CIRCUITOS POLIFÁSICOS
Elaboró: Ing. Israel Magaña
Objetivo
Al finalizar, el estudiante conocerá el sistema
trifásico Estrella-Delta, Delta-Estrella y Delta-
Delta Balanceado
Conexión Estrella-Delta Balanceado
Texto base: Fundamentos de circuitos eléctricos,
3era edición.
Autores: Alexander & Sadiku
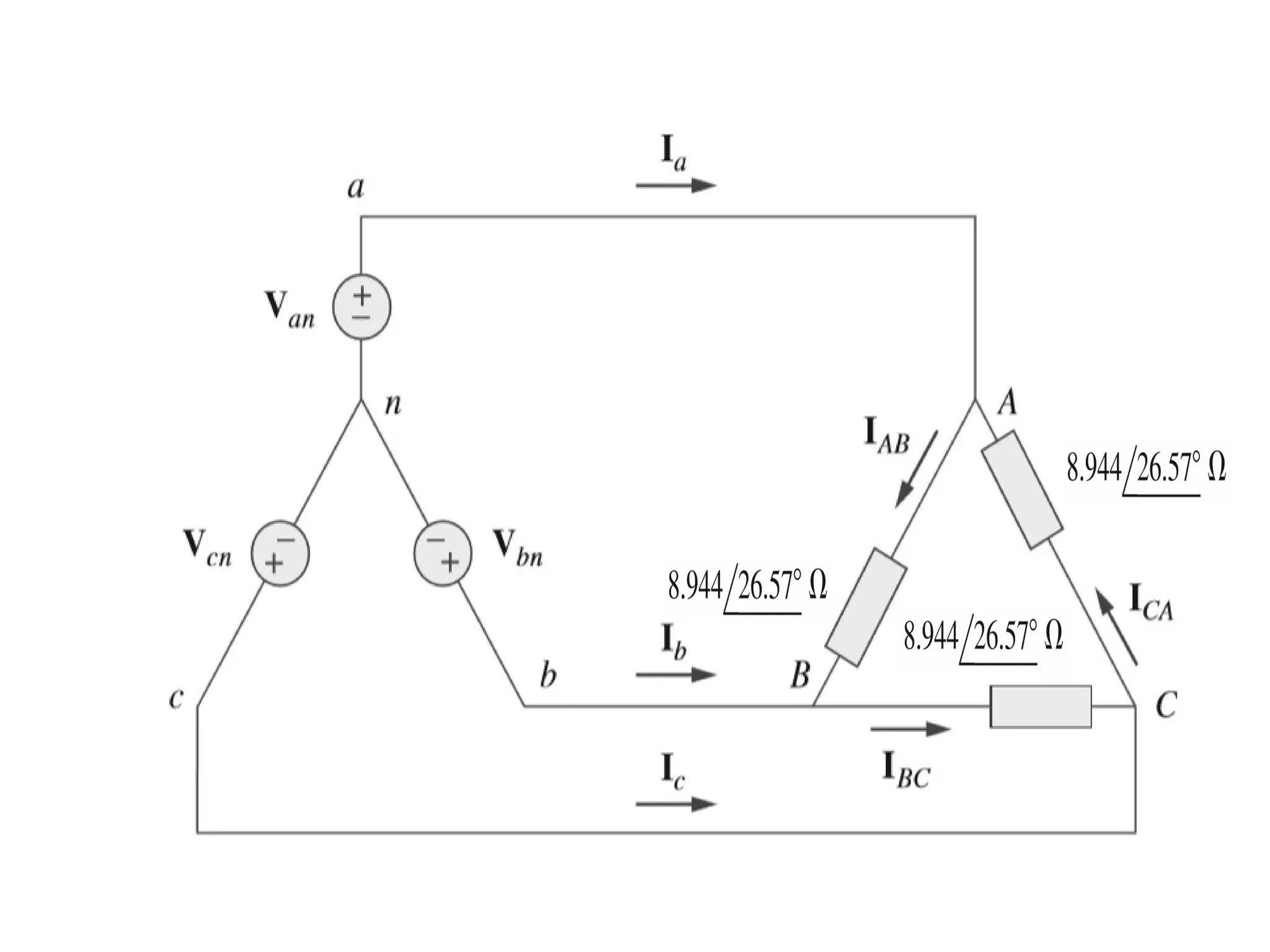
Sistema Y-Δ
Un sistema Y-Δ consta de una fuente balanceada
conectada en Y que alimenta una carga
conectada en Δ
Éste es quizá el sistema trifásico más práctico, ya
que las fuentes trifásicas suelen conectarse en Y,
mientras que las cargas trifásicas suelen
conectarse en Δ.
