República Bolivariana de Venezuela
Ministerio del Poder Popular para la Educación Universitaria
Instituto Universitario Politécnico Santiago Mariño
Barcelona, Estado- Anzoátegui
Estadística II Variables Aleatorias
PROFESOR: INTEGRANTE:
Pedro Beltrán Goncalves Elias C.I:28.279.887
Sección S1
Marzo, 2019
El objetivo fundamental de la
misma no es otro que la obtención
de un modelo matemático capaz de
estimar y predecir la fiabilidad del
sistema. Este modelo se obtiene por
medio de funciones estadísticas que
se ajustan a los datos disponibles,
del elevado número de funciones
estadísticas existentes en la
literatura, apenas cinco de ellas,
cuya selección dependerá de la
naturaleza de los datos, parecen
suficientes para modelarla mayor
parte de los fenómenos de este
tipo.
Variable es aquella toma distintos valores
Aleatoria porque el valor observado no
puede ser predicho antes de la realización del
experimento.
Se pueden dividir
-Variable aleatoria Discreta
-Variable aleatoria continua
Son aquellas que sólo puede tomar un número finito de valores
dentro de un intervalo, se especifican los posibles valores de la
variable con sus respectivas probabilidades.
Definición. Sea X una variable aleatoria que toma
valoresx1,x2,...,xn,.... Entenderemos por P(X=xi) como la
probabilidad del suceso.
Propiedades
1. Densidad
f(x) = P[X=x]
La suma de las densidades 𝑡𝑜𝑑𝑜 𝑥 𝑓 𝑥 = 1
Función de distribución
Ejemplo. El número de componentes de una manada de lobos,
puede ser 4 ó 5 ó 6 individuos pero nunca 5,75 ó 5,87.
Son aquellas que pueden tomar un número
infinitamente grande de valores que
corresponden a los puntos en un intervalo de
una recta.
Definición. Una variable aleatoria continua
puede tomar cualquier valor en un intervalo de
números reales
Propiedades
• Función de densidad
• Función de distribución
• Esperanza
Las estaturas y los pesos de las personas, el tiempo entre dos
eventos o la vida útil de un equipo de oficina.
Sea X una variable aleatoria discreta con función
de probabilidad p(x) y rango de valores Rx,
entonces su función de distribución acumulativa
se define por:
𝐹 𝑡 = 𝑃 𝑋 ≤ 𝑡 = 𝑝(𝑥
Propiedades
Ejemplo
Variable aleatoria X es el conjunto
de pares ordenados (X, f(X))
donde f(X) es la función de
probabilidad de X (si X es discreta)
o función densidad de
probabilidad de X (si X es continua
La esperanza matemática, también llamada valor esperado, es
igual al sumatorio de las probabilidades de que exista un
suceso aleatorio, multiplicado por el valor del suceso aleatorio.
O, dicho de otra forma, el valor medio de un conjunto de datos.
Propiedades
Ejemplo. Cuatro personas apuestan € a que saldrá un número en un dado, cada uno a un
número diferente. Entonces por cada euro apostado si se gana recibes euros más. ¿Saldrá a
cuenta apostar en este juego?
La probabilidad de perder 1€ es 5/6, ya que perderemos si no sale el número elegido.
En cambio la probabilidad de ganar 3€ es de 1/6
Así la esperanza es:
Por tanto por cada euro apostado podemos perder 0.33 céntimos. Se dice que este es un
juego de esperanza negativa.
Es la media aritmética del cuadrado de las desviaciones
respecto a la media de una distribución estadística, es una
medida de variación igual al cuadrado de la desviación
estándar.
Definición. Se representa mediante el símbolo griego sigma al
cuadrado (σ2) y se formula de la siguiente manera:
Varianza muestra: s2 el cuadrado de la desviación estándar.
Varianza poblacional: σ2 el cuadrado de la desviación estándar
poblacional σ
PropiedadesEjemplo. Calcular la varianza de las siguientes notas de un
alumno en los últimos exámenes:
o Valores de las notas: 9, 10, 10, 11, 10, 10
o Calculamos la media aritmética.
Número de valores: 6
Media Aritmética = (9 + 10 + 10 + 11 + 10 + 10) / 6 =
60 / 6 = 10
o Calculamos la Varianza:
Varianza σ2 = [(9-10)2 + (10-10)2 + (10-10)2 + (11-
10)2 + (10-10)2 + (10-10)2] / 6 = 2 / 6 = 1 /3 = 0,33
Es la medida de dispersión más común, que indica qué tan
dispersos están los datos con respecto a la media. Mientras
mayor sea la desviación estándar, mayor será la dispersión de
los datos.
El símbolo σ (sigma) se
utiliza frecuentemente
para representar la
desviación estándar de
una población, mientras
que s se utiliza para
representar la desviación
estándar de una muestra
S= 𝑆2 (Muestra)
Propiedades
1. La desviación estándar será siempre un
valor positivo o cero, en el caso de que las
puntuaciones sean iguales.
2. Si a todos los valores de la variable se les
suma un número la desviación estándar no varía.
3. Si todos los valores de la variable se
multiplican por un número la desviación estándar
queda multiplicada por dicho número.
4. Si tenemos varias distribuciones con la
misma media y conocemos sus respectivas
desviaciones estándar se puede calcular la
desviación estándar total.
𝜎
𝑘1. 𝜎1
2
+ 𝑘2. 𝜎2
2
+ ⋯ + 𝑘 𝑛 + 𝜎 𝑛
2
𝑘1 + 𝑘2 … + 𝑘 𝑛
𝜎
𝜎2 + 𝜎2 + ⋯ + 𝜎 𝑛
2
𝑛
Si todas las muestras tienen el mismo tamaño
Si las muestras tienen distinto tamañoCalcular la desviación estándar de la distribución: 9, 3, 8, 8, 9,
8, 9, 18
Propiedades
1. Unicidad. Mx (θ) la Función Generadora de Momentos
caracteriza a una y solo una distribución. Puesto que la
Función de Distribución Acumulativa FX(x) determina la
distribución de cualquier variable aleatoria a Mx (θ) le
corresponde una y solo una FX(x)
2. Momentos.
3. Momentos respecto a su origen
Los momentos de una variable aleatoria X son los valores
esperados de ciertas funciones de x.
Definición: Si X es una variable aleatoria, el momento de orden
k de X se define como
E(X^k), siempre que la esperanza exista.
