Acta de Constitución del Proyecto
(Project Charter)

A. Información General

Nombre del

Elaboración de Costos de

Fecha de

28 de marzo de

Proyecto

Empaques Flexibles

Preparación

2011

Patrocinador:

Peruplast S.A

Fecha de
Modificación:

Preparado por:

David Rodríguez

Autorizado por:

Carlos
Bragagnini

B. Descripción del producto o servicio del Proyecto

El sistema para la elaboración de costos de un empaque flexible permitirá dar las
herramientas necesarias para poder elaborar las estadísticas de gestión de los costos,
brindar la seguridad de ofrecer al cliente información precisa en un tiempo oportuno y con
información verdadera, validar la información para que no exista duplicidad que pueda ser
erróneamente enviada a un cliente y la posibilidad de compartir la información a las
diferentes áreas involucradas.

C. Alineamiento del Proyecto

Consideraciones de la Organización
Mantener información histórica de los costos

Propósitos del Proyecto
Implementar una base de datos con la

Página 0
de los empaques.

información de los costos de los empaques
flexibles

Capacidad para comparar la información de

Permitir tener las estadísticas de las órdenes

costos elaborados con las ventas de la

colocadas versus los costos elaborados.

empresa.
Optimizar el proceso de generación de

Permitir un flujo continuo de la información con

costos que permita enviar información a los

las diferentes áreas de la empresa.

clientes en los plazos establecidos.
Asegurar que las tecnologías utilizadas sean
las apropiadas para recuperar técnica y
económicamente los recursos.

D. Objetivos del Proyecto

Objetivos del Proyecto
Costo: Implementar el sistema de elaboración de costos por 260 mil soles
Plazo: El tiempo estimado para el desarrollo del sistema es de 7 meses calendario.

Calidad: El proyecto deberá regirse por los procedimientos, manuales y estándares de la
empresa

E. Alcance y Extensión del Proyecto

Principales Entregables del Proyecto.
Proyect Charter
Enunciado del alcance

Página 1
Plan de Gestión del proyecto
Cronograma detallado del proyecto
Plan de configuración
Plan de desarrollo
Manuales de configuración
Plan de capacitación
Acta de cierre por cada fase
Acta de cierre del proyecto

Principales Fases del Proyecto.
Fase 1 Preparación inicial de proyecto
Fase 2 Levantamiento de información
Fase 3 Realización
Fase 4 Preparación final
Fase 5 Puesta en marcha y soporte

Stakeholders claves.
Gerente General Peruplast
Gerente Administrativo y Finanzas
Gerente de Ventas

Restricciones.
El costo del proyecto de es 260 mil soles y puede permitirse excederse en 40 mil soles por
contingencia.
El proyecto debe tener 6 meses de implementación y 1 mes de configuración y soporte
Para garantizar el optimo funcionamiento del sistema los equipos de computo deben de
tener una configuración mínima de Core 2 duo con memoria de 2Gb y disco duro de 160 Gb

Página 2
Asunciones
- El desarrollo del producto será ejecutado con recursos propios de la empresa.
- Todos los integrantes del grupo de proyecto estarán dedicados únicamente al desarrollo
de este con excepción de los Stakeholders quienes deberán dedicar un tiempo de un día
a la semana como mínimo al proyecto.
- Se debe contar con 3 ambientes para el proyecto: desarrollo, calidad y producción.
- La compañía debe tener instalado lo siguiente: al inicio del proyecto el ambiente de
desarrollo, al inicio de las pruebas unitarias e integrales el ambiente de calidad y al iniciar
la etapa de preparación final del proyecto el ambiente productivo.

Límites del proyecto
La capacitación inicial deberá ser coordinada con el equipo de desarrollo.

F. Factores Críticos de Éxito del Proyecto

Participación y compromiso de la Gerencia General
Tomar decisiones oportunamente dentro de los plazos establecidos
Los datos maestros para la carga inicial deben ser buenos y confiables
Disponibilidad y compromiso de los integrantes del proyecto

G. Planeamiento Inicial del Proyecto al alto nivel

Estimación de recursos requeridos:
• Área para oficinas de 200 m2 mínimos, equipada con servicios higiénicos para hombres
y mujeres, cafetería, copiadora, telefonía fija, fax e internet para 10 personas.
Página 3
• Un Gerente de Proyectos
• Un Analistas de Sistemas
• Un Analista de QA
• Un Administrador de Base de Datos
• Un Analista de Infraestructura
• Dos Analistas Programadores
• Un Testeador de QA
• Un Técnico de Hardware
• Mobiliario, computadoras notebooks y equipos de telecomunicación.

Costo Estimado del Proyecto:
260,000 soles (doscientos sesenta mil y 00/100 soles)
Disponibilidad de contingencia

Beneficios Estimados:
El costo de un empaque flexible es determinante para elaborar la cotización es por ello que
rediseñar el proceso es importante. Los beneficios a obtener son:
• Automatización del proceso de costos. En la actualidad se elabora en una hoja Excel
• Eliminación de archivos redundantes
• Perfiles de ventas actualizados en forma automática
• Documentación técnica completa (Estructura de costos)
• Mejora en la estandarización de procesos
• Optima calidad de información sobre el costo
• Reducción en tiempos de elaboración del costo
• Precisión en el costo elaborado
• Maximizar los recursos de la empresa para beneficios de los usuarios
• Reducción de los tiempos en los procesos manuales
Página 4
Estimación de Fechas a Programar:

Fecha de inicio: 04 de Julio de 2011
Fecha de término: 16 de Enero de 2012

H. Autoridad del Proyecto

•

Autorización

Carlos Bragagnini - Gerente General Peruplast

•

Gerente del Proyecto

David Rodríguez

•

Comité de Seguimiento (Dirección)

Gerente General
Gerente Administrativo y Finanzas
Gerente de Ventas
Gerente de Proyecto

I. Integrantes del equipo del proyecto, Roles y Responsabilidades

Página 5
Nombre

Rol

Responsabilidades
- Gestión de los fondos ante el directorio.

Patrocinador
Carlos Bragagnini

- Revisión y aprobación de solicitudes de
Miembro del Comité de

Gerente General

cambio.
Seguimiento
- Aprobación y recepción del proyecto.

Rafael Vidal
Miembro del Comité de

- Revisión y aprobación de solicitudes de

Seguimiento

cambio.

Marcelo Rodríguez

Miembro del Comité de

- Revisión y aprobación de solicitudes de

Gerente de Ventas

Seguimiento

cambio.

Gerente Administrativo
y Finanzas

- Planificación y supervisión general del proyecto
Gerente de Proyecto
- Aprobación de los entregables parciales

David Rodríguez
Miembro del Comité de
Peruplast

- Revisión y aprobación de solicitudes de
Seguimiento
cambio.

Beatriz Yamaguzuku

-

Planificación,

diseño

y

supervisión

de

Analista de Sistemas
Peruplast

desarrollo de los procesos.

Nancy Fernández

- Planificación, diseño, supervisión y QA de
Analista de QA

Peruplast

procesos.

Marco Horna

Analista de

Peruplast

Infraestructura

Segundo Arévalo

-Planificación, diseño, supervisión y QA de
instalaciones de equipos, redes y servidores.
-Planificación, diseño, supervisión y QA de la

DBA
Peruplast

Base de Datos a implementar.
-

Desarrollar

las

interfaces

y

programas

Henry Minaño
Analistas

requeridos en el alcance del proyecto.

Marcial Armijo
Programadores

-Elaborar la documentación técnica de los

Peruplast
desarrollos.
- Apoyar en las pruebas de los desarrollos.
Víctor Mogollón
Testeador de QA

-Elaborar la documentación técnica de las

Peruplast
pruebas.

Página 6
Cesar Camacho

- Brindar soporte técnico en la instalación y
Técnico de Hardware

Peruplast

actualización de equipos, redes y servidores.

Página 7
J. Firmas

Nombre/Función
Carlos Bragagnini – Gerente

Firma

Fecha
28/03/2011

General

Gerente Administrativo y Finanzas

28/03/2011

Gerente de Ventas

28/03/2011

Página 8
1. GESTIÓN DEL ALCANCE
•

ID

Matriz de Trazabilidad de Requisitos

Sobrevaloración

Descripción

El proyecto no debe sobrepasar el presupuesto

Respo

Priorida

nsable
1

Nombre

d

GP

Alta

Versión

Fecha de

Fecha

Criterios de

Actual
1

Estado

Creación

termino

Aceptación

Activo

09/05/2011

previamente asignado.

2

Tiempo

Disminuir el tiempo de elaboración de costos

Acta de
constitución

AP

Media

1

Activo

09/05/2011

Gestión de

por parte del ejecutivo de cuenta en un 40%

3

Consistencia

Disminuir en un 100% la información duplicada

Tiempo

AP

Alta

1

Activo

09/05/2011

Gestión de

por el ejecutivo y debe validarse con los

alcance

parámetros de la empresa.

4

Recursos

Incrementar el uso de los recursos de la

AP

Media

1

Activo

09/05/2011

Gestión de

empresa en un 10% con la implementación del

Desarrollo

sistema de elaboración de costos

Página 9
5

Desarrollo

Desarrollar un sistema 100% automático para

GP

Media

1

Activo

09/05/2011

Gestión de

evitar los errores manuales

6

Reglamento

Cumplir al 100% con las normas y políticas de la

Desarrollo

GP

Alta

1

Activo

09/05/2011

Gestión de

empresa

7

Diseño

Que se cumpla al 100% con las bases de

alcance

AP

Alta

1

Activo

09/05/2011

Gestión de

diseño

8

Capacitación

Solicitar como mínimo 24 horas de capacitación

diseño

GP

Media

1

Activo

09/05/2011

Gestión de

para el personal.

9

Documentación

Elaborar el 100% de formatos de

Desarrollo

GP

Media

1

Activo

09/05/2011

Gestión de

documentación de los procesos desarrollados

10

Horario

El personal debe de completar 48 horas a la

Desarrollo

GP

Media

1

Activo

09/05/2011

Gestión de

semana de horario de trabajo.

alcance

Página 10
•

Declaración del Alcance del Proyecto

Nombre del Proyecto:

Elaboración de costos de empaques flexibles

Preparado por:

David Rodríguez

Fecha:

28 de marzo de 2011

Justificación del

• Brindar la seguridad que la información proporcionada sea

Proyecto:

actualizada siguiendo estándares proporcionados por la empresa
en tiempo oportuno, asimismo contar con una herramienta
importante para poder realizar las negociaciones con los clientes.
• Validar la información para que no exista duplicidad que pueda ser
erróneamente enviada a un cliente y la posibilidad de compartir la
información a las diferentes áreas involucradas.
• Mejorar los tiempos de entrega de costos para poder hacer
licitaciones y perfiles de ventas.
• Realizar seguimiento a los costos realizados y que no hayan
generado una cotización

Descripción del

El sistema de costo para la elaboración de un empaque flexible

producto

permitirá dar las herramientas necesarias para poder elaborar las
estadísticas de gestión de los costos. Brindar la seguridad de
ofrecer al cliente información precisa, en un tiempo oportuno con
información verdadera. Validar la información para que no exista
duplicidad de información que pueda ser erróneamente enviada a un
cliente. La posibilidad de compartir la información a las diferentes
áreas involucradas

Página 11
Entregables del

• Plan del Proyecto

Proyecto

• Acta de Constitución del Proyecto (Project Charter)
• Enunciado del Alcance
• Cronograma del Proyecto
• Financiamiento de Proyecto
• Organigrama del Equipo del Proyecto
• Matriz de Responsabilidades
• Plan de Gestión de las Comunicaciones
• Plan de Gestión de Riesgos
• Plan de Gestión de las Adquisiciones
• Lista de Requerimientos Funcionales
• Lista de Requerimientos No Funcionales
• Manual de Configuración del Sistema
• Requerimientos del Negocio
• Modelo de la Arquitectura
• Diseño de Interfaz
• Modelo de Base de Datos
• Plan de Riesgo
• Plan de Calidad
• Modelo Preliminar del Programa
• Revisión del Programa Preliminar
• Actualización del Programa Preliminar
• Revisión del Programa
• Aprobación del Programa
• Desarrollo de Tablas y Relaciones
• Desarrollo de Procedimientos Almacenados y Triggers

Página 12
• Desarrollo de Vistas
• Plan de Pruebas
• Casos de Pruebas
• Procedimiento para Pruebas
• Resultados de Evaluación de Pruebas
• Pruebas de Mensajes de Error
• Pruebas de Sobrecarga de la Base de Datos
• Pruebas de la Interfaz Gráfica de Usuario
• Manual de Usuario
• Manual de Capacitación a Usuarios
• Manual Técnico de Instalación
Restricciones:

• El costo del proyecto de es 260 mil soles y puede permitirse
excederse en 40 mil soles de contingencia
• El proyecto debe tener 6 meses de implementación y 1 mes de
configuración y soporte
• Para garantizar el optimo funcionamiento del sistema los equipos
de computo deben de tener una configuración mínima de Core 2
duo con memoria de 2Gb y disco duro de 160 Gb

Asunciones o
supuestos:

• El desarrollo del producto será ejecutado con recursos propios de
la empresa.
• Todos los integrantes del grupo de proyecto estarán dedicados
únicamente al desarrollo de este con excepción de los
Stakeholders quienes deberán dedicar un tiempo de un día a la
semana como mínimo al proyecto.
• Se debe contar con 3 ambientes para el proyecto: desarrollo,
calidad y producción.

Página 13
• La compañía debe tener instalado lo siguiente: al inicio del
proyecto el ambiente de desarrollo, al inicio de las pruebas
unitarias e integrales el ambiente de calidad y al iniciar la etapa de
preparación final del proyecto el ambiente productivo

Página 14
•

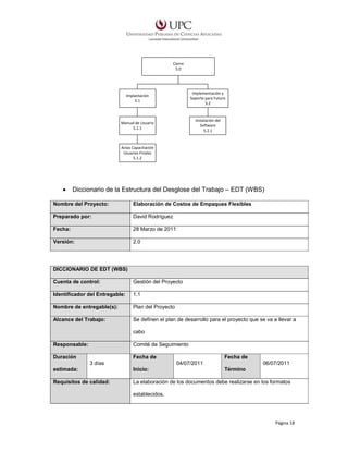
Estructura del Desglose del Trabajo – EDT (WBS)

Página 15
Planificacion
2.0

Requerimientos
2.1

Análisis
2.2

Diseño
2.3

Desarrolla planes
2.4

Lista de Requerimientos
Funcionales
2.1.1

Modelo en base a
Requerimientos
2.2.1

Diseño de Interfaz
2.3.1

Desarrolla plan de
riesgo
2.4.1

Lista de Requerimientos
No Funcionales
2.1.2

Descripción de la
Arquitectura
2.2.2

Diseño de Base de
Datos Relacional
2.3.2

Desarrolla plan de
calidad
2.4.2

Documentación de
Usuario
2.1.3

Desarrolla plan de
entregas
2.4.3

Implementación y
Soporte para Futuro
2.1.4

Página 16
Ejecuccion
3.0

Desarrollo
3.1

Base de Datos
3.2

Creación del Programa
Preliminar
3.1.1

Tablas y Relaciones
3.2.1

Revisión del Programa
Preliminar
3.1.2

Procedimientos
Almacenados y Triggers
3.2.2

Actualizar Programa
Preliminar
3.1.3

Estrategia de
implementacion
3.3

Vistas
3.2.3

Definir estrategia de
pruebas
3.3.1

Revisión del
Programa
3.1.4

Aprobación del
Programa
3.1.5

Página 17
Cierre
5.0

Implantación
5.1

Implementación y
Soporte para Futuro
5.2

Manual de Usuario
5.1.1

Instalación del
Software
5.2.1

Actas Capacitación
Usuarios Finales
5.1.2

•

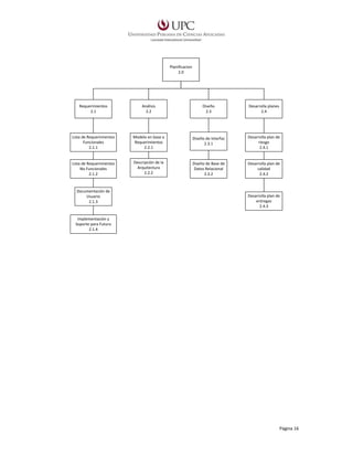
Diccionario de la Estructura del Desglose del Trabajo – EDT (WBS)

Nombre del Proyecto:

Elaboración de Costos de Empaques Flexibles

Preparado por:

David Rodríguez

Fecha:

28 Marzo de 2011

Versión:

2.0

DICCIONARIO DE EDT (WBS)
Cuenta de control:

Gestión del Proyecto

Identificador del Entregable:

1.1

Nombre de entregable(s):

Plan del Proyecto

Alcance del Trabajo:

Se definen el plan de desarrollo para el proyecto que se va a llevar a
cabo

Responsable:

Comité de Seguimiento

Duración

Fecha de
3 días

Fecha de
04/07/2011

06/07/2011

estimada:

Inicio:

Término

Requisitos de calidad:

La elaboración de los documentos debe realizarse en los formatos
establecidos.

Página 18
Otras referencias:

Hitos del cronograma:

DICCIONARIO DE EDT (WBS)
Cuenta de control:

Acta de Constitución del Proyecto

Identificador del Entregable:

1.2

Nombre de entregable(s):

Acta de Constitución del Proyecto (Project Charter)

Alcance del Trabajo:

Se definen los acuerdos iniciales que se tomarán en cuenta para la
constitución y posterior desarrollo del proyecto.

Responsable:

Comité de Seguimiento

Duración

Fecha de
3 días

Fecha de
07/07/2011

11/07/2011

estimada:

Inicio:

Término

Requisitos de calidad:

La elaboración de los documentos debe realizarse en los formatos
establecidos.

Otras referencias:

Hitos del cronograma:

DICCIONARIO DE EDT (WBS)
Cuenta de control:

Definir Visión y Objetivos

Identificador del Entregable:

1.3.1

Nombre de entregable(s):

Enunciado del Alcance

Alcance del Trabajo:

Se indica la visión y objetivos definidos para el proyecto

Responsable:

Gerente de Proyecto

Duración

Fecha de
2 días

Fecha de
12/07/2011

13/07/2011

estimada:

Inicio:

Término

Requisitos de calidad:

La elaboración de los documentos debe realizarse en los formatos
establecidos.

Página 19
Otras referencias:

Hitos del cronograma:

DICCIONARIO DE EDT (WBS)
Cuenta de control:

Definir Entregas

Identificador del Entregable:

1.3.2

Nombre de entregable(s):

Enunciado del Alcance

Alcance del Trabajo:

Se indica el detalle del proyecto así como la lista de los entregables a
realizar.

Responsable:

Gerente de Proyecto

Duración

Fecha de
5 días

Fecha de
14/07/2011

20/07/2011

estimada:

Inicio:

Término

Requisitos de calidad:

La elaboración de los documentos debe realizarse en los formatos
establecidos.

Otras referencias:

Hitos del cronograma:

DICCIONARIO DE EDT (WBS)
Cuenta de control:

Gestión del Tiempo

Identificador del Entregable:

1.4

Nombre de entregable(s):

Cronograma del Proyecto

Alcance del Trabajo:

Se presenta las fechas de cada una de las actividades a desarrollar
durante el proyecto.

Responsable:

Gerente de Proyecto

Duración

Fecha de
4 días

Fecha de
21/07/2011

26/07/2011

estimada:

Inicio:

Término

Requisitos de calidad:

La elaboración de los documentos debe realizarse en los formatos

Página 20
establecidos.
Aprobación del cronograma por parte del Líder del Proyecto.
Otras referencias:

Hitos del cronograma:

Cronograma

DICCIONARIO DE EDT (WBS)
Cuenta de control:

Gestión de Costos

Identificador del Entregable:

1.5

Nombre de entregable(s):

Financiamiento de Proyecto

Alcance del Trabajo:

Se detallan los estimados de costos, presupuesto y se realiza una
comparación con el costo real.

Responsable:

Gerente de Proyecto

Duración

Fecha de
5 días

Fecha de
01/08/2011

05/08/2011

estimada:

Inicio:

Término

Requisitos de calidad:

La elaboración de los documentos debe realizarse en los formatos
establecidos.
Aprobación del presupuesto por parte del Líder del Proyecto.

Otras referencias:

Hitos del cronograma:

Presupuesto

DICCIONARIO DE EDT (WBS)
Cuenta de control:

Gestión de Calidad

Identificador del Entregable:

1.6

Nombre de entregable(s):

Plan de Calidad

Alcance del Trabajo:

La calidad del sistema se basará en las políticas ya establecidas por la
empresa.

Responsable:

Gerente de Proyecto

Página 21
Duración

Fecha de
7 días

Fecha de
09/08/2011

17/08/2011

estimada:

Inicio:

Término

Requisitos de calidad:

La elaboración de los documentos debe realizarse en los formatos
establecidos.

Otras referencias:

Hitos del cronograma:

DICCIONARIO DE EDT (WBS)
Cuenta de control:

Analizar Personal Disponible

Identificador del Entregable:

1.7.1

Nombre de entregable(s):

Organigrama del Equipo del Proyecto

Alcance del Trabajo:

Se presenta el organigrama del personal que formará parte del equipo
del proyecto.

Responsable:

Gerente de Proyecto

Duración

Fecha de
2 días

Fecha de
18/08/2011

19/08/2011

estimada:

Inicio:

Término

Requisitos de calidad:

La elaboración de los documentos debe realizarse en los formatos
establecidos.

Otras referencias:

Hitos del cronograma:

DICCIONARIO DE EDT (WBS)
Cuenta de control:

Entrevistar al Personal

Identificador del Entregable:

1.7.2

Nombre de entregable(s):

Matriz de Responsabilidades

Alcance del Trabajo:

Se presenta el detalle de las responsabilidades de cada uno de los
integrantes del proyecto.

Página 22
Responsable:

Gerente de Proyecto

Duración

Fecha de
11 días

Fecha de
22/08/2011

05/09/2011

estimada:

Inicio:

Término

Requisitos de calidad:

La elaboración de los documentos debe realizarse en los formatos
establecidos.

Otras referencias:

Hitos del cronograma:

DICCIONARIO DE EDT (WBS)
Cuenta de control:

Gestión de Comunicaciones

Identificador del Entregable:

1.8

Nombre de entregable(s):

Plan de Gestión de las Comunicaciones

Alcance del Trabajo:

Se presenta el plan de Comunicaciones que se llevará a cabo para el
proyecto

Responsable:

Gerente del Proyecto

Duración

Fecha de
7 días

Fecha de
06/09/2011

14/09/2011

estimada:

Inicio:

Término

Requisitos de calidad:

La elaboración de los documentos debe realizarse en los formatos
establecidos.

Otras referencias:

Hitos del cronograma:

DICCIONARIO DE EDT (WBS)
Cuenta de control:

Gestión de Riesgos

Identificador del Entregable:

1.9

Nombre de entregable(s):

Plan de Gestión de Riesgos

Alcance del Trabajo:

Se presenta el plan de gestión de riesgos que se tomará en cuenta

Página 23
durante el desarrollo del proyecto.

Responsable:

Gerente del Proyecto

Duración

Fecha de
9 días

Fecha de
19/09/2011

29/09/2011

estimada:

Inicio:

Término

Requisitos de calidad:

La elaboración de los documentos debe realizarse en los formatos
establecidos.

Otras referencias:

Hitos del cronograma:

DICCIONARIO DE EDT (WBS)
Cuenta de control:

Gestión de Abastecimiento

Identificador del Entregable:

1.10

Nombre de entregable(s):

Plan de Gestión de las Adquisiciones

Alcance del Trabajo:

Se presenta el plan de adquisiciones que se seguirá para la
contratación de proveedores externos en el desarrollo del proyecto

Responsable:
Duración

Fecha de
15 días

Fecha de
30/09/2011

20/10/2011

estimada:

Inicio:

Término

Requisitos de calidad:

La elaboración de los documentos debe realizarse en los formatos
establecidos.

Otras referencias:

Hitos del cronograma:

DICCIONARIO DE EDT (WBS)
Cuenta de control:

Lista de Requerimientos Funcionales

Identificador del Entregable:

2.1.1

Nombre de entregable(s):

Lista de Requerimientos Funcionales

Página 24
Alcance del Trabajo:

Descripción de los requerimientos funcionales que se desarrollarán en
el proyecto.

Responsable:

Analista de Sistemas

Duración

Fecha de

Fecha de
24/10/2011

2 días

25/10/2011

estimada:

Inicio:

Término

Requisitos de calidad:

La elaboración de los documentos debe realizarse en los formatos
establecidos.

Otras referencias:

Hitos del cronograma:

DICCIONARIO DE EDT (WBS)
Cuenta de control:

Lista de Requerimientos No Funcionales

Identificador del Entregable:

2.1.2

Nombre de entregable(s):

Lista de Requerimientos No Funcionales

Alcance del Trabajo:

Descripción de los requerimientos no funcionales que se desarrollarán
en el proyecto.

Responsable:

Analista de Sistemas

Duración

Fecha de
2 días

Fecha de
25/10/2011

estimada:

Inicio:

Término

Requisitos de calidad:

La elaboración de los documentos debe realizarse en los formatos
establecidos.

Otras referencias:

Hitos del cronograma:

DICCIONARIO DE EDT (WBS)
Cuenta de control:

Documentación de Usuario

Identificador del Entregable:

2.1.3

Página 25
Nombre de entregable(s):

Manuales de Usuario

Alcance del Trabajo:

Se presenta el detalle de las funcionalidades del sistema.

Responsable:

Analista de Sistemas

Duración

Fecha de

Fecha de

estimada:

Inicio:

Término

Requisitos de calidad:

La elaboración de los documentos debe realizarse en los formatos
establecidos.

Otras referencias:

Hitos del cronograma:

Manuales de Usuario

DICCIONARIO DE EDT (WBS)
Cuenta de control:

Implementación y Soporte para Futuro

Identificador del Entregable:

2.1.4

Nombre de entregable(s):

Manual de Configuración del Sistema

Alcance del Trabajo:

Descripción de los pasos técnicos a seguir para la instalación del
aplicativo a desarrollar.

Responsable:

Analista de Infraestructura / Administrador de Base de Datos

Duración

Fecha de

Fecha de

estimada:

Inicio:

Término

Requisitos de calidad:

La elaboración de los documentos debe realizarse en los formatos
establecidos.

Otras referencias:

Hitos del cronograma:

Manual de Configuración del Sistema

Página 26
DICCIONARIO DE EDT (WBS)
Cuenta de control:

Modelo en Base a Requerimientos

Identificador del Entregable:

2.2.1

Nombre de entregable(s):

Requerimientos del Negocio

Alcance del Trabajo:

Detalle de los requerimientos del negocio.

Responsable:

Analista de Sistemas

Duración

Fecha de

Fecha de

estimada:

Inicio:

Término

Requisitos de calidad:

La elaboración de los documentos debe realizarse en los formatos
establecidos.

Otras referencias:

Hitos del cronograma:

Requerimientos del Negocio

DICCIONARIO DE EDT (WBS)
Cuenta de control:

Descripción de la Arquitectura

Identificador del Entregable:

2.2.2

Nombre de entregable(s):

Modelo de la Arquitectura

Alcance del Trabajo:

Detalle de la Arquitectura a crear.

Responsable:

Analista de Infraestructura / Administrador de Base de Datos

Duración

Fecha de

Fecha de

estimada:

Inicio:

Término

Requisitos de calidad:

La elaboración de los documentos debe realizarse en los formatos
establecidos.

