Calculo integral
Utilización de la formulas
(1,2,3,4,5,6)
Marco Abraham Saldaña Originales
30/09/2018
Introducción:
La integral de una función F consiste en el área bajo la
curva delimitada por los extremos de esta y sus
proyecciones sobre uno de los ejes. La integración es
un concepto fundamental del análisis matemático y las
ecuaciones diferenciales, Básicamente, una integral es
una suma de infinitos sumandos, infinitamente
pequeños. La integral de una función arroja datos
relevantes de áreas determinadas por curvas y formas
aun no concluidas. También para determinar solidos
generados a partir de la revolución de ellos. Este
proceso es considerado la anti-derivada de la función,
ya que revoca cualquier efecto producido por la
diferenciación de la función provocando así que una
función derivada regrese a su estado y forma original.
FÓRMULA 1
ʃ𝑑𝑥 = 𝑥 + 𝑐
= x+c
= f(x)+c
= 𝑘 ʃ 𝑓( 𝑥) 𝑑𝑥
=f(x)+c
= 5𝑥4
+ 𝑐
= 𝑒 𝑥
+ 𝑐
FÓRMULA 2
ʃ𝑥 𝑛
𝑑𝑥 =
𝑥 𝑛+1
𝑛 + 1
+ 𝑐
1
𝑏
ʃ(𝑎 + 𝑏𝑥)−2
𝑑𝑥
=
1
𝑏
(𝑎 + 𝑏𝑥)−2+1
−2 + 1
=
−1
𝑏(𝑎 + 𝑏𝑥)
+ 𝑐
−
1
𝑏𝑎 + 𝑏2
+ 𝑐
3
2𝑏
ʃ(𝑎 + 𝑏𝑥2
)−3(2𝑏𝑥) ∗ 𝑑𝑥
=
3
2𝑏
∗
(𝑎+𝑏𝑥2)−2
−2
= −
3
4𝑏
∗
1
(𝑎 + 𝑏𝑥2)2
−
3
4𝑥 ∗ (𝑎 + 𝑏𝑥2)2
+ 𝑐
5
12
ʃ(4𝑥3
+ 3)
−1
7 ∗ (12𝑥2) 𝑑𝑥
=
5
12
(4𝑥3
+ 3)
−1
7
+1
−
1
7
+ 1
=
35
72
(4+3)
6
7+c
2ʃ(1 + √ 𝑥
1
2
1
2√ 𝑥
𝑑𝑥
= 𝟐
(𝟏 + √ 𝒙
𝟏
𝟐
+ 𝟏
𝟏
𝟐 + 𝟏
=
𝟒
𝟑
(𝟏 + √ 𝒙
𝟐
𝟑 + 𝒄
1
6
ʃ53𝑥2+1(6𝑥) 𝑑𝑥
53𝑥2+1
6𝑖𝑛(5)
+ 𝑐
FÓRMULA 3
ʃ (
𝑎 𝑥+1
𝑎 𝑥 𝑏 𝑥
+
𝑏 𝑥−1
𝑎 𝑥 𝑏 𝑥
) 𝑑𝑥
ʃ (
a
bx
+
1
axb
) dx
= ʃ(𝑎𝑏−𝑥
+
1
𝑏
𝑎−𝑥)
𝑑𝑥 = −𝑎ʃ𝑏−𝑥(−1)𝑑𝑥 −
1
𝑏
ʃ𝑎−𝑥(−1)𝑑𝑥 = −𝑎
𝑏−𝑥
log 𝑏
−
1
𝑏
∗
𝑥−1
log 𝑎
=
b−x
log b
−
1
b
∗
x−1
log a
+c
ʃ
𝑎2𝑥+𝑏2+2𝑎 𝑥 𝑏 𝑥
𝑎 𝑥 𝑏 𝑥 dx
ʃ (
𝑎 𝑥
𝑏 𝑥
+
𝑏 𝑥
𝑎 𝑥
+ 2) 𝑑𝑥 = ʃ (
𝑎 𝑥
𝑏 𝑥
+
𝑏 𝑥
𝑎 𝑥
+ 2) 𝑑𝑥
= ʃ((
𝑎
𝑏
) + (
𝑏
𝑎
) 𝑥
+ 2) 𝑑𝑥
= 2𝑥
(
𝑎
𝑏
) 𝑥
𝑙𝑜𝑔
𝑎
𝑏
+
(
𝑏
𝑎
) 𝑥
𝑙𝑜𝑔
𝑏
𝑎
+ 𝑐
ʃ𝑒2𝑥∗𝑙𝑜𝑔3
∗ 𝑒−4𝑥∗𝑙𝑜𝑔5
𝑑𝑥
= ʃ𝑒 𝑥(2𝑙𝑜𝑔3 𝑙𝑜𝑔5)
𝑑𝑥 =
