática 2 ( ) 0am b a m c    , son iguales, el discriminante de los coeficientes es necesariamente cero. Por lo tanto la solución general es: 1 2 1 2 lnm y C x C xm x  (1.6) Caso III Si 1m y 2m son complejas conjugadas, digamos: 1 2,m i m i       (1.7) Donde  y  son reales, entonces una solución formal es: 1 2 i i y C x C x       (1.8) Con  ln lnii x i x x e e     (1.9) La cual por la formula de Euler es la misma que    cos ln lni x x isen x   
  • 3.
    Cauchy – Eulery Variación Parámetros Ecuaciones Diferenciales Página 3 Se deduce que la solución general es:    1 2cos ln lny x C x C sen x      (1.10) Variación de Parámetros Vimos que la solución general de la ecuación lineal ( ) ( ) dy P y f x dx   (1.11) Para motivar un método adicional para resolver ecuaciones lineales no homogéneas de segundo orden, mediante un método conocido como método de variación de parámetros. Resumen del Método En general no es recomendable memorizar formulas en lugar de tratar de comprender un procedimiento. Sin embargo el procedimiento precedente es demasiado largo y complicado para usarlo cada vez que queramos resolver una ecuación diferencial. En este caso es más eficiente usar simplemente las siguientes formulas: 2 2 2 1 1 2 1 2 1 1 1 2 1 2 1 2 0 ( ) ' ( ) ' ' ' 0 ' ( ) ( ) ' ' ' y f x y y f x U y y W y y y y y f x y f x U y y W y y W Wroskiano      
  • 4.
    Cauchy – Eulery Variación Parámetros Ecuaciones Diferenciales Página 4 En consecuencia para resolver '' ' ( )ay by cy g x   , donde , ya b c son constantes, primero encuentre la función complementaria 1 1 2 2cy C y C y  y luego calcule el wroskiano. 1 2 1 2' ' y y W y y  (1.12) Dividiendo por a la ecuación de la forma '' ' ( )y Py Qy f x   , para determinar ( )f x . Encuentre 1U y 2U integrando, es decir: 2 1 1 2 ( ) ( ) ' y ' y f x y f x U U W W       (1.13) Finalmente, forme la solución particular 1 1 2 2py U y U y  (1.14) En consecuencia tenemos que: c p c p y y y y complementaria y particular     Ejemplo 1 Resuelva mediante variación de parámetros 2 4 '' 2 ' 2 x x y xy y x e   Solución La sustitución m y x conduce a la ecuación auxiliar
  • 5.
    Cauchy – Eulery Variación Parámetros Ecuaciones Diferenciales Página 5         1 2 2 2 1 2 2 2 , ' , '' ( 1) 1 2 2 0 2 2 0 2 2 0 3 2 0 2 1 0 m m m m m m m m m m m m y x y mx y m m x x m m x x xmx x x m m x mx x x m m m x m m x m m                                        Por lo tanto las raíces son 2 12, 1m m  por lo tanto de acuerdo al caso I tenemos: 1 2 2 1 2 1 2 m m c cy C x C x y C x C x     Antes de usar variación de parámetros recordemos que las formulas: 2 1 1 2 ( ) ' ( ) ' y f x U W y y f x U W    Fueron deducidas en el supuesto de la ecuación diferencial ha sido reducida a la forma '' ( ) ' ( ) ( )y P x y Q x y f x   por lo tanto dividimos la ecuación dada por 2 x y hacemos la identificación 2 ( ) x f x x e . Ahora bien 2 2 2 2 2 1 2 x x W x x x x    
  • 6.
    Cauchy – Eulery Variación Parámetros Ecuaciones Diferenciales Página 6 De modo que integramos y obtenemos: 2 2 22 1 2 2 1 2 2 ( ) ' ( ) ' x x x x y f x x x e U x e W x y y f x x x e U xe W x                       2 2 1 2 1 2 1 2 1 2 1 2 1 2 ' 2 2 1 2 2 2 2 2 2 2 2 ' x x x x x x x x x x x x x x x x x u x dv e U x e dx du dx v e u x dv e U x e xe dx du dx v e U x e xe e U x e xe e U e x x U e x x u x dv e U xe dx du dx v e                                                  2 2 1 x x x x U xe e dx U e x          
  • 7.