Otras referencias:

Hitos del cronograma:

Modelo de la Arquitectura

Página 27
DICCIONARIO DE EDT (WBS)
Cuenta de control:

Diseño de Interfaz

Identificador del Entregable:

2.3.1

Nombre de entregable(s):

Diseño de Interfaz

Alcance del Trabajo:

Detalle del diseño de la interfaz a presentar al usuario.

Responsable:

Analista de Sistemas

Duración

Fecha de

Fecha de

estimada:

Inicio:

Término

Requisitos de calidad:

La elaboración de los documentos debe realizarse en los formatos
establecidos.

Otras referencias:

Hitos del cronograma:

DICCIONARIO DE EDT (WBS)
Cuenta de control:

Diseño de Base de Datos Relacional

Identificador del Entregable:

2.3.2

Nombre de entregable(s):

Modelo de Base de Datos

Alcance del Trabajo:

Detalle del diseño de la base de datos relacional a desarrollar durante el
proyecto.

Responsable:

DBA

Duración

Fecha de

Fecha de

estimada:

Inicio:

Término

Requisitos de calidad:

La elaboración de los documentos debe realizarse en los formatos
establecidos.

Página 28
Otras referencias:

Hitos del cronograma:

DICCIONARIO DE EDT (WBS)
Cuenta de control:

Desarrolla Plan de Riesgo

Identificador del Entregable:

2.4.1

Nombre de entregable(s):

Plan de Riesgo

Alcance del Trabajo:

Detalle del Plan de Riesgo definido para el proyecto

Responsable:

Gerente del Proyecto

Duración

Fecha de

Fecha de

estimada:

Inicio:

Término

Requisitos de calidad:

La elaboración de los documentos debe realizarse en los formatos
establecidos.

Otras referencias:

Hitos del cronograma:
DICCIONARIO DE EDT (WBS)
Cuenta de control:

Desarrolla Plan de Calidad

Identificador del Entregable:

2.4.2

Nombre de entregable(s):

Plan de Calidad

Alcance del Trabajo:

Detalle del Plan de Calidad a seguir para el proyecto

Responsable:

Analista de QA

Duración

Fecha de

Fecha de

estimada:

Inicio:

Término

Requisitos de calidad:

La elaboración de los documentos debe realizarse en los formatos

Página 29
establecidos.
Otras referencias:

Hitos del cronograma:

DICCIONARIO DE EDT (WBS)
Cuenta de control:

Desarrolla Plan de Entregas

Identificador del Entregable:

2.4.3

Nombre de entregable(s):

Plan de Comunicaciones

Alcance del Trabajo:

Se presenta el detalle del Plan de Comunicaciones

Responsable:

Gerente del Proyecto

Duración

Fecha de

Fecha de

estimada:

Inicio:

Término

Requisitos de calidad:

La elaboración de los documentos debe realizarse en los formatos
establecidos.

Otras referencias:

Hitos del cronograma:

DICCIONARIO DE EDT (WBS)
Cuenta de control:

Creación del Programa Preliminar

Identificador del Entregable:

3.1.1

Nombre de entregable(s):

Modelo Preliminar del Programa

Alcance del Trabajo:

Se presenta el detalle preliminar del programa que se desarrollará para
cubrir los requerimientos ya listados.

Responsable:

Analista de Sistemas

Duración

Fecha de

Fecha de

estimada:

Inicio:

Término

Requisitos de calidad:

La elaboración de los documentos debe realizarse en los formatos

Página 30
establecidos.
Otras referencias:

Hitos del cronograma:

DICCIONARIO DE EDT (WBS)
Cuenta de control:

Revisión del Programa Preliminar

Identificador del Entregable:

3.1.2

Nombre de entregable(s):

Revisión del Programa Preliminar

Alcance del Trabajo:

Verificación del programa que se propone de acuerdo a los
requerimientos presentados.

Responsable:

Analista de Sistemas

Duración

Fecha de

Fecha de

estimada:

Inicio:

Término

Requisitos de calidad:

Aceptación de los Interesados Clave

Otras referencias:

Hitos del cronograma:

Aprobación del Programa Preliminar

DICCIONARIO DE EDT (WBS)
Cuenta de control:

Actualizar Programa Preliminar

Identificador del Entregable:

3.1.3

Nombre de entregable(s):

Actualización del Programa Preliminar

Alcance del Trabajo:

Se dan los detalles de la actualización que se hará en el programa que
fue presentado de manera preliminar.

Responsable:

Analista de Sistemas

Duración

Fecha de

Fecha de

estimada:

Inicio:

Término

Requisitos de calidad:

La elaboración de los documentos debe realizarse en los formatos

Página 31
establecidos.
Otras referencias:

Hitos del cronograma:

DICCIONARIO DE EDT (WBS)
Cuenta de control:

Revisión del Programa

Identificador del Entregable:

3.1.4

Nombre de entregable(s):

Revisión del Programa

Alcance del Trabajo:

Se revisa el programa luego de las actualizaciones realizadas.

Responsable:

Analista de Sistemas

Duración

Fecha de

Fecha de

estimada:

Inicio:

Término

Requisitos de calidad:

La elaboración de los documentos debe realizarse en los formatos
establecidos.

Otras referencias:

Hitos del cronograma:

DICCIONARIO DE EDT (WBS)
Cuenta de control:

Aprobación del Programa

Identificador del Entregable:

3.1.5

Nombre de entregable(s):

Aprobación del Programa

Alcance del Trabajo:

Se documenta la aprobación del programa presentado.

Responsable:

Analista de Sistemas

Duración

Fecha de

Fecha de

estimada:

Inicio:

Término

Requisitos de calidad:

Aceptación de los interesados clave.

Página 32
Otras referencias:

Hitos del cronograma:

Aprobación del Programa

DICCIONARIO DE EDT (WBS)
Cuenta de control:

Tablas y Relaciones

Identificador del Entregable:

3.2.1

Nombre de entregable(s):

Desarrollo de Tablas y Relaciones

Alcance del Trabajo:

Detalle de las tablas y relaciones a crear durante el proyecto

Responsable:

DBA

Duración

Fecha de

Fecha de

estimada:

Inicio:

Término

Requisitos de calidad:

La elaboración de los documentos debe realizarse en los formatos
establecidos.

Otras referencias:

Hitos del cronograma:

DICCIONARIO DE EDT (WBS)
Cuenta de control:

Procedimientos Almacenados y Triggers

Identificador del Entregable:

3.2.2

Nombre de entregable(s):

Desarrollo de Procedimientos Almacenados y Triggers

Alcance del Trabajo:

Detalle de las procedimientos almacenados y triggers a crear durante el
proyecto

Responsable:

DBA

Duración

Fecha de

Fecha de

estimada:

Inicio:

Término

Requisitos de calidad:

La elaboración de los documentos debe realizarse en los formatos
establecidos.

Página 33
Otras referencias:

Hitos del cronograma:

DICCIONARIO DE EDT (WBS)
Cuenta de control:

Vistas

Identificador del Entregable:

3.2.3

Nombre de entregable(s):

Desarrollo de Vistas

Alcance del Trabajo:

Detalle de las vistas a crear durante el proyecto

Responsable:

DBA

Duración

Fecha de

Fecha de

estimada:

Inicio:

Término

Requisitos de calidad:

La elaboración de los documentos debe realizarse en los formatos
establecidos.

Otras referencias:

Hitos del cronograma:

DICCIONARIO DE EDT (WBS)
Cuenta de control:

Definir Estrategia de Pruebas

Identificador del Entregable:

3.3.1

Nombre de entregable(s):

Plan de Pruebas

Alcance del Trabajo:

Detalle de las pruebas a realizar para testear el proyecto desarrollado.

Responsable:

Analista de QA

Duración

Fecha de

Fecha de

estimada:

Inicio:

Término

Requisitos de calidad:

La elaboración de los documentos debe realizarse en los formatos
establecidos.

Página 34
Otras referencias:

Hitos del cronograma:

DICCIONARIO DE EDT (WBS)
Cuenta de control:

Plan de Pruebas

Identificador del Entregable:

4.1.1

Nombre de entregable(s):

Plan de Pruebas

Alcance del Trabajo:

La calidad del sistema se basara en un conjunto de herramientas
software en un variado campo del análisis estructural, basado en
estándares de la empresa.

Responsable:

Analista de Calidad

Duración

Fecha de

Fecha de

estimada:

Inicio:

Término

Requisitos de calidad:

El sistema está destinado a garantizar al usuario que sus resultados de
análisis están respaldados por métodos y prácticas de calidad que
minimizan el riesgo de utilización de un software defectuoso.

Otras referencias:

Hitos del cronograma:

DICCIONARIO DE EDT (WBS)
Cuenta de control:

Caso de Pruebas

Identificador del Entregable:

4.1.2

Nombre de entregable(s):

Casos de Pruebas

Alcance del Trabajo:

Se detallan los casos a ser utilizados en las pruebas a realizar.

Responsable:

Analista de Calidad

Duración

Fecha de

Fecha de

estimada:

Inicio:

Término

Página 35
Requisitos de calidad:

El sistema está destinado a garantizar al usuario que sus resultados de
análisis están respaldados por métodos y prácticas de calidad que
minimizan el riesgo de utilización de un software defectuoso.

Otras referencias:

Hitos del cronograma:

DICCIONARIO DE EDT (WBS)
Cuenta de control:

Procedimiento de Pruebas

Identificador del Entregable:

4.1.3

Nombre de entregable(s):

Procedimiento para Pruebas

Alcance del Trabajo:

Se basa en los procedimientos de calidad establecidos por la empresa.

Responsable:

Analista de Calidad

Duración

Fecha de

Fecha de

estimada:

Inicio:

Término

Requisitos de calidad:

El sistema está destinado a garantizar al usuario que sus resultados de
análisis están respaldados por métodos y prácticas de calidad que
minimizan el riesgo de utilización de un software defectuoso.

Otras referencias:

Hitos del cronograma:

DICCIONARIO DE EDT (WBS)
Cuenta de control:

Resultados de Evaluación de Pruebas

Identificador del Entregable:

4.1.4

Nombre de entregable(s):

Resultados de Evaluación de Pruebas

Alcance del Trabajo:

Se detalla el resultado de las pruebas realizadas.

Responsable:

Analista de Calidad

Página 36
Duración

Fecha de

Fecha de

estimada:

Inicio:

Término

Requisitos de calidad:

Debe ser aprobado por los Interesados clave

Otras referencias:

Hitos del cronograma:

DICCIONARIO DE EDT (WBS)
Cuenta de control:

Pruebas de Mensajes de Error

Identificador del Entregable:

4.2.1

Nombre de entregable(s):

Pruebas de Mensajes de Error

Alcance del Trabajo:

Se detalla las pruebas a realizar con las que se identificarán los
mensajes de error que pueda estar presentando el desarrollo del
programa.

Responsable:

Analista de Calidad

Duración

Fecha de

Fecha de

estimada:

Inicio:

Término

Requisitos de calidad:

Debe ser aprobado por los Interesados clave

Otras referencias:

Hitos del cronograma:

DICCIONARIO DE EDT (WBS)
Cuenta de control:

Pruebas de Sobrecarga de la Base de Datos

Identificador del Entregable:

4.2.2

Nombre de entregable(s):

Pruebas de Sobrecarga de la Base de Datos

Alcance del Trabajo:

Se detalla las pruebas a realizar de manera que se garantice la
performance de la base de datos creada para el proyecto.

Página 37
Responsable:

Analista de Calidad

Duración

Fecha de

Fecha de

estimada:

Inicio:

Término

Requisitos de calidad:

Debe ser aprobado por los Interesados clave

Otras referencias:

Hitos del cronograma:

DICCIONARIO DE EDT (WBS)
Cuenta de control:

Pruebas de la Interfaz Gráfica de Usuario

Identificador del Entregable:

4.2.3

Nombre de entregable(s):

Pruebas de la Interfaz Gráfica de Usuario

Alcance del Trabajo:

Se presenta la interfaz gráfica que se ha desarrollado para el proyecto.

Responsable:

Analista de Calidad

Duración

Fecha de

Fecha de

estimada:

Inicio:

Término

Requisitos de calidad:

Debe ser aprobado por los Interesados clave

Otras referencias:

Hitos del cronograma:

DICCIONARIO DE EDT (WBS)
Cuenta de control:

Manual de Usuario

Identificador del Entregable:

5.1.1

Nombre de entregable(s):

Manual de Usuario

Alcance del Trabajo:

Se detalla la funcionalidad del sistema que tendrá el usuario.

Página 38
Responsable:

Analista de Sistemas

Duración

Fecha de

Fecha de

estimada:

Inicio:

Término

Requisitos de calidad:

La elaboración de los documentos debe realizarse en los formatos
establecidos.

Otras referencias:

Hitos del cronograma:

Manual del Usuario

DICCIONARIO DE EDT (WBS)
Cuenta de control:

Actas Capacitación de Usuarios Finales

Identificador del Entregable:

5.1.2

Nombre de entregable(s):

Manual de Capacitación a Usuarios

Alcance del Trabajo:

Los temas de la capacitación deben ser realizados con el personal
responsable de su implementación, en este caso con los analistas y
desarrolladores del sistema.
Identificar al personal que se le brindara la capacitación del aplicativo.

Responsable:

Analista de Calidad

Duración

Fecha de

Fecha de

estimada:

Inicio:

Término

Requisitos de calidad:

La elaboración de los documentos debe realizarse en los formatos
establecidos.

Otras referencias:

Hitos del cronograma:

Plan de Capacitación a Usuarios
Manual de Capacitación

Página 39
DICCIONARIO DE EDT (WBS)
Cuenta de control:

Instalación del Software

Identificador del Entregable:

5.2.1

Nombre de entregable(s):

Manual Técnico de Instalación

Alcance del Trabajo:

Se realizara la instalación de la aplicación y se ejecutaran los script de
base de datos: tablas, procedimientos y carga inicial de datos.

Responsable:

Analista de Infraestructura / Analista de Base de Datos

Duración

Fecha de

Fecha de

estimada:

Inicio:

Término

Requisitos de calidad:

La elaboración de los documentos debe realizarse en los formatos
establecidos.

Otras referencias:

Hitos del cronograma:

Manual de Instalación
Manual Técnico

Página 40
2. GESTIÓN DEL TIEMPO
•

Cronograma del Proyecto y Diagrama de Barras (Gantt)

Página 41
Página 42
Página 43
•

Lista de Hitos del Proyecto

Nombre del

Elaboración de Costos de Empaques Flexibles

Proyecto:
Preparado por:

David Rodríguez

Fecha:

28 de Marzo de 2011

Hitos

WBS

Cronograma

1.4 Gestión del Tiempo

Fecha

Descripción
Se presenta las fechas de
cada una de las actividades
a desarrollar durante el
proyecto.

Presupuesto

1.5 Gestión de Costos

Se detallan los estimados
de costos, presupuesto y se
realiza una comparación
con el costo real.

Manuales de Usuario

2.1.3 Documentación de

Se presenta el detalle de las

Usuario

funcionalidades del sistema.

Manual de Configuración del

2.1.4 Implementación y

Descripción de los pasos

Sistema

Soporte para Futuro

técnicos a seguir para la
instalación del aplicativo a
desarrollar.

Requerimientos del Negocio

2.2.1 Modelo en Base a

Detalle de los

Requerimientos

requerimientos del negocio.

2.2.2 Descripción de la

Detalle de la Arquitectura a

Arquitectura

crear.

Aprobación del Programa

3.1.2 Revisión del Programa

Verificación del programa

Preliminar

Preliminar

que se propone de acuerdo

Modelo de la Arquitectura

a los requerimientos

Página 44
presentados.
Aprobación del Programa

3.1.5 Aprobación del

Se documenta la

Programa

aprobación del programa
presentado.

Manual de Usuario

5.1.1 Manual de Usuario

Se detalla la funcionalidad
del sistema que tendrá el
usuario.

Plan de Capacitación a

5.1.2 Actas Capacitación de

Los temas de la

Usuarios

Usuarios Finales

capacitación deben ser

Manual de Capacitación

realizados con el personal
responsable de su
implementación, en este
caso con los analistas y
desarrolladores del sistema.
Identificar al personal que
se le brindara la
capacitación del aplicativo.

Manual de Instalación

5.2.1 Instalación del

Se realizara la instalación

Manual Técnico

Software

de la aplicación y se
ejecutaran los script de
base de datos: tablas,
procedimientos y carga
inicial de datos.

Comentarios:

Revisado por:

Autorizado por:

Fecha:

Fecha:

Página 45
3. GESTIÓN DE LOS COSTOS
•

Estimación de los Costos
JULIO

AGOSTO

SETIEMBRE

OCTUBRE

NOVIEMBRE

DICIEMBRE

ENERO

Gerente de Proyecto

S/. 7,000.00

S/. 7,000.00

S/. 7,000.00

S/. 7,000.00

S/. 7,000.00

S/. 7,000.00

S/. 7,000.00

Analista Sistema (2)

S/. 8,400.00

S/. 8,400.00

S/. 8,400.00

S/. 8,400.00

S/. 8,400.00

S/. 8,400.00

S/. 8,400.00

S/. 3,000.00

S/. 3,000.00

S/. 3,000.00

S/. 3,000.00

S/. 3,000.00

S/. 3,000.00

S/. 3,000.00

programadores (3)

S/. 7,450.00

S/. 7,450.00

S/. 7,450.00

S/. 7,450.00

S/. 7,450.00

S/. 7,450.00

S/. 7,450.00

Tecnico de hardware

S/. 2,200.00

S/. 2,200.00

S/. 2,200.00

S/. 2,200.00

S/. 2,200.00

S/. 2,200.00

S/. 2,200.00

Administrador de DB

S/. 5,000.00

S/. 5,000.00

S/. 5,000.00

S/. 5,000.00

S/. 5,000.00

S/. 5,000.00

S/. 5,000.00

Analista
infraestructura
Recursos
Analista

Equipos
(Repotenciar)

Memoria RAM

S/. 2,800.00

Disco duro

S/. 3,000.00

Licencias

SQL Server 2011

(Conexiones)

Enterprise Edition

Materiales y
útiles de

S/. 560.00

Papel Bond tamaño
A4 de 75gr.

S/. 25.00

S/. 25.00

S/. 25.00

Página 46
escritorio

S/. 12.00

S/. 12.00

S/. 12.00

manila

S/. 7.50

S/. 7.50

S/. 7.00

Lapiz

S/. 12.00

Lapiceros
Folders / Sobre

Memorias USB de 4
Gb, Scandisk

S/. 120.00

Cartuchos

S/. 140.00

S/. 140.00

Internet, luz, agua,
teléfono
Servicios

S/. 305.00

Copias

S/. 10.00

Capacitaciones
Movilidad

S/. 305.00

S/. 305.00

S/. 305.00

S/. 305.00

S/. 305.00

S/. 305.00
S/. 10.00

S/. 3,000.00
S/. 320.00

S/. 320.00

S/. 320.00

S/. 320.00

S/. 320.00

S/. 320.00

S/. 320.00

S/. 2,050.00

S/. 2,050.00

S/. 2,050.00

S/. 2,050.00

S/. 2,050.00

S/. 2,050.00

S/. 2,050.00

SUB TOTAL

S/. 35,911.50

S/. 45,085.00

S/. 35,865.00

S/. 35,769.50

S/. 35,725.00

S/. 35,725.00

S/. 35,919.00

TOTAL

S/. 260,000.00

Reservas

Página 47
•

Curva S

Trabajo

R. Gestión

R. Contingencia

Costo Total

Costo
CA

Fijo +

Acumulado

Costo

Acumulado

Costo

Fijo + Var +

Acumulado

Costo

Acumulado

(S/.)

variable

(S/.)

(S/.)

(S/)

(S/.)

RC

(S/)

(S/)

(S/.)

6,000.00

600.00

600.00

100.00

100.00

6,700.00

6,700.00

Inicio

6,000.00

Requerimientos

8,000.00

6,500.00

14,000.00

800.00

1,400.00

1,500.00

8,000.00

1,600.00

10,300.00

17,000.00

Análisis y diseño

38,000.00

34,000.00

52,000.00

3,100.00

4,500.00

3,500.00

37,500.00

5,100.00

44,600.00

61,600.00

Ambiente y Desarrollo

42,000.00

38,000.00

94,000.00

3,300.00

7,800.00

2,400.00

40,400.00

7,500.00

47,700.00

109,300.00

Desarrollo

63,000.00

55,000.00

157,000.00

4,100.00

11,900.00

2,600.00

57,600.00

10,100.00

69,700.00

179,000.00

Pruebas y Planeamiento

42,500.00

42,300.00

199,500.00

3,500.00

15,400.00

3,000.00

45,300.00

13,100.00

49,000.00

228,000.00

Deployment

32,500.00

9,950.00

232,000.00

3,100.00

18,500.00

3,000.00

12,950.00

16,100.00

38,600.00

266,600.00

Dirección del Proyecto

28,000.00

9,950.00

260,000.00

2,400.00

20,900.00

3,000.00

12,950.00

19,100.00

33,400.00

300,000.00

Página 48
Línea base del
proyecto
Reserva Gestión
Presupuesto

S/.260,000.00
S/.20,900.00
S/.280,900.00

Reserva
Contingencias
Costo Total

S/.19,100.00
S/.300,000.00

Página 49
Página 50
4. GESTIÓN DE LA CALIDAD

•

Plan de Gestión de la Calidad del Proyecto

Nombre del Proyecto:

Elaboración de Costos de Empaques Flexibles

Preparado por:

David Rodríguez

Fecha:

28 de Marzo de 2011

Descripción del Sistema de Calidad del Proyecto:
ESTRUCTURA ORGANIZACIONAL

ROLES Y RESPONSABILIDADES
Gerente del Proyecto.Genera Plan de Gestión de Calidad.
Determina métricas de Calidad
Realiza lista de Control de Calidad
Genera el Plan de mejoras del proceso
Determina línea base de calidad
Actualizar el Plan de Gestión del Proyecto según entregables de calidad.
Integra los procesos de calidad.
Informa a los Stakeholders.

Analista de QA.Recomendar las acciones correctivas de los procesos evaluados.

Página 51
Auditar los procesos para el desarrollo del sistema.

Testeador de QA.Verificar que la el sistema cumpla con las especificaciones requeridas en el proceso de
planificación.
Verificar que el desarrollo del Sistema cumpla con la metodología definida por la empresa.
PROCEDIMIENTOS
Gestión de Proyectos.- Cumplir con el estándar para la Gestión de Proyectos, según cada plan
subsidiario desarrollado para este proyecto. Esta guía ha sido desarrollada basada en los formatos de
administración de proyectos que se usa el área de Sistemas.

Desarrollo de Sistemas.- Se ha adoptado implantar el Proceso Unificado de Rational RUP (Rational
Unified Process), adaptándolo a las necesidades de sus clientes en conjunción con una serie de
normas y estándares internacionales para el diseño, codificación y pruebas del software.

Ingeniería de Negocios: Entendiendo las necesidades del negocio.
Requerimientos: Trasladando las necesidades del negocio a un sistema automatizado.
Análisis y Diseño: Trasladando los requerimientos dentro de la arquitectura de software.
Implementación: Creando software que se ajuste a la arquitectura y que tenga el comportamiento
deseado.

Página 52
Pruebas: Asegurándose que el comportamiento requerido es el correcto y que todo los solicitado está
presente.

El proceso unificado de desarrollo del software presenta las siguientes características:
Desarrollo incremental por iteraciones: Cada proyecto se descompone en iteraciones (mini proyectos),
al final de cada iteración obtenemos un producto cada vez más grande.
Iteraciones dirigidas por el riesgo: Las primeras iteraciones que abordaremos serán aquellas que
impliquen mayores riesgos, ya que seguramente tendrán una fuerte influencia en la arquitectura del sistema
o subsistema a construir y nos ayudarán a detectar en una fase temprana los problemas que
retroalimentarán la siguiente Iteración, donde serán resueltos.
Centrado en la arquitectura: También abordaremos como primeras iteraciones aquéllas que definan los
componentes más influyentes en la arquitectura.
Control Continuo de la Calidad: Cada iteración es un mini-proyecto que representa un incremento
respecto al resultado de la iteración anterior, con el cual debe integrarse. Cada uno de estos incrementos
es probado rigurosamente a diferentes niveles: desarrollador, unidad, integración y sistema, garantizando
un control estricto y continuo de la calidad del producto. Además cada iteración que resulte en una entrega,
tendrá que pasar otro duro examen de calidad: la aprobación del usuario.
CONTROL DE CALIDAD
Proyecto
Verificar que el proyecto cumpla con la Guía de Gestión de Proyectos de Desarrollo de Software.
Las herramientas a usar serán: diagrama de causa efecto, diagramas de control, diagramas de flujo,
histogramas, diagrama de pareto, inspección.
Usar formatos
Producto
Verificar que el Sistema cumpla con los requerimientos.
Las herramientas a usar serán : diagrama de causa efecto, diagramas de control, diagramas de flujo,
histogramas, diagrama de pareto, inspección
ASEGURAMIENTO DE LA CALIDAD
"Calidad" se refiere a todas las cosas buenas que nos gustaría ver en nuestro producto. Nosotros
construimos un producto de calidad y aseguramos su calidad manteniendo calidad en mente todo el

Página 53
tiempo y realizando las actividades seleccionadas abajo. Las pruebas son una actividad de QA, pero no
es la mejor ni la única, otras actividades de QA incluyen el uso de guías de estilo y listas de pendientes,
minutas en reuniones, uso de herramientas de análisis y cuidadosas mediciones y estimados de la
calidad. Es necesario un plan para seleccionar y coordinar todas las actividades de QA.
Para lograr este objetivo se van a hacer auditorias de calidad orientadas al proyecto y al producto

•

Normas de Calidad necesarias para realizar el Control de Calidad

Nombre del Proyecto:

Elaboración de Costos de Empaques Flexibles

Preparado por:

David Rodríguez

Fecha:

28 Marzo de 2011

Objetivos del Proyecto (Calidad)

Aplicar la metodología RUP para el desarrollo del
proyecto de tecnología de la empresa.
Aplicar los procedimientos y estándares
establecidos en la empresa.

Metodología de Análisis y Diseño de Sistemas

La metodología de la empresa que se debe usar en
el desarrollo de proyectos IT es RUP.

Estándares de Programación y Procedimientos

Los estándares de programación, procedimientos

de Pruebas Integrales y Pases

de pruebas integrales y pases que usa la empresa
se encuentran definidos en la guía de estándares
de SDLC.

Guía del PMBOK

La Guía del PMBOK® es un estándar en la
Administración de proyectos desarrollado por el
Project Management Institute (PMI). La misma
comprende dos grandes secciones, la primera
sobre los procesos y contextos de un proyecto, la
segunda sobre las áreas de conocimiento
específico para la gestión de un proyecto.

Manual de Procedimientos para la Elaboración

Establecer las actividades adecuadas para la

Página 54
de Costos de Empaques Flexibles

elaboración de costos de empaques flexibles
asegurando su que se realice en el tiempo oportuno
y definido por la empresa. Además, se debe
aprovechar ésta información para la mejora de los
procesos de la empresa.

•

Lista de Control de Calidad

Nombre del Proyecto:

Elaboración de Costos de Empaques Flexibles

Preparado por:

David Rodríguez

Fecha:

28 de Marzo de 2011

1. Manual de la Calidad
Puntos de control

Conforme Observado Comentarios

• El alcance del Sistema de Gestión de la Calidad
incluyendo los instrumentos para los que se emitirá la
Declaración de Conformidad.