Observe que
● Fuente Trifásica
– Esta conectada en
Estrella
– No hay conexión del
Neutro que salga de
la fuente a la carga
● Carga trifásica
– Esta conectada en
Delta
– Tensiones de línea
son iguales a las
tensiones en la
impedancia de carga
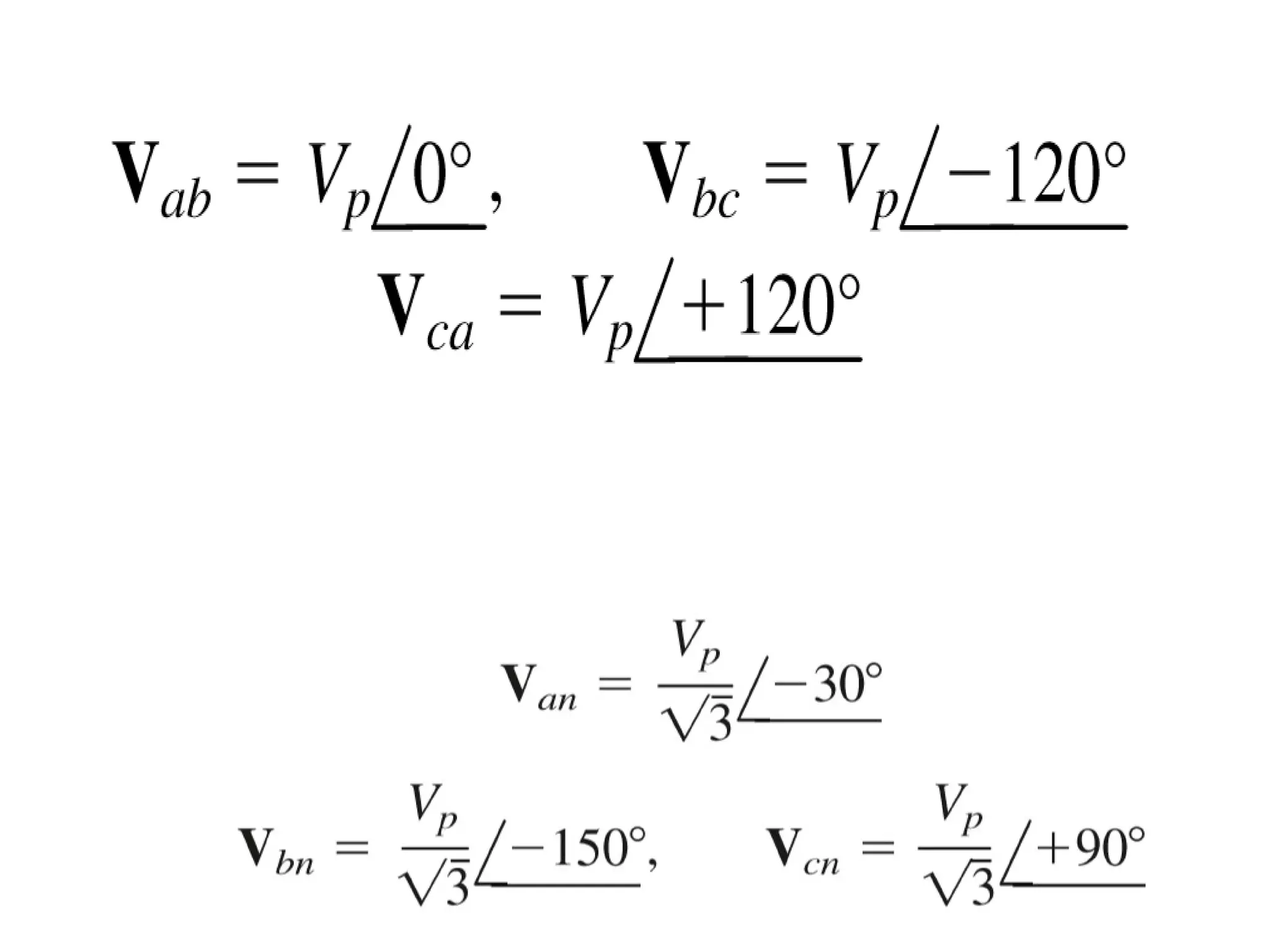
Suponga secuencia positiva
● Tensiones de fase son:
Recordemos
● Secuencia positiva ● Secuencia negativa