4. Transformación lineal
5. Convolucion
6. Preservación de límites
Ejemplo. Para el ejercicio del caballero que invita
a comer a su novia, se tienen los segundos
momentos:
Es una distribución que toma dos valores (1 y 0) con
probabilidad p y1− p. Habitualmente esta distribución aparece
en experimentos donde se identifica el suceso 1=EXITO y
0=FRACASO
Definición. Una variable aleatoria X tiene una distribución de
Bernoulli si (para algún p con 0 ≤ p ≤1)
P(X=1) =p
P(X=0) = 1−p
Propiedades
Distribución de Bernoulli de parámetro p
Media μ = E(X)=p
Varianza σ2 = Var(X) = p(1−p)
Desviación Típica σ = √(p (1-p))
Ejemplo. La variable aleatoria que define el experimento
lanzamiento de una moneda sigue una distribución de
Bernoulli de parámetro p, donde p es la probabilidad del
suceso de interés, cara o cruz.
La distribución Binomial de parámetro n y p (Bi(n,p)) surge
como una secuencia n intentos del tipo de Bernoulli que
verifica:
•Los intentos son independientes.
•Cada resultado del intento puede tomar únicamente dos
resultados mutuamente excluyentes, que denotaremos por
EXITO (E) o FRACASO (F).
•La probabilidad de éxito (y por lo tanto la de fracaso) es
constante en cada intento.
Definición. Una variable aleatoria X tiene una
distribución Binomial si (para algún entero positivo n
y algún p con 0 ≤ p ≤1) mide
X="no de éxitos de un total de n si la probabilidad de
éxito es p"
𝑃 𝑋 = 𝑘 =
𝑛
𝑘
0
𝑝 𝑘 (1 − 𝑝 𝑛−𝑘 Si k= 1,2, … n
Propiedades
Distribución Binomial de parámetros n y p
Media μ E(X)= np
Varianza σ2 = Var (X)= np (1−p)
Desviación Típica σ √(np(1-p))
Ejemplo. En una fábrica hay 12 máquinas cada una de
ellas está averiada un día de cada 10. ¿Cuál es la
probabilidad de que un determinado día haya más de 3
máquinas averiadas? Sea la variable X="no de
máquinas averiadas de un total de 12. Si:
P(avería) =0,1"
∈ Bi (n=12, p=0.1).
P(X>3) = 1−P (X≤3) = 1− [P(X=0) + P(X=1) + P(X=2) +P(X=3)] =
=1−[(12¦0)┤ 0.10 (1−0.1)12-0 +(12¦1) 0.11 (1−0.1)12-1 +
+ (12¦2)0.12 (1−0.1)12-2+(12¦3) 0.13 (1−0.1)12-3├ ┤]=
1−0.9744 = 0.0256.
Parámetro r y p (BN(r,p)) surge como una secuencia infinita de
intentos del tipo de Bernoulli que verifican:
•La secuencia de intentos es independiente.
•Cada resultado del intento puede tomar únicamente dos
resultados mutuamente excluyentes, que denotaremos por
EXITO (E) o FRACASO (F).
•La probabilidad de éxito o de fracaso es constante en cada
intento.
•Los intentos continúan hasta que un total de r éxitos se hayan
observado.
Definición. Una variable aleatoria X tiene una
distribución Binomial Negativa si (para algún
entero positivo r y algún p con 0 ≤ p ≤1)
X="nº de fracasos hasta el r − ésimo éxito si p=P
(EXITO)"
Distribución Binomial Negativa de parámetros r y p
Media μ E(X)=𝑟
(1−𝑝
𝑝
Varianzaσ2 Var (X)=𝑟
𝑝(1−𝑝
𝑝2
Desviación Típica σ 𝑟(1 − 𝑝 𝑝
p
r
o
p
i
e
d
a
d
e
s
Ejemplo. Los registros de una compañía constructora de pozos,
indican que la probabilidad de que uno de sus pozos nuevos,
requiera de reparaciones en el término de un año es de 0.20. a)
¿Cuál es la probabilidad de que el sexto pozo construido por
esta compañía en un año dado sea el segundo en requerir
reparaciones en un año?.
a) k = 6 pozos
r = 2 pozos que requieren reparaciones en un año
p = p(pozo requiera reparaciones en un año) = 0.20
q = p(pozo no requiera reparaciones en un año) = 0.80
p(Y-6) = p(Y-6) =
La distribución geométrica, simbólicamente descrita como
G(p), describe las probabilidades de obtener k fracasos antes
del primer 4éxito, al realizar sucesivas tiradas de Bernoulli
independientes, con probabilidad p de éxito.
Su función de probabilidad es
Ejemplo. Para el jugador de baloncesto al lanzar tiros libres,
¿cuál es el número medio de fallos antes del primer acierto?
La variable de estudio es ahora, X, número de tiros libres
fallados antes del primer enceste. Es decir, se trata de una
geométrica de parámetro 0.8, G(0.8), con lo cual el número
medio de fallos antes del primer acierto es la esperanza de la
misma, es decir,
Su función de distribución vale , para k=0,1,... lo que facilita el cálculo
de cuantiles.
Su esperanza vale , y su varianza .
La moda vale siempre 0.
El coeficiente de simetría resulta y el de curtosis .
Si X sigue una distribución G(p), entonces
La distribución multinomial generaliza esta distribución al caso
en que la población se divide en m>2 grupos mutuamente
excluyentes y exhaustivos, equivalentemente, a
experimentos con m resultados.
Se toma una muestra de n elementos, o que el
experimento se repite n veces de forma independiente, y se
definen m variables aleatorias Xi=número de elementos del
grupo i (i=1, ..., m),entonces el vector de m-variables (X1, X2,
..., Xm) es una nueva variable aleatoria m-dimensional que
sigue una distribución multinomial de parámetros n, p1, ...,
pm, donde pi(i=1, ..., m) es la probabilidad del grupo i
Ejemplo: de acuerdo con la teoría
de la genética, un cierto cruce de
conejillo de indias resultará en una
descendencia roja, negra y blanca
en la relación 8:4:4. Si se tienen 6
descendientes, el vector de variables
(X1, X2, X3) donde:
X1= Número de descendientes rojos
X2= Número de descendientes negros
X3= Número de descendientes blancos
sigue una distribución multinomial con
parámetros n=6;p1= 8/16 = 0,5; p2=
4/16 = 0,25 y p3= 4/16 = 0,25.
La distribución Hipergeométrica de parámetros k, n y N (HG
(k,n,N)) surge en situaciones en donde el modelo aproximado
de probabilidad se corresponde con muestreo sin
reemplazamiento de una población dicotómica (Éxito y
Fracaso)finita. Concretamente, las suposiciones que llevan a
considerar esta distribución son:
•La población o conjunto donde deba hacerse el
muestreo consta de N individuos o elementos a
seleccionar.
•Cada individuo puede ser caracterizado como un éxito
(E) o fracaso (F).