• Procedimientos documentados o referencia a ellos.

• Una descripción de la interacción entre los procesos

Realizado por:
Fecha:

Página 55
2. Control de los Documentos
Puntos de control

Conforme Observado Comentarios

• Existe un procedimiento documentado que defina los
controles necesarios para:
Emitir y aprobar los documentos.
Revisar, actualizar y aprobar documentos cuando
sea necesario.
• Se identifican los cambios en los documentos.
• Se identifica el estado de revisión actual de los
documentos.

• Se asegura que les versiones pertinentes de los
documentos aplicables se encuentran disponibles en
los puntos de uso.
• Se asegura que los documentos permanecen legibles y
fácilmente identificables.
• Se asegura que se identifican los documentos de origen
externo y se controla su distribución.
• Se

identifican

adecuadamente

los

documentos

obsoletos, cuando se mantienen por cualquier razón.
Realizado por:
Fecha:

3. Control de los Registros
Puntos de control

Conforme Observado Comentarios

• Se mantienen registros para proporcionar evidencia de

Página 56
la conformidad de los requisitos, así como de la
operación eficaz según un procedimiento documentado.
• Se han definido controles para su:
1. Identificación.
2. Almacenamiento, protección y recuperación.
3. Tiempo de retención y disposición.
Cuando corresponda, el tiempo de retención de los
registros debe estar en relación con la vida útil del
producto
• Los registros son:
1. Legibles.
2. Identificables.
3. Recuperables.
4. Trazables al instrumento (cuando corresponda)
Realizado por:
Fecha:

4. Responsabilidad, Autoridad y Comunicación
Puntos de control

Conforme Observado Comentarios

• Se ha definido la estructura de la organización
• Se

encuentran

definidas

las

diferentes

responsabilidades y autoridades.
• Se ha identificado al personal responsable de la toma
de decisiones sobre la aprobación del ensayo y la
emisión de la Declaración de Conformidad
Realizado por:
Fecha:

Página 57
5. Revisión por la Dirección
Puntos de control

Conforme Observado Comentarios

• Existe evidencia de que la dirección ha revisado el
sistema de gestión para asegurar su conveniencia,
adecuación y eficacia.
• Los resultados de la revisión por la dirección incluyen
decisiones y acciones relacionadas con:
a) la mejora del sistema de gestión y sus procesos
b) la mejora del producto en relación con los requisitos
del cliente
c) las necesidades de recursos.
Realizado por:
Fecha:

6. Recursos Humanos - Competencia, Toma de Conciencia y Formación
Puntos de control

• La

organización

ha

determinado

Conforme Observado Comentarios

la

competencia

necesaria para el personal que realiza trabajos que
afectan a la calidad del producto.
• La organización proporciona formación o toma otras
acciones para satisfacer dichas necesidades.
• La organización se asegura de que el personal sea
consciente de la pertinencia e importancia de sus
actividades y de cómo contribuyen al logro de los
objetivos de calidad.
• La organización mantiene los registros apropiados que
demuestran la educación, formación, habilidades y
Página 58
experiencia de su personal.
Realizado por:
Fecha:

7. Procesos Relacionados con el Cliente
Puntos de control

Conforme Observado Comentarios

• La organización determina los requisitos especificados
y características relevantes para el cliente.
• Se incluyen los requisitos para las actividades de
entrega y las posteriores a la misma.
• Se determinan los requisitos legales y reglamentarios
relacionados con el producto.
Realizado por:
Fecha:

8. Diseño y Desarrollo
Puntos de control

Conforme Observado Comentarios

• Se han determinado como elementos de entrada del
diseño

los

requisitos

legales

y

reglamentarios

aplicables.
• Se encuentran identificados los diseños para los
equipos a los que se les ha otorgado la Aprobación de
Modelo.
• Está establecida una metodología que asegure la
comunicación ante cualquier cambio en el diseño del
instrumento para el cual se ha obtenido la Aprobación

Página 59
de Modelo
• Se mantienen registros.
Realizado por:
Fecha:

9. Control de los Dispositivos de Seguimiento y Medición
Puntos de control

Conforme Observado Comentarios

• Se han determinado los requisitos de monitoreo y
medición, incluyendo:
1. Las tolerancias requeridas.
2. Monitoreo y mediciones a ser llevados a cabo.
3. Dispositivos necesarios.
4. Procesos consistentes con los requisitos.
• Los equipos de medición son:
1. Calibrados a intervalos específicos de acuerdo con
las

disposiciones

vigentes

o

antes

de

ser

utilizados.
2. Calibrados con trazabilidad a patrones nacionales
o internacionales
3. Ajustados o re-ajustados si es necesario.
4. Identificados para poder determinar el estado de
calibración.
5. Protegido contra ajustes que pudieran invalidar el
resultado de la medición.
6. Protegidos contra los daños o deterioro.
• Cuando el equipo no está conforme con los requisitos:
1. Se evalúa y registra la validez de resultados previos.
2. Se toma alguna acción sobre el equipo.

Página 60
3. Se toma alguna acción sobre cualquier producto
afectado.
• Se mantienen registros de calibración y verificación.
• ¿Se

utiliza

algún

software

en

actividades

de

seguimiento y medición?
1. Se verifica antes de su uso.
2. Se re-confirma si es necesario.
3. Se realizan los registros correspondientes.
4. Existen copias de respaldo.
Realizado por:
Fecha:

10.

Auditoría Interna
Puntos de control

Conforme Observado Comentarios

• Se planifica un programa de auditorías tomando en
consideración el estado y la importancia de los
procesos y las áreas por auditar, así como los
resultados de auditorías previas.
• La organización lleva a cabo auditorías internas para
determinar si el proyecto
a) es conforme con las disposiciones planificadas y los
requisitos establecidos por la organización.
b) ha sido implementado y se mantiene de manera
eficaz.
• Se han definido los criterios de auditoría, el alcance de
las mismas, su frecuencia y metodología.
• La selección de los auditores y la realización de las
auditorías asegura la objetividad e imparcialidad del

Página 61
proceso de auditoría.
• Se ha definido un procedimiento documentado que
incluya:
1. Las responsabilidades y los requisitos para la
planificación y la realización de auditorías.
2. El informe de los resultados.
3. El mantenimiento de los registros.
• El responsable del área que está siendo auditada
asegura de que se toman acciones sin demora para
eliminar las no conformidades detectadas y sus causas.
• Las actividades de seguimiento incluyen la verificación
de las acciones tomadas y el informe de los resultados
de la verificación.
• La Dirección toma conocimiento de las acciones
tomadas y evalúa las acciones tomadas interviniendo
cuando considere que no son adecuadas.
Realizado por:
Fecha:

11.

Seguimiento y Medición del Producto
Puntos de control

Conforme Observado Comentarios

• La organización mide y hace un seguimiento de las
características del producto para verificar que se
cumplen los requisitos del mismo.
• La medición se efectúa en las etapas apropiadas del
proceso de realización del producto de acuerdo con las
disposiciones planificadas.

Página 62
• Se mantiene evidencia de la conformidad con los
criterios de aceptación.
Realizado por:
Fecha:

12.

Acción Correctiva
Puntos de control

Conforme Observado Comentarios

• La organización toma acciones para eliminar la causa
de no conformidades con objeto de prevenir que vuelva
a ocurrir
• Está establecido un procedimiento documentado para
definir los requisitos para:
a) revisar las no conformidades y quejas de los clientes;
b) determinar las causas de las no conformidades;
c) evaluar la necesidad de adoptar acciones para
asegurarse de que las no conformidades no vuelvan a
ocurrir,
d) determinar e implementar las acciones necesarias
e) registrar los resultados de las acciones tomadas
f) revisar las acciones correctivas tomadas.
Realizado por:
Fecha:

13.

Acción Preventiva
Puntos de control

Conforme Observado Comentarios

• La organización determina acciones para eliminar las
causas de no conformidades potenciales para prevenir
Página 63
su ocurrencia.
• Está establecido un procedimiento documentado para
definir los requisitos para:
a) determinar las no conformidades potenciales y sus
causas;
b)evaluar la necesidad de actuar para prevenir la
ocurrencia de no conformidades;
c) determinar e implementar las acciones necesarias
d) registrar los resultados de las acciones tomadas
e) revisar las acciones preventivas tomadas.
Realizado por:
Fecha:

14.

Desarrollo de Pruebas
Puntos de control

Conforme Observado Comentarios

• Son adecuadas las instalaciones donde se realizan las
pruebas.
• Se encuentran establecidas las condiciones en la que
se

desarrollan

las

pruebas.

Se

encuentran

adecuadamente controladas y registradas.
• Se cuenta con procedimientos escritos de las pruebas
que se desarrollan los que permitan:
1. Llevar a cabo las pruebas
2. Verificar el cumplimiento de los criterios de
aceptación; y
3. Mantenimiento de los registros.
• Los procedimientos se encuentran adecuadamente
implementados

Página 64
• Se ha establecido y se cuenta con los registros
necesarios de la competencia técnica del personal que
realiza las pruebas
• El

personal

que

ha

realizado

las

pruebas

es

competente.
• Se utilizan formularios apropiados para registrar los
resultados de las pruebas.
Realizado por:
Fecha:

5. GESTIÓN DE LOS RECURSOS HUMANOS
•

Organigrama del Equipo del Proyecto

Página 65
•

Descripción de Roles y Cargos

Nombre del Proyecto:

Elaboración de Costos de Empaques Flexibles

Preparado por:

David Rodríguez

Fecha:

12 Abril de2011

Nombre del Rol: Gerente de Proyecto
Responsabilidades
• Preparar el plan del proyecto
• Planificar el trabajo
• Asignar responsabilidades a los miembros del equipo del proyecto
• Asegurar la obtención de resultados
• Revisión y Aprobación de Entregables
• Nexo de comunicación con el Comité de Seguimiento del proyecto
• Avalar el correcto desarrollo, desempeño y aprovechamiento de los recursos asignados al proyecto
Competencias

Página 66
Capacidades::
• Proactivo
• Trabajo bajo presión
• Trabajo en equipo
Conocimiento:
• Ingeniería de Sistemas y/o Software
• Gerencia de Proyectos basado en PMBOK
• Metodología RUP
• Guía de Estándares SDLC
• Costos y Presupuestos
Habilidades
• 8 años de experiencia en ingeniería de sistemas
• 5 años de experiencia en gerencia de proyectos.
• 3 años de experiencia como Gerente de Proyectos
• 1 año de experiencia en manejo de Calidad
• Manejo de Conflictos
• Liderazgo
Autoridad

Número Estimado

Fecha inicio

Fecha de retiro

1

Tiempo requerido
Tiempo Completo

Nombre del Rol: Analista de Sistemas
Responsabilidades
•

Preparar el cronograma

•

Generar los requerimientos de Software

•

Generar el diseños de las interfaces

•

Asignar recursos a las actividades

Página 67
•

Asegurar la obtención de resultados

•

Aprobar los requerimientos funcionales y no funcionales.

•

Aprobar el Modelo de Base de Datos

•

Controlar y monitorear el desarrollo de los requerimientos

•

Preparar el plan de pruebas de stress del sistema

•

Instalar en ambiente de producción

Competencias
Capacidades::
•

Proactivo

•

Trabajo bajo presión

•

Trabajo en equipo

Conocimiento:
•

Ingeniería de Sistemas y/o Software

•

Gerencia de Proyectos basado en PMBOK

•

Metodología RUP

•

Guía de Estándares SDLC

Habilidades
•

5 años de experiencia en ingeniería de sistemas

•

3 años de experiencia en gerencia de proyectos.

•

2 años de experiencia como analista de sistemas

•

Manejo de Conflictos

•

Liderazgo

Autoridad
•

Gerente de Sistemas

Número Estimado

Fecha inicio

1

Fecha de retiro

Tiempo requerido
Tiempo Completo

Nombre del Rol: Analista de QA

Página 68
Responsabilidades
•

Preparar el cronograma de pruebas

•

Preparar el plan de pruebas

•

Generar los requerimientos para el ambiente de pruebas

•

Asegurar la obtención de resultados

•

Aprobar el plan de pruebas

•

Controlar, monitorear y asegurar la calidad del desarrollo de los requerimientos.

Competencias
Capacidades::
•

Proactivo

•

Trabajo bajo presión

•

Trabajo en equipo

Conocimiento:
•

Ingeniería de Sistemas y/o Software

•

Gerencia de Proyectos basado en PMBOK

•

Metodología RUP

•

Guía de Estándares SDLC

Habilidades
•

5 años de experiencia en ingeniería de sistemas

•

3 años de experiencia en gerencia de proyectos.

•

2 años de experiencia como analista de QA

•

Manejo de Conflictos

•

Liderazgo

Autoridad
•

Gerente de Sistemas

Número Estimado
1

Fecha inicio

Fecha de retiro

Tiempo requerido
Tiempo Completo

Página 69
Nombre del Rol: Analista de Infraestructura
Responsabilidades
•

Preparar el cronograma de implementación

•

Generar los requerimientos de Hardware

•

Asignar los recursos a las actividades

•

Implementar el ambiente de QA

•

Implementar el ambiente de Producción

•

Preparar el plan de pruebas de stress del sistema

Competencias
Capacidades::
•

Proactivo

•

Trabajo bajo presión

•

Trabajo en equipo

Conocimiento:
•

Ingeniería de Sistemas y/o Redes

•

Gerencia de Proyectos basado en PMBOK

•

Redes y Telecomunicaciones

Habilidades
•

1 años de experiencia en ingeniería de sistemas

•

1 años de experiencia en gerencia de proyectos.

•

3 años de experiencia como analista de Infraestructura

•

Manejo de Conflictos

•

Liderazgo

Autoridad
•

Gerente de Sistemas
Número Estimado
1

Fecha inicio

Fecha de retiro

Tiempo requerido
Tiempo Completo

Página 70
Nombre del Rol: DBA
Responsabilidades
•

Preparar el Modelo de la Base de Datos

•

Generar los scripts de Creación de la Base de Datos

•

Implementar la Base de Datos en el ambiente de QA

•

Implementar la Base de Datos en el ambiente de Producción

•

Realizar las pruebas de stress de la Base de Datos

Competencias
Capacidades::
•

Proactivo

•

Trabajo bajo presión

•

Trabajo en equipo

Conocimiento:
•

Ingeniería de Sistemas

•

Certificación en Administración de Bases de Datos SQL

•

Redes y Telecomunicaciones

Habilidades
•

5 años de experiencia en ingeniería de sistemas

•

3 años de experiencia como Administrador de Base de Datos

•

Manejo de Conflictos

Autoridad
•

Gerente de Sistemas

Número Estimado

Fecha inicio

Fecha de retiro

1

Tiempo requerido
Tiempo Completo

Nombre del Rol: Analista Programador
Responsabilidades
•

Realizar el desarrollo de los requerimientos funcionales

Página 71
•

Generar código fuente

•

Generar pantallas de consulta

•

Generar reportes

Competencias
Capacidades::
•

Proactivo

•

Trabajo bajo presión

•

Trabajo en equipo

Conocimiento:
•

Análisis y Diseño Orientado a Objetos

•

Programación Orientada a Objetos

•

Metodología RUP

•

Visual Basic 6.0

•

Lenguaje SQL

Habilidades
•

3 años de experiencia en desarrollo de software

•

2 años de experiencia en desarrollo con bases de datos SQL Server

•

1 año de experiencia en desarrollo de proyectos bajo metodología RUP

Autoridad
•

Analista de Sistemas

Número Estimado

Fecha inicio

Fecha de retiro

2

Tiempo requerido
Tiempo Completo

Nombre del Rol: Testeador QA
Responsabilidades
•

Ejecutar el plan de pruebas del proyecto

•

Realizar las pruebas de stress del sistema

•

Realizar las pruebas de stress de la Base de Datos

Página 72
Competencias
Capacidades::
•

Proactivo

•

Trabajo bajo presión

•

Trabajo en equipo

Conocimiento:
•

Ingeniería de sistemas

•

Metodología SDLC

•

Metodología RUP

•

Visual Basic 6.0

•

Lenguaje SQL

Habilidades
•

3 años de experiencia en proyectos de calidad

•

2 años de experiencia como testeador en proyectos de desarrollo de software

•

1 año de experiencia en testeo de proyectos bajo metodología SDLC

Autoridad
•

Analista de QA

Número Estimado

Fecha inicio

Fecha de retiro

Tiempo requerido

1

Nombre del Rol: Técnico de Hardware
Responsabilidades
•

Realizar el desarrollo de los requerimientos funcionales

•

Generar código fuente

•

Generar pantallas de consulta

•

Generar reportes

Competencias

Página 73
Capacidades::
•

Proactivo

•

Trabajo bajo presión

•

Trabajo en equipo

Conocimiento:
•

Técnico en Ensamblaje y Configuración de Equipos de Computo

•

Herramientas de Service Desk

•

Redes y Telecomunicaciones

Habilidades
•

2 años de experiencia como técnico de computadoras

•

1 años de experiencia en redes y telecomunicaciones

•

1 año de experiencia en implementación de proyectos de infraestructura

Autoridad
•

Analista de Infraestructura

Número Estimado
1

Fecha inicio

Fecha de retiro

Tiempo requerido
Tiempo Completo

Página 74
•

Matriz de Asignación de Responsabilidades

Gerente de

Analista de

Analista

Analista de

Analista

Testeador

Técnico de

Programador

QA

Hardware

Segundo

Henry Minaño /

Víctor

Cesar

Arévalo

Marcial Armijo

Mogollón

Camacho

I

I

I

I

DBA
Listado de

Proyecto

Sistemas

de QA

Entregables

David

Beatriz

Infraestructura

Nancy
Marco Horna

Rodríguez

Yamaguzuku

Fernández

R

I

I

I, V, A

I, V

R

P, O

R

P, V

P

P, V

I

R

I

I

P

P

P

I

I

I

I

I

R

I

I

Acta de Constitución
del Proyecto (Project

I

Charter)
Actualización del
Programa Preliminar
Aprobación del
I
Programa
Casos de Pruebas
Cronograma del
R

P

I

Proyecto
Desarrollo de
Procedimientos

Página 75
Almacenados y
Triggers
Desarrollo de Tablas y
P, I

I

R

P, I

I

P, I

I

R

P, I

I

Relaciones
Desarrollo de Vistas
Diseño de Interfaz

A

R

P

Enunciado del Alcance

R

I

I

A

R

I

A

P, I

I

I

R

I

I

I

I

I

I

I

I

P

P, I

I

I

I

I

P

I

I

I

I

Financiamiento de
R
Proyecto
Lista de
Requerimientos
Funcionales
Lista de
Requerimientos No

R

P, I

Funcionales
Manual de
Capacitación a
Usuarios
Manual de

R

R

P

Página 76
Configuración del
Sistema
Manual de Usuario

I

R

I

P

I

Manual Técnico de
I

R

P

P

Instalación
Matriz de
R

I

I

I

I

I

I

I

P, I

I

P, I

R

P, I

I

I

I

R

I

R

Responsabilidades
Modelo de Base de
Datos
Modelo de la
Arquitectura
Modelo Preliminar del
R

P

Programa
Organigrama del
R

I

I

I

I

I

I

I

A

I

R

I

I

I

P, I

I

I

I

I

I

Equipo del Proyecto
Plan de Calidad
Plan de Gestión de las
R
Adquisiciones
Plan de Gestión de las

R

Página 77
Comunicaciones
Plan de Gestión de
R

I

I

I

I

Plan de Pruebas

A

I

R

I

I

Plan de Riesgo

R

Plan del Proyecto

R

I

I

I

I

A

I

R

I

I

I

P, I

R

I

P, I

R

P, I

I

P, I

R

A

R

I

I

I

R

Riesgos
I

P, I

I

I

P, I

I

P, I

P, I

P, I

P, I

P, I

I

R

P, I

P, I

I

I

I

I

I

P

Procedimiento para
Pruebas
Pruebas de la Interfaz
Gráfica de Usuario
Pruebas de Mensajes
I

de Error
Pruebas de
Sobrecarga de la Base
de Datos
Requerimientos del
I

Negocio
Resultados de
Evaluación de Pruebas

Página 78
Revisión del Programa

R

I

I

P

R

I

I

P

Revisión del Programa
Preliminar

Función que realiza
el Rol en el
entregable
R = Responsable

Es el responsable del entregable

P = Participa

Participa en la construcción/elaboración del entregable

I = Informado

Es informado del resultado del entregable

V = Verificación
requerida

Participa en el control de calidad del entregable

O = Opinión
requerida

Participa como Experto

A = Autoriza

Autoriza la entrega del entregable
El entregable requiere su

F = Firma requerida

firma

Página 79
6. GESTIÓN DE LAS COMUNICACIONES

•

Registro de Interesados del Proyecto

Nombre del proyecto:

Elaboración de Costos de Empaques Flexibles

Preparado por:

David Rodríguez

Fecha:

14 Abril de 2011

Categorí

Interesado

Clave

a
Interno

Gerente del Proyecto

Gestionar de Cerca

Interno

Cliente

Mantenerlo Informado

Interno

Comité de Seguimiento del Proyecto

Gestionar de Cerca

Interno

Directivos

Mantenerlo Satisfecho

Externo

Proveedores

Monitorear

Interno

Empleados

Monitorear

Interno

Gerente General

Mantenerlo Satisfecho

Interno

Equipo de Desarrollo

Mantenerlo Informado

Interno

Equipo de Calidad

Mantenerlo Informado

Interno

Equipo de Infraestructura

Mantenerlo Informado

Página 80
•

Plan de Gestión de las Comunicaciones

Nombre del proyecto:

Elaboración de Costos de Empaques Flexibles

Preparado por:

David Rodríguez

Fecha:

14 Abril de 2011
Método de

Información

Responsable

Para su entrega a los

Descripción de la
Frecuencia

comunicación
requerida

de elaborarlo

Stakeholders

Comentarios

Comunicación
a utilizar

Comité de Seguimiento del

Informe detallado del

Gerente del
Presupuesto

Inicio del
Proyecto / Directivos / Gerente

Escrito

Presupuesto para el

Proyecto

Proyecto
General

desarrollo del Proyecto

Comité de Seguimiento del
Proyecto / Equipo de
Hitos de

Gerente del

Informe de Hitos del

Proyecto

Inicio del

Proyecto

Desarrollo / Equipo de

Proyecto

Informe detallado del

Inicio del

Escrito

Proyecto
Infraestructura / Equipo de
Calidad / Gerente General

Cronograma

Gerente del

Comité de Seguimiento del

Escrito

Página 81
Proyecto

Proyecto / Gerente General /

Cronograma del Proyecto

Proyecto

Informe del Plan del

Inicio del

Proyecto

Proyecto

Equipo de Desarrollo / Equipo
de Infraestructura / Equipo de
Calidad
Plan de

Gerente del

Comité de Seguimiento del
Escrito

Proyecto

Proyecto

Acta de

Gerente del

Reuniones

Proyecto / Gerente General /

Proyecto

Comité de Seguimiento del

Después de
Informe de las Actas de

Proyecto / Cliente

Escrito

cada
Reuniones sostenidas
reunión

Analista de

Gerente del Proyecto / Cliente

Sistemas

/ Equipo de Desarrollo /

Informe de las

Especificacione

Fase de
Escrito

Especificaciones
Planificación

s Funcionales
Equipo de Calidad

Funcionales

Gerente del Proyecto / Equipo
Especificacione

Analista de

de Desarrollo / Equipo de

Informe de

Fase de

Especificaciones Técnicas

Planificación

Escrito
s Técnicas

Infraestructura

Infraestructura / Equipo de
Calidad

Especificacione

Gerente del Proyecto / Equipo

Informe de
Fase de

s del Modelo de

DBA

de Desarrollo / Equipo de

Escrito

Especificaciones del
Planificación

Base de Datos

Infraestructura / Equipo de

Modelo de Base de Datos

Página 82
Calidad
Analista de

Gerente del Proyecto / Equipo

Sistemas

de Desarrollo / Equipo de

Informe de las
Especificacione

Fase de
Escrito

s de Interfaces

Especificaciones de

Infraestructura / Equipo de

Planificación
Interfaces

Calidad
Analista de

Gerente del Proyecto / Equipo

Sistemas

de Desarrollo / Equipo de

Especificacione

Informe de las
Fase de
Escrito

s del Ambiente

Especificaciones del

Infraestructura / Equipo de

Planificación

de Desarrollo

Ambiente de Desarrollo
Calidad
Analista de

Gerente del Proyecto / Equipo

Sistemas /

de Desarrollo / Equipo de

Especificacione

Especificaciones del Plan
Fase de
Escrito

s de Recursos
Analista de

de Distribución de

Infraestructura / Equipo de

Planificación

por Actividad

Recursos por Actividad
Infraestructura

Calidad
Gerente del Proyecto / Equipo
Informe de

Especificacione

Analista de

de Desarrollo / Equipo de

Fase de
Escrito

s de Hardware

Infraestructura

Especificaciones de

Infraestructura / Equipo de

Planificación
Hardware

Calidad
Especificacione

Analista de

Gerente del Proyecto / Equipo

Informe de

Fase de

Especificaciones de

Planificación

Escrito
s de Software

Sistemas

de Desarrollo / Equipo de

Página 83
Infraestructura / Equipo de

Software

Calidad
Documentos de

Todas las

Gerente del Proyecto / Cliente
Informe de Documentos

Analista de
Gestión de

/ Comité de Seguimiento del

Escrito

Sistemas
Cambios

Fases del
de Solicitud de Cambios

Proyecto

Proyecto

Gerente del Proyecto / Equipo
Fase de
Pruebas de

de Desarrollo / Equipo de
Analista de QA

Informe de las Pruebas de
Escrito

Infraestructura / Equipo de

Calidad

Control y
Calidad
Seguimiento

Calidad
Gerente del Proyecto / Equipo
Analista de
Pruebas de

Fase de
de Desarrollo / Equipo de

Informe de las Pruebas de
Escrito

Infraestructura
Infraestructura / Equipo de

Stress

Control y
Stress

/ DBA

Seguimiento
Calidad

Manual de

Analista de

Gerente del Proyecto / Cliente

Informe del Manual de

Fase de

Usuario

Cierre

Informe del Manual de

Fase de

Configuración

Cierre

Informe del Manual de

Fase de

Capacitación a los

Cierre

Escrito
Usuario

Sistemas

/ Empleados

Manual de

Analista de

Gerente del Proyecto / Cliente
Escrito

Configuración

Infraestructura

/ Empleados

Manual de

Analista de

Gerente del Proyecto / Cliente
Escrito

Capacitación

Sistemas

/ Comité de Seguimiento del

Página 84
Proyecto
Plan de

Usuarios

Gerente del Proyecto / Comité
Analista de

Informe del Plan de
Desarrollo de Software

Fase de
Ejecución

Informa del Plan de

Fase de

Implementación

Ejecución

Escrito

Sistemas
Software

Ejecución

Pruebas del Proyecto

de Seguimiento del Proyecto /

Fase de

Informe del Plan de

Desarrollo de

Cliente
Gerente del Proyecto / Comité

Plan de Pruebas

Analista de QA

de Seguimiento del Proyecto /

Escrito

Cliente
Gerente del Proyecto / Comité
Plan de

Analista de
de Seguimiento del Proyecto /

Implementación

Infraestructura

Escrito

Cliente

Página 85
•

Informe de Rendimiento del Proyecto
Índice de
Planificado

Ganado

Coste
Rendimiento

Valor
Elemento de la EDT

Coste

Presupuesto

Variación del
Variación de Coste

Coste

Ganado

Real

Cronograma

(S/)