Secuencia positiva
Secuencia negativa
Tensiones de línea
● Recuerde el adelanto de 30° en la tensión de
línea.
Las tensiones de línea son iguales a las
tensiones en las impedancias de carga en esta
configuración de sistema.
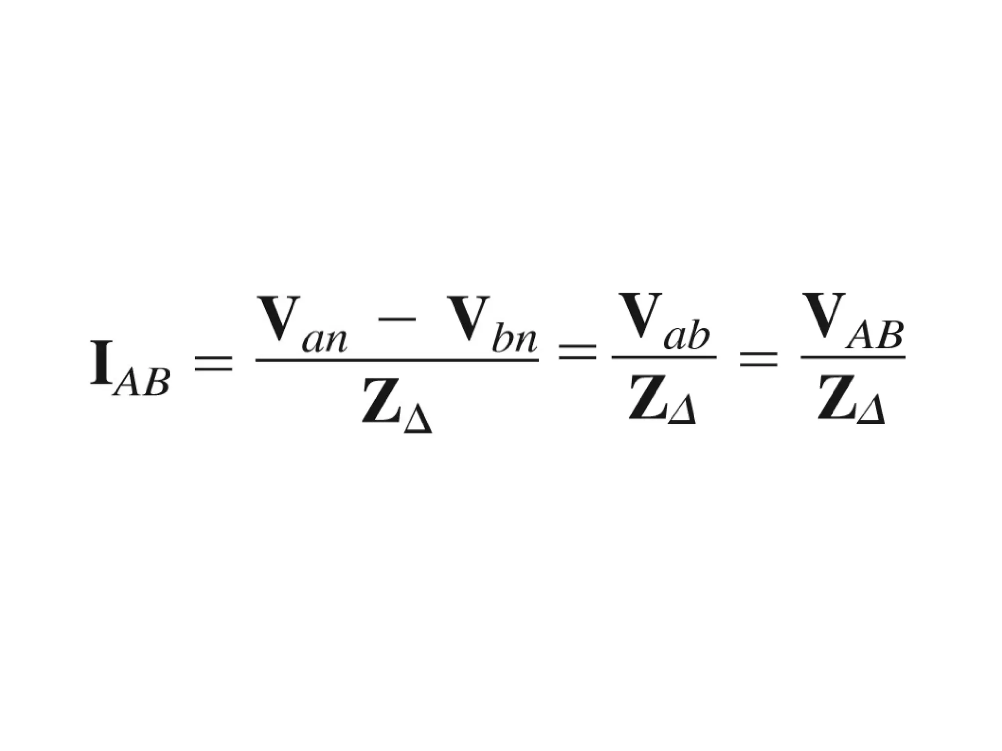
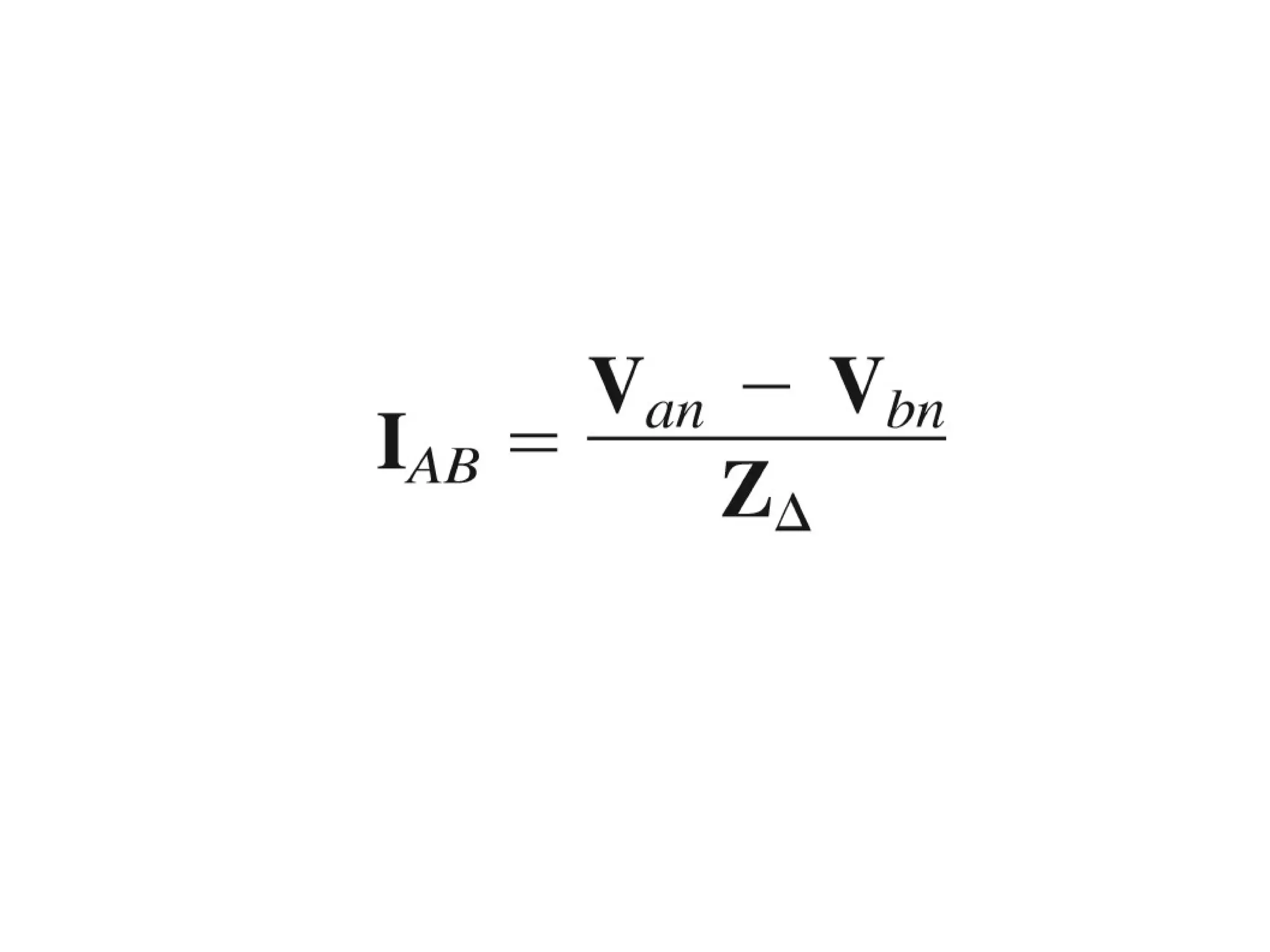
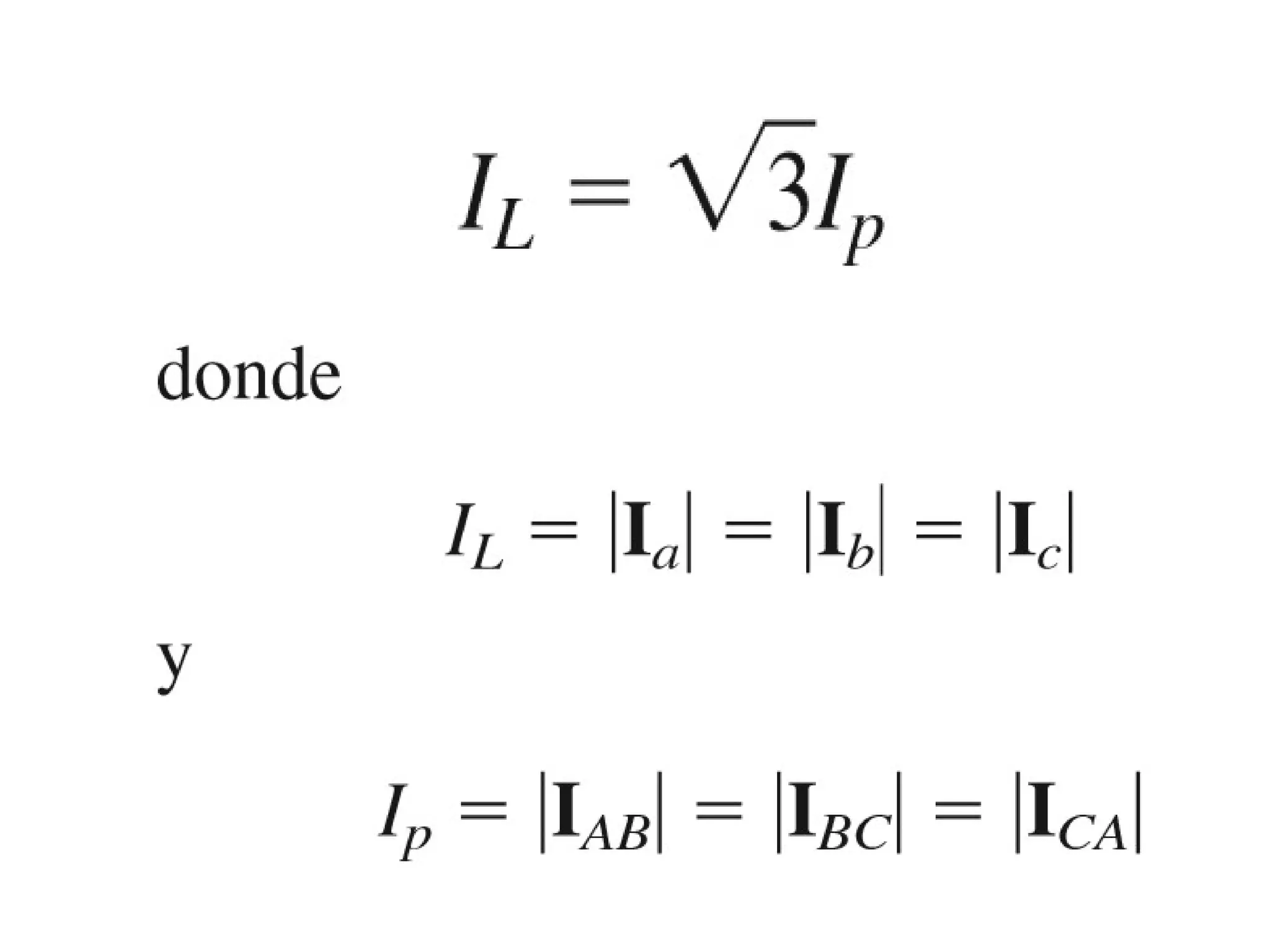
Corrientes de fase
