Ácidos nucleicos
Localización
NÚCLEO
            CROMOSOMAS



CROMATINA
MITOCONDRIAS
CLOROPLASTOS
BACTERIAS
VIRUS
VIRUS
Autoduplicación



                           Transcripción




                           Traducción




                  Polipéptido
DOGMA CENTRAL DA BIOLOXÌA MOLECULAR




      Hebra molde

                                  Transcripción




                                      Traducción
CÓDIGO XENÉTICO
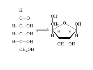
Ribosa
Bases nitrogenadas
PIRIMIDÍNICAS




Citosina                     Timina                   Uracilo
                       (exclusiva del ADN)      (exclusiva del ARN)


                     PÚRICAS




           Adenina                           Guanina
Ácido ortofosfórico




           http://www.textoscientificos.com/quimica/fosforo/oxoacidos-oxosales
NUCLEÓTIDOS
Nucleótido
http://recursos.cnice.mec.es/biosfera/alumno/2bachillerato/biomol/contenidos17.htm
Extremo 5’



                  Adenina




              Citosina




                Guanina




              Timina
                            ACGT

 Extremo 3’
http://recursos.cnice.mec.es/biosfera/alumno/2bachillerato/biomol/contenidos18.htm
The Nobel Prize in Physiology or Medicine 1959

              Por los descubrimientos de los mecanismos en la síntese biológica del ARN y
              ADN




             Severo Ochoa                                       Arthur Kornberg
New York
                             b. 1905                          Stanford University
University, College of
                             (in Luarca, Spain)
Medicine
                             d. 1993                          Stanford, CA, USA     b. 1918
New York, NY, USA                                                                   d. 2007


Trabajó con sistemas de síntesis de ARN                 Trabajó con enzimas de síntesis de ADN
aislando la enzima ARN polimerasa                       aislando la enzima ADN polimerasa

           http://nobelprize.org/nobel_prizes/medicine/laureates/1959/index.html
Complementariedad entre las bases




                               Adenina                  Timina
                                         2 Enlaces de
                                          hidróxeno




    Guanina                  Citosina

              3 Enlaces de
               hidróxeno
Estructura del ADN

   Extremo 5’
                                      Extremo 3’




                                  Extremo 5’
Extremo 3’
La molécula de ADN es una doble hélice antiparalela
               (Watson y Crick 1953)


      PARALELAS               ANTIPARALELAS
Hebras
antiparalelas




Extremo 3’ libre   Extremo 5’ libre
RADIOFOTOGRAFIA DEL ADN




Rosalind Franklin

(1920-1958)




                    Fotografía 51. Difracción de raios X do ADN

                    http://www.pbs.org/wgbh/nova/photo51/elkin.html
http://academy.d20.co.edu/kadets/lundberg/dnapaper.html

http://www.ucm.es/info/antilia/asignatura/practicas/trabajos_ciencia/adn.html
The Nobel Prize in Physiology or Medicine 1962




    Maurice Hugh                                     James Dewey                                Francis Harry
    Frederick Wilkins                                Watson                                     Compton Crick
     London University                               Harvard University                         MRC Laboratory of
                                                     Cambridge, MA, USA                         Molecular Biology
     London, United Kingdom
    b. 1916 (New Zealand)                            b. 1928                                    Cambridge,
    d. 2004                                                                                     United Kingdom
                                                                                                 b. 1916
                                                                                                 d. 2004

  Polos descubrimentos sobre concerning the molecular structure of nucleic e o seu
           "for their discoveries a estrutura molecular dos ácidos nucleicos
  significado para transferir información nos seres vivos. in living material"
           acids and its significance for information transfer

http://www.nature.com/nature/dna50/watsoncrick.pdf
                                                                          http://nobelprize.org/nobel_prizes/medicine/laureates/1962/index.html
http://www.dnaftb.org/dnaftb/19/concept/index.html




DNA From The Beginning.url      www.dnaftb.org/dnaftb/22/concept/index.html
Tipos de ARN




         el ARN mensajero, ARNm
         el ARN ribosómico, ARNr
         el ARN transferente y ARNt




http://www.mhhe.com/sem/Spanish_Animations/sp_protein_synthesis.swf
Ácidos nucleicos
Ácidos nucleicos
Ácidos nucleicos

Ácidos nucleicos