•Se selecciona una muestra de n individuos de entre
los k individuos marcados como éxito y los N−k
restantes marcados como fracaso.
•Hay selección equiprobable en cada paso.
Definición. Una variable aleatoria X tiene una distribución
Hipergeométrica si (para algunos enteros positivos k, n y N)
X="nº de individuos de un total de n con cierta característica
(éxito) si en N hay un total de k"
Propiedades
Ejemplo. De cada 2.000 tornillos fabricados por una
determinada máquina hay 2 defectuosos. Para realizar el
control de calidad se observan 150 tornillos y se rechaza el lote
si el número de defectuosos es mayor que 1. Calcular la
probabilidad de que el lote sea rechazado.
Sea X="nº de defectuosos de un total den=150 si en N=2.000
hay un total de k=2" ∈ HG (k=2, n= 150, N = 2.000)
La distribución de Poisson de parámetro λ surge en los
llamados procesos de Poisson que se presenta en relación con
el acontecimiento de éxitos de un tipo particular durante un
intervalo continuo de tiempo.
Las suposiciones de un proceso de Poisson, durante un
intervalo de tiempo que empieza ent =0 son:
•Existe un parámetro λ tal que para cualquier intervalo
corto de tiempo ∆t,.
•La probabilidad de que se produzca más de un éxito en
el intervalo ∆t es o (∆t)1.
•El número de éxitos ocurrido en un intervalo.
Definición. Una variable aleatoria X tiene una distribución de
Poisson si (para algún λ con λ ≥ 0)
X=”nº de éxitos en un intervalo de tiempo si el nº medio es λ”
Propiedades
-Número de llegadas a una tienda en una hora
-De veces que una planta de energía nuclear emite
gases radiactivos en el perıodo de tres meses
-Número de glóbulos blancos en una gota de sangre
Ejemplo. En un taller se averían una media de 2 máquinas a la
semana. Calcula la probabilidad de que no haya ninguna avería
en una semana. ¿Y de que haya menos de 6 en un mes?
Sea X="nº de averías en una semana si de media hay λ=2" ∈
Poisson (λ=2).
Si en una semana hay 2 averías de media, entonces en un mes
hay 2×4=8 averías de media. Sea entonces Y="nº de averías en
un mes si de media hay λ=8" ∈ Poisson (λ=8)
Si n es “grande” y p es “pequeño” tenemos la siguiente
aproximación:
La expresión anterior solo se cumple cuando n y p 0, solo
en este caso, si esto no se cumple, la aproximación no se puede
llevar a efecto, por lo que la fórmula a utilizar en este caso
sería:
Ejemplo. En un proceso de manufactura, en el cual se
producen piezas de vidrio, ocurren defectos o burbujas,
ocasionando que la pieza sea indeseable para la venta. Se
sabe que en promedio 1 de cada 1000 piezas tiene una o
más burbujas. ¿Cuál es la probabilidad de que en una
muestra aleatoria de 8000 piezas, menos de 3 de ellas
tengan burbujas?
Solución:
n = 8000 piezas
p = 1/1000= 0.001 probabilidad de que una pieza tenga 1 o
más burbujas
= np = (8000)(1/1000) = 8 piezas en promedio con 1 o más
burbujas
x = variable que nos define el número de piezas que tienen 1
o más burbujas =
= 0,1, 2, 3,....,8000 piezas con una o más burbujas
= 0.000336 + 0.002686 + 0.010744 = 0.013766
Aproximación de la distribución hipergeometrica por la
binomial.
Si X es una variable aleatoria con distribución hipergeometrica
H(N, n, Q), se puede demostrar que cuando N→∞,Q→∞ y
Q/n→p, la distribución hipergeometrica tiende a una
distribución binomial B(n, p). Esto permite aproximar la
hipergeometrica H(N, n, Q) por una binomial de parámetros n y
Q/n cuando N es suficientemente grande. En general, la
aproximación se considera satisfactoria si N >50 y n/N ≤0.1
Esta distribución es la más sencilla de las distribuciones
continuas, surge al considerar una variable aleatoria que toma
valores equiprobables en un intervalo finito
Definición. Se dice que una variable aleatoria .X se distribuye
según una uniforme en el intervalo [a, b], X~U [a, b], si la
probabilidad de que tome cualquier subintervalo de valores es
proporcional a la longitud de dicho subintervalo.
Propiedades
Ejemplo
El tiempo en minutos que tarda un señor para ir de su casa al
trabajo oscila de forma uniforme entre 20 y 30. Si debe llegar al
trabajo a las 8 de la mañana, ¿a qué hora debe salir de su casa
para tener una probabilidad de 0.9 de no llegar tarde?
Si X denota el tiempo en ir de casa al trabajo (en minutos), su
distribución es U (20,30).Buscamos el valor de a tal que P{X≤a}=
0,9. Pero
Es un modelo de aquellos fenómenos aleatorios que miden el
tiempo que transcurre entre dos sucesos, por lo tanto, es el
equivalente continuo de la distribución geométrica discreta.
Definición. Donde X es una variable aleatoria continua que
puede tomar valores x ≥ 0. Se dice que X sigue una distribución
exponencial de parámetro λ (y se nota X ~ exp (λ)) si su función
de densidad está dada por:
Propiedades
Ejemplos.
-Se ha comprobado que el tiempo de vida de
cierto tipo de marcapasos sigue una
distribución exponencial con media de 16
años. ¿Cuál es la probabilidad de que a una
persona a la que se le ha implantado este
marcapasos se le deba reimplantar otro
antes de 20 años? Si el marcapasos lleva
funcionando correctamente 5 años en un
paciente, ¿cuál es la probabilidad de que
haya que cambiarlo antes de 25 % años?
Son distribuciones que provee un modelo adecuado para
variables aleatorias que presentan cierto tipo de asimetría, es
decir, variables que presentan una mayor densidad de sucesos
a la izquierda de la media que a la derecha.
Definición. Dado α > 0, se define la función
Gamma o función factorial como
Propiedades Ejemplo.
Si un componente eléctrico falla una vez cada 5 horas, ¿cuál es
el tiempo medio que transcurre hasta que fallan dos
componentes? ¿Cuál es la probabilidad de que transcurran 12
horas antes de que fallen los dos componentes?
Es una distribución que permite generar una gran variedad de
perfiles y se utiliza principalmente para representar variables
físicas cuyos valores se encuentran restringidos a un intervalo
de longitud finita y para obtener ciertas cantidades que se
conocen como límites de tolerancia (en Inferencia no
paramétrica) sin necesidad de la hipótesis de normalidad.
Definición. Para p, q >0se define la función beta y la
representaremos por β (p,q) como
Propiedades
Funcion de densidad
Ejemplos
-Fracción de tiempo que un equipo está
en reparación.