Estas corrientes son iguales pero están
desfasadas en 120° entre sí
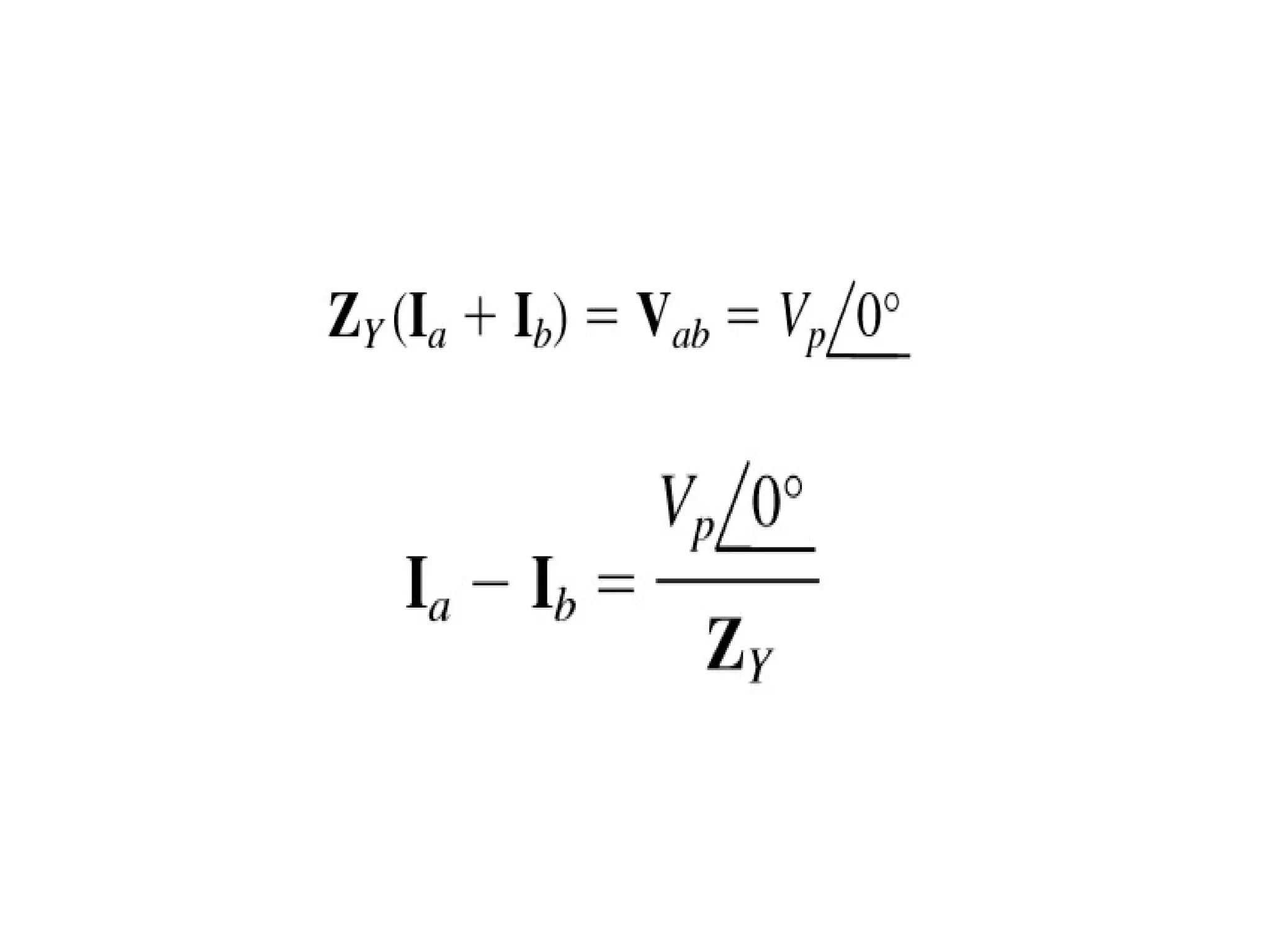
¿Se puede aplicar ley de tensión de Kirchoff para
encontrar la corriente IAB
?