(S/)

(S/)

(S/)

(%)

(S/)

(S/)

CPI

SPI

(PV)

(EV)

(AC)

(EV-AC)

(CV/EV)

(EV-PV)

(SV/PV)

(EV/AC)

(EV/PV)

8,000

8,000

8,000

0

0

0

0

1.00

1.00

11,500

7600

8000

-400

-5.26

-3,900

-33.91

0.95

0.66

3,500

3500

3400

100

2.86

0

0

1.03

1.00

4,300

3500

3750

-250

-7.14

-800

-18.60

0.93

0.81

8,000

6800

6500

300

4.41

-1,200

-15.00

1.05

0.85

12500

10500

11000

-500

-4.76

-2,000

-16.00

0.95

0.84

18000

10000

9500

500

5

-8,000

-44.44

1.05

0.56

20000

15200

15800

-600

-3.95

-4,800

-24.00

0.96

0.76

16000

12500

11000

1500

12

-3,500

-21.88

1.14

0.78

Requerimientos del
Negocio
Plan de Calidad
Matriz de
Responsabilidades
Manuales de Usuario
Modelo de la
Arquitectura
Modelo de Base de
Datos
Diseño de Interfaz
Modelo Preliminar del
Programa
Plan de Pruebas

Página 86
Manual Técnico de
3800

2400

2400

0

0

-1,400

-36.84

1.00

0.63

Instalación

Página 87
7. GESTIÓN DE LOS RIESGOS

•

Análisis FODA de Riesgos

Nombre del Proyecto:

Elaboración de costos de empaques flexibles

Preparado por:

David Rodríguez

Fecha:

16 de abril de 2011

Fortalezas:
1. Personal capacitado en lenguaje de programación de desarrollo
2. Conocimiento del negocio
3. Respaldo gerencial
4. Se cuenta con buen ambiente de trabajo
5. El equipo formado está comprometido con el proyecto

Debilidades:
1. Falta de capacitación en nuevas herramientas de desarrollo
2. Falta de experiencia en procedimientos para nuevos desarrollos según PMBOK

Oportunidades:
1. Respaldo gerencial y administrativo
2. Planes de desarrollo para la mejora continua de los sistemas
3. Nuevo desarrollo de sistema de costos para empaques flexible inexistente en el mercado

Amenazas:
1. Desequilibrio económico entre miembros del equipo de trabajo
2. Resistencia al cambio para nuevos desarrollo informáticos
3. Discrepancias entre personal del negocio y equipo de trabajo

Página 88
•

Registro de Riesgos del Proyecto

Nombre del Proyecto:

Elaboración de costos de empaques flexibles

Preparado por:

David Rodríguez

Fecha:

17 de abril de 2011

Riesgos técnicos
1. Los módulos están propensos a tener errores necesitan trabajo de comprobación, diseño e
implementación.
2.Los requisitos no se han definido correctamente y su redefinición aumenta el alcance del proyecto
3. Los usuarios no participan en los ciclos de revisión de los planes y prototipos
4. Los ciclos de revisión y decisión del usuario para los planes, prototipos y especificaciones son lentos

Riesgos de gestión
1. La dirección tome decisiones que reduzcan la motivación del equipo de desarrollo
2. No se brinde el apoyo necesario de la alta dirección
3. El personal trabaja mas lento de lo esperado
4. Nuevo personal abandone el proyecto antes de su finalización
5. Se realice un recorte en el presupuesto
6. Las definiciones de la planificación de los recursos y del producto han sido impuestas por el cliente o un
directivo superior
7. El sistema a desarrollar sea más grande del estimado (por líneas de código, número de puntos de
fusión, módulos)

Riesgos organizacionales
1.Cambios en la alta dirección de Peruplast
2.Retraso del cliente en la entrega de especificaciones
3.Falta de recursos humanos con la capacidad necesaria para el proyecto
4.Aumento de la cantidad de usuarios para el acceso al sistema
5.Creacion de un sindicato que afecte el desarrollo del proyecto

Página 89
Riesgos externos
1.Los proveedores no cumplen con los contratos establecidos
2.Eleccion de un presidente autoritario que cambie las leyes de la constitución
3. El Perú se encuentra en una zona sísmica como consecuencia prevenir ante un terremotos
4.Epidemia de enfermedades
5. Nuevas regulaciones del estado en materia de importaciones.

•

Matriz de Probabilidad e Impacto de Riesgos

Tabla para evaluar la probabilidad, el impacto y la prioridad de los
riesgos
Probabilidad

Amenazas

Oportunidades

0.90

0.05

0.09

0.36

0.63

0.63

0.36

0.09

0.05

0.50

0.03

0.05

0.20

0.35

0.35

0.20

0.05

0.03

0.30

0.02

0.03

0.12

0.21

0.21

0.12

0.03

0.02

0.10

0.01

0.01

0.04

0.07

0.07

0.04

0.01

0.01

0.05

0.10

0.40

0.70

0.70

0.40

0.10

0.05

Página 90
•

Análisis de los Riesgos del Proyecto

Nombre del
Proyecto:

Elaboración de costos de empaques flexibles

Preparado por:

David Rodríguez

Fecha:

18 de abril de 2011
Actual

Respuesta

Riesgo
Probabilidad

Impacto

Prioridad

El alcance del proyecto no se
detalló lo suficiente

Nuevo
Acción a tomar

al riesgo

Probabilidad

Impacto

Prioridad

0.30

0.40

0.12

0.30

0.10

0.03

0.10

0.05

0.005

0.50

0.10

0.05

El gerente del proyecto debe
0.50

0.40

0.20

verificar el alcance del
proyecto

Mal diseño del sistema implicaría
volver a diseñar e implementar

El equipo del proyecto debe
0.30

0.10

0.03

tener presente la importancia
de un buen análisis

Los ambientes disponibles no sean
adecuados para el desarrollo

Verificar la correcta
0.10

0.40

0.04

instalación del ambiente de
trabajo

El personal de desarrollo necesita

0.30

0.40

0.12

Capacitar al equipo para que

Página 91
tiempo para resolverlo o adaptarse

la adaptación sea lo más

a las nuevas herramientas

rápido posible

Los módulos están propensos a

Los programadores deben
verificar y documentar el

tener errores necesitan trabajo de
0.30

0.70

0.21

0.50

0.70

0.07

0.30

0.40

0.12

0.30

0.40

0.12

errores

Los requisitos no se han definido

0.2

código para comprobar

implementación

0.40

0.10

comprobación, diseño e

Formar un equipo que haga
la verificación de las

correctamente y su redefinición
0.30

0.70

0.21

aumenta el alcance del proyecto

especificaciones y
requerimientos

Los usuarios no participan en los
ciclos de revisión de los planes y

Involucrar al usuario en el
0.50

0.40

0.20

proceso de desarrollo y

prototipos

demostrarles su importancia

Los ciclos de revisión y decisión del

Involucrar al usuario en el

usuario para los planes, prototipos y

proceso de desarrollo,

especificaciones son lentos

0.50

0.10

0.05

enviándoles manuales y
prototipos/releases previos
para su prueba.

Página 92
Comunicación con la
gerencia del usuario del
sistema por parte de nuestros
gerentes o ejecutivos
La dirección tome decisiones que
reduzcan la motivación del equipo

Integrar al equipo de
0.30

0.40

0.12

0.12

0.30

0.40

0.12

0.50

0.10

0.05

0.10

0.03

0.10

0.05

0.50

0.40

0.20

para que exista motivación

No se brinde el apoyo necesario de

0.40

0.50

de desarrollo

0.30

0.30

desarrollo con la dirección

Compromiso de la gerencia

la alta dirección

0.30

0.70

0.21

para obtener los resultados
propuestos

El personal trabaja más lento de lo
esperado

Capacitar al equipo de trabajo
0.50

0.40

0.20

e informar continuamente el
cronograma del proyecto

Nuevo personal abandone el

Motivar al equipo para que no
0.50

0.70

0.35

proyecto antes de su finalización

exista deserción

Se realice un recorte en el

Tener un plan de
0.50

0.70

0.35

presupuesto

contingencia para recortes

Las definiciones de la planificación

Definir correctamente la
0.90

de los recursos y del producto han

0.40

0.36
gestión de recursos humanos

Página 93
sido impuestas por el cliente o un

para determinar jerarquías

directivo superior
El sistema a desarrollar sea más

Los objetivos deben estar
claros en el Acta de

grande del estimado (por líneas de
0.50

0.40

0.20

código, número de puntos de fusión,

0.50

0.10

0.05

0.10

0.70

0.07

0.30

0.40

0.12

0.30

0.40

0.12

0.50

0.40

0.20

0.50

0.40

0.20

Constitución

módulos)
Cambios en la alta dirección de

Clausula contractual para no
0.10

0.10

0.01

Peruplast

cancelar el proyecto

Retraso del cliente en la entrega de

Definir el cronograma del
0.50

0.40

0.20

especificaciones

proyecto

Falta de recursos humanos con la

Hacer una selección de

capacidad necesaria para el

0.10

0.10

0.01

personal que cumpla con los

proyecto

requisitos del proyecto

Aumento de la cantidad de usuarios

Definir el alcance del

para el acceso al sistema

0.90

0.05

0.05

proyecto y las licencias de
software

Creación de un sindicato que afecte
el desarrollo del proyecto

Plan de comunicación para
0.10

0.05

0.01

establecer un ambiente
cordial entre usuarios y

Página 94
equipo de trabajo
Los proveedores no cumplen con
los contratos establecidos

Firmas contratos con
0.50

0.70

0.35

0.30

0.40

0.12

0.50

0.10

0.05

0.30

0.40

0.12

0.10

penalidades ante el no

0.70

0.07

0.30

0.40

0.12

cumplimiento
Elección de un presidente autoritario
que cambie las leyes de la

Detener el proyecto hasta
0.50

0.10

0.05

tener claro los cambios

constitución
El Perú se encuentra en una zona

Tener un ambiente seguro
0.50

0.40

0.20

0.30

sísmica como consecuencia

0.10

0.03

para el backup del sistema

prevenir ante un terremotos
Epidemia de enfermedades

Tener personal alternativo
para casos de enfermedades

Nuevas regulaciones del estado en
materia de importaciones

Definir clausulas en el plan de
0.50

0.70

0.35

adquisiciones para el caso de
cambios de regulaciones

Página 95
8. GESTIÓN DE LAS ADQUISICIONES

•

Plan de Gestión de las Adquisiciones

Nombre del Proyecto:

Elaboración de costos de empaques flexibles

Preparado por:

David Rodríguez

Fecha:

18 de abril de 2011

Recursos para las adquisiciones:
El Gerente de proyecto designara al Analista de infraestructura para la adquisición de recursos.
Entre las acciones que se toman son ponerse en contacto directo con los proveedores para
incorporar un precio base( incluído en el presupuesto) y contrastar las características técnicas del
producto solicitado. Una vez que el departamento de compras elabora y aprueba la OC se procede a
hacer el seguimiento de los tiempos de entrega con el proveedor, y al momento de ingresar
proceder a revisar la mercadería. Luego se comunica al departamento de compras una evaluación
del proveedor desde el punto de vista técnico.

Productos y servicios a contratar:
Hardware para repotenciar equipos de cómputo.

Tipos de contrato a ser usados:
Contrato de precio fijo.

Criterios de evaluación:
El criterio de evaluación es con la recepción de las cotizaciones presentada por los diferentes
proveedores según los requerimientos remitidos. Se analizan mediante cuadros comparativos y se
identifica al proveedor con mejor precio, calificados por tiempo de entrega, calidad de productos,
disponibilidad, precio, garantía y soporte.

Página 96
Vendedores precalificados:
Se seleccionan de los vendedores calificados aquellos cuyas propuestas satisfacen los
requerimientos del trabajo y cuyos criterios de evaluación pueden ser satisfechos por ellos

•

Enunciado del Trabajo a Contratar

Nombre del Proyecto:

Elaboración de costos de empaques flexibles

Preparado por:

David Rodríguez

Fecha:

19 de abril de 2011

Identificador del entregable
Nombre del entregable
Alcance del entregable

Adquisición de hardware para re potenciación
Hardware para re potenciación de equipos de computo de la
empresa

Duración estimada
Fecha de término
Criterios de aceptación

3 días
27/12/2011
La empresa con mejores propuesta será la encargada de
proporcionar el hardware a la empresa.
Se validara los siguientes factores:
•

Precio

•

Calidad

•

Tiempo de entrega

•

Garantia

•

Servicio post venta

Nombre del Proyecto:

Elaboración de costos de empaques flexibles

Preparado por:

David Rodríguez

Fecha:

19 de abril de 2011

Identificador del entregable
Nombre del entregable

Adquisición de suministros de oficina

Página 97
Suministros de oficina para las actividades a desarrollar durante el
Alcance del entregable
proyecto.
Duración estimada
Fecha de término
Criterios de aceptación

3 días
27/12/2011
La empresa con mejores propuesta será la encargada de
proporcionar los suministros de oficina que se usarán durante el
desarrollo del proyecto.
Se validara los siguientes factores:
•

Precio

•

Calidad

•

Tiempo de entrega

9. CIERRE DEL PROYECTO
•

Aceptación Final del Proyecto
ACTA DE ACEPTACIÓN - FINAL

Nombre del Proyecto:

Elaboración de Costos de Empaques Flexibles

Preparado por:

David Rodríguez

Fecha:

16/01/2012

Por medio de la presente se deja constancia de la aceptación de la siguiente lista de
entregables, los mismos que han sido certificados por el cliente dando total cumplimiento a
los requerimientos solicitados, por otra parte no existe ni un tema pendiente sobre lo
requerido por el mismo ya que el sistema se encuentra operativo al 100%.

Lista de Entregables:

•

Plan del Proyecto

Página 98
•

Acta de Constitución del Proyecto (Project Charter)

•

Enunciado del Alcance

•

Cronograma del Proyecto

•

Financiamiento de Proyecto

•

Plan de Calidad

•

Organigrama del Equipo del Proyecto

•

Matriz de Responsabilidades

•

Plan de Gestión de las Comunicaciones

•

Plan de Gestión de Riesgos

•

Plan de Gestión de las Adquisiciones

•

Lista de Requerimientos Funcionales

•

Lista de Requerimientos No Funcionales

•

Manuales de Usuario

•

Manual de Configuración del Sistema

•

Requerimientos del Negocio

•

Modelo de la Arquitectura

•

Diseño de Interfaz

•

Modelo de Base de Datos

•

Plan de Riesgo

•

Plan de Comunicaciones

•

Modelo Preliminar del Programa

•

Revisión del Programa Preliminar

•

Actualización del Programa Preliminar

•

Revisión del Programa

•

Aprobación del Programa

•

Desarrollo de Tablas y Relaciones

•

Desarrollo de Procedimientos Almacenados y Triggers

Página 99
•

Desarrollo de Vistas

•

Plan de Pruebas

•

Casos de Pruebas

•

Procedimiento para Pruebas

•

Resultados de Evaluación de Pruebas

•

Pruebas de Mensajes de Error

•

Pruebas de Sobrecarga de la Base de Datos

•

Pruebas de la Interfaz Gráfica de Usuario

•

Manual de Capacitación a Usuarios

•

Manual Técnico de Instalación

Firma del Cliente

•

Firma del Gerente de Proyecto

Lecciones Aprendidas en el Proyecto

Nombre del Proyecto:

Elaboración de Costos de Empaques Flexibles

Preparado por:

David Rodríguez

Fecha:

28 Abril de 2011

Lección Aprendida Nro.: 0001
Nombre Propuesto para la Lección Aprendida:
Error en Definición de Actividades para Entregables definidos
Rol en el Equipo del Proyecto: Gerente del Proyecto
Grupo de procesos:*

Iniciación

X Planeamiento

Ejecución

Control

Cierre

Página 100
Proceso Específico de la Gerencia de Proyecto que está siendo utilizado:
Definición de las Actividades
Práctica específica, herramienta o técnica que está siendo utilizada:
Descomposición de Actividades
¿Cuál fue la acción sucedida, que pasó?
Se definieron las actividades a realizar; sin embargo, al iniciar el desarrollo del proyecto, se identificaron
tareas que no fueron consideradas y que demandaron tiempo.
¿Cuál fue el resultado o impacto de la incidencia?
Algunas tareas se vieron afectadas incumpliendo los plazos de entrega por lo que se tuvo que solicitar
horas extras para el personal asignado al proyecto de manera que las tareas pudieran ser realizadas.
¿Cuál es la lección aprendida?
Al realizar la definición de actividades es necesario contar con información histórica de proyectos
anteriores así como de la participación de los miembros del equipo del proyecto que han participado en
otros proyectos y que puedan proporcionar información sobre tareas a realizar así como lecciones
aprendidas.
¿Qué acción se tomó?
Se realizó una revisión de las actividades definidas con el equipo de proyecto para verificar que se
estaba tomando en cuenta lo necesario. Se realizaron las solicitudes de cambio en los casos que fueron
necesarios.
¿Qué comportamiento se recomienda para el futuro?
Al definir las actividades es necesario contar con fuentes de información que permitan validar la
información así como con el conocimiento de los miembros del equipo del proyecto.
¿Dónde y cómo éste conocimiento, puede ser utilizado más adelante en el proyecto actual?
Revisión de las actividades que no se han iniciado en las fases posteriores lo que permita tener una
mejor reacción sobre las acciones que se deben tomar.
¿Dónde y cómo éste conocimiento, se puede utilizar en un proyecto futuro?
Definición de Actividades del Proyecto para que todas las tareas necesarias sean incluidas.

Página 101
¿Quién debe ser informado sobre esta lección aprendida?: (marcar una)
Ejecutivo(s)
X Gerente(s) Proyecto
Equipo del Proyecto
Todo el Personal
Otros:
¿Cómo debe ser distribuida esta lección aprendida? (marcar todas las que apliquen)
e-mail
Intranet/pagina Web
Preguntas Frecuentes
Otros:
¿Ha anexado referencia(s), ejemplo(s) y/o material(es) adicional(es)?
Nombre(s) de anexo(s):

X Biblioteca
si

X no

1.
2.

Nombre del Proyecto:

Elaboración de Costos de Empaques Flexibles

Preparado por:

David Rodríguez

Fecha:

28 Abril de 2011

Lección Aprendida Nro.: 0002
Nombre Propuesto para la Lección Aprendida:
Considerar actividad de Capacitación al equipo del Proyecto en los procesos de Negocio que forman
parte del desarrollo a realizar.
Rol en el Equipo del Proyecto: Gerente del Proyecto
Grupo de procesos:*

Iniciación

X Planeamiento

Ejecución

Control

Cierre

Proceso Específico de la Gerencia de Proyecto que está siendo utilizado:
Definición de las Actividades
Práctica específica, herramienta o técnica que está siendo utilizada:
Descomposición de Actividades
¿Cuál fue la acción sucedida, que pasó?
Se definieron las actividades a realizar; sin embargo, no se consideró la capacitación del equipo del
proyecto en los procesos del negocio, lo cual podría generar problemas en tiempos y costos.
¿Cuál fue el resultado o impacto de la incidencia?

Página 102
Se modificó el EDT original para considerar esta actividad
¿Cuál es la lección aprendida?
Es necesario considerar esta actividad como parte del proyecto como un nuevo entregable o como una
actividad específica en algún entregable.
¿Qué acción se tomó?
Se actualizó el EDT para considerar esta actividad
¿Qué comportamiento se recomienda para el futuro?
Incluir esta actividad al momento de definir las actividades en el EDT.
¿Dónde y cómo éste conocimiento, puede ser utilizado más adelante en el proyecto actual?
No aplica
¿Dónde y cómo éste conocimiento, se puede utilizar en un proyecto futuro?
El personal del equipo de proyecto siempre debe ser capacitado en el negocio sobre el cual se va a
desarrollar el proyecto de manera que los clientes y la información que ellos compartan con el equipo
sea entendible y que esta se refleje finalmente en el producto que se va a entregar.
¿Quién debe ser informado sobre esta lección aprendida?: (marcar una)
Ejecutivo(s)
X Gerente(s) Proyecto
Equipo del Proyecto
Todo el Personal
Otros:
¿Cómo debe ser distribuida esta lección aprendida? (marcar todas las que apliquen)
e-mail
Intranet/pagina Web
Preguntas Frecuentes
Otros:
¿Ha anexado referencia(s), ejemplo(s) y/o material(es) adicional(es)?
Nombre(s) de anexo(s):

X Biblioteca
si

X no

1.
2.

Nombre del Proyecto:

Elaboración de Costos de Empaques Flexibles

Preparado por:

David Rodríguez

Fecha:

28 Abril de 2011

Lección Aprendida Nro.: 0003

Página 103
Nombre Propuesto para la Lección Aprendida:
Considerar todas las áreas involucradas (Stakeholders) al realizar el enunciado del Alcance del Proyecto
Rol en el Equipo del Proyecto: Gerente del Proyecto
Grupo de procesos:*

Iniciación

X Planeamiento

Ejecución

Control

Cierre

Proceso Específico de la Gerencia de Proyecto que está siendo utilizado:
Elaboración del Enunciado del Alcance
Práctica específica, herramienta o técnica que está siendo utilizada:
Reuniones con las áreas involucradas y los interesados clave
¿Cuál fue la acción sucedida, que pasó?
No se consideró al área de Servicio al Cliente lo cual originó que uno de los requerimientos no sea
especificado de manera correcta al no haber tenido conocimiento del proceso completo.
¿Cuál fue el resultado o impacto de la incidencia?
Hubo que redefinir una actividad y modificar el tiempo asignado a la misma.
¿Cuál es la lección aprendida?
Es necesario que se tomen en cuenta todas las áreas de la empresa de manera que se identifiquen los
Stakeholders que deberán ser considerados en el proyecto.
¿Qué acción se tomó?
Se realizó un cambio en la definición de la actividad y se adicionó 2 días para su desarrollo.
¿Qué comportamiento se recomienda para el futuro?
Asegurar que se han considerados a todos los interesados, que los requerimientos sean claros y
precisos y que hayan sido aprobados.
¿Dónde y cómo éste conocimiento, puede ser utilizado más adelante en el proyecto actual?
Durante la elaboración del Enunciado del Alcance
¿Dónde y cómo éste conocimiento, se puede utilizar en un proyecto futuro?
En la gestión del Plan del Proyecto
¿Quién debe ser informado sobre esta lección aprendida?: (marcar una)
Ejecutivo(s)

X Gerente(s) Proyecto

X Equipo del Proyecto

Todo el Personal

Otros:
Página 104
¿Cómo debe ser distribuida esta lección aprendida? (marcar todas las que apliquen)
X

e-mail
Intranet/pagina Web
Preguntas Frecuentes
Otros:
¿Ha anexado referencia(s), ejemplo(s) y/o material(es) adicional(es)?
Nombre(s) de anexo(s):

Biblioteca
si

X no

1.
2.

Nombre del Proyecto:

Elaboración de Costos de Empaques Flexibles

Preparado por:

David Rodríguez

Fecha:

28 Abril de 2011

Lección Aprendida Nro.: 0004
Nombre Propuesto para la Lección Aprendida:
No difundir el plan de comunicaciones a todo el equipo del proyecto
Rol en el Equipo del Proyecto: Gerente del Proyecto
Grupo de procesos:*

Iniciación

X Planeamiento

Ejecución

Control

Cierre

Proceso Específico de la Gerencia de Proyecto que está siendo utilizado:
Plan de Comunicaciones del Proyecto
Práctica específica, herramienta o técnica que está siendo utilizada:
Difusión del plan de comunicaciones a todos los miembros del equipo del proyecto
¿Cuál fue la acción sucedida, que pasó?
Los miembros del equipo de proyecto no tenían conocimiento del plan de comunicación que debía
seguirse por lo que los interesados clave y el mismo Gerente de Proyecto no estaba recibiendo la
información del estado actual del proyecto así como de los inconvenientes que habían surgido.
¿Cuál fue el resultado o impacto de la incidencia?
Se generó malestar con los interesados clave además de detectar que se tenía un atraso de 2 días
sobre el cronograma.

Página 105
¿Cuál es la lección aprendida?
Se debe difundir el plan de comunicaciones a todo el equipo de proyecto para que la información
siempre sea fluida entre todos.
¿Qué acción se tomó?
Se retroalimentó al equipo y se verificaron las actividades que presentaron retrasos para tomar las
acciones que permitan tener todo de acuerdo al cronograma nuevamente.
¿Qué comportamiento se recomienda para el futuro?
Realizar comunicación efectiva al equipo de proyecto sobre la importancia de la comunicación en el éxito
de la misma.
¿Dónde y cómo éste conocimiento, puede ser utilizado más adelante en el proyecto actual?
Durante todo el desarrollo del proyecto se debe comunicar a todo el equipo, las acciones que se están
tomando.
¿Dónde y cómo éste conocimiento, se puede utilizar en un proyecto futuro?
Se debe tomar en cuenta que es importante tener una comunicación fluida con todo el equipo de
proyecto lo cual evite malos entendidos.
¿Quién debe ser informado sobre esta lección aprendida?: (marcar una)
Ejecutivo(s)
X Gerente(s) Proyecto
X Equipo del Proyecto
Todo el Personal
Otros:
¿Cómo debe ser distribuida esta lección aprendida? (marcar todas las que apliquen)
X

e-mail
Intranet/pagina Web
Preguntas Frecuentes
Otros:
¿Ha anexado referencia(s), ejemplo(s) y/o material(es) adicional(es)?
Nombre(s) de anexo(s):

Biblioteca
si

X no

1.
2.

Nombre del Proyecto:

Elaboración de Costos de Empaques Flexibles

Preparado por:

David Rodríguez

Fecha:

28 Abril de 2011

Página 106
Lección Aprendida Nro.: 0005
Nombre Propuesto para la Lección Aprendida:
No considerar los impuestos generados para el proceso del negocio
Rol en el Equipo del Proyecto: Gerente del Proyecto
Grupo de procesos:*

Iniciación

X Planeamiento

Ejecución

Control

Cierre

Proceso Específico de la Gerencia de Proyecto que está siendo utilizado:
Diseño del Programa Preliminar
Práctica específica, herramienta o técnica que está siendo utilizada:
Modelado de los Requerimientos
¿Cuál fue la acción sucedida, que pasó?
Durante el modelado de los requerimientos de usuario se identificó que los costos de los insumos para la
creación de empaques flexibles se veían afectados por un impuesto variable que no fue considerado
durante el análisis del proceso.
¿Cuál fue el resultado o impacto de la incidencia?
Se generaron retrasos en las actividades dado que se tuvo que realizar nuevamente el análisis para que
se realizara el diseño preliminar del programa. Esto a su vez generó un gasto adicional sobre el
presupuesto inicialmente definido.
¿Cuál es la lección aprendida?
Es necesario verificar todos los factores externos que puedan afectar el desarrollo del proceso para no
incurrir en retrasos ni gastos adicionales como en esta ocasión.
¿Qué acción se tomó?
Se hizo uso de parte del presupuesto asignado a contingencia para cubrir los gastos adicionales que
ocasionó este cambio. De la misma manera se solicitó al personal trabajo fuera de hora para poder
cubrir el tiempo de atraso que se tuvo.
¿Qué comportamiento se recomienda para el futuro?
Reforzar la comunicación con los interesados clave de manera que se puedan identificar en la etapa de
análisis todas las consideraciones que debe tomar en cuenta el desarrollo a realizar.