- Proporción de piezas defectuosas en
un lote.
- Proporción del gasto de una familia en
alimentación con respecto a los gastos
totales
- La participación de la producción de
una empresa con respecto al total de lo
producido en ese sector.
Fue establecida por el físico suizo del mismo nombre, quien
demostró, con base en una evidencia empírica, que el esfuerzo
al que se someten los materiales puede modelizarse de manera
adecuada mediante el empleo de esta distribución.
Este modelo depende de tres parámetros, que definen
la razón de fallo:
• Parámetro umbral o parámetro de
localización indica el origen de tiempos.
• Parámetro de forma define en términos del
exponente de la función potencial que determina la
razón de fallo del modelo más concretamente, la razón
de fallo es monótona creciente o monótona
decreciente dependiendo de que el parámetro de
forma sea superior o inferior a la unidad,
respectivamente.
• Parámetro de escala el inverso del parámetro
de escala define la razón de fallo del modelo
exponencial, cuando el modelo Weibull se particulariza
a este caso.
Definición. Una variable aleatoria X de tipo
continuo tiene distribución Weibull de
parámetros ∝y θ, α,θ>0
Propiedades
Funcion de densidad
Función de distribución Ejemplo. El tiempo en segundos que tarda
en conectarse a un servidor durante un día
laborable sigue una distribución de Weibull
de parámetrosα=0.6yβ=1/4, mientras que
un fin de semana es una Weibull de
parámetrosα=0.24yβ=1, donde la densidad
de la Weibull se escribe como
Se quiere saber: (a)Tiempo medio que tardaremos en
conectarnos en ambos tipos de día; (b)Calcula, para ambos
tipos de día, la probabilidad de tardar más de10segundosen
realizar la conexión (c)Si llevamos ya5segundos esperando a
que se efectué la conexión, ¿cuál es la probabilidad de que la
conexión se demore aun10segundos más? (d)¿Era de esperar el
resultado que se obtiene en(c)?
Las distribuciones Normales son lo mismo si usamos las unidades de
medida σ alrededor de su media μ que es el centro. El proceso para
cambiar nuestra distribución a estas variables se le conoce como
estandarización.
Definición. Si X es una observación de una distribución con media μ y
desviación estándar σ, el valor estándar de x lo es
Este valor estándar también se le conoce
como valor z .El valor z nos indica
cuantas desviaciones estándares esta la
observación original de si media y en que
dirección.
Propiedades
1.Unidad estándar z como la variable adimensional que mide la
desviación de la media x en unidades de la desviación típica σ
2.Distribución normal estándar 3.Curva normal estándar
- La moda, que es la variable que tiene mayor
frecuencia , se encuentra sobre el eje horizontal donde la curva
tiene su máximo y ocurre en z =0
- La curva es simétrica alrededor de su eje vertical
donde se tiene la media 0.
- La curva tiene sus puntos de inflexión en z = ±1. Es cóncava hacia abajo en
el intervalo -1 < z<. +1 y cóncava hacia arriba fuera de él. 4.
- La curva se acerca al eje horizontal en forma asintótica en cualquiera de las
dos direcciones, alejándose de la media. 5.
- El área total bajo la curva y arriba del eje horizontal es igual a 1
Ejemplo. ¿Cuál es la proporción de todas las bolsas de “papitas” (cuya etiqueta indica que su
peso es de 9 oz) que pesan menos de 9.3oz? Utilizando los datos del Ejemplo 1, podemos
decir que esta proporción es el área bajo curva N (9.12,0. 15) a la izquierda del
punto9.3.Como el peso estándar correspondiente a 9.3 onzas lo es
El área es la misma que el área bajo la curva de la distribución
Normal estándar a la izquierda del punto z= 1.2.
La distribución Binomial de parámetros B(n, p) y la
distribución Normal de parámetros N(μ, σ) puede
llevarse a cabo si n y p = p(éxito) no es muy cercana a
0 y 1, o cuando n es pequeño y p tiene un valor muy
cercano a ½ ; esto es
Donde:
x = variable de tipo discreto; solo
toma valores enteros
= np = media de la distribución
Binomial
= = desviación estándar de la
distribución Binomial
Se utiliza la aproximación Normal para evaluar probabilidades Binomiales
siempre que p no esté cercano a 0 o 1. La aproximación es excelente
cuando n es grande y bastante buena para valores pequeños de n si p está
razonablemente cercana a ½. Una posible guía para determinar cuándo
puede utilizarse la aproximación Normal es tener en cuenta el cálculo de np
y nq. Sí ambos, np y nq son mayores o iguales a 5, la aproximación será
buena.
Es importante resaltar que la aproximación Normal evalúa las
probabilidades asociadas a una variable discreta x, con una
distribución que evalúa variables de tipo continuo como es la
Normal. Por lo que z sufre un pequeño cambio como se
muestra a continuación:
¿Por qué vamos a sumar o a restar ½ a x?
Este es un factor de corrección debido a que se está evaluando una variable
discreta con una distribución continua, por lo que hay que delimitar
claramente desde que punto se va a evaluar la variable, dicho de otra forma,
en que límite de la barra (inferior o superior) nos debemos posicionar para
determinar la probabilidad requerida, cada barra de probabilidad a evaluar
tiene como base la unidad, ese es el porqué del ½.
Ejemplo. Una prueba de opción múltiple tiene 200
preguntas, cada una con 4 posibles respuestas, de las
cuáles solo una es la correcta ¿cuál es la probabilidad de
que al azar se den de 25 a 30 respuestas correctas para
80 de las 200 preguntas acerca de los cuales el
estudiante no tiene conocimientos?
Solución:
n = 80
p = p (dar una contestación correcta) = 0.25
q = p (dar una contestación incorrecta) = 1 – p = 0.75
Preguntas contestadas correctamente
Preguntas contestadas correctamente
x = número de preguntas que son contestadas correctamente =
0, 1, 2,...,80
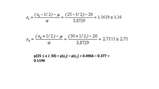
p(25  x  30) = p(z2) – p(z1) = 0.4966 – 0.377 =
0.1196
-El valor esperado o esperanza es el valor medio teórico
de todos los valores que puede tomar la variable.
-Varianza es la medida del cuadrado de la distancia
promedio entre la media y cada elemento de la
población
Al conocer estos modelos probabilísticos nos permite de
una manera más fácil el tiempo de vida útil de un
producto es el perıodo de tiempo en el que puede ser
utilizado.