Si
Corrientes de línea
● Las corrientes de línea se obtienen de las
corrientes de fase, aplicando LCK en los nodos
A, B y C.
● La corriente de línea en magnitud es √3 veces
Ip de la corriente de fase.
Las corrientes de línea se atrasan respecto a las
corrientes de fase respectivamente en 30°,
suponiendo que la secuencia es positiva.
Tip: Otra manera de analizar el circuito estrella-
delta es transformar la carga conectada en delta
a estrella. Mediante la formula anteriormente
vista.
Observación
Después de esta transformación, observe que se
tiene un circuito Y-Y como en la clase anterior
Ejercicio
● Una fuente balanceada conectada en Y tiene
una secuencia abc (positiva) con Van=100∟10°
V, se conecta a una carga balanceada
conectada en Δ de (8+j4) Ω por fase.
● Calcule las corrientes de fase y línea
Solución
● Se determina la impedancia de carga
Solución
● Se determina la impedancia de carga
Determinamos la tensión de línea
Corrientes de fase
Corrientes de fase
Corrientes de línea
Tarea para la casa
● Una tensión de línea de una fuente balanceada
conectada en Y es Vab = 180 ∟-20° V. Sí la
fuente se conecta a una carga en Triángulo de
20∟40° Ω. Halle las corrientes de fase y de
línea de la carga. Suponga que la secuencia es
abc
Conexión Delta-Estrella Balanceada
Sistema Δ-Y
Un sistema Delta-Estrella Balanceado consta de
una fuente balanceada conectada en Delta a una
carga balanceada en estrella.
Considere la secuencia positiva
● Las tensiones de fase serían:
●
Observe
● Las tensiones de línea son iguales a las
tensiones de fase
Para determinar corrientes de línea
Por lo tanto podemos deducir
Obteniendo las demás corrientes de línea
Otra opción
● Otra forma de obtener las corrientes de línea es
remplazar la fuente por su equivalente
conectada en estrella
● Anteriormente se determinó que las tensiones
de línea a línea de una fuente conectada en
estrella se adelanta a sus correspondientes
tensiones de fase en 30°.
● Por lo que cada tensión de fase en estrella se
obtiene dividiendo el valor de la tensión de
línea conectada en delta entre √3 y su fase en
-30°.
Fuente
● Sí la fuente conectada en delta tiene una
impedancia de fuente Zs por fase, la fuente
equivalente conectada en estrella tendrá una
impedancia de fuente Zs/3
● Una vez transformada la fuente en estrella el
sistema se convierte en Y-Y, por consiguiente
se puede obtener la corriente de línea de la
fase a:
Conexión Δ-Δ Balanceada
Sistema Δ-Δ Balanceada
Es aquel en que la fuente y la carga están ambas
conectadas en configuración Δ
Suponga secuencia positiva
● tenemos
Tensiones
● Las tensiones de línea son iguales a las
tensiones de fase
Corrientes de fase
Corrientes de línea
● Cada corriente de línea se atrasa a la
correspondiente corriente de fase en 30°; La
magnitud IL de la corriente de línea es √3 veces
la magnitud Ip de la corriente de fase.
Ejercicio
● Una carga balanceada conectada en Δ y con
impedancia 20 – j15 se conecta con un
generador conectado en Δ en secuencia
positiva con Vab = 330∟0° V. Calcule las
corrientes de fase de la carga y las corrientes
de línea.
Ejercicio para la casa
Referencias
● Fundamentos de circuitos eléctricos
– Autores: Alexander & Sadiku
– 3ed.
● Multimedia Didáctico para la enseñanza de
sistemas trifásicos en AC de la materia de
electrotécnia.
– Autores: Castelli C. José y Lameda M, Lexy.
– Trabado especial de grado.

Circuitos polifasicos parte 2