Página 107
¿Dónde y cómo éste conocimiento, puede ser utilizado más adelante en el proyecto actual?
Permitirá evitar el incurrir en costos adicionales además de retrasos en los tiempos ya establecidos.
¿Dónde y cómo éste conocimiento, se puede utilizar en un proyecto futuro?
Se debe tomar en cuenta que es importante tener una comunicación fluida entre el equipo del proyecto y
los interesados clave lo que nos permita contar con toda la información necesaria para el desarrollo del
prototipo inicial.
¿Quién debe ser informado sobre esta lección aprendida?: (marcar una)
X

Ejecutivo(s)
X Gerente(s) Proyecto
Equipo del Proyecto
Todo el Personal
Otros:
¿Cómo debe ser distribuida esta lección aprendida? (marcar todas las que apliquen)
e-mail
Intranet/pagina Web
Preguntas Frecuentes
Otros:
¿Ha anexado referencia(s), ejemplo(s) y/o material(es) adicional(es)?
Nombre(s) de anexo(s):

X Biblioteca
si

X no

1.
2.

Nombre del Proyecto:

Elaboración de Costos de Empaques Flexibles

Preparado por:

David Rodríguez

Fecha:

28 Abril de 2011

Lección Aprendida Nro.: 0006
Nombre Propuesto para la Lección Aprendida:
Reclutamiento de Personal más Efectivo
Rol en el Equipo del Proyecto: Gerente del Proyecto
Grupo de procesos:*

X Iniciación

Planeamiento

Ejecución

Control

Cierre

Proceso Específico de la Gerencia de Proyecto que está siendo utilizado:
Gestión de RRHH
Práctica específica, herramienta o técnica que está siendo utilizada:

Página 108
Análisis de Personal
¿Cuál fue la acción sucedida, que pasó?
El proceso de reclutamiento de personal tomó más tiempo del planificado lo cual generó que luego de
tomada la decisión de los recursos elegidos, muchos de ellos ya no se encontraban disponibles.
¿Cuál fue el resultado o impacto de la incidencia?
Se tuvo que realizar una nueva evaluación de candidatos en algunos casos para cubrir las posiciones
faltantes, lo cual generó tiempo y costo adicional.
¿Cuál es la lección aprendida?
Se debe optimizar el proceso de selección de personal que nos permita encontrar disponibilidad en los
recursos finalmente elegidos.
¿Qué acción se tomó?
Se hizo un ajuste de los tiempos y costos asignados en la gestión de RRHH
¿Qué comportamiento se recomienda para el futuro?
Asegurar que se cumplan las fechas planificadas de maneras que las actividades no se retrasen y no se
generen riesgos.
¿Dónde y cómo éste conocimiento, puede ser utilizado más adelante en el proyecto actual?
Permitirá evitar el incurrir en costos adicionales además de retrasos en los tiempos ya establecidos.
¿Dónde y cómo éste conocimiento, se puede utilizar en un proyecto futuro?
Permitirá evitar generar riesgos a futuro, así como costos adicionales a lo ya presupuestado.
¿Quién debe ser informado sobre esta lección aprendida?: (marcar una)
X

Ejecutivo(s)
X Gerente(s) Proyecto
Equipo del Proyecto
Todo el Personal
Otros:
¿Cómo debe ser distribuida esta lección aprendida? (marcar todas las que apliquen)
e-mail
Intranet/pagina Web
Preguntas Frecuentes
Otros:
¿Ha anexado referencia(s), ejemplo(s) y/o material(es) adicional(es)?
Nombre(s) de anexo(s):

X Biblioteca
si

X no

1.
2.

Página 109
CONCLUSIONES
El presente capítulo nos ha permitido conocer al detalle la organización que se llevará a
cabo durante el desarrollo del presente proyecto, los recursos a asignar así como las
diferentes tareas que se deberán realizar para poder cumplir los objetivos trazados.
Es en base a lo establecido en el presente capitulo que se busca cumplir los objetivos
trazados al inicio del presente proyecto y son los que nos permitirán tener el éxito
esperado.