1
2𝑙𝑜𝑔3 − 4
ʃ𝑒 𝑥(2𝑙𝑜𝑔3−4𝑙𝑜𝑔5)
(2𝑙𝑜𝑔3 − 4𝑙𝑜𝑔5)𝑑𝑥
1
2𝑙𝑜𝑔3 − 4𝑙𝑜𝑔5
𝑒 𝑥(2𝑙𝑜𝑔3−4𝑙𝑜𝑔5)
=
1
log(32 ∗ 5−4)
32𝑥∗5−4𝑥
+ 𝑐
ʃ𝑒2𝑥
∗ 39
∗ 52
𝑑𝑥
ʃ32𝑥
∗ 5−4
𝑑𝑥 = ʃ39
∗ 52
1
log(32 ∗ 5−4)
32𝑥
∗ 5−4𝑥
+ 𝑐
ʃ
𝑒 𝑥
+ 𝑒2𝑥
1 + 𝑒2𝑥
𝑑𝑥 = ʃ
𝑒 𝑥
1 + (𝑒 𝑥)2
𝑑𝑥 + ʃ
62𝑥
1 + 𝑒2𝑥
𝑑𝑥 = 𝑎𝑟𝑐 𝑡𝑔 𝑒 𝑥
+
1
2
log(1 + 𝑒2𝑥
)
= 𝑎𝑟𝑐 𝑡𝑔 𝑒 𝑥
+
1
2
log(1 + 𝑒2𝑥
)+c
FÓRMULA 4
ʃ𝑎𝑎𝑣 = 𝑎ʃ𝑎𝑣
ʃ (
1
𝑥2
+
1
𝑥√ 𝑥
+ 5) 𝑑𝑥 = ʃ
1
𝑥2
𝑑𝑥 + ʃ
1
𝑥√ 𝑥
𝑑𝑥 + ʃ5𝑑𝑥
ʃ
1
𝑥2
ʃ𝑥−2
𝑑𝑥 =
1
𝑥2
𝑑𝑥ʃ𝑥−2
𝑑𝑥
=
1
(−2 + 1) 𝑑𝑥
=
ʃ(−2 + 1)𝑥−2
𝑑𝑥
−
1
𝑥
−
2
√ 𝑥
+ 5 + 𝑐
ʃ
2
3𝑥 + 2
𝑑𝑥 = 2ʃ
1
3𝑥 + 2
𝑑𝑥
=
2
3
ʃ
3
3𝑥 + 2
𝑑𝑥
=
2
3
ʃ
1
3𝑥 + 2
∗ 3𝑑𝑥
=
2
3
𝑖𝑛⃒3𝑥 + 2⃒
=
2
3
𝑖𝑛 (⃒3𝑥 + 2⃒) + 𝑐
ʃ√𝑥 + 1𝑑𝑥
= ʃ(𝑥 + 1)
2
3dx
=
2
3
ʃ
3
2
(𝑥 + 1)
2
3
𝑑𝑥
=
2
3
(𝑥 + 1)
2
3 + 𝑐
cos 𝑎𝑥
1 + cos 𝑎𝑥
=
1 + cos 𝑎𝑥 − 1
1 + cos 𝑎𝑥
= 1 −
1
1 + cos 𝑎𝑥
= 1
1
2 𝑐𝑜𝑠2 𝑎𝑥
2
𝑙 = 𝑥 −
1
𝑎
𝑡𝑔
𝑎𝑥
2
FÓRMULA 5
ʃ𝑣 𝑛
𝑑𝑣 =
𝑣 𝑛+1
𝑛 + 1
+ 𝑐
FÓRMULA 6
1
3
𝑖𝑛( 𝑥3
+ 9) + 𝑐

Calculo integral, formulas 1,2,3,4,5,6

  • 1.
    Calculo integral Utilización dela formulas (1,2,3,4,5,6) Marco Abraham Saldaña Originales 30/09/2018
  • 2.
    Introducción: La integral deuna función F consiste en el área bajo la curva delimitada por los extremos de esta y sus proyecciones sobre uno de los ejes. La integración es un concepto fundamental del análisis matemático y las ecuaciones diferenciales, Básicamente, una integral es una suma de infinitos sumandos, infinitamente pequeños. La integral de una función arroja datos relevantes de áreas determinadas por curvas y formas aun no concluidas. También para determinar solidos generados a partir de la revolución de ellos. Este proceso es considerado la anti-derivada de la función, ya que revoca cualquier efecto producido por la diferenciación de la función provocando así que una función derivada regrese a su estado y forma original.