Variable continua dentro de una
probabilidad continua se encuentran
las uniformes, gamma, beta, normal
tipificada llevan un número infinitos
de una manera continua o uniforme
puede ser el tiempo de retraso con el
que un alumno o un profesor llegan al
aula de clases o también el peso
Variable discreta son aquellas que llevan un numero
finito dentro de una distribución discreta de
probabilidades se encuentran Poisson, Bernoulli,
Binomial, e Binomial negativa nos permite conocer la
probabilidad de intentos dependientes de éxitos y
fracasos.

Diapositivas probabilidades

  • 1.
    República Bolivariana deVenezuela Ministerio del Poder Popular para la Educación Universitaria Instituto Universitario Politécnico Santiago Mariño Barcelona, Estado- Anzoátegui Estadística II Variables Aleatorias PROFESOR: INTEGRANTE: Pedro Beltrán Goncalves Elias C.I:28.279.887 Sección S1 Marzo, 2019
  • 2.
    El objetivo fundamentalde la misma no es otro que la obtención de un modelo matemático capaz de estimar y predecir la fiabilidad del sistema. Este modelo se obtiene por medio de funciones estadísticas que se ajustan a los datos disponibles, del elevado número de funciones estadísticas existentes en la literatura, apenas cinco de ellas, cuya selección dependerá de la naturaleza de los datos, parecen suficientes para modelarla mayor parte de los fenómenos de este tipo.
  • 3.
    Variable es aquellatoma distintos valores Aleatoria porque el valor observado no puede ser predicho antes de la realización del experimento. Se pueden dividir -Variable aleatoria Discreta -Variable aleatoria continua Son aquellas que sólo puede tomar un número finito de valores dentro de un intervalo, se especifican los posibles valores de la variable con sus respectivas probabilidades. Definición. Sea X una variable aleatoria que toma valoresx1,x2,...,xn,.... Entenderemos por P(X=xi) como la probabilidad del suceso. Propiedades 1. Densidad f(x) = P[X=x] La suma de las densidades 𝑡𝑜𝑑𝑜 𝑥 𝑓 𝑥 = 1 Función de distribución Ejemplo. El número de componentes de una manada de lobos, puede ser 4 ó 5 ó 6 individuos pero nunca 5,75 ó 5,87.
  • 4.
    Son aquellas quepueden tomar un número infinitamente grande de valores que corresponden a los puntos en un intervalo de una recta. Definición. Una variable aleatoria continua puede tomar cualquier valor en un intervalo de números reales Propiedades • Función de densidad • Función de distribución • Esperanza Las estaturas y los pesos de las personas, el tiempo entre dos eventos o la vida útil de un equipo de oficina.
  • 5.
    Sea X unavariable aleatoria discreta con función de probabilidad p(x) y rango de valores Rx, entonces su función de distribución acumulativa se define por: 𝐹 𝑡 = 𝑃 𝑋 ≤ 𝑡 = 𝑝(𝑥 Propiedades Ejemplo Variable aleatoria X es el conjunto de pares ordenados (X, f(X)) donde f(X) es la función de probabilidad de X (si X es discreta) o función densidad de probabilidad de X (si X es continua
  • 6.
    La esperanza matemática,también llamada valor esperado, es igual al sumatorio de las probabilidades de que exista un suceso aleatorio, multiplicado por el valor del suceso aleatorio. O, dicho de otra forma, el valor medio de un conjunto de datos. Propiedades Ejemplo. Cuatro personas apuestan € a que saldrá un número en un dado, cada uno a un número diferente. Entonces por cada euro apostado si se gana recibes euros más. ¿Saldrá a cuenta apostar en este juego? La probabilidad de perder 1€ es 5/6, ya que perderemos si no sale el número elegido. En cambio la probabilidad de ganar 3€ es de 1/6 Así la esperanza es: Por tanto por cada euro apostado podemos perder 0.33 céntimos. Se dice que este es un juego de esperanza negativa.
  • 7.
    Es la mediaaritmética del cuadrado de las desviaciones respecto a la media de una distribución estadística, es una medida de variación igual al cuadrado de la desviación estándar. Definición. Se representa mediante el símbolo griego sigma al cuadrado (σ2) y se formula de la siguiente manera: Varianza muestra: s2 el cuadrado de la desviación estándar. Varianza poblacional: σ2 el cuadrado de la desviación estándar poblacional σ PropiedadesEjemplo. Calcular la varianza de las siguientes notas de un alumno en los últimos exámenes: o Valores de las notas: 9, 10, 10, 11, 10, 10 o Calculamos la media aritmética. Número de valores: 6 Media Aritmética = (9 + 10 + 10 + 11 + 10 + 10) / 6 = 60 / 6 = 10 o Calculamos la Varianza: Varianza σ2 = [(9-10)2 + (10-10)2 + (10-10)2 + (11- 10)2 + (10-10)2 + (10-10)2] / 6 = 2 / 6 = 1 /3 = 0,33
  • 8.
    Es la medidade dispersión más común, que indica qué tan dispersos están los datos con respecto a la media. Mientras mayor sea la desviación estándar, mayor será la dispersión de los datos. El símbolo σ (sigma) se utiliza frecuentemente para representar la desviación estándar de una población, mientras que s se utiliza para representar la desviación estándar de una muestra S= 𝑆2 (Muestra) Propiedades 1. La desviación estándar será siempre un valor positivo o cero, en el caso de que las puntuaciones sean iguales. 2. Si a todos los valores de la variable se les suma un número la desviación estándar no varía. 3. Si todos los valores de la variable se multiplican por un número la desviación estándar queda multiplicada por dicho número. 4. Si tenemos varias distribuciones con la misma media y conocemos sus respectivas desviaciones estándar se puede calcular la desviación estándar total. 𝜎 𝑘1. 𝜎1 2 + 𝑘2. 𝜎2 2 + ⋯ + 𝑘 𝑛 + 𝜎 𝑛 2 𝑘1 + 𝑘2 … + 𝑘 𝑛 𝜎 𝜎2 + 𝜎2 + ⋯ + 𝜎 𝑛 2 𝑛 Si todas las muestras tienen el mismo tamaño Si las muestras tienen distinto tamañoCalcular la desviación estándar de la distribución: 9, 3, 8, 8, 9, 8, 9, 18
  • 9.
    Propiedades 1. Unicidad. Mx(θ) la Función Generadora de Momentos caracteriza a una y solo una distribución. Puesto que la Función de Distribución Acumulativa FX(x) determina la distribución de cualquier variable aleatoria a Mx (θ) le corresponde una y solo una FX(x) 2. Momentos. 3. Momentos respecto a su origen Los momentos de una variable aleatoria X son los valores esperados de ciertas funciones de x. Definición: Si X es una variable aleatoria, el momento de orden k de X se define como E(X^k), siempre que la esperanza exista. 4. Transformación lineal
  • 10.