Página 110

190141183 wbs

  • 1.
    Acta de Constitucióndel Proyecto (Project Charter) A. Información General Nombre del Elaboración de Costos de Fecha de 28 de marzo de Proyecto Empaques Flexibles Preparación 2011 Patrocinador: Peruplast S.A Fecha de Modificación: Preparado por: David Rodríguez Autorizado por: Carlos Bragagnini B. Descripción del producto o servicio del Proyecto El sistema para la elaboración de costos de un empaque flexible permitirá dar las herramientas necesarias para poder elaborar las estadísticas de gestión de los costos, brindar la seguridad de ofrecer al cliente información precisa en un tiempo oportuno y con información verdadera, validar la información para que no exista duplicidad que pueda ser erróneamente enviada a un cliente y la posibilidad de compartir la información a las diferentes áreas involucradas. C. Alineamiento del Proyecto Consideraciones de la Organización Mantener información histórica de los costos Propósitos del Proyecto Implementar una base de datos con la Página 0
  • 2.
    de los empaques. informaciónde los costos de los empaques flexibles Capacidad para comparar la información de Permitir tener las estadísticas de las órdenes costos elaborados con las ventas de la colocadas versus los costos elaborados. empresa. Optimizar el proceso de generación de Permitir un flujo continuo de la información con costos que permita enviar información a los las diferentes áreas de la empresa. clientes en los plazos establecidos. Asegurar que las tecnologías utilizadas sean las apropiadas para recuperar técnica y económicamente los recursos. D. Objetivos del Proyecto Objetivos del Proyecto Costo: Implementar el sistema de elaboración de costos por 260 mil soles Plazo: El tiempo estimado para el desarrollo del sistema es de 7 meses calendario. Calidad: El proyecto deberá regirse por los procedimientos, manuales y estándares de la empresa E. Alcance y Extensión del Proyecto Principales Entregables del Proyecto. Proyect Charter Enunciado del alcance Página 1
  • 3.
    Plan de Gestióndel proyecto Cronograma detallado del proyecto Plan de configuración Plan de desarrollo Manuales de configuración Plan de capacitación Acta de cierre por cada fase Acta de cierre del proyecto Principales Fases del Proyecto. Fase 1 Preparación inicial de proyecto Fase 2 Levantamiento de información Fase 3 Realización Fase 4 Preparación final Fase 5 Puesta en marcha y soporte Stakeholders claves. Gerente General Peruplast Gerente Administrativo y Finanzas Gerente de Ventas Restricciones. El costo del proyecto de es 260 mil soles y puede permitirse excederse en 40 mil soles por contingencia. El proyecto debe tener 6 meses de implementación y 1 mes de configuración y soporte Para garantizar el optimo funcionamiento del sistema los equipos de computo deben de tener una configuración mínima de Core 2 duo con memoria de 2Gb y disco duro de 160 Gb Página 2
  • 4.
    Asunciones - El desarrollodel producto será ejecutado con recursos propios de la empresa. - Todos los integrantes del grupo de proyecto estarán dedicados únicamente al desarrollo de este con excepción de los Stakeholders quienes deberán dedicar un tiempo de un día a la semana como mínimo al proyecto. - Se debe contar con 3 ambientes para el proyecto: desarrollo, calidad y producción. - La compañía debe tener instalado lo siguiente: al inicio del proyecto el ambiente de desarrollo, al inicio de las pruebas unitarias e integrales el ambiente de calidad y al iniciar la etapa de preparación final del proyecto el ambiente productivo. Límites del proyecto La capacitación inicial deberá ser coordinada con el equipo de desarrollo. F. Factores Críticos de Éxito del Proyecto Participación y compromiso de la Gerencia General Tomar decisiones oportunamente dentro de los plazos establecidos Los datos maestros para la carga inicial deben ser buenos y confiables Disponibilidad y compromiso de los integrantes del proyecto G. Planeamiento Inicial del Proyecto al alto nivel Estimación de recursos requeridos: • Área para oficinas de 200 m2 mínimos, equipada con servicios higiénicos para hombres y mujeres, cafetería, copiadora, telefonía fija, fax e internet para 10 personas. Página 3
  • 5.
    • Un Gerentede Proyectos • Un Analistas de Sistemas • Un Analista de QA • Un Administrador de Base de Datos • Un Analista de Infraestructura • Dos Analistas Programadores • Un Testeador de QA • Un Técnico de Hardware • Mobiliario, computadoras notebooks y equipos de telecomunicación. Costo Estimado del Proyecto: 260,000 soles (doscientos sesenta mil y 00/100 soles) Disponibilidad de contingencia Beneficios Estimados: El costo de un empaque flexible es determinante para elaborar la cotización es por ello que rediseñar el proceso es importante. Los beneficios a obtener son: • Automatización del proceso de costos. En la actualidad se elabora en una hoja Excel • Eliminación de archivos redundantes • Perfiles de ventas actualizados en forma automática • Documentación técnica completa (Estructura de costos) • Mejora en la estandarización de procesos • Optima calidad de información sobre el costo • Reducción en tiempos de elaboración del costo • Precisión en el costo elaborado • Maximizar los recursos de la empresa para beneficios de los usuarios • Reducción de los tiempos en los procesos manuales Página 4
  • 6.
    Estimación de Fechasa Programar: Fecha de inicio: 04 de Julio de 2011 Fecha de término: 16 de Enero de 2012 H. Autoridad del Proyecto • Autorización Carlos Bragagnini - Gerente General Peruplast • Gerente del Proyecto David Rodríguez • Comité de Seguimiento (Dirección) Gerente General Gerente Administrativo y Finanzas Gerente de Ventas Gerente de Proyecto I. Integrantes del equipo del proyecto, Roles y Responsabilidades Página 5
  • 7.
    Nombre Rol Responsabilidades - Gestión delos fondos ante el directorio. Patrocinador Carlos Bragagnini - Revisión y aprobación de solicitudes de Miembro del Comité de Gerente General cambio. Seguimiento - Aprobación y recepción del proyecto. Rafael Vidal Miembro del Comité de - Revisión y aprobación de solicitudes de Seguimiento cambio. Marcelo Rodríguez Miembro del Comité de - Revisión y aprobación de solicitudes de Gerente de Ventas Seguimiento cambio. Gerente Administrativo y Finanzas - Planificación y supervisión general del proyecto Gerente de Proyecto - Aprobación de los entregables parciales David Rodríguez Miembro del Comité de Peruplast - Revisión y aprobación de solicitudes de Seguimiento cambio. Beatriz Yamaguzuku - Planificación, diseño y supervisión de Analista de Sistemas Peruplast desarrollo de los procesos. Nancy Fernández - Planificación, diseño, supervisión y QA de Analista de QA Peruplast procesos. Marco Horna Analista de Peruplast Infraestructura Segundo Arévalo -Planificación, diseño, supervisión y QA de instalaciones de equipos, redes y servidores. -Planificación, diseño, supervisión y QA de la DBA Peruplast Base de Datos a implementar. - Desarrollar las interfaces y programas Henry Minaño Analistas requeridos en el alcance del proyecto. Marcial Armijo Programadores -Elaborar la documentación técnica de los Peruplast desarrollos. - Apoyar en las pruebas de los desarrollos. Víctor Mogollón Testeador de QA -Elaborar la documentación técnica de las Peruplast pruebas. Página 6
  • 8.
    Cesar Camacho - Brindarsoporte técnico en la instalación y Técnico de Hardware Peruplast actualización de equipos, redes y servidores. Página 7
  • 9.
    J. Firmas Nombre/Función Carlos Bragagnini– Gerente Firma Fecha 28/03/2011 General Gerente Administrativo y Finanzas 28/03/2011 Gerente de Ventas 28/03/2011 Página 8
  • 10.
    1. GESTIÓN DELALCANCE • ID Matriz de Trazabilidad de Requisitos Sobrevaloración Descripción El proyecto no debe sobrepasar el presupuesto Respo Priorida nsable 1 Nombre d GP Alta Versión Fecha de Fecha Criterios de Actual 1 Estado Creación termino Aceptación Activo 09/05/2011 previamente asignado. 2 Tiempo Disminuir el tiempo de elaboración de costos Acta de constitución AP Media 1 Activo 09/05/2011 Gestión de por parte del ejecutivo de cuenta en un 40% 3 Consistencia Disminuir en un 100% la información duplicada Tiempo AP Alta 1 Activo 09/05/2011 Gestión de por el ejecutivo y debe validarse con los alcance parámetros de la empresa. 4 Recursos Incrementar el uso de los recursos de la AP Media 1 Activo 09/05/2011 Gestión de empresa en un 10% con la implementación del Desarrollo sistema de elaboración de costos Página 9
  • 11.
    5 Desarrollo Desarrollar un sistema100% automático para GP Media 1 Activo 09/05/2011 Gestión de evitar los errores manuales 6 Reglamento Cumplir al 100% con las normas y políticas de la Desarrollo GP Alta 1 Activo 09/05/2011 Gestión de empresa 7 Diseño Que se cumpla al 100% con las bases de alcance AP Alta 1 Activo 09/05/2011 Gestión de diseño 8 Capacitación Solicitar como mínimo 24 horas de capacitación diseño GP Media 1 Activo 09/05/2011 Gestión de para el personal. 9 Documentación Elaborar el 100% de formatos de Desarrollo GP Media 1 Activo 09/05/2011 Gestión de documentación de los procesos desarrollados 10 Horario El personal debe de completar 48 horas a la Desarrollo GP Media 1 Activo 09/05/2011 Gestión de semana de horario de trabajo. alcance Página 10
  • 12.
    • Declaración del Alcancedel Proyecto Nombre del Proyecto: Elaboración de costos de empaques flexibles Preparado por: David Rodríguez Fecha: 28 de marzo de 2011 Justificación del • Brindar la seguridad que la información proporcionada sea Proyecto: actualizada siguiendo estándares proporcionados por la empresa en tiempo oportuno, asimismo contar con una herramienta importante para poder realizar las negociaciones con los clientes. • Validar la información para que no exista duplicidad que pueda ser erróneamente enviada a un cliente y la posibilidad de compartir la información a las diferentes áreas involucradas. • Mejorar los tiempos de entrega de costos para poder hacer licitaciones y perfiles de ventas. • Realizar seguimiento a los costos realizados y que no hayan generado una cotización Descripción del El sistema de costo para la elaboración de un empaque flexible producto permitirá dar las herramientas necesarias para poder elaborar las estadísticas de gestión de los costos. Brindar la seguridad de ofrecer al cliente información precisa, en un tiempo oportuno con información verdadera. Validar la información para que no exista duplicidad de información que pueda ser erróneamente enviada a un cliente. La posibilidad de compartir la información a las diferentes áreas involucradas Página 11
  • 13.
    Entregables del • Plandel Proyecto Proyecto • Acta de Constitución del Proyecto (Project Charter) • Enunciado del Alcance • Cronograma del Proyecto • Financiamiento de Proyecto • Organigrama del Equipo del Proyecto • Matriz de Responsabilidades • Plan de Gestión de las Comunicaciones • Plan de Gestión de Riesgos • Plan de Gestión de las Adquisiciones • Lista de Requerimientos Funcionales • Lista de Requerimientos No Funcionales • Manual de Configuración del Sistema • Requerimientos del Negocio • Modelo de la Arquitectura • Diseño de Interfaz • Modelo de Base de Datos • Plan de Riesgo • Plan de Calidad • Modelo Preliminar del Programa • Revisión del Programa Preliminar • Actualización del Programa Preliminar • Revisión del Programa • Aprobación del Programa • Desarrollo de Tablas y Relaciones • Desarrollo de Procedimientos Almacenados y Triggers Página 12
  • 14.
    • Desarrollo deVistas • Plan de Pruebas • Casos de Pruebas • Procedimiento para Pruebas • Resultados de Evaluación de Pruebas • Pruebas de Mensajes de Error • Pruebas de Sobrecarga de la Base de Datos • Pruebas de la Interfaz Gráfica de Usuario • Manual de Usuario • Manual de Capacitación a Usuarios • Manual Técnico de Instalación Restricciones: • El costo del proyecto de es 260 mil soles y puede permitirse excederse en 40 mil soles de contingencia • El proyecto debe tener 6 meses de implementación y 1 mes de configuración y soporte • Para garantizar el optimo funcionamiento del sistema los equipos de computo deben de tener una configuración mínima de Core 2 duo con memoria de 2Gb y disco duro de 160 Gb Asunciones o supuestos: • El desarrollo del producto será ejecutado con recursos propios de la empresa. • Todos los integrantes del grupo de proyecto estarán dedicados únicamente al desarrollo de este con excepción de los Stakeholders quienes deberán dedicar un tiempo de un día a la semana como mínimo al proyecto. • Se debe contar con 3 ambientes para el proyecto: desarrollo, calidad y producción. Página 13
  • 15.
    • La compañíadebe tener instalado lo siguiente: al inicio del proyecto el ambiente de desarrollo, al inicio de las pruebas unitarias e integrales el ambiente de calidad y al iniciar la etapa de preparación final del proyecto el ambiente productivo Página 14
  • 16.
    • Estructura del Desglosedel Trabajo – EDT (WBS) Página 15
  • 17.
    Planificacion 2.0 Requerimientos 2.1 Análisis 2.2 Diseño 2.3 Desarrolla planes 2.4 Lista deRequerimientos Funcionales 2.1.1 Modelo en base a Requerimientos 2.2.1 Diseño de Interfaz 2.3.1 Desarrolla plan de riesgo 2.4.1 Lista de Requerimientos No Funcionales 2.1.2 Descripción de la Arquitectura 2.2.2 Diseño de Base de Datos Relacional 2.3.2 Desarrolla plan de calidad 2.4.2 Documentación de Usuario 2.1.3 Desarrolla plan de entregas 2.4.3 Implementación y Soporte para Futuro 2.1.4 Página 16
  • 18.
    Ejecuccion 3.0 Desarrollo 3.1 Base de Datos 3.2 Creacióndel Programa Preliminar 3.1.1 Tablas y Relaciones 3.2.1 Revisión del Programa Preliminar 3.1.2 Procedimientos Almacenados y Triggers 3.2.2 Actualizar Programa Preliminar 3.1.3 Estrategia de implementacion 3.3 Vistas 3.2.3 Definir estrategia de pruebas 3.3.1 Revisión del Programa 3.1.4 Aprobación del Programa 3.1.5 Página 17
  • 19.
    Cierre 5.0 Implantación 5.1 Implementación y Soporte paraFuturo 5.2 Manual de Usuario 5.1.1 Instalación del Software 5.2.1 Actas Capacitación Usuarios Finales 5.1.2 • Diccionario de la Estructura del Desglose del Trabajo – EDT (WBS) Nombre del Proyecto: Elaboración de Costos de Empaques Flexibles Preparado por: David Rodríguez Fecha: 28 Marzo de 2011 Versión: 2.0 DICCIONARIO DE EDT (WBS) Cuenta de control: Gestión del Proyecto Identificador del Entregable: 1.1 Nombre de entregable(s): Plan del Proyecto Alcance del Trabajo: Se definen el plan de desarrollo para el proyecto que se va a llevar a cabo Responsable: Comité de Seguimiento Duración Fecha de 3 días Fecha de 04/07/2011 06/07/2011 estimada: Inicio: Término Requisitos de calidad: La elaboración de los documentos debe realizarse en los formatos establecidos. Página 18
  • 20.
    Otras referencias: Hitos delcronograma: DICCIONARIO DE EDT (WBS) Cuenta de control: Acta de Constitución del Proyecto Identificador del Entregable: 1.2 Nombre de entregable(s): Acta de Constitución del Proyecto (Project Charter) Alcance del Trabajo: Se definen los acuerdos iniciales que se tomarán en cuenta para la constitución y posterior desarrollo del proyecto. Responsable: Comité de Seguimiento Duración Fecha de 3 días Fecha de 07/07/2011 11/07/2011 estimada: Inicio: Término Requisitos de calidad: La elaboración de los documentos debe realizarse en los formatos establecidos. Otras referencias: Hitos del cronograma: DICCIONARIO DE EDT (WBS) Cuenta de control: Definir Visión y Objetivos Identificador del Entregable: 1.3.1 Nombre de entregable(s): Enunciado del Alcance Alcance del Trabajo: Se indica la visión y objetivos definidos para el proyecto Responsable: Gerente de Proyecto Duración Fecha de 2 días Fecha de 12/07/2011 13/07/2011 estimada: Inicio: Término Requisitos de calidad: La elaboración de los documentos debe realizarse en los formatos establecidos. Página 19
  • 21.
    Otras referencias: Hitos delcronograma: DICCIONARIO DE EDT (WBS) Cuenta de control: Definir Entregas Identificador del Entregable: 1.3.2 Nombre de entregable(s): Enunciado del Alcance Alcance del Trabajo: Se indica el detalle del proyecto así como la lista de los entregables a realizar. Responsable: Gerente de Proyecto Duración Fecha de 5 días Fecha de 14/07/2011 20/07/2011 estimada: Inicio: Término Requisitos de calidad: La elaboración de los documentos debe realizarse en los formatos establecidos. Otras referencias: Hitos del cronograma: DICCIONARIO DE EDT (WBS) Cuenta de control: Gestión del Tiempo Identificador del Entregable: 1.4 Nombre de entregable(s): Cronograma del Proyecto Alcance del Trabajo: Se presenta las fechas de cada una de las actividades a desarrollar durante el proyecto. Responsable: Gerente de Proyecto Duración Fecha de 4 días Fecha de 21/07/2011 26/07/2011 estimada: Inicio: Término Requisitos de calidad: La elaboración de los documentos debe realizarse en los formatos Página 20
  • 22.
    establecidos. Aprobación del cronogramapor parte del Líder del Proyecto. Otras referencias: Hitos del cronograma: Cronograma DICCIONARIO DE EDT (WBS) Cuenta de control: Gestión de Costos Identificador del Entregable: 1.5 Nombre de entregable(s): Financiamiento de Proyecto Alcance del Trabajo: Se detallan los estimados de costos, presupuesto y se realiza una comparación con el costo real. Responsable: Gerente de Proyecto Duración Fecha de 5 días Fecha de 01/08/2011 05/08/2011 estimada: Inicio: Término Requisitos de calidad: La elaboración de los documentos debe realizarse en los formatos establecidos. Aprobación del presupuesto por parte del Líder del Proyecto. Otras referencias: Hitos del cronograma: Presupuesto DICCIONARIO DE EDT (WBS) Cuenta de control: Gestión de Calidad Identificador del Entregable: 1.6 Nombre de entregable(s): Plan de Calidad Alcance del Trabajo: La calidad del sistema se basará en las políticas ya establecidas por la empresa. Responsable: Gerente de Proyecto Página 21
  • 23.
    Duración Fecha de 7 días Fechade 09/08/2011 17/08/2011 estimada: Inicio: Término Requisitos de calidad: La elaboración de los documentos debe realizarse en los formatos establecidos. Otras referencias: Hitos del cronograma: DICCIONARIO DE EDT (WBS) Cuenta de control: Analizar Personal Disponible Identificador del Entregable: 1.7.1 Nombre de entregable(s): Organigrama del Equipo del Proyecto Alcance del Trabajo: Se presenta el organigrama del personal que formará parte del equipo del proyecto. Responsable: Gerente de Proyecto Duración Fecha de 2 días Fecha de 18/08/2011 19/08/2011 estimada: Inicio: Término Requisitos de calidad: La elaboración de los documentos debe realizarse en los formatos establecidos. Otras referencias: Hitos del cronograma: DICCIONARIO DE EDT (WBS) Cuenta de control: Entrevistar al Personal Identificador del Entregable: 1.7.2 Nombre de entregable(s): Matriz de Responsabilidades Alcance del Trabajo: Se presenta el detalle de las responsabilidades de cada uno de los integrantes del proyecto. Página 22
  • 24.
    Responsable: Gerente de Proyecto Duración Fechade 11 días Fecha de 22/08/2011 05/09/2011 estimada: Inicio: Término Requisitos de calidad: La elaboración de los documentos debe realizarse en los formatos establecidos. Otras referencias: Hitos del cronograma: DICCIONARIO DE EDT (WBS) Cuenta de control: Gestión de Comunicaciones Identificador del Entregable: 1.8 Nombre de entregable(s): Plan de Gestión de las Comunicaciones Alcance del Trabajo: Se presenta el plan de Comunicaciones que se llevará a cabo para el proyecto Responsable: Gerente del Proyecto Duración Fecha de 7 días Fecha de 06/09/2011 14/09/2011 estimada: Inicio: Término Requisitos de calidad: La elaboración de los documentos debe realizarse en los formatos establecidos. Otras referencias: Hitos del cronograma: DICCIONARIO DE EDT (WBS) Cuenta de control: Gestión de Riesgos Identificador del Entregable: 1.9 Nombre de entregable(s): Plan de Gestión de Riesgos Alcance del Trabajo: Se presenta el plan de gestión de riesgos que se tomará en cuenta Página 23
  • 25.
    durante el desarrollodel proyecto. Responsable: Gerente del Proyecto Duración Fecha de 9 días Fecha de 19/09/2011 29/09/2011 estimada: Inicio: Término Requisitos de calidad: La elaboración de los documentos debe realizarse en los formatos establecidos. Otras referencias: Hitos del cronograma: DICCIONARIO DE EDT (WBS) Cuenta de control: Gestión de Abastecimiento Identificador del Entregable: 1.10 Nombre de entregable(s): Plan de Gestión de las Adquisiciones Alcance del Trabajo: Se presenta el plan de adquisiciones que se seguirá para la contratación de proveedores externos en el desarrollo del proyecto Responsable: Duración Fecha de 15 días Fecha de 30/09/2011 20/10/2011 estimada: Inicio: Término Requisitos de calidad: La elaboración de los documentos debe realizarse en los formatos establecidos. Otras referencias: Hitos del cronograma: DICCIONARIO DE EDT (WBS) Cuenta de control: Lista de Requerimientos Funcionales Identificador del Entregable: 2.1.1 Nombre de entregable(s): Lista de Requerimientos Funcionales Página 24
  • 26.
    Alcance del Trabajo: Descripciónde los requerimientos funcionales que se desarrollarán en el proyecto. Responsable: Analista de Sistemas Duración Fecha de Fecha de 24/10/2011 2 días 25/10/2011 estimada: Inicio: Término Requisitos de calidad: La elaboración de los documentos debe realizarse en los formatos establecidos. Otras referencias: Hitos del cronograma: DICCIONARIO DE EDT (WBS) Cuenta de control: Lista de Requerimientos No Funcionales Identificador del Entregable: 2.1.2 Nombre de entregable(s): Lista de Requerimientos No Funcionales Alcance del Trabajo: Descripción de los requerimientos no funcionales que se desarrollarán en el proyecto. Responsable: Analista de Sistemas Duración Fecha de 2 días Fecha de 25/10/2011 estimada: Inicio: Término Requisitos de calidad: La elaboración de los documentos debe realizarse en los formatos establecidos. Otras referencias: Hitos del cronograma: DICCIONARIO DE EDT (WBS) Cuenta de control: Documentación de Usuario Identificador del Entregable: 2.1.3 Página 25
  • 27.
    Nombre de entregable(s): Manualesde Usuario Alcance del Trabajo: Se presenta el detalle de las funcionalidades del sistema. Responsable: Analista de Sistemas Duración Fecha de Fecha de estimada: Inicio: Término Requisitos de calidad: La elaboración de los documentos debe realizarse en los formatos establecidos. Otras referencias: Hitos del cronograma: Manuales de Usuario DICCIONARIO DE EDT (WBS) Cuenta de control: Implementación y Soporte para Futuro Identificador del Entregable: 2.1.4 Nombre de entregable(s): Manual de Configuración del Sistema Alcance del Trabajo: Descripción de los pasos técnicos a seguir para la instalación del aplicativo a desarrollar. Responsable: Analista de Infraestructura / Administrador de Base de Datos Duración Fecha de Fecha de estimada: Inicio: Término Requisitos de calidad: La elaboración de los documentos debe realizarse en los formatos establecidos. Otras referencias: Hitos del cronograma: Manual de Configuración del Sistema Página 26
  • 28.
    DICCIONARIO DE EDT(WBS) Cuenta de control: Modelo en Base a Requerimientos Identificador del Entregable: 2.2.1 Nombre de entregable(s): Requerimientos del Negocio Alcance del Trabajo: Detalle de los requerimientos del negocio. Responsable: Analista de Sistemas Duración Fecha de Fecha de estimada: Inicio: Término Requisitos de calidad: La elaboración de los documentos debe realizarse en los formatos establecidos. Otras referencias: Hitos del cronograma: Requerimientos del Negocio DICCIONARIO DE EDT (WBS) Cuenta de control: Descripción de la Arquitectura Identificador del Entregable: 2.2.2 Nombre de entregable(s): Modelo de la Arquitectura Alcance del Trabajo: Detalle de la Arquitectura a crear. Responsable: Analista de Infraestructura / Administrador de Base de Datos Duración Fecha de Fecha de estimada: Inicio: Término Requisitos de calidad: La elaboración de los documentos debe realizarse en los formatos establecidos. Otras referencias: Hitos del cronograma: Modelo de la Arquitectura Página 27
  • 29.
    DICCIONARIO DE EDT(WBS) Cuenta de control: Diseño de Interfaz Identificador del Entregable: 2.3.1 Nombre de entregable(s): Diseño de Interfaz Alcance del Trabajo: Detalle del diseño de la interfaz a presentar al usuario. Responsable: Analista de Sistemas Duración Fecha de Fecha de estimada: Inicio: Término Requisitos de calidad: La elaboración de los documentos debe realizarse en los formatos establecidos. Otras referencias: Hitos del cronograma: DICCIONARIO DE EDT (WBS) Cuenta de control: Diseño de Base de Datos Relacional Identificador del Entregable: 2.3.2 Nombre de entregable(s): Modelo de Base de Datos Alcance del Trabajo: Detalle del diseño de la base de datos relacional a desarrollar durante el proyecto. Responsable: DBA Duración Fecha de Fecha de estimada: Inicio: Término Requisitos de calidad: La elaboración de los documentos debe realizarse en los formatos establecidos. Página 28
  • 30.
    Otras referencias: Hitos delcronograma: DICCIONARIO DE EDT (WBS) Cuenta de control: Desarrolla Plan de Riesgo Identificador del Entregable: 2.4.1 Nombre de entregable(s): Plan de Riesgo Alcance del Trabajo: Detalle del Plan de Riesgo definido para el proyecto Responsable: Gerente del Proyecto Duración Fecha de Fecha de estimada: Inicio: Término Requisitos de calidad: La elaboración de los documentos debe realizarse en los formatos establecidos. Otras referencias: Hitos del cronograma: DICCIONARIO DE EDT (WBS) Cuenta de control: Desarrolla Plan de Calidad Identificador del Entregable: 2.4.2 Nombre de entregable(s): Plan de Calidad Alcance del Trabajo: Detalle del Plan de Calidad a seguir para el proyecto Responsable: Analista de QA Duración Fecha de Fecha de estimada: Inicio: Término Requisitos de calidad: La elaboración de los documentos debe realizarse en los formatos Página 29
  • 31.
    establecidos. Otras referencias: Hitos delcronograma: DICCIONARIO DE EDT (WBS) Cuenta de control: Desarrolla Plan de Entregas Identificador del Entregable: 2.4.3 Nombre de entregable(s): Plan de Comunicaciones Alcance del Trabajo: Se presenta el detalle del Plan de Comunicaciones Responsable: Gerente del Proyecto Duración Fecha de Fecha de estimada: Inicio: Término Requisitos de calidad: La elaboración de los documentos debe realizarse en los formatos establecidos. Otras referencias: Hitos del cronograma: DICCIONARIO DE EDT (WBS) Cuenta de control: Creación del Programa Preliminar Identificador del Entregable: 3.1.1 Nombre de entregable(s): Modelo Preliminar del Programa Alcance del Trabajo: Se presenta el detalle preliminar del programa que se desarrollará para cubrir los requerimientos ya listados. Responsable: Analista de Sistemas Duración Fecha de Fecha de estimada: Inicio: Término Requisitos de calidad: La elaboración de los documentos debe realizarse en los formatos Página 30
  • 32.
    establecidos. Otras referencias: Hitos delcronograma: DICCIONARIO DE EDT (WBS) Cuenta de control: Revisión del Programa Preliminar Identificador del Entregable: 3.1.2 Nombre de entregable(s): Revisión del Programa Preliminar Alcance del Trabajo: Verificación del programa que se propone de acuerdo a los requerimientos presentados. Responsable: Analista de Sistemas Duración Fecha de Fecha de estimada: Inicio: Término Requisitos de calidad: Aceptación de los Interesados Clave Otras referencias: Hitos del cronograma: Aprobación del Programa Preliminar DICCIONARIO DE EDT (WBS) Cuenta de control: Actualizar Programa Preliminar Identificador del Entregable: 3.1.3 Nombre de entregable(s): Actualización del Programa Preliminar Alcance del Trabajo: Se dan los detalles de la actualización que se hará en el programa que fue presentado de manera preliminar. Responsable: Analista de Sistemas Duración Fecha de Fecha de estimada: Inicio: Término Requisitos de calidad: La elaboración de los documentos debe realizarse en los formatos Página 31
  • 33.
    establecidos. Otras referencias: Hitos delcronograma: DICCIONARIO DE EDT (WBS) Cuenta de control: Revisión del Programa Identificador del Entregable: 3.1.4 Nombre de entregable(s): Revisión del Programa Alcance del Trabajo: Se revisa el programa luego de las actualizaciones realizadas. Responsable: Analista de Sistemas Duración Fecha de Fecha de estimada: Inicio: Término Requisitos de calidad: La elaboración de los documentos debe realizarse en los formatos establecidos. Otras referencias: Hitos del cronograma: DICCIONARIO DE EDT (WBS) Cuenta de control: Aprobación del Programa Identificador del Entregable: 3.1.5 Nombre de entregable(s): Aprobación del Programa Alcance del Trabajo: Se documenta la aprobación del programa presentado. Responsable: Analista de Sistemas Duración Fecha de Fecha de estimada: Inicio: Término Requisitos de calidad: Aceptación de los interesados clave. Página 32
  • 34.
    Otras referencias: Hitos delcronograma: Aprobación del Programa DICCIONARIO DE EDT (WBS) Cuenta de control: Tablas y Relaciones Identificador del Entregable: 3.2.1 Nombre de entregable(s): Desarrollo de Tablas y Relaciones Alcance del Trabajo: Detalle de las tablas y relaciones a crear durante el proyecto Responsable: DBA Duración Fecha de Fecha de estimada: Inicio: Término Requisitos de calidad: La elaboración de los documentos debe realizarse en los formatos establecidos. Otras referencias: Hitos del cronograma: DICCIONARIO DE EDT (WBS) Cuenta de control: Procedimientos Almacenados y Triggers Identificador del Entregable: 3.2.2 Nombre de entregable(s): Desarrollo de Procedimientos Almacenados y Triggers Alcance del Trabajo: Detalle de las procedimientos almacenados y triggers a crear durante el proyecto Responsable: DBA Duración Fecha de Fecha de estimada: Inicio: Término Requisitos de calidad: La elaboración de los documentos debe realizarse en los formatos establecidos. Página 33
  • 35.
    Otras referencias: Hitos delcronograma: DICCIONARIO DE EDT (WBS) Cuenta de control: Vistas Identificador del Entregable: 3.2.3 Nombre de entregable(s): Desarrollo de Vistas Alcance del Trabajo: Detalle de las vistas a crear durante el proyecto Responsable: DBA Duración Fecha de Fecha de estimada: Inicio: Término Requisitos de calidad: La elaboración de los documentos debe realizarse en los formatos establecidos. Otras referencias: Hitos del cronograma: DICCIONARIO DE EDT (WBS) Cuenta de control: Definir Estrategia de Pruebas Identificador del Entregable: 3.3.1 Nombre de entregable(s): Plan de Pruebas Alcance del Trabajo: Detalle de las pruebas a realizar para testear el proyecto desarrollado. Responsable: Analista de QA Duración Fecha de Fecha de estimada: Inicio: Término Requisitos de calidad: La elaboración de los documentos debe realizarse en los formatos establecidos. Página 34
  • 36.
    Otras referencias: Hitos delcronograma: DICCIONARIO DE EDT (WBS) Cuenta de control: Plan de Pruebas Identificador del Entregable: 4.1.1 Nombre de entregable(s): Plan de Pruebas Alcance del Trabajo: La calidad del sistema se basara en un conjunto de herramientas software en un variado campo del análisis estructural, basado en estándares de la empresa. Responsable: Analista de Calidad Duración Fecha de Fecha de estimada: Inicio: Término Requisitos de calidad: El sistema está destinado a garantizar al usuario que sus resultados de análisis están respaldados por métodos y prácticas de calidad que minimizan el riesgo de utilización de un software defectuoso. Otras referencias: Hitos del cronograma: DICCIONARIO DE EDT (WBS) Cuenta de control: Caso de Pruebas Identificador del Entregable: 4.1.2 Nombre de entregable(s): Casos de Pruebas Alcance del Trabajo: Se detallan los casos a ser utilizados en las pruebas a realizar. Responsable: Analista de Calidad Duración Fecha de Fecha de estimada: Inicio: Término Página 35
  • 37.
    Requisitos de calidad: Elsistema está destinado a garantizar al usuario que sus resultados de análisis están respaldados por métodos y prácticas de calidad que minimizan el riesgo de utilización de un software defectuoso. Otras referencias: Hitos del cronograma: DICCIONARIO DE EDT (WBS) Cuenta de control: Procedimiento de Pruebas Identificador del Entregable: 4.1.3 Nombre de entregable(s): Procedimiento para Pruebas Alcance del Trabajo: Se basa en los procedimientos de calidad establecidos por la empresa. Responsable: Analista de Calidad Duración Fecha de Fecha de estimada: Inicio: Término Requisitos de calidad: El sistema está destinado a garantizar al usuario que sus resultados de análisis están respaldados por métodos y prácticas de calidad que minimizan el riesgo de utilización de un software defectuoso. Otras referencias: Hitos del cronograma: DICCIONARIO DE EDT (WBS) Cuenta de control: Resultados de Evaluación de Pruebas Identificador del Entregable: 4.1.4 Nombre de entregable(s): Resultados de Evaluación de Pruebas Alcance del Trabajo: Se detalla el resultado de las pruebas realizadas. Responsable: Analista de Calidad Página 36
  • 38.
    Duración Fecha de Fecha de estimada: Inicio: Término Requisitosde calidad: Debe ser aprobado por los Interesados clave Otras referencias: Hitos del cronograma: DICCIONARIO DE EDT (WBS) Cuenta de control: Pruebas de Mensajes de Error Identificador del Entregable: 4.2.1 Nombre de entregable(s): Pruebas de Mensajes de Error Alcance del Trabajo: Se detalla las pruebas a realizar con las que se identificarán los mensajes de error que pueda estar presentando el desarrollo del programa. Responsable: Analista de Calidad Duración Fecha de Fecha de estimada: Inicio: Término Requisitos de calidad: Debe ser aprobado por los Interesados clave Otras referencias: Hitos del cronograma: DICCIONARIO DE EDT (WBS) Cuenta de control: Pruebas de Sobrecarga de la Base de Datos Identificador del Entregable: 4.2.2 Nombre de entregable(s): Pruebas de Sobrecarga de la Base de Datos Alcance del Trabajo: Se detalla las pruebas a realizar de manera que se garantice la performance de la base de datos creada para el proyecto. Página 37