  • 4.
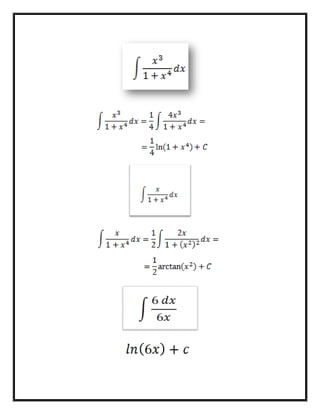
    FÓRMULA 1 ʃ𝑑𝑥 =𝑥 + 𝑐 = x+c = f(x)+c = 𝑘 ʃ 𝑓( 𝑥) 𝑑𝑥 =f(x)+c
  • 5.
    = 5𝑥4 + 𝑐 =𝑒 𝑥 + 𝑐 FÓRMULA 2 ʃ𝑥 𝑛 𝑑𝑥 = 𝑥 𝑛+1 𝑛 + 1 + 𝑐
  • 6.
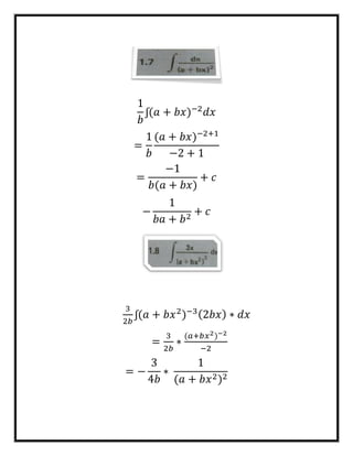
    1 𝑏 ʃ(𝑎 + 𝑏𝑥)−2 𝑑𝑥 = 1 𝑏 (𝑎+ 𝑏𝑥)−2+1 −2 + 1 = −1 𝑏(𝑎 + 𝑏𝑥) + 𝑐 − 1 𝑏𝑎 + 𝑏2 + 𝑐 3 2𝑏 ʃ(𝑎 + 𝑏𝑥2 )−3(2𝑏𝑥) ∗ 𝑑𝑥 = 3 2𝑏 ∗ (𝑎+𝑏𝑥2)−2 −2 = − 3 4𝑏 ∗ 1 (𝑎 + 𝑏𝑥2)2
  • 7.
    − 3 4𝑥 ∗ (𝑎+ 𝑏𝑥2)2 + 𝑐 5 12 ʃ(4𝑥3 + 3) −1 7 ∗ (12𝑥2) 𝑑𝑥 = 5 12 (4𝑥3 + 3) −1 7 +1 − 1 7 + 1 = 35 72 (4+3) 6 7+c 2ʃ(1 + √ 𝑥 1 2 1 2√ 𝑥 𝑑𝑥 = 𝟐 (𝟏 + √ 𝒙 𝟏 𝟐 + 𝟏 𝟏 𝟐 + 𝟏 = 𝟒 𝟑 (𝟏 + √ 𝒙 𝟐 𝟑 + 𝒄
  • 8.
    1 6 ʃ53𝑥2+1(6𝑥) 𝑑𝑥 53𝑥2+1 6𝑖𝑛(5) + 𝑐 FÓRMULA3 ʃ ( 𝑎 𝑥+1 𝑎 𝑥 𝑏 𝑥 + 𝑏 𝑥−1 𝑎 𝑥 𝑏 𝑥 ) 𝑑𝑥 ʃ ( a bx + 1 axb ) dx = ʃ(𝑎𝑏−𝑥 + 1 𝑏 𝑎−𝑥) 𝑑𝑥 = −𝑎ʃ𝑏−𝑥(−1)𝑑𝑥 − 1 𝑏 ʃ𝑎−𝑥(−1)𝑑𝑥 = −𝑎 𝑏−𝑥 log 𝑏 − 1 𝑏 ∗ 𝑥−1 log 𝑎
  • 9.