    5. Convolucion 6. Preservaciónde límites Ejemplo. Para el ejercicio del caballero que invita a comer a su novia, se tienen los segundos momentos: Es una distribución que toma dos valores (1 y 0) con probabilidad p y1− p. Habitualmente esta distribución aparece en experimentos donde se identifica el suceso 1=EXITO y 0=FRACASO Definición. Una variable aleatoria X tiene una distribución de Bernoulli si (para algún p con 0 ≤ p ≤1) P(X=1) =p P(X=0) = 1−p Propiedades Distribución de Bernoulli de parámetro p Media μ = E(X)=p Varianza σ2 = Var(X) = p(1−p) Desviación Típica σ = √(p (1-p)) Ejemplo. La variable aleatoria que define el experimento lanzamiento de una moneda sigue una distribución de Bernoulli de parámetro p, donde p es la probabilidad del suceso de interés, cara o cruz.
  • 11.
    La distribución Binomialde parámetro n y p (Bi(n,p)) surge como una secuencia n intentos del tipo de Bernoulli que verifica: •Los intentos son independientes. •Cada resultado del intento puede tomar únicamente dos resultados mutuamente excluyentes, que denotaremos por EXITO (E) o FRACASO (F). •La probabilidad de éxito (y por lo tanto la de fracaso) es constante en cada intento. Definición. Una variable aleatoria X tiene una distribución Binomial si (para algún entero positivo n y algún p con 0 ≤ p ≤1) mide X="no de éxitos de un total de n si la probabilidad de éxito es p" 𝑃 𝑋 = 𝑘 = 𝑛 𝑘 0 𝑝 𝑘 (1 − 𝑝 𝑛−𝑘 Si k= 1,2, … n Propiedades Distribución Binomial de parámetros n y p Media μ E(X)= np Varianza σ2 = Var (X)= np (1−p) Desviación Típica σ √(np(1-p)) Ejemplo. En una fábrica hay 12 máquinas cada una de ellas está averiada un día de cada 10. ¿Cuál es la probabilidad de que un determinado día haya más de 3 máquinas averiadas? Sea la variable X="no de máquinas averiadas de un total de 12. Si: P(avería) =0,1" ∈ Bi (n=12, p=0.1). P(X>3) = 1−P (X≤3) = 1− [P(X=0) + P(X=1) + P(X=2) +P(X=3)] = =1−[(12¦0)┤ 0.10 (1−0.1)12-0 +(12¦1) 0.11 (1−0.1)12-1 + + (12¦2)0.12 (1−0.1)12-2+(12¦3) 0.13 (1−0.1)12-3├ ┤]= 1−0.9744 = 0.0256.
  • 12.
    Parámetro r yp (BN(r,p)) surge como una secuencia infinita de intentos del tipo de Bernoulli que verifican: •La secuencia de intentos es independiente. •Cada resultado del intento puede tomar únicamente dos resultados mutuamente excluyentes, que denotaremos por EXITO (E) o FRACASO (F). •La probabilidad de éxito o de fracaso es constante en cada intento. •Los intentos continúan hasta que un total de r éxitos se hayan observado. Definición. Una variable aleatoria X tiene una distribución Binomial Negativa si (para algún entero positivo r y algún p con 0 ≤ p ≤1) X="nº de fracasos hasta el r − ésimo éxito si p=P (EXITO)" Distribución Binomial Negativa de parámetros r y p Media μ E(X)=𝑟 (1−𝑝 𝑝 Varianzaσ2 Var (X)=𝑟 𝑝(1−𝑝 𝑝2 Desviación Típica σ 𝑟(1 − 𝑝 𝑝 p r o p i e d a d e s Ejemplo. Los registros de una compañía constructora de pozos, indican que la probabilidad de que uno de sus pozos nuevos, requiera de reparaciones en el término de un año es de 0.20. a) ¿Cuál es la probabilidad de que el sexto pozo construido por esta compañía en un año dado sea el segundo en requerir reparaciones en un año?. a) k = 6 pozos r = 2 pozos que requieren reparaciones en un año p = p(pozo requiera reparaciones en un año) = 0.20 q = p(pozo no requiera reparaciones en un año) = 0.80 p(Y-6) = p(Y-6) =
  • 13.
    La distribución geométrica,simbólicamente descrita como G(p), describe las probabilidades de obtener k fracasos antes del primer 4éxito, al realizar sucesivas tiradas de Bernoulli independientes, con probabilidad p de éxito. Su función de probabilidad es Ejemplo. Para el jugador de baloncesto al lanzar tiros libres, ¿cuál es el número medio de fallos antes del primer acierto? La variable de estudio es ahora, X, número de tiros libres fallados antes del primer enceste. Es decir, se trata de una geométrica de parámetro 0.8, G(0.8), con lo cual el número medio de fallos antes del primer acierto es la esperanza de la misma, es decir, Su función de distribución vale , para k=0,1,... lo que facilita el cálculo de cuantiles. Su esperanza vale , y su varianza . La moda vale siempre 0. El coeficiente de simetría resulta y el de curtosis . Si X sigue una distribución G(p), entonces
  • 14.
    La distribución multinomialgeneraliza esta distribución al caso en que la población se divide en m>2 grupos mutuamente excluyentes y exhaustivos, equivalentemente, a experimentos con m resultados. Se toma una muestra de n elementos, o que el experimento se repite n veces de forma independiente, y se definen m variables aleatorias Xi=número de elementos del grupo i (i=1, ..., m),entonces el vector de m-variables (X1, X2, ..., Xm) es una nueva variable aleatoria m-dimensional que sigue una distribución multinomial de parámetros n, p1, ..., pm, donde pi(i=1, ..., m) es la probabilidad del grupo i Ejemplo: de acuerdo con la teoría de la genética, un cierto cruce de conejillo de indias resultará en una descendencia roja, negra y blanca en la relación 8:4:4. Si se tienen 6 descendientes, el vector de variables (X1, X2, X3) donde: X1= Número de descendientes rojos X2= Número de descendientes negros X3= Número de descendientes blancos sigue una distribución multinomial con parámetros n=6;p1= 8/16 = 0,5; p2= 4/16 = 0,25 y p3= 4/16 = 0,25.
  • 15.