  • 39.
    Responsable: Analista de Calidad Duración Fechade Fecha de estimada: Inicio: Término Requisitos de calidad: Debe ser aprobado por los Interesados clave Otras referencias: Hitos del cronograma: DICCIONARIO DE EDT (WBS) Cuenta de control: Pruebas de la Interfaz Gráfica de Usuario Identificador del Entregable: 4.2.3 Nombre de entregable(s): Pruebas de la Interfaz Gráfica de Usuario Alcance del Trabajo: Se presenta la interfaz gráfica que se ha desarrollado para el proyecto. Responsable: Analista de Calidad Duración Fecha de Fecha de estimada: Inicio: Término Requisitos de calidad: Debe ser aprobado por los Interesados clave Otras referencias: Hitos del cronograma: DICCIONARIO DE EDT (WBS) Cuenta de control: Manual de Usuario Identificador del Entregable: 5.1.1 Nombre de entregable(s): Manual de Usuario Alcance del Trabajo: Se detalla la funcionalidad del sistema que tendrá el usuario. Página 38
  • 40.
    Responsable: Analista de Sistemas Duración Fechade Fecha de estimada: Inicio: Término Requisitos de calidad: La elaboración de los documentos debe realizarse en los formatos establecidos. Otras referencias: Hitos del cronograma: Manual del Usuario DICCIONARIO DE EDT (WBS) Cuenta de control: Actas Capacitación de Usuarios Finales Identificador del Entregable: 5.1.2 Nombre de entregable(s): Manual de Capacitación a Usuarios Alcance del Trabajo: Los temas de la capacitación deben ser realizados con el personal responsable de su implementación, en este caso con los analistas y desarrolladores del sistema. Identificar al personal que se le brindara la capacitación del aplicativo. Responsable: Analista de Calidad Duración Fecha de Fecha de estimada: Inicio: Término Requisitos de calidad: La elaboración de los documentos debe realizarse en los formatos establecidos. Otras referencias: Hitos del cronograma: Plan de Capacitación a Usuarios Manual de Capacitación Página 39
  • 41.
    DICCIONARIO DE EDT(WBS) Cuenta de control: Instalación del Software Identificador del Entregable: 5.2.1 Nombre de entregable(s): Manual Técnico de Instalación Alcance del Trabajo: Se realizara la instalación de la aplicación y se ejecutaran los script de base de datos: tablas, procedimientos y carga inicial de datos. Responsable: Analista de Infraestructura / Analista de Base de Datos Duración Fecha de Fecha de estimada: Inicio: Término Requisitos de calidad: La elaboración de los documentos debe realizarse en los formatos establecidos. Otras referencias: Hitos del cronograma: Manual de Instalación Manual Técnico Página 40
  • 42.
    2. GESTIÓN DELTIEMPO • Cronograma del Proyecto y Diagrama de Barras (Gantt) Página 41
  • 43.
  • 44.
  • 45.
    • Lista de Hitosdel Proyecto Nombre del Elaboración de Costos de Empaques Flexibles Proyecto: Preparado por: David Rodríguez Fecha: 28 de Marzo de 2011 Hitos WBS Cronograma 1.4 Gestión del Tiempo Fecha Descripción Se presenta las fechas de cada una de las actividades a desarrollar durante el proyecto. Presupuesto 1.5 Gestión de Costos Se detallan los estimados de costos, presupuesto y se realiza una comparación con el costo real. Manuales de Usuario 2.1.3 Documentación de Se presenta el detalle de las Usuario funcionalidades del sistema. Manual de Configuración del 2.1.4 Implementación y Descripción de los pasos Sistema Soporte para Futuro técnicos a seguir para la instalación del aplicativo a desarrollar. Requerimientos del Negocio 2.2.1 Modelo en Base a Detalle de los Requerimientos requerimientos del negocio. 2.2.2 Descripción de la Detalle de la Arquitectura a Arquitectura crear. Aprobación del Programa 3.1.2 Revisión del Programa Verificación del programa Preliminar Preliminar que se propone de acuerdo Modelo de la Arquitectura a los requerimientos Página 44
  • 46.
    presentados. Aprobación del Programa 3.1.5Aprobación del Se documenta la Programa aprobación del programa presentado. Manual de Usuario 5.1.1 Manual de Usuario Se detalla la funcionalidad del sistema que tendrá el usuario. Plan de Capacitación a 5.1.2 Actas Capacitación de Los temas de la Usuarios Usuarios Finales capacitación deben ser Manual de Capacitación realizados con el personal responsable de su implementación, en este caso con los analistas y desarrolladores del sistema. Identificar al personal que se le brindara la capacitación del aplicativo. Manual de Instalación 5.2.1 Instalación del Se realizara la instalación Manual Técnico Software de la aplicación y se ejecutaran los script de base de datos: tablas, procedimientos y carga inicial de datos. Comentarios: Revisado por: Autorizado por: Fecha: Fecha: Página 45
  • 47.
    3. GESTIÓN DELOS COSTOS • Estimación de los Costos JULIO AGOSTO SETIEMBRE OCTUBRE NOVIEMBRE DICIEMBRE ENERO Gerente de Proyecto S/. 7,000.00 S/. 7,000.00 S/. 7,000.00 S/. 7,000.00 S/. 7,000.00 S/. 7,000.00 S/. 7,000.00 Analista Sistema (2) S/. 8,400.00 S/. 8,400.00 S/. 8,400.00 S/. 8,400.00 S/. 8,400.00 S/. 8,400.00 S/. 8,400.00 S/. 3,000.00 S/. 3,000.00 S/. 3,000.00 S/. 3,000.00 S/. 3,000.00 S/. 3,000.00 S/. 3,000.00 programadores (3) S/. 7,450.00 S/. 7,450.00 S/. 7,450.00 S/. 7,450.00 S/. 7,450.00 S/. 7,450.00 S/. 7,450.00 Tecnico de hardware S/. 2,200.00 S/. 2,200.00 S/. 2,200.00 S/. 2,200.00 S/. 2,200.00 S/. 2,200.00 S/. 2,200.00 Administrador de DB S/. 5,000.00 S/. 5,000.00 S/. 5,000.00 S/. 5,000.00 S/. 5,000.00 S/. 5,000.00 S/. 5,000.00 Analista infraestructura Recursos Analista Equipos (Repotenciar) Memoria RAM S/. 2,800.00 Disco duro S/. 3,000.00 Licencias SQL Server 2011 (Conexiones) Enterprise Edition Materiales y útiles de S/. 560.00 Papel Bond tamaño A4 de 75gr. S/. 25.00 S/. 25.00 S/. 25.00 Página 46
  • 48.
    escritorio S/. 12.00 S/. 12.00 S/.12.00 manila S/. 7.50 S/. 7.50 S/. 7.00 Lapiz S/. 12.00 Lapiceros Folders / Sobre Memorias USB de 4 Gb, Scandisk S/. 120.00 Cartuchos S/. 140.00 S/. 140.00 Internet, luz, agua, teléfono Servicios S/. 305.00 Copias S/. 10.00 Capacitaciones Movilidad S/. 305.00 S/. 305.00 S/. 305.00 S/. 305.00 S/. 305.00 S/. 305.00 S/. 10.00 S/. 3,000.00 S/. 320.00 S/. 320.00 S/. 320.00 S/. 320.00 S/. 320.00 S/. 320.00 S/. 320.00 S/. 2,050.00 S/. 2,050.00 S/. 2,050.00 S/. 2,050.00 S/. 2,050.00 S/. 2,050.00 S/. 2,050.00 SUB TOTAL S/. 35,911.50 S/. 45,085.00 S/. 35,865.00 S/. 35,769.50 S/. 35,725.00 S/. 35,725.00 S/. 35,919.00 TOTAL S/. 260,000.00 Reservas Página 47
  • 49.
    • Curva S Trabajo R. Gestión R.Contingencia Costo Total Costo CA Fijo + Acumulado Costo Acumulado Costo Fijo + Var + Acumulado Costo Acumulado (S/.) variable (S/.) (S/.) (S/) (S/.) RC (S/) (S/) (S/.) 6,000.00 600.00 600.00 100.00 100.00 6,700.00 6,700.00 Inicio 6,000.00 Requerimientos 8,000.00 6,500.00 14,000.00 800.00 1,400.00 1,500.00 8,000.00 1,600.00 10,300.00 17,000.00 Análisis y diseño 38,000.00 34,000.00 52,000.00 3,100.00 4,500.00 3,500.00 37,500.00 5,100.00 44,600.00 61,600.00 Ambiente y Desarrollo 42,000.00 38,000.00 94,000.00 3,300.00 7,800.00 2,400.00 40,400.00 7,500.00 47,700.00 109,300.00 Desarrollo 63,000.00 55,000.00 157,000.00 4,100.00 11,900.00 2,600.00 57,600.00 10,100.00 69,700.00 179,000.00 Pruebas y Planeamiento 42,500.00 42,300.00 199,500.00 3,500.00 15,400.00 3,000.00 45,300.00 13,100.00 49,000.00 228,000.00 Deployment 32,500.00 9,950.00 232,000.00 3,100.00 18,500.00 3,000.00 12,950.00 16,100.00 38,600.00 266,600.00 Dirección del Proyecto 28,000.00 9,950.00 260,000.00 2,400.00 20,900.00 3,000.00 12,950.00 19,100.00 33,400.00 300,000.00 Página 48
  • 50.
    Línea base del proyecto ReservaGestión Presupuesto S/.260,000.00 S/.20,900.00 S/.280,900.00 Reserva Contingencias Costo Total S/.19,100.00 S/.300,000.00 Página 49
  • 51.
  • 52.
    4. GESTIÓN DELA CALIDAD • Plan de Gestión de la Calidad del Proyecto Nombre del Proyecto: Elaboración de Costos de Empaques Flexibles Preparado por: David Rodríguez Fecha: 28 de Marzo de 2011 Descripción del Sistema de Calidad del Proyecto: ESTRUCTURA ORGANIZACIONAL ROLES Y RESPONSABILIDADES Gerente del Proyecto.Genera Plan de Gestión de Calidad. Determina métricas de Calidad Realiza lista de Control de Calidad Genera el Plan de mejoras del proceso Determina línea base de calidad Actualizar el Plan de Gestión del Proyecto según entregables de calidad. Integra los procesos de calidad. Informa a los Stakeholders. Analista de QA.Recomendar las acciones correctivas de los procesos evaluados. Página 51
  • 53.
    Auditar los procesospara el desarrollo del sistema. Testeador de QA.Verificar que la el sistema cumpla con las especificaciones requeridas en el proceso de planificación. Verificar que el desarrollo del Sistema cumpla con la metodología definida por la empresa. PROCEDIMIENTOS Gestión de Proyectos.- Cumplir con el estándar para la Gestión de Proyectos, según cada plan subsidiario desarrollado para este proyecto. Esta guía ha sido desarrollada basada en los formatos de administración de proyectos que se usa el área de Sistemas. Desarrollo de Sistemas.- Se ha adoptado implantar el Proceso Unificado de Rational RUP (Rational Unified Process), adaptándolo a las necesidades de sus clientes en conjunción con una serie de normas y estándares internacionales para el diseño, codificación y pruebas del software. Ingeniería de Negocios: Entendiendo las necesidades del negocio. Requerimientos: Trasladando las necesidades del negocio a un sistema automatizado. Análisis y Diseño: Trasladando los requerimientos dentro de la arquitectura de software. Implementación: Creando software que se ajuste a la arquitectura y que tenga el comportamiento deseado. Página 52
  • 54.
    Pruebas: Asegurándose queel comportamiento requerido es el correcto y que todo los solicitado está presente. El proceso unificado de desarrollo del software presenta las siguientes características: Desarrollo incremental por iteraciones: Cada proyecto se descompone en iteraciones (mini proyectos), al final de cada iteración obtenemos un producto cada vez más grande. Iteraciones dirigidas por el riesgo: Las primeras iteraciones que abordaremos serán aquellas que impliquen mayores riesgos, ya que seguramente tendrán una fuerte influencia en la arquitectura del sistema o subsistema a construir y nos ayudarán a detectar en una fase temprana los problemas que retroalimentarán la siguiente Iteración, donde serán resueltos. Centrado en la arquitectura: También abordaremos como primeras iteraciones aquéllas que definan los componentes más influyentes en la arquitectura. Control Continuo de la Calidad: Cada iteración es un mini-proyecto que representa un incremento respecto al resultado de la iteración anterior, con el cual debe integrarse. Cada uno de estos incrementos es probado rigurosamente a diferentes niveles: desarrollador, unidad, integración y sistema, garantizando un control estricto y continuo de la calidad del producto. Además cada iteración que resulte en una entrega, tendrá que pasar otro duro examen de calidad: la aprobación del usuario. CONTROL DE CALIDAD Proyecto Verificar que el proyecto cumpla con la Guía de Gestión de Proyectos de Desarrollo de Software. Las herramientas a usar serán: diagrama de causa efecto, diagramas de control, diagramas de flujo, histogramas, diagrama de pareto, inspección. Usar formatos Producto Verificar que el Sistema cumpla con los requerimientos. Las herramientas a usar serán : diagrama de causa efecto, diagramas de control, diagramas de flujo, histogramas, diagrama de pareto, inspección ASEGURAMIENTO DE LA CALIDAD "Calidad" se refiere a todas las cosas buenas que nos gustaría ver en nuestro producto. Nosotros construimos un producto de calidad y aseguramos su calidad manteniendo calidad en mente todo el Página 53
  • 55.
    tiempo y realizandolas actividades seleccionadas abajo. Las pruebas son una actividad de QA, pero no es la mejor ni la única, otras actividades de QA incluyen el uso de guías de estilo y listas de pendientes, minutas en reuniones, uso de herramientas de análisis y cuidadosas mediciones y estimados de la calidad. Es necesario un plan para seleccionar y coordinar todas las actividades de QA. Para lograr este objetivo se van a hacer auditorias de calidad orientadas al proyecto y al producto • Normas de Calidad necesarias para realizar el Control de Calidad Nombre del Proyecto: Elaboración de Costos de Empaques Flexibles Preparado por: David Rodríguez Fecha: 28 Marzo de 2011 Objetivos del Proyecto (Calidad) Aplicar la metodología RUP para el desarrollo del proyecto de tecnología de la empresa. Aplicar los procedimientos y estándares establecidos en la empresa. Metodología de Análisis y Diseño de Sistemas La metodología de la empresa que se debe usar en el desarrollo de proyectos IT es RUP. Estándares de Programación y Procedimientos Los estándares de programación, procedimientos de Pruebas Integrales y Pases de pruebas integrales y pases que usa la empresa se encuentran definidos en la guía de estándares de SDLC. Guía del PMBOK La Guía del PMBOK® es un estándar en la Administración de proyectos desarrollado por el Project Management Institute (PMI). La misma comprende dos grandes secciones, la primera sobre los procesos y contextos de un proyecto, la segunda sobre las áreas de conocimiento específico para la gestión de un proyecto. Manual de Procedimientos para la Elaboración Establecer las actividades adecuadas para la Página 54
  • 56.
    de Costos deEmpaques Flexibles elaboración de costos de empaques flexibles asegurando su que se realice en el tiempo oportuno y definido por la empresa. Además, se debe aprovechar ésta información para la mejora de los procesos de la empresa. • Lista de Control de Calidad Nombre del Proyecto: Elaboración de Costos de Empaques Flexibles Preparado por: David Rodríguez Fecha: 28 de Marzo de 2011 1. Manual de la Calidad Puntos de control Conforme Observado Comentarios • El alcance del Sistema de Gestión de la Calidad incluyendo los instrumentos para los que se emitirá la Declaración de Conformidad. • Procedimientos documentados o referencia a ellos. • Una descripción de la interacción entre los procesos Realizado por: Fecha: Página 55
  • 57.
    2. Control delos Documentos Puntos de control Conforme Observado Comentarios • Existe un procedimiento documentado que defina los controles necesarios para: Emitir y aprobar los documentos. Revisar, actualizar y aprobar documentos cuando sea necesario. • Se identifican los cambios en los documentos. • Se identifica el estado de revisión actual de los documentos. • Se asegura que les versiones pertinentes de los documentos aplicables se encuentran disponibles en los puntos de uso. • Se asegura que los documentos permanecen legibles y fácilmente identificables. • Se asegura que se identifican los documentos de origen externo y se controla su distribución. • Se identifican adecuadamente los documentos obsoletos, cuando se mantienen por cualquier razón. Realizado por: Fecha: 3. Control de los Registros Puntos de control Conforme Observado Comentarios • Se mantienen registros para proporcionar evidencia de Página 56
  • 58.
    la conformidad delos requisitos, así como de la operación eficaz según un procedimiento documentado. • Se han definido controles para su: 1. Identificación. 2. Almacenamiento, protección y recuperación. 3. Tiempo de retención y disposición. Cuando corresponda, el tiempo de retención de los registros debe estar en relación con la vida útil del producto • Los registros son: 1. Legibles. 2. Identificables. 3. Recuperables. 4. Trazables al instrumento (cuando corresponda) Realizado por: Fecha: 4. Responsabilidad, Autoridad y Comunicación Puntos de control Conforme Observado Comentarios • Se ha definido la estructura de la organización • Se encuentran definidas las diferentes responsabilidades y autoridades. • Se ha identificado al personal responsable de la toma de decisiones sobre la aprobación del ensayo y la emisión de la Declaración de Conformidad Realizado por: Fecha: Página 57
  • 59.
    5. Revisión porla Dirección Puntos de control Conforme Observado Comentarios • Existe evidencia de que la dirección ha revisado el sistema de gestión para asegurar su conveniencia, adecuación y eficacia. • Los resultados de la revisión por la dirección incluyen decisiones y acciones relacionadas con: a) la mejora del sistema de gestión y sus procesos b) la mejora del producto en relación con los requisitos del cliente c) las necesidades de recursos. Realizado por: Fecha: 6. Recursos Humanos - Competencia, Toma de Conciencia y Formación Puntos de control • La organización ha determinado Conforme Observado Comentarios la competencia necesaria para el personal que realiza trabajos que afectan a la calidad del producto. • La organización proporciona formación o toma otras acciones para satisfacer dichas necesidades. • La organización se asegura de que el personal sea consciente de la pertinencia e importancia de sus actividades y de cómo contribuyen al logro de los objetivos de calidad. • La organización mantiene los registros apropiados que demuestran la educación, formación, habilidades y Página 58
  • 60.
    experiencia de supersonal. Realizado por: Fecha: 7. Procesos Relacionados con el Cliente Puntos de control Conforme Observado Comentarios • La organización determina los requisitos especificados y características relevantes para el cliente. • Se incluyen los requisitos para las actividades de entrega y las posteriores a la misma. • Se determinan los requisitos legales y reglamentarios relacionados con el producto. Realizado por: Fecha: 8. Diseño y Desarrollo Puntos de control Conforme Observado Comentarios • Se han determinado como elementos de entrada del diseño los requisitos legales y reglamentarios aplicables. • Se encuentran identificados los diseños para los equipos a los que se les ha otorgado la Aprobación de Modelo. • Está establecida una metodología que asegure la comunicación ante cualquier cambio en el diseño del instrumento para el cual se ha obtenido la Aprobación Página 59
  • 61.
    de Modelo • Semantienen registros. Realizado por: Fecha: 9. Control de los Dispositivos de Seguimiento y Medición Puntos de control Conforme Observado Comentarios • Se han determinado los requisitos de monitoreo y medición, incluyendo: 1. Las tolerancias requeridas. 2. Monitoreo y mediciones a ser llevados a cabo. 3. Dispositivos necesarios. 4. Procesos consistentes con los requisitos. • Los equipos de medición son: 1. Calibrados a intervalos específicos de acuerdo con las disposiciones vigentes o antes de ser utilizados. 2. Calibrados con trazabilidad a patrones nacionales o internacionales 3. Ajustados o re-ajustados si es necesario. 4. Identificados para poder determinar el estado de calibración. 5. Protegido contra ajustes que pudieran invalidar el resultado de la medición. 6. Protegidos contra los daños o deterioro. • Cuando el equipo no está conforme con los requisitos: 1. Se evalúa y registra la validez de resultados previos. 2. Se toma alguna acción sobre el equipo. Página 60
  • 62.
    3. Se tomaalguna acción sobre cualquier producto afectado. • Se mantienen registros de calibración y verificación. • ¿Se utiliza algún software en actividades de seguimiento y medición? 1. Se verifica antes de su uso. 2. Se re-confirma si es necesario. 3. Se realizan los registros correspondientes. 4. Existen copias de respaldo. Realizado por: Fecha: 10. Auditoría Interna Puntos de control Conforme Observado Comentarios • Se planifica un programa de auditorías tomando en consideración el estado y la importancia de los procesos y las áreas por auditar, así como los resultados de auditorías previas. • La organización lleva a cabo auditorías internas para determinar si el proyecto a) es conforme con las disposiciones planificadas y los requisitos establecidos por la organización. b) ha sido implementado y se mantiene de manera eficaz. • Se han definido los criterios de auditoría, el alcance de las mismas, su frecuencia y metodología. • La selección de los auditores y la realización de las auditorías asegura la objetividad e imparcialidad del Página 61
  • 63.
    proceso de auditoría. •Se ha definido un procedimiento documentado que incluya: 1. Las responsabilidades y los requisitos para la planificación y la realización de auditorías. 2. El informe de los resultados. 3. El mantenimiento de los registros. • El responsable del área que está siendo auditada asegura de que se toman acciones sin demora para eliminar las no conformidades detectadas y sus causas. • Las actividades de seguimiento incluyen la verificación de las acciones tomadas y el informe de los resultados de la verificación. • La Dirección toma conocimiento de las acciones tomadas y evalúa las acciones tomadas interviniendo cuando considere que no son adecuadas. Realizado por: Fecha: 11. Seguimiento y Medición del Producto Puntos de control Conforme Observado Comentarios • La organización mide y hace un seguimiento de las características del producto para verificar que se cumplen los requisitos del mismo. • La medición se efectúa en las etapas apropiadas del proceso de realización del producto de acuerdo con las disposiciones planificadas. Página 62
  • 64.
    • Se mantieneevidencia de la conformidad con los criterios de aceptación. Realizado por: Fecha: 12. Acción Correctiva Puntos de control Conforme Observado Comentarios • La organización toma acciones para eliminar la causa de no conformidades con objeto de prevenir que vuelva a ocurrir • Está establecido un procedimiento documentado para definir los requisitos para: a) revisar las no conformidades y quejas de los clientes; b) determinar las causas de las no conformidades; c) evaluar la necesidad de adoptar acciones para asegurarse de que las no conformidades no vuelvan a ocurrir, d) determinar e implementar las acciones necesarias e) registrar los resultados de las acciones tomadas f) revisar las acciones correctivas tomadas. Realizado por: Fecha: 13. Acción Preventiva Puntos de control Conforme Observado Comentarios • La organización determina acciones para eliminar las causas de no conformidades potenciales para prevenir Página 63
  • 65.
    su ocurrencia. • Estáestablecido un procedimiento documentado para definir los requisitos para: a) determinar las no conformidades potenciales y sus causas; b)evaluar la necesidad de actuar para prevenir la ocurrencia de no conformidades; c) determinar e implementar las acciones necesarias d) registrar los resultados de las acciones tomadas e) revisar las acciones preventivas tomadas. Realizado por: Fecha: 14. Desarrollo de Pruebas Puntos de control Conforme Observado Comentarios • Son adecuadas las instalaciones donde se realizan las pruebas. • Se encuentran establecidas las condiciones en la que se desarrollan las pruebas. Se encuentran adecuadamente controladas y registradas. • Se cuenta con procedimientos escritos de las pruebas que se desarrollan los que permitan: 1. Llevar a cabo las pruebas 2. Verificar el cumplimiento de los criterios de aceptación; y 3. Mantenimiento de los registros. • Los procedimientos se encuentran adecuadamente implementados Página 64
  • 66.
    • Se haestablecido y se cuenta con los registros necesarios de la competencia técnica del personal que realiza las pruebas • El personal que ha realizado las pruebas es competente. • Se utilizan formularios apropiados para registrar los resultados de las pruebas. Realizado por: Fecha: 5. GESTIÓN DE LOS RECURSOS HUMANOS • Organigrama del Equipo del Proyecto Página 65
  • 67.
    • Descripción de Rolesy Cargos Nombre del Proyecto: Elaboración de Costos de Empaques Flexibles Preparado por: David Rodríguez Fecha: 12 Abril de2011 Nombre del Rol: Gerente de Proyecto Responsabilidades • Preparar el plan del proyecto • Planificar el trabajo • Asignar responsabilidades a los miembros del equipo del proyecto • Asegurar la obtención de resultados • Revisión y Aprobación de Entregables • Nexo de comunicación con el Comité de Seguimiento del proyecto • Avalar el correcto desarrollo, desempeño y aprovechamiento de los recursos asignados al proyecto Competencias Página 66
  • 68.
    Capacidades:: • Proactivo • Trabajobajo presión • Trabajo en equipo Conocimiento: • Ingeniería de Sistemas y/o Software • Gerencia de Proyectos basado en PMBOK • Metodología RUP • Guía de Estándares SDLC • Costos y Presupuestos Habilidades • 8 años de experiencia en ingeniería de sistemas • 5 años de experiencia en gerencia de proyectos. • 3 años de experiencia como Gerente de Proyectos • 1 año de experiencia en manejo de Calidad • Manejo de Conflictos • Liderazgo Autoridad Número Estimado Fecha inicio Fecha de retiro 1 Tiempo requerido Tiempo Completo Nombre del Rol: Analista de Sistemas Responsabilidades • Preparar el cronograma • Generar los requerimientos de Software • Generar el diseños de las interfaces • Asignar recursos a las actividades Página 67
  • 69.
    • Asegurar la obtenciónde resultados • Aprobar los requerimientos funcionales y no funcionales. • Aprobar el Modelo de Base de Datos • Controlar y monitorear el desarrollo de los requerimientos • Preparar el plan de pruebas de stress del sistema • Instalar en ambiente de producción Competencias Capacidades:: • Proactivo • Trabajo bajo presión • Trabajo en equipo Conocimiento: • Ingeniería de Sistemas y/o Software • Gerencia de Proyectos basado en PMBOK • Metodología RUP • Guía de Estándares SDLC Habilidades • 5 años de experiencia en ingeniería de sistemas • 3 años de experiencia en gerencia de proyectos. • 2 años de experiencia como analista de sistemas • Manejo de Conflictos • Liderazgo Autoridad • Gerente de Sistemas Número Estimado Fecha inicio 1 Fecha de retiro Tiempo requerido Tiempo Completo Nombre del Rol: Analista de QA Página 68
  • 70.
    Responsabilidades • Preparar el cronogramade pruebas • Preparar el plan de pruebas • Generar los requerimientos para el ambiente de pruebas • Asegurar la obtención de resultados • Aprobar el plan de pruebas • Controlar, monitorear y asegurar la calidad del desarrollo de los requerimientos. Competencias Capacidades:: • Proactivo • Trabajo bajo presión • Trabajo en equipo Conocimiento: • Ingeniería de Sistemas y/o Software • Gerencia de Proyectos basado en PMBOK • Metodología RUP • Guía de Estándares SDLC Habilidades • 5 años de experiencia en ingeniería de sistemas • 3 años de experiencia en gerencia de proyectos. • 2 años de experiencia como analista de QA • Manejo de Conflictos • Liderazgo Autoridad • Gerente de Sistemas Número Estimado 1 Fecha inicio Fecha de retiro Tiempo requerido Tiempo Completo Página 69
  • 71.
    Nombre del Rol:Analista de Infraestructura Responsabilidades • Preparar el cronograma de implementación • Generar los requerimientos de Hardware • Asignar los recursos a las actividades • Implementar el ambiente de QA • Implementar el ambiente de Producción • Preparar el plan de pruebas de stress del sistema Competencias Capacidades:: • Proactivo • Trabajo bajo presión • Trabajo en equipo Conocimiento: • Ingeniería de Sistemas y/o Redes • Gerencia de Proyectos basado en PMBOK • Redes y Telecomunicaciones Habilidades • 1 años de experiencia en ingeniería de sistemas • 1 años de experiencia en gerencia de proyectos. • 3 años de experiencia como analista de Infraestructura • Manejo de Conflictos • Liderazgo Autoridad • Gerente de Sistemas Número Estimado 1 Fecha inicio Fecha de retiro Tiempo requerido Tiempo Completo Página 70
  • 72.
    Nombre del Rol:DBA Responsabilidades • Preparar el Modelo de la Base de Datos • Generar los scripts de Creación de la Base de Datos • Implementar la Base de Datos en el ambiente de QA • Implementar la Base de Datos en el ambiente de Producción • Realizar las pruebas de stress de la Base de Datos Competencias Capacidades:: • Proactivo • Trabajo bajo presión • Trabajo en equipo Conocimiento: • Ingeniería de Sistemas • Certificación en Administración de Bases de Datos SQL • Redes y Telecomunicaciones Habilidades • 5 años de experiencia en ingeniería de sistemas • 3 años de experiencia como Administrador de Base de Datos • Manejo de Conflictos Autoridad • Gerente de Sistemas Número Estimado Fecha inicio Fecha de retiro 1 Tiempo requerido Tiempo Completo Nombre del Rol: Analista Programador Responsabilidades • Realizar el desarrollo de los requerimientos funcionales Página 71
  • 73.
    • Generar código fuente • Generarpantallas de consulta • Generar reportes Competencias Capacidades:: • Proactivo • Trabajo bajo presión • Trabajo en equipo Conocimiento: • Análisis y Diseño Orientado a Objetos • Programación Orientada a Objetos • Metodología RUP • Visual Basic 6.0 • Lenguaje SQL Habilidades • 3 años de experiencia en desarrollo de software • 2 años de experiencia en desarrollo con bases de datos SQL Server • 1 año de experiencia en desarrollo de proyectos bajo metodología RUP Autoridad • Analista de Sistemas Número Estimado Fecha inicio Fecha de retiro 2 Tiempo requerido Tiempo Completo Nombre del Rol: Testeador QA Responsabilidades • Ejecutar el plan de pruebas del proyecto • Realizar las pruebas de stress del sistema • Realizar las pruebas de stress de la Base de Datos Página 72
  • 74.
    Competencias Capacidades:: • Proactivo • Trabajo bajo presión • Trabajoen equipo Conocimiento: • Ingeniería de sistemas • Metodología SDLC • Metodología RUP • Visual Basic 6.0 • Lenguaje SQL Habilidades • 3 años de experiencia en proyectos de calidad • 2 años de experiencia como testeador en proyectos de desarrollo de software • 1 año de experiencia en testeo de proyectos bajo metodología SDLC Autoridad • Analista de QA Número Estimado Fecha inicio Fecha de retiro Tiempo requerido 1 Nombre del Rol: Técnico de Hardware Responsabilidades • Realizar el desarrollo de los requerimientos funcionales • Generar código fuente • Generar pantallas de consulta • Generar reportes Competencias Página 73
  • 75.
    Capacidades:: • Proactivo • Trabajo bajo presión • Trabajoen equipo Conocimiento: • Técnico en Ensamblaje y Configuración de Equipos de Computo • Herramientas de Service Desk • Redes y Telecomunicaciones Habilidades • 2 años de experiencia como técnico de computadoras • 1 años de experiencia en redes y telecomunicaciones • 1 año de experiencia en implementación de proyectos de infraestructura Autoridad • Analista de Infraestructura Número Estimado 1 Fecha inicio Fecha de retiro Tiempo requerido Tiempo Completo Página 74
  • 76.
    • Matriz de Asignaciónde Responsabilidades Gerente de Analista de Analista Analista de Analista Testeador Técnico de Programador QA Hardware Segundo Henry Minaño / Víctor Cesar Arévalo Marcial Armijo Mogollón Camacho I I I I DBA Listado de Proyecto Sistemas de QA Entregables David Beatriz Infraestructura Nancy Marco Horna Rodríguez Yamaguzuku Fernández R I I I, V, A I, V R P, O R P, V P P, V I R I I P P P I I I I I R I I Acta de Constitución del Proyecto (Project I Charter) Actualización del Programa Preliminar Aprobación del I Programa Casos de Pruebas Cronograma del R P I Proyecto Desarrollo de Procedimientos Página 75
  • 77.
    Almacenados y Triggers Desarrollo deTablas y P, I I R P, I I P, I I R P, I I Relaciones Desarrollo de Vistas Diseño de Interfaz A R P Enunciado del Alcance R I I A R I A P, I I I R I I I I I I I I P P, I I I I I P I I I I Financiamiento de R Proyecto Lista de Requerimientos Funcionales Lista de Requerimientos No R P, I Funcionales Manual de Capacitación a Usuarios Manual de R R P Página 76
  • 78.
    Configuración del Sistema Manual deUsuario I R I P I Manual Técnico de I R P P Instalación Matriz de R I I I I I I I P, I I P, I R P, I I I I R I R Responsabilidades Modelo de Base de Datos Modelo de la Arquitectura Modelo Preliminar del R P Programa Organigrama del R I I I I I I I A I R I I I P, I I I I I I Equipo del Proyecto Plan de Calidad Plan de Gestión de las R Adquisiciones Plan de Gestión de las R Página 77
  • 79.
    Comunicaciones Plan de Gestiónde R I I I I Plan de Pruebas A I R I I Plan de Riesgo R Plan del Proyecto R I I I I A I R I I I P, I R I P, I R P, I I P, I R A R I I I R Riesgos I P, I I I P, I I P, I P, I P, I P, I P, I I R P, I P, I I I I I I P Procedimiento para Pruebas Pruebas de la Interfaz Gráfica de Usuario Pruebas de Mensajes I de Error Pruebas de Sobrecarga de la Base de Datos Requerimientos del I Negocio Resultados de Evaluación de Pruebas Página 78
  • 80.
    Revisión del Programa R I I P R I I P Revisióndel Programa Preliminar Función que realiza el Rol en el entregable R = Responsable Es el responsable del entregable P = Participa Participa en la construcción/elaboración del entregable I = Informado Es informado del resultado del entregable V = Verificación requerida Participa en el control de calidad del entregable O = Opinión requerida Participa como Experto A = Autoriza Autoriza la entrega del entregable El entregable requiere su F = Firma requerida firma Página 79
  • 81.
    6. GESTIÓN DELAS COMUNICACIONES • Registro de Interesados del Proyecto Nombre del proyecto: Elaboración de Costos de Empaques Flexibles Preparado por: David Rodríguez Fecha: 14 Abril de 2011 Categorí Interesado Clave a Interno Gerente del Proyecto Gestionar de Cerca Interno Cliente Mantenerlo Informado Interno Comité de Seguimiento del Proyecto Gestionar de Cerca Interno Directivos Mantenerlo Satisfecho Externo Proveedores Monitorear Interno Empleados Monitorear Interno Gerente General Mantenerlo Satisfecho Interno Equipo de Desarrollo Mantenerlo Informado Interno Equipo de Calidad Mantenerlo Informado Interno Equipo de Infraestructura Mantenerlo Informado Página 80