    = b−x log b − 1 b ∗ x−1 log a +c ʃ 𝑎2𝑥+𝑏2+2𝑎𝑥 𝑏 𝑥 𝑎 𝑥 𝑏 𝑥 dx ʃ ( 𝑎 𝑥 𝑏 𝑥 + 𝑏 𝑥 𝑎 𝑥 + 2) 𝑑𝑥 = ʃ ( 𝑎 𝑥 𝑏 𝑥 + 𝑏 𝑥 𝑎 𝑥 + 2) 𝑑𝑥 = ʃ(( 𝑎 𝑏 ) + ( 𝑏 𝑎 ) 𝑥 + 2) 𝑑𝑥 = 2𝑥 ( 𝑎 𝑏 ) 𝑥 𝑙𝑜𝑔 𝑎 𝑏 + ( 𝑏 𝑎 ) 𝑥 𝑙𝑜𝑔 𝑏 𝑎 + 𝑐 ʃ𝑒2𝑥∗𝑙𝑜𝑔3 ∗ 𝑒−4𝑥∗𝑙𝑜𝑔5 𝑑𝑥 = ʃ𝑒 𝑥(2𝑙𝑜𝑔3 𝑙𝑜𝑔5) 𝑑𝑥 = 1 2𝑙𝑜𝑔3 − 4 ʃ𝑒 𝑥(2𝑙𝑜𝑔3−4𝑙𝑜𝑔5) (2𝑙𝑜𝑔3 − 4𝑙𝑜𝑔5)𝑑𝑥 1 2𝑙𝑜𝑔3 − 4𝑙𝑜𝑔5 𝑒 𝑥(2𝑙𝑜𝑔3−4𝑙𝑜𝑔5) = 1 log(32 ∗ 5−4) 32𝑥∗5−4𝑥 + 𝑐
  • 10.
    ʃ𝑒2𝑥 ∗ 39 ∗ 52 𝑑𝑥 ʃ32𝑥 ∗5−4 𝑑𝑥 = ʃ39 ∗ 52 1 log(32 ∗ 5−4) 32𝑥 ∗ 5−4𝑥 + 𝑐 ʃ 𝑒 𝑥 + 𝑒2𝑥 1 + 𝑒2𝑥 𝑑𝑥 = ʃ 𝑒 𝑥 1 + (𝑒 𝑥)2 𝑑𝑥 + ʃ 62𝑥 1 + 𝑒2𝑥 𝑑𝑥 = 𝑎𝑟𝑐 𝑡𝑔 𝑒 𝑥 + 1 2 log(1 + 𝑒2𝑥 ) = 𝑎𝑟𝑐 𝑡𝑔 𝑒 𝑥 + 1 2 log(1 + 𝑒2𝑥 )+c FÓRMULA 4 ʃ𝑎𝑎𝑣 = 𝑎ʃ𝑎𝑣
  • 11.
    ʃ ( 1 𝑥2 + 1 𝑥√ 𝑥 +5) 𝑑𝑥 = ʃ 1 𝑥2 𝑑𝑥 + ʃ 1 𝑥√ 𝑥 𝑑𝑥 + ʃ5𝑑𝑥 ʃ 1 𝑥2 ʃ𝑥−2 𝑑𝑥 = 1 𝑥2 𝑑𝑥ʃ𝑥−2 𝑑𝑥 = 1 (−2 + 1) 𝑑𝑥 = ʃ(−2 + 1)𝑥−2 𝑑𝑥 − 1 𝑥 − 2 √ 𝑥 + 5 + 𝑐 ʃ 2 3𝑥 + 2 𝑑𝑥 = 2ʃ 1 3𝑥 + 2 𝑑𝑥
  • 12.
    = 2 3 ʃ 3 3𝑥 + 2 𝑑𝑥 = 2 3 ʃ 1 3𝑥+ 2 ∗ 3𝑑𝑥 = 2 3 𝑖𝑛⃒3𝑥 + 2⃒ = 2 3 𝑖𝑛 (⃒3𝑥 + 2⃒) + 𝑐 ʃ√𝑥 + 1𝑑𝑥 = ʃ(𝑥 + 1) 2 3dx = 2 3 ʃ 3 2 (𝑥 + 1) 2 3 𝑑𝑥 = 2 3 (𝑥 + 1) 2 3 + 𝑐 cos 𝑎𝑥 1 + cos 𝑎𝑥 = 1 + cos 𝑎𝑥 − 1 1 + cos 𝑎𝑥 = 1 − 1 1 + cos 𝑎𝑥 = 1 1 2 𝑐𝑜𝑠2 𝑎𝑥 2 𝑙 = 𝑥 − 1 𝑎 𝑡𝑔 𝑎𝑥 2
  • 13.
    FÓRMULA 5 ʃ𝑣 𝑛 𝑑𝑣= 𝑣 𝑛+1 𝑛 + 1 + 𝑐
  • 16.
  • 18.