    La distribución Hipergeométricade parámetros k, n y N (HG (k,n,N)) surge en situaciones en donde el modelo aproximado de probabilidad se corresponde con muestreo sin reemplazamiento de una población dicotómica (Éxito y Fracaso)finita. Concretamente, las suposiciones que llevan a considerar esta distribución son: •La población o conjunto donde deba hacerse el muestreo consta de N individuos o elementos a seleccionar. •Cada individuo puede ser caracterizado como un éxito (E) o fracaso (F). •Se selecciona una muestra de n individuos de entre los k individuos marcados como éxito y los N−k restantes marcados como fracaso. •Hay selección equiprobable en cada paso. Definición. Una variable aleatoria X tiene una distribución Hipergeométrica si (para algunos enteros positivos k, n y N) X="nº de individuos de un total de n con cierta característica (éxito) si en N hay un total de k" Propiedades Ejemplo. De cada 2.000 tornillos fabricados por una determinada máquina hay 2 defectuosos. Para realizar el control de calidad se observan 150 tornillos y se rechaza el lote si el número de defectuosos es mayor que 1. Calcular la probabilidad de que el lote sea rechazado. Sea X="nº de defectuosos de un total den=150 si en N=2.000 hay un total de k=2" ∈ HG (k=2, n= 150, N = 2.000)
  • 16.
    La distribución dePoisson de parámetro λ surge en los llamados procesos de Poisson que se presenta en relación con el acontecimiento de éxitos de un tipo particular durante un intervalo continuo de tiempo. Las suposiciones de un proceso de Poisson, durante un intervalo de tiempo que empieza ent =0 son: •Existe un parámetro λ tal que para cualquier intervalo corto de tiempo ∆t,. •La probabilidad de que se produzca más de un éxito en el intervalo ∆t es o (∆t)1. •El número de éxitos ocurrido en un intervalo. Definición. Una variable aleatoria X tiene una distribución de Poisson si (para algún λ con λ ≥ 0) X=”nº de éxitos en un intervalo de tiempo si el nº medio es λ” Propiedades -Número de llegadas a una tienda en una hora -De veces que una planta de energía nuclear emite gases radiactivos en el perıodo de tres meses -Número de glóbulos blancos en una gota de sangre Ejemplo. En un taller se averían una media de 2 máquinas a la semana. Calcula la probabilidad de que no haya ninguna avería en una semana. ¿Y de que haya menos de 6 en un mes? Sea X="nº de averías en una semana si de media hay λ=2" ∈ Poisson (λ=2). Si en una semana hay 2 averías de media, entonces en un mes hay 2×4=8 averías de media. Sea entonces Y="nº de averías en un mes si de media hay λ=8" ∈ Poisson (λ=8)
  • 17.
    Si n es“grande” y p es “pequeño” tenemos la siguiente aproximación: La expresión anterior solo se cumple cuando n y p 0, solo en este caso, si esto no se cumple, la aproximación no se puede llevar a efecto, por lo que la fórmula a utilizar en este caso sería: Ejemplo. En un proceso de manufactura, en el cual se producen piezas de vidrio, ocurren defectos o burbujas, ocasionando que la pieza sea indeseable para la venta. Se sabe que en promedio 1 de cada 1000 piezas tiene una o más burbujas. ¿Cuál es la probabilidad de que en una muestra aleatoria de 8000 piezas, menos de 3 de ellas tengan burbujas? Solución: n = 8000 piezas p = 1/1000= 0.001 probabilidad de que una pieza tenga 1 o más burbujas = np = (8000)(1/1000) = 8 piezas en promedio con 1 o más burbujas x = variable que nos define el número de piezas que tienen 1 o más burbujas = = 0,1, 2, 3,....,8000 piezas con una o más burbujas = 0.000336 + 0.002686 + 0.010744 = 0.013766 Aproximación de la distribución hipergeometrica por la binomial. Si X es una variable aleatoria con distribución hipergeometrica H(N, n, Q), se puede demostrar que cuando N→∞,Q→∞ y Q/n→p, la distribución hipergeometrica tiende a una distribución binomial B(n, p). Esto permite aproximar la hipergeometrica H(N, n, Q) por una binomial de parámetros n y Q/n cuando N es suficientemente grande. En general, la aproximación se considera satisfactoria si N >50 y n/N ≤0.1
  • 18.
    Esta distribución esla más sencilla de las distribuciones continuas, surge al considerar una variable aleatoria que toma valores equiprobables en un intervalo finito Definición. Se dice que una variable aleatoria .X se distribuye según una uniforme en el intervalo [a, b], X~U [a, b], si la probabilidad de que tome cualquier subintervalo de valores es proporcional a la longitud de dicho subintervalo. Propiedades Ejemplo El tiempo en minutos que tarda un señor para ir de su casa al trabajo oscila de forma uniforme entre 20 y 30. Si debe llegar al trabajo a las 8 de la mañana, ¿a qué hora debe salir de su casa para tener una probabilidad de 0.9 de no llegar tarde? Si X denota el tiempo en ir de casa al trabajo (en minutos), su distribución es U (20,30).Buscamos el valor de a tal que P{X≤a}= 0,9. Pero
  • 19.
    Es un modelode aquellos fenómenos aleatorios que miden el tiempo que transcurre entre dos sucesos, por lo tanto, es el equivalente continuo de la distribución geométrica discreta. Definición. Donde X es una variable aleatoria continua que puede tomar valores x ≥ 0. Se dice que X sigue una distribución exponencial de parámetro λ (y se nota X ~ exp (λ)) si su función de densidad está dada por: Propiedades Ejemplos. -Se ha comprobado que el tiempo de vida de cierto tipo de marcapasos sigue una distribución exponencial con media de 16 años. ¿Cuál es la probabilidad de que a una persona a la que se le ha implantado este marcapasos se le deba reimplantar otro antes de 20 años? Si el marcapasos lleva funcionando correctamente 5 años en un paciente, ¿cuál es la probabilidad de que haya que cambiarlo antes de 25 % años?
  • 20.
    Son distribuciones queprovee un modelo adecuado para variables aleatorias que presentan cierto tipo de asimetría, es decir, variables que presentan una mayor densidad de sucesos a la izquierda de la media que a la derecha. Definición. Dado α > 0, se define la función Gamma o función factorial como Propiedades Ejemplo. Si un componente eléctrico falla una vez cada 5 horas, ¿cuál es el tiempo medio que transcurre hasta que fallan dos componentes? ¿Cuál es la probabilidad de que transcurran 12 horas antes de que fallen los dos componentes?
  • 21.
    Es una distribuciónque permite generar una gran variedad de perfiles y se utiliza principalmente para representar variables físicas cuyos valores se encuentran restringidos a un intervalo de longitud finita y para obtener ciertas cantidades que se conocen como límites de tolerancia (en Inferencia no paramétrica) sin necesidad de la hipótesis de normalidad. Definición. Para p, q >0se define la función beta y la representaremos por β (p,q) como Propiedades Funcion de densidad Ejemplos -Fracción de tiempo que un equipo está en reparación. - Proporción de piezas defectuosas en un lote. - Proporción del gasto de una familia en alimentación con respecto a los gastos totales - La participación de la producción de una empresa con respecto al total de lo producido en ese sector.