  • 82.
    • Plan de Gestiónde las Comunicaciones Nombre del proyecto: Elaboración de Costos de Empaques Flexibles Preparado por: David Rodríguez Fecha: 14 Abril de 2011 Método de Información Responsable Para su entrega a los Descripción de la Frecuencia comunicación requerida de elaborarlo Stakeholders Comentarios Comunicación a utilizar Comité de Seguimiento del Informe detallado del Gerente del Presupuesto Inicio del Proyecto / Directivos / Gerente Escrito Presupuesto para el Proyecto Proyecto General desarrollo del Proyecto Comité de Seguimiento del Proyecto / Equipo de Hitos de Gerente del Informe de Hitos del Proyecto Inicio del Proyecto Desarrollo / Equipo de Proyecto Informe detallado del Inicio del Escrito Proyecto Infraestructura / Equipo de Calidad / Gerente General Cronograma Gerente del Comité de Seguimiento del Escrito Página 81
  • 83.
    Proyecto Proyecto / GerenteGeneral / Cronograma del Proyecto Proyecto Informe del Plan del Inicio del Proyecto Proyecto Equipo de Desarrollo / Equipo de Infraestructura / Equipo de Calidad Plan de Gerente del Comité de Seguimiento del Escrito Proyecto Proyecto Acta de Gerente del Reuniones Proyecto / Gerente General / Proyecto Comité de Seguimiento del Después de Informe de las Actas de Proyecto / Cliente Escrito cada Reuniones sostenidas reunión Analista de Gerente del Proyecto / Cliente Sistemas / Equipo de Desarrollo / Informe de las Especificacione Fase de Escrito Especificaciones Planificación s Funcionales Equipo de Calidad Funcionales Gerente del Proyecto / Equipo Especificacione Analista de de Desarrollo / Equipo de Informe de Fase de Especificaciones Técnicas Planificación Escrito s Técnicas Infraestructura Infraestructura / Equipo de Calidad Especificacione Gerente del Proyecto / Equipo Informe de Fase de s del Modelo de DBA de Desarrollo / Equipo de Escrito Especificaciones del Planificación Base de Datos Infraestructura / Equipo de Modelo de Base de Datos Página 82
  • 84.
    Calidad Analista de Gerente delProyecto / Equipo Sistemas de Desarrollo / Equipo de Informe de las Especificacione Fase de Escrito s de Interfaces Especificaciones de Infraestructura / Equipo de Planificación Interfaces Calidad Analista de Gerente del Proyecto / Equipo Sistemas de Desarrollo / Equipo de Especificacione Informe de las Fase de Escrito s del Ambiente Especificaciones del Infraestructura / Equipo de Planificación de Desarrollo Ambiente de Desarrollo Calidad Analista de Gerente del Proyecto / Equipo Sistemas / de Desarrollo / Equipo de Especificacione Especificaciones del Plan Fase de Escrito s de Recursos Analista de de Distribución de Infraestructura / Equipo de Planificación por Actividad Recursos por Actividad Infraestructura Calidad Gerente del Proyecto / Equipo Informe de Especificacione Analista de de Desarrollo / Equipo de Fase de Escrito s de Hardware Infraestructura Especificaciones de Infraestructura / Equipo de Planificación Hardware Calidad Especificacione Analista de Gerente del Proyecto / Equipo Informe de Fase de Especificaciones de Planificación Escrito s de Software Sistemas de Desarrollo / Equipo de Página 83
  • 85.
    Infraestructura / Equipode Software Calidad Documentos de Todas las Gerente del Proyecto / Cliente Informe de Documentos Analista de Gestión de / Comité de Seguimiento del Escrito Sistemas Cambios Fases del de Solicitud de Cambios Proyecto Proyecto Gerente del Proyecto / Equipo Fase de Pruebas de de Desarrollo / Equipo de Analista de QA Informe de las Pruebas de Escrito Infraestructura / Equipo de Calidad Control y Calidad Seguimiento Calidad Gerente del Proyecto / Equipo Analista de Pruebas de Fase de de Desarrollo / Equipo de Informe de las Pruebas de Escrito Infraestructura Infraestructura / Equipo de Stress Control y Stress / DBA Seguimiento Calidad Manual de Analista de Gerente del Proyecto / Cliente Informe del Manual de Fase de Usuario Cierre Informe del Manual de Fase de Configuración Cierre Informe del Manual de Fase de Capacitación a los Cierre Escrito Usuario Sistemas / Empleados Manual de Analista de Gerente del Proyecto / Cliente Escrito Configuración Infraestructura / Empleados Manual de Analista de Gerente del Proyecto / Cliente Escrito Capacitación Sistemas / Comité de Seguimiento del Página 84
  • 86.
    Proyecto Plan de Usuarios Gerente delProyecto / Comité Analista de Informe del Plan de Desarrollo de Software Fase de Ejecución Informa del Plan de Fase de Implementación Ejecución Escrito Sistemas Software Ejecución Pruebas del Proyecto de Seguimiento del Proyecto / Fase de Informe del Plan de Desarrollo de Cliente Gerente del Proyecto / Comité Plan de Pruebas Analista de QA de Seguimiento del Proyecto / Escrito Cliente Gerente del Proyecto / Comité Plan de Analista de de Seguimiento del Proyecto / Implementación Infraestructura Escrito Cliente Página 85
  • 87.
    • Informe de Rendimientodel Proyecto Índice de Planificado Ganado Coste Rendimiento Valor Elemento de la EDT Coste Presupuesto Variación del Variación de Coste Coste Ganado Real Cronograma (S/) (S/) (S/) (S/) (%) (S/) (S/) CPI SPI (PV) (EV) (AC) (EV-AC) (CV/EV) (EV-PV) (SV/PV) (EV/AC) (EV/PV) 8,000 8,000 8,000 0 0 0 0 1.00 1.00 11,500 7600 8000 -400 -5.26 -3,900 -33.91 0.95 0.66 3,500 3500 3400 100 2.86 0 0 1.03 1.00 4,300 3500 3750 -250 -7.14 -800 -18.60 0.93 0.81 8,000 6800 6500 300 4.41 -1,200 -15.00 1.05 0.85 12500 10500 11000 -500 -4.76 -2,000 -16.00 0.95 0.84 18000 10000 9500 500 5 -8,000 -44.44 1.05 0.56 20000 15200 15800 -600 -3.95 -4,800 -24.00 0.96 0.76 16000 12500 11000 1500 12 -3,500 -21.88 1.14 0.78 Requerimientos del Negocio Plan de Calidad Matriz de Responsabilidades Manuales de Usuario Modelo de la Arquitectura Modelo de Base de Datos Diseño de Interfaz Modelo Preliminar del Programa Plan de Pruebas Página 86
  • 88.
  • 89.
    7. GESTIÓN DELOS RIESGOS • Análisis FODA de Riesgos Nombre del Proyecto: Elaboración de costos de empaques flexibles Preparado por: David Rodríguez Fecha: 16 de abril de 2011 Fortalezas: 1. Personal capacitado en lenguaje de programación de desarrollo 2. Conocimiento del negocio 3. Respaldo gerencial 4. Se cuenta con buen ambiente de trabajo 5. El equipo formado está comprometido con el proyecto Debilidades: 1. Falta de capacitación en nuevas herramientas de desarrollo 2. Falta de experiencia en procedimientos para nuevos desarrollos según PMBOK Oportunidades: 1. Respaldo gerencial y administrativo 2. Planes de desarrollo para la mejora continua de los sistemas 3. Nuevo desarrollo de sistema de costos para empaques flexible inexistente en el mercado Amenazas: 1. Desequilibrio económico entre miembros del equipo de trabajo 2. Resistencia al cambio para nuevos desarrollo informáticos 3. Discrepancias entre personal del negocio y equipo de trabajo Página 88
  • 90.
    • Registro de Riesgosdel Proyecto Nombre del Proyecto: Elaboración de costos de empaques flexibles Preparado por: David Rodríguez Fecha: 17 de abril de 2011 Riesgos técnicos 1. Los módulos están propensos a tener errores necesitan trabajo de comprobación, diseño e implementación. 2.Los requisitos no se han definido correctamente y su redefinición aumenta el alcance del proyecto 3. Los usuarios no participan en los ciclos de revisión de los planes y prototipos 4. Los ciclos de revisión y decisión del usuario para los planes, prototipos y especificaciones son lentos Riesgos de gestión 1. La dirección tome decisiones que reduzcan la motivación del equipo de desarrollo 2. No se brinde el apoyo necesario de la alta dirección 3. El personal trabaja mas lento de lo esperado 4. Nuevo personal abandone el proyecto antes de su finalización 5. Se realice un recorte en el presupuesto 6. Las definiciones de la planificación de los recursos y del producto han sido impuestas por el cliente o un directivo superior 7. El sistema a desarrollar sea más grande del estimado (por líneas de código, número de puntos de fusión, módulos) Riesgos organizacionales 1.Cambios en la alta dirección de Peruplast 2.Retraso del cliente en la entrega de especificaciones 3.Falta de recursos humanos con la capacidad necesaria para el proyecto 4.Aumento de la cantidad de usuarios para el acceso al sistema 5.Creacion de un sindicato que afecte el desarrollo del proyecto Página 89
  • 91.
    Riesgos externos 1.Los proveedoresno cumplen con los contratos establecidos 2.Eleccion de un presidente autoritario que cambie las leyes de la constitución 3. El Perú se encuentra en una zona sísmica como consecuencia prevenir ante un terremotos 4.Epidemia de enfermedades 5. Nuevas regulaciones del estado en materia de importaciones. • Matriz de Probabilidad e Impacto de Riesgos Tabla para evaluar la probabilidad, el impacto y la prioridad de los riesgos Probabilidad Amenazas Oportunidades 0.90 0.05 0.09 0.36 0.63 0.63 0.36 0.09 0.05 0.50 0.03 0.05 0.20 0.35 0.35 0.20 0.05 0.03 0.30 0.02 0.03 0.12 0.21 0.21 0.12 0.03 0.02 0.10 0.01 0.01 0.04 0.07 0.07 0.04 0.01 0.01 0.05 0.10 0.40 0.70 0.70 0.40 0.10 0.05 Página 90
  • 92.
    • Análisis de losRiesgos del Proyecto Nombre del Proyecto: Elaboración de costos de empaques flexibles Preparado por: David Rodríguez Fecha: 18 de abril de 2011 Actual Respuesta Riesgo Probabilidad Impacto Prioridad El alcance del proyecto no se detalló lo suficiente Nuevo Acción a tomar al riesgo Probabilidad Impacto Prioridad 0.30 0.40 0.12 0.30 0.10 0.03 0.10 0.05 0.005 0.50 0.10 0.05 El gerente del proyecto debe 0.50 0.40 0.20 verificar el alcance del proyecto Mal diseño del sistema implicaría volver a diseñar e implementar El equipo del proyecto debe 0.30 0.10 0.03 tener presente la importancia de un buen análisis Los ambientes disponibles no sean adecuados para el desarrollo Verificar la correcta 0.10 0.40 0.04 instalación del ambiente de trabajo El personal de desarrollo necesita 0.30 0.40 0.12 Capacitar al equipo para que Página 91
  • 93.
    tiempo para resolverloo adaptarse la adaptación sea lo más a las nuevas herramientas rápido posible Los módulos están propensos a Los programadores deben verificar y documentar el tener errores necesitan trabajo de 0.30 0.70 0.21 0.50 0.70 0.07 0.30 0.40 0.12 0.30 0.40 0.12 errores Los requisitos no se han definido 0.2 código para comprobar implementación 0.40 0.10 comprobación, diseño e Formar un equipo que haga la verificación de las correctamente y su redefinición 0.30 0.70 0.21 aumenta el alcance del proyecto especificaciones y requerimientos Los usuarios no participan en los ciclos de revisión de los planes y Involucrar al usuario en el 0.50 0.40 0.20 proceso de desarrollo y prototipos demostrarles su importancia Los ciclos de revisión y decisión del Involucrar al usuario en el usuario para los planes, prototipos y proceso de desarrollo, especificaciones son lentos 0.50 0.10 0.05 enviándoles manuales y prototipos/releases previos para su prueba. Página 92
  • 94.
    Comunicación con la gerenciadel usuario del sistema por parte de nuestros gerentes o ejecutivos La dirección tome decisiones que reduzcan la motivación del equipo Integrar al equipo de 0.30 0.40 0.12 0.12 0.30 0.40 0.12 0.50 0.10 0.05 0.10 0.03 0.10 0.05 0.50 0.40 0.20 para que exista motivación No se brinde el apoyo necesario de 0.40 0.50 de desarrollo 0.30 0.30 desarrollo con la dirección Compromiso de la gerencia la alta dirección 0.30 0.70 0.21 para obtener los resultados propuestos El personal trabaja más lento de lo esperado Capacitar al equipo de trabajo 0.50 0.40 0.20 e informar continuamente el cronograma del proyecto Nuevo personal abandone el Motivar al equipo para que no 0.50 0.70 0.35 proyecto antes de su finalización exista deserción Se realice un recorte en el Tener un plan de 0.50 0.70 0.35 presupuesto contingencia para recortes Las definiciones de la planificación Definir correctamente la 0.90 de los recursos y del producto han 0.40 0.36 gestión de recursos humanos Página 93
  • 95.
    sido impuestas porel cliente o un para determinar jerarquías directivo superior El sistema a desarrollar sea más Los objetivos deben estar claros en el Acta de grande del estimado (por líneas de 0.50 0.40 0.20 código, número de puntos de fusión, 0.50 0.10 0.05 0.10 0.70 0.07 0.30 0.40 0.12 0.30 0.40 0.12 0.50 0.40 0.20 0.50 0.40 0.20 Constitución módulos) Cambios en la alta dirección de Clausula contractual para no 0.10 0.10 0.01 Peruplast cancelar el proyecto Retraso del cliente en la entrega de Definir el cronograma del 0.50 0.40 0.20 especificaciones proyecto Falta de recursos humanos con la Hacer una selección de capacidad necesaria para el 0.10 0.10 0.01 personal que cumpla con los proyecto requisitos del proyecto Aumento de la cantidad de usuarios Definir el alcance del para el acceso al sistema 0.90 0.05 0.05 proyecto y las licencias de software Creación de un sindicato que afecte el desarrollo del proyecto Plan de comunicación para 0.10 0.05 0.01 establecer un ambiente cordial entre usuarios y Página 94
  • 96.
    equipo de trabajo Losproveedores no cumplen con los contratos establecidos Firmas contratos con 0.50 0.70 0.35 0.30 0.40 0.12 0.50 0.10 0.05 0.30 0.40 0.12 0.10 penalidades ante el no 0.70 0.07 0.30 0.40 0.12 cumplimiento Elección de un presidente autoritario que cambie las leyes de la Detener el proyecto hasta 0.50 0.10 0.05 tener claro los cambios constitución El Perú se encuentra en una zona Tener un ambiente seguro 0.50 0.40 0.20 0.30 sísmica como consecuencia 0.10 0.03 para el backup del sistema prevenir ante un terremotos Epidemia de enfermedades Tener personal alternativo para casos de enfermedades Nuevas regulaciones del estado en materia de importaciones Definir clausulas en el plan de 0.50 0.70 0.35 adquisiciones para el caso de cambios de regulaciones Página 95
  • 97.
    8. GESTIÓN DELAS ADQUISICIONES • Plan de Gestión de las Adquisiciones Nombre del Proyecto: Elaboración de costos de empaques flexibles Preparado por: David Rodríguez Fecha: 18 de abril de 2011 Recursos para las adquisiciones: El Gerente de proyecto designara al Analista de infraestructura para la adquisición de recursos. Entre las acciones que se toman son ponerse en contacto directo con los proveedores para incorporar un precio base( incluído en el presupuesto) y contrastar las características técnicas del producto solicitado. Una vez que el departamento de compras elabora y aprueba la OC se procede a hacer el seguimiento de los tiempos de entrega con el proveedor, y al momento de ingresar proceder a revisar la mercadería. Luego se comunica al departamento de compras una evaluación del proveedor desde el punto de vista técnico. Productos y servicios a contratar: Hardware para repotenciar equipos de cómputo. Tipos de contrato a ser usados: Contrato de precio fijo. Criterios de evaluación: El criterio de evaluación es con la recepción de las cotizaciones presentada por los diferentes proveedores según los requerimientos remitidos. Se analizan mediante cuadros comparativos y se identifica al proveedor con mejor precio, calificados por tiempo de entrega, calidad de productos, disponibilidad, precio, garantía y soporte. Página 96
  • 98.
    Vendedores precalificados: Se seleccionande los vendedores calificados aquellos cuyas propuestas satisfacen los requerimientos del trabajo y cuyos criterios de evaluación pueden ser satisfechos por ellos • Enunciado del Trabajo a Contratar Nombre del Proyecto: Elaboración de costos de empaques flexibles Preparado por: David Rodríguez Fecha: 19 de abril de 2011 Identificador del entregable Nombre del entregable Alcance del entregable Adquisición de hardware para re potenciación Hardware para re potenciación de equipos de computo de la empresa Duración estimada Fecha de término Criterios de aceptación 3 días 27/12/2011 La empresa con mejores propuesta será la encargada de proporcionar el hardware a la empresa. Se validara los siguientes factores: • Precio • Calidad • Tiempo de entrega • Garantia • Servicio post venta Nombre del Proyecto: Elaboración de costos de empaques flexibles Preparado por: David Rodríguez Fecha: 19 de abril de 2011 Identificador del entregable Nombre del entregable Adquisición de suministros de oficina Página 97
  • 99.
    Suministros de oficinapara las actividades a desarrollar durante el Alcance del entregable proyecto. Duración estimada Fecha de término Criterios de aceptación 3 días 27/12/2011 La empresa con mejores propuesta será la encargada de proporcionar los suministros de oficina que se usarán durante el desarrollo del proyecto. Se validara los siguientes factores: • Precio • Calidad • Tiempo de entrega 9. CIERRE DEL PROYECTO • Aceptación Final del Proyecto ACTA DE ACEPTACIÓN - FINAL Nombre del Proyecto: Elaboración de Costos de Empaques Flexibles Preparado por: David Rodríguez Fecha: 16/01/2012 Por medio de la presente se deja constancia de la aceptación de la siguiente lista de entregables, los mismos que han sido certificados por el cliente dando total cumplimiento a los requerimientos solicitados, por otra parte no existe ni un tema pendiente sobre lo requerido por el mismo ya que el sistema se encuentra operativo al 100%. Lista de Entregables: • Plan del Proyecto Página 98
  • 100.
    • Acta de Constitucióndel Proyecto (Project Charter) • Enunciado del Alcance • Cronograma del Proyecto • Financiamiento de Proyecto • Plan de Calidad • Organigrama del Equipo del Proyecto • Matriz de Responsabilidades • Plan de Gestión de las Comunicaciones • Plan de Gestión de Riesgos • Plan de Gestión de las Adquisiciones • Lista de Requerimientos Funcionales • Lista de Requerimientos No Funcionales • Manuales de Usuario • Manual de Configuración del Sistema • Requerimientos del Negocio • Modelo de la Arquitectura • Diseño de Interfaz • Modelo de Base de Datos • Plan de Riesgo • Plan de Comunicaciones • Modelo Preliminar del Programa • Revisión del Programa Preliminar • Actualización del Programa Preliminar • Revisión del Programa • Aprobación del Programa • Desarrollo de Tablas y Relaciones • Desarrollo de Procedimientos Almacenados y Triggers Página 99
  • 101.
    • Desarrollo de Vistas • Plande Pruebas • Casos de Pruebas • Procedimiento para Pruebas • Resultados de Evaluación de Pruebas • Pruebas de Mensajes de Error • Pruebas de Sobrecarga de la Base de Datos • Pruebas de la Interfaz Gráfica de Usuario • Manual de Capacitación a Usuarios • Manual Técnico de Instalación Firma del Cliente • Firma del Gerente de Proyecto Lecciones Aprendidas en el Proyecto Nombre del Proyecto: Elaboración de Costos de Empaques Flexibles Preparado por: David Rodríguez Fecha: 28 Abril de 2011 Lección Aprendida Nro.: 0001 Nombre Propuesto para la Lección Aprendida: Error en Definición de Actividades para Entregables definidos Rol en el Equipo del Proyecto: Gerente del Proyecto Grupo de procesos:* Iniciación X Planeamiento Ejecución Control Cierre Página 100
  • 102.
    Proceso Específico dela Gerencia de Proyecto que está siendo utilizado: Definición de las Actividades Práctica específica, herramienta o técnica que está siendo utilizada: Descomposición de Actividades ¿Cuál fue la acción sucedida, que pasó? Se definieron las actividades a realizar; sin embargo, al iniciar el desarrollo del proyecto, se identificaron tareas que no fueron consideradas y que demandaron tiempo. ¿Cuál fue el resultado o impacto de la incidencia? Algunas tareas se vieron afectadas incumpliendo los plazos de entrega por lo que se tuvo que solicitar horas extras para el personal asignado al proyecto de manera que las tareas pudieran ser realizadas. ¿Cuál es la lección aprendida? Al realizar la definición de actividades es necesario contar con información histórica de proyectos anteriores así como de la participación de los miembros del equipo del proyecto que han participado en otros proyectos y que puedan proporcionar información sobre tareas a realizar así como lecciones aprendidas. ¿Qué acción se tomó? Se realizó una revisión de las actividades definidas con el equipo de proyecto para verificar que se estaba tomando en cuenta lo necesario. Se realizaron las solicitudes de cambio en los casos que fueron necesarios. ¿Qué comportamiento se recomienda para el futuro? Al definir las actividades es necesario contar con fuentes de información que permitan validar la información así como con el conocimiento de los miembros del equipo del proyecto. ¿Dónde y cómo éste conocimiento, puede ser utilizado más adelante en el proyecto actual? Revisión de las actividades que no se han iniciado en las fases posteriores lo que permita tener una mejor reacción sobre las acciones que se deben tomar. ¿Dónde y cómo éste conocimiento, se puede utilizar en un proyecto futuro? Definición de Actividades del Proyecto para que todas las tareas necesarias sean incluidas. Página 101
  • 103.
    ¿Quién debe serinformado sobre esta lección aprendida?: (marcar una) Ejecutivo(s) X Gerente(s) Proyecto Equipo del Proyecto Todo el Personal Otros: ¿Cómo debe ser distribuida esta lección aprendida? (marcar todas las que apliquen) e-mail Intranet/pagina Web Preguntas Frecuentes Otros: ¿Ha anexado referencia(s), ejemplo(s) y/o material(es) adicional(es)? Nombre(s) de anexo(s): X Biblioteca si X no 1. 2. Nombre del Proyecto: Elaboración de Costos de Empaques Flexibles Preparado por: David Rodríguez Fecha: 28 Abril de 2011 Lección Aprendida Nro.: 0002 Nombre Propuesto para la Lección Aprendida: Considerar actividad de Capacitación al equipo del Proyecto en los procesos de Negocio que forman parte del desarrollo a realizar. Rol en el Equipo del Proyecto: Gerente del Proyecto Grupo de procesos:* Iniciación X Planeamiento Ejecución Control Cierre Proceso Específico de la Gerencia de Proyecto que está siendo utilizado: Definición de las Actividades Práctica específica, herramienta o técnica que está siendo utilizada: Descomposición de Actividades ¿Cuál fue la acción sucedida, que pasó? Se definieron las actividades a realizar; sin embargo, no se consideró la capacitación del equipo del proyecto en los procesos del negocio, lo cual podría generar problemas en tiempos y costos. ¿Cuál fue el resultado o impacto de la incidencia? Página 102
  • 104.
    Se modificó elEDT original para considerar esta actividad ¿Cuál es la lección aprendida? Es necesario considerar esta actividad como parte del proyecto como un nuevo entregable o como una actividad específica en algún entregable. ¿Qué acción se tomó? Se actualizó el EDT para considerar esta actividad ¿Qué comportamiento se recomienda para el futuro? Incluir esta actividad al momento de definir las actividades en el EDT. ¿Dónde y cómo éste conocimiento, puede ser utilizado más adelante en el proyecto actual? No aplica ¿Dónde y cómo éste conocimiento, se puede utilizar en un proyecto futuro? El personal del equipo de proyecto siempre debe ser capacitado en el negocio sobre el cual se va a desarrollar el proyecto de manera que los clientes y la información que ellos compartan con el equipo sea entendible y que esta se refleje finalmente en el producto que se va a entregar. ¿Quién debe ser informado sobre esta lección aprendida?: (marcar una) Ejecutivo(s) X Gerente(s) Proyecto Equipo del Proyecto Todo el Personal Otros: ¿Cómo debe ser distribuida esta lección aprendida? (marcar todas las que apliquen) e-mail Intranet/pagina Web Preguntas Frecuentes Otros: ¿Ha anexado referencia(s), ejemplo(s) y/o material(es) adicional(es)? Nombre(s) de anexo(s): X Biblioteca si X no 1. 2. Nombre del Proyecto: Elaboración de Costos de Empaques Flexibles Preparado por: David Rodríguez Fecha: 28 Abril de 2011 Lección Aprendida Nro.: 0003 Página 103
  • 105.
    Nombre Propuesto parala Lección Aprendida: Considerar todas las áreas involucradas (Stakeholders) al realizar el enunciado del Alcance del Proyecto Rol en el Equipo del Proyecto: Gerente del Proyecto Grupo de procesos:* Iniciación X Planeamiento Ejecución Control Cierre Proceso Específico de la Gerencia de Proyecto que está siendo utilizado: Elaboración del Enunciado del Alcance Práctica específica, herramienta o técnica que está siendo utilizada: Reuniones con las áreas involucradas y los interesados clave ¿Cuál fue la acción sucedida, que pasó? No se consideró al área de Servicio al Cliente lo cual originó que uno de los requerimientos no sea especificado de manera correcta al no haber tenido conocimiento del proceso completo. ¿Cuál fue el resultado o impacto de la incidencia? Hubo que redefinir una actividad y modificar el tiempo asignado a la misma. ¿Cuál es la lección aprendida? Es necesario que se tomen en cuenta todas las áreas de la empresa de manera que se identifiquen los Stakeholders que deberán ser considerados en el proyecto. ¿Qué acción se tomó? Se realizó un cambio en la definición de la actividad y se adicionó 2 días para su desarrollo. ¿Qué comportamiento se recomienda para el futuro? Asegurar que se han considerados a todos los interesados, que los requerimientos sean claros y precisos y que hayan sido aprobados. ¿Dónde y cómo éste conocimiento, puede ser utilizado más adelante en el proyecto actual? Durante la elaboración del Enunciado del Alcance ¿Dónde y cómo éste conocimiento, se puede utilizar en un proyecto futuro? En la gestión del Plan del Proyecto ¿Quién debe ser informado sobre esta lección aprendida?: (marcar una) Ejecutivo(s) X Gerente(s) Proyecto X Equipo del Proyecto Todo el Personal Otros: Página 104
  • 106.
    ¿Cómo debe serdistribuida esta lección aprendida? (marcar todas las que apliquen) X e-mail Intranet/pagina Web Preguntas Frecuentes Otros: ¿Ha anexado referencia(s), ejemplo(s) y/o material(es) adicional(es)? Nombre(s) de anexo(s): Biblioteca si X no 1. 2. Nombre del Proyecto: Elaboración de Costos de Empaques Flexibles Preparado por: David Rodríguez Fecha: 28 Abril de 2011 Lección Aprendida Nro.: 0004 Nombre Propuesto para la Lección Aprendida: No difundir el plan de comunicaciones a todo el equipo del proyecto Rol en el Equipo del Proyecto: Gerente del Proyecto Grupo de procesos:* Iniciación X Planeamiento Ejecución Control Cierre Proceso Específico de la Gerencia de Proyecto que está siendo utilizado: Plan de Comunicaciones del Proyecto Práctica específica, herramienta o técnica que está siendo utilizada: Difusión del plan de comunicaciones a todos los miembros del equipo del proyecto ¿Cuál fue la acción sucedida, que pasó? Los miembros del equipo de proyecto no tenían conocimiento del plan de comunicación que debía seguirse por lo que los interesados clave y el mismo Gerente de Proyecto no estaba recibiendo la información del estado actual del proyecto así como de los inconvenientes que habían surgido. ¿Cuál fue el resultado o impacto de la incidencia? Se generó malestar con los interesados clave además de detectar que se tenía un atraso de 2 días sobre el cronograma. Página 105
  • 107.
    ¿Cuál es lalección aprendida? Se debe difundir el plan de comunicaciones a todo el equipo de proyecto para que la información siempre sea fluida entre todos. ¿Qué acción se tomó? Se retroalimentó al equipo y se verificaron las actividades que presentaron retrasos para tomar las acciones que permitan tener todo de acuerdo al cronograma nuevamente. ¿Qué comportamiento se recomienda para el futuro? Realizar comunicación efectiva al equipo de proyecto sobre la importancia de la comunicación en el éxito de la misma. ¿Dónde y cómo éste conocimiento, puede ser utilizado más adelante en el proyecto actual? Durante todo el desarrollo del proyecto se debe comunicar a todo el equipo, las acciones que se están tomando. ¿Dónde y cómo éste conocimiento, se puede utilizar en un proyecto futuro? Se debe tomar en cuenta que es importante tener una comunicación fluida con todo el equipo de proyecto lo cual evite malos entendidos. ¿Quién debe ser informado sobre esta lección aprendida?: (marcar una) Ejecutivo(s) X Gerente(s) Proyecto X Equipo del Proyecto Todo el Personal Otros: ¿Cómo debe ser distribuida esta lección aprendida? (marcar todas las que apliquen) X e-mail Intranet/pagina Web Preguntas Frecuentes Otros: ¿Ha anexado referencia(s), ejemplo(s) y/o material(es) adicional(es)? Nombre(s) de anexo(s): Biblioteca si X no 1. 2. Nombre del Proyecto: Elaboración de Costos de Empaques Flexibles Preparado por: David Rodríguez Fecha: 28 Abril de 2011 Página 106
  • 108.
    Lección Aprendida Nro.:0005 Nombre Propuesto para la Lección Aprendida: No considerar los impuestos generados para el proceso del negocio Rol en el Equipo del Proyecto: Gerente del Proyecto Grupo de procesos:* Iniciación X Planeamiento Ejecución Control Cierre Proceso Específico de la Gerencia de Proyecto que está siendo utilizado: Diseño del Programa Preliminar Práctica específica, herramienta o técnica que está siendo utilizada: Modelado de los Requerimientos ¿Cuál fue la acción sucedida, que pasó? Durante el modelado de los requerimientos de usuario se identificó que los costos de los insumos para la creación de empaques flexibles se veían afectados por un impuesto variable que no fue considerado durante el análisis del proceso. ¿Cuál fue el resultado o impacto de la incidencia? Se generaron retrasos en las actividades dado que se tuvo que realizar nuevamente el análisis para que se realizara el diseño preliminar del programa. Esto a su vez generó un gasto adicional sobre el presupuesto inicialmente definido. ¿Cuál es la lección aprendida? Es necesario verificar todos los factores externos que puedan afectar el desarrollo del proceso para no incurrir en retrasos ni gastos adicionales como en esta ocasión. ¿Qué acción se tomó? Se hizo uso de parte del presupuesto asignado a contingencia para cubrir los gastos adicionales que ocasionó este cambio. De la misma manera se solicitó al personal trabajo fuera de hora para poder cubrir el tiempo de atraso que se tuvo. ¿Qué comportamiento se recomienda para el futuro? Reforzar la comunicación con los interesados clave de manera que se puedan identificar en la etapa de análisis todas las consideraciones que debe tomar en cuenta el desarrollo a realizar. Página 107
  • 109.
    ¿Dónde y cómoéste conocimiento, puede ser utilizado más adelante en el proyecto actual? Permitirá evitar el incurrir en costos adicionales además de retrasos en los tiempos ya establecidos. ¿Dónde y cómo éste conocimiento, se puede utilizar en un proyecto futuro? Se debe tomar en cuenta que es importante tener una comunicación fluida entre el equipo del proyecto y los interesados clave lo que nos permita contar con toda la información necesaria para el desarrollo del prototipo inicial. ¿Quién debe ser informado sobre esta lección aprendida?: (marcar una) X Ejecutivo(s) X Gerente(s) Proyecto Equipo del Proyecto Todo el Personal Otros: ¿Cómo debe ser distribuida esta lección aprendida? (marcar todas las que apliquen) e-mail Intranet/pagina Web Preguntas Frecuentes Otros: ¿Ha anexado referencia(s), ejemplo(s) y/o material(es) adicional(es)? Nombre(s) de anexo(s): X Biblioteca si X no 1. 2. Nombre del Proyecto: Elaboración de Costos de Empaques Flexibles Preparado por: David Rodríguez Fecha: 28 Abril de 2011 Lección Aprendida Nro.: 0006 Nombre Propuesto para la Lección Aprendida: Reclutamiento de Personal más Efectivo Rol en el Equipo del Proyecto: Gerente del Proyecto Grupo de procesos:* X Iniciación Planeamiento Ejecución Control Cierre Proceso Específico de la Gerencia de Proyecto que está siendo utilizado: Gestión de RRHH Práctica específica, herramienta o técnica que está siendo utilizada: Página 108
  • 110.
    Análisis de Personal ¿Cuálfue la acción sucedida, que pasó? El proceso de reclutamiento de personal tomó más tiempo del planificado lo cual generó que luego de tomada la decisión de los recursos elegidos, muchos de ellos ya no se encontraban disponibles. ¿Cuál fue el resultado o impacto de la incidencia? Se tuvo que realizar una nueva evaluación de candidatos en algunos casos para cubrir las posiciones faltantes, lo cual generó tiempo y costo adicional. ¿Cuál es la lección aprendida? Se debe optimizar el proceso de selección de personal que nos permita encontrar disponibilidad en los recursos finalmente elegidos. ¿Qué acción se tomó? Se hizo un ajuste de los tiempos y costos asignados en la gestión de RRHH ¿Qué comportamiento se recomienda para el futuro? Asegurar que se cumplan las fechas planificadas de maneras que las actividades no se retrasen y no se generen riesgos. ¿Dónde y cómo éste conocimiento, puede ser utilizado más adelante en el proyecto actual? Permitirá evitar el incurrir en costos adicionales además de retrasos en los tiempos ya establecidos. ¿Dónde y cómo éste conocimiento, se puede utilizar en un proyecto futuro? Permitirá evitar generar riesgos a futuro, así como costos adicionales a lo ya presupuestado. ¿Quién debe ser informado sobre esta lección aprendida?: (marcar una) X Ejecutivo(s) X Gerente(s) Proyecto Equipo del Proyecto Todo el Personal Otros: ¿Cómo debe ser distribuida esta lección aprendida? (marcar todas las que apliquen) e-mail Intranet/pagina Web Preguntas Frecuentes Otros: ¿Ha anexado referencia(s), ejemplo(s) y/o material(es) adicional(es)? Nombre(s) de anexo(s): X Biblioteca si X no 1. 2. Página 109
  • 111.
    CONCLUSIONES El presente capítulonos ha permitido conocer al detalle la organización que se llevará a cabo durante el desarrollo del presente proyecto, los recursos a asignar así como las diferentes tareas que se deberán realizar para poder cumplir los objetivos trazados. Es en base a lo establecido en el presente capitulo que se busca cumplir los objetivos trazados al inicio del presente proyecto y son los que nos permitirán tener el éxito esperado. Página 110