    Cauchy – Eulery Variación Parámetros Ecuaciones Diferenciales Página 7 Luego     1 1 2 2 2 2 3 2 2 1 p x x p x p y U y U y y e x x x e x x y x e            2 3 2 2x x x x e xe x e   2 2 2 x x x p x e y x e xe    Finalmente tenemos: 2 2 1 2 2 c p x x y y y y C x C x x e xe        Relación con coeficientes constantes la semejanza entre las formas de las soluciones a las ecuaciones de Cauchy – Euler y a las ecuaciones lineales con coeficientes constantes no es mera coincidencia: por ejemplo, cuando las raíces de las ecuaciones auxiliares de 2 '' ' 0ax y bxy cy   son distintas y reales, las soluciones respectivas generales son: 1 2 1 2 1 2 1 2y , 0m x m x m m y C e C e y C x C x x     (1.15) En vista de la identidad ln , 0x e x x  , la segunda solución se puede expresar en la misma forma que la primera 1 2 1 2ln ln 1 2 1 2 m x m x mt m t y C e C e C e C e    (1.16) Donde lnt x . Este último resultado ilustro que toda ecuación de Cauchy Euler. Siempre se puede escribir en la forma de una ecuación diferencial lineal con coeficientes constantes, mediante la sustitución t x e . La idea es resolver la nueva ecuación diferencial en términos de la variable t siguiendo los métodos de las secciones anteriores y una vez obtenida la solución general restituir lnt x . Este método que
  • 8.
    Cauchy – Eulery Variación Parámetros Ecuaciones Diferenciales Página 8 ilustramos en el último ejemplo requiere la aplicación de la regla de la cadena, de la diferenciación. Ejemplo 2 Resolver la siguiente ecuación diferencial 2 2 2 10 8 d y dy x x y x dt dt    Solución t x e y por la regla de la cadena se tiene que la primera y segunda derivada: Regla de la Cadena dy dy dt dt dt dx  2 2 2 2 2 2 2 2 2 2 2 2 2 2 ó ln 1 Primera Derivada 1 1 1 1 1 1 1 1 Segunda Der t x e t x dy dy dx dt x d y d dy dy x dx dt dtdx x d y d dy dy x dt dx dtdx x d y d dy dy x dt dt x dtdx x d y d y dy dtdx x dt                                                       ivada Sustituyendo la primera y segunda derivada tenemos:
  • 9.
    Cauchy – Eulery Variación Parámetros Ecuaciones Diferenciales Página 9   2 22 2 2 2 2 2 2 2 2 1 1 10 8 10 8 9 8 t t t d y dy dy x x y e dt dx xx dt d y dy dy y e dt dtdt d y dy y e dtdt                             Puesto que la ultima ecuación obtiene coeficientes contsantes, su ecuación auxiliar es:    2 9 8 0 8 1 0 m m ó m m       Por consiguiente obtenemos: 8 1 2 t t cy C e C e    Usando coeficientes indeterminados suponemos que una solución particular es: 2 2 2 ' 2 , '' 4t t t p p py Ae y Ae y Ae    Por lo tanto sustituyendo en la ecuación diferencial en términos de t tenemos: 2 2 2 2 2 2 2 2 2 2 4 9(2 ) 8 4 18 8 30 1 30 1 30 t t t t t t t t t t Ae Ae Ae e Ae Ae Ae e Ae e A A             
  • 10.
    Cauchy – Eulery Variación Parámetros Ecuaciones Diferenciales Página 10 Luego tenemos: 8 2 1 2 1 30 c p t t t y y y y C e C e e        La ecuación de Cauchy – Euler puede ser reducida a una ecuación con coeficientes constantes por medio de la sustitución t x e .