  • 22.
    Fue establecida porel físico suizo del mismo nombre, quien demostró, con base en una evidencia empírica, que el esfuerzo al que se someten los materiales puede modelizarse de manera adecuada mediante el empleo de esta distribución. Este modelo depende de tres parámetros, que definen la razón de fallo: • Parámetro umbral o parámetro de localización indica el origen de tiempos. • Parámetro de forma define en términos del exponente de la función potencial que determina la razón de fallo del modelo más concretamente, la razón de fallo es monótona creciente o monótona decreciente dependiendo de que el parámetro de forma sea superior o inferior a la unidad, respectivamente. • Parámetro de escala el inverso del parámetro de escala define la razón de fallo del modelo exponencial, cuando el modelo Weibull se particulariza a este caso. Definición. Una variable aleatoria X de tipo continuo tiene distribución Weibull de parámetros ∝y θ, α,θ>0 Propiedades Funcion de densidad
  • 23.
    Función de distribuciónEjemplo. El tiempo en segundos que tarda en conectarse a un servidor durante un día laborable sigue una distribución de Weibull de parámetrosα=0.6yβ=1/4, mientras que un fin de semana es una Weibull de parámetrosα=0.24yβ=1, donde la densidad de la Weibull se escribe como Se quiere saber: (a)Tiempo medio que tardaremos en conectarnos en ambos tipos de día; (b)Calcula, para ambos tipos de día, la probabilidad de tardar más de10segundosen realizar la conexión (c)Si llevamos ya5segundos esperando a que se efectué la conexión, ¿cuál es la probabilidad de que la conexión se demore aun10segundos más? (d)¿Era de esperar el resultado que se obtiene en(c)?
  • 24.
    Las distribuciones Normalesson lo mismo si usamos las unidades de medida σ alrededor de su media μ que es el centro. El proceso para cambiar nuestra distribución a estas variables se le conoce como estandarización. Definición. Si X es una observación de una distribución con media μ y desviación estándar σ, el valor estándar de x lo es Este valor estándar también se le conoce como valor z .El valor z nos indica cuantas desviaciones estándares esta la observación original de si media y en que dirección. Propiedades 1.Unidad estándar z como la variable adimensional que mide la desviación de la media x en unidades de la desviación típica σ 2.Distribución normal estándar 3.Curva normal estándar - La moda, que es la variable que tiene mayor frecuencia , se encuentra sobre el eje horizontal donde la curva tiene su máximo y ocurre en z =0 - La curva es simétrica alrededor de su eje vertical donde se tiene la media 0.
  • 25.
    - La curvatiene sus puntos de inflexión en z = ±1. Es cóncava hacia abajo en el intervalo -1 < z<. +1 y cóncava hacia arriba fuera de él. 4. - La curva se acerca al eje horizontal en forma asintótica en cualquiera de las dos direcciones, alejándose de la media. 5. - El área total bajo la curva y arriba del eje horizontal es igual a 1 Ejemplo. ¿Cuál es la proporción de todas las bolsas de “papitas” (cuya etiqueta indica que su peso es de 9 oz) que pesan menos de 9.3oz? Utilizando los datos del Ejemplo 1, podemos decir que esta proporción es el área bajo curva N (9.12,0. 15) a la izquierda del punto9.3.Como el peso estándar correspondiente a 9.3 onzas lo es El área es la misma que el área bajo la curva de la distribución Normal estándar a la izquierda del punto z= 1.2.
  • 26.
    La distribución Binomialde parámetros B(n, p) y la distribución Normal de parámetros N(μ, σ) puede llevarse a cabo si n y p = p(éxito) no es muy cercana a 0 y 1, o cuando n es pequeño y p tiene un valor muy cercano a ½ ; esto es Donde: x = variable de tipo discreto; solo toma valores enteros = np = media de la distribución Binomial = = desviación estándar de la distribución Binomial Se utiliza la aproximación Normal para evaluar probabilidades Binomiales siempre que p no esté cercano a 0 o 1. La aproximación es excelente cuando n es grande y bastante buena para valores pequeños de n si p está razonablemente cercana a ½. Una posible guía para determinar cuándo puede utilizarse la aproximación Normal es tener en cuenta el cálculo de np y nq. Sí ambos, np y nq son mayores o iguales a 5, la aproximación será buena.
  • 27.
    Es importante resaltarque la aproximación Normal evalúa las probabilidades asociadas a una variable discreta x, con una distribución que evalúa variables de tipo continuo como es la Normal. Por lo que z sufre un pequeño cambio como se muestra a continuación: ¿Por qué vamos a sumar o a restar ½ a x? Este es un factor de corrección debido a que se está evaluando una variable discreta con una distribución continua, por lo que hay que delimitar claramente desde que punto se va a evaluar la variable, dicho de otra forma, en que límite de la barra (inferior o superior) nos debemos posicionar para determinar la probabilidad requerida, cada barra de probabilidad a evaluar tiene como base la unidad, ese es el porqué del ½.
  • 28.
    Ejemplo. Una pruebade opción múltiple tiene 200 preguntas, cada una con 4 posibles respuestas, de las cuáles solo una es la correcta ¿cuál es la probabilidad de que al azar se den de 25 a 30 respuestas correctas para 80 de las 200 preguntas acerca de los cuales el estudiante no tiene conocimientos? Solución: n = 80 p = p (dar una contestación correcta) = 0.25 q = p (dar una contestación incorrecta) = 1 – p = 0.75 Preguntas contestadas correctamente Preguntas contestadas correctamente x = número de preguntas que son contestadas correctamente = 0, 1, 2,...,80
  • 29.
    p(25  x 30) = p(z2) – p(z1) = 0.4966 – 0.377 = 0.1196
  • 30.
    -El valor esperadoo esperanza es el valor medio teórico de todos los valores que puede tomar la variable. -Varianza es la medida del cuadrado de la distancia promedio entre la media y cada elemento de la población Al conocer estos modelos probabilísticos nos permite de una manera más fácil el tiempo de vida útil de un producto es el perıodo de tiempo en el que puede ser utilizado. Variable continua dentro de una probabilidad continua se encuentran las uniformes, gamma, beta, normal tipificada llevan un número infinitos de una manera continua o uniforme puede ser el tiempo de retraso con el que un alumno o un profesor llegan al aula de clases o también el peso Variable discreta son aquellas que llevan un numero finito dentro de una distribución discreta de probabilidades se encuentran Poisson, Bernoulli, Binomial, e Binomial negativa nos permite conocer la probabilidad de intentos dependientes de éxitos y fracasos.