CAPÍTULO
2
Métodos de solución de ED de primer orden
2.6 Ecuaciones diferenciales exactas
Antes de abordar este tema sugerimos al lector revise la última sección de este capítulo, la cual trata sobre
algunos conocimientos básicos y necesarios del cálculo de varias variables. Ahí se define la diferencial
exacta o total de una función de dos variables f .x; y/ de la siguiente manera:
df D
@f
@x
dx C
@f
@y
dy :
Comenzamos entonces con una definición básica.
Una expresión M.x; y/ dx C N.x; y/ dy D 0 es una ecuación diferencial exacta si cumple alguna de las
siguientes condiciones equivalentes:
1. M.x; y/ dx C N.x; y/ dy es la diferencial exacta de una función f .
2. Existe una función f .x; y/ tal que df D
@f
@x
dx C
@f
@y
dy D M.x; y/ dx C N.x; y/ dy.
3. Existe una función f .x; y/ tal que
@f
@x
D M.x; y/ &
@f
@y
D N.x; y/.
Si M.x; y/ dx C N.x; y/ dy D 0 es una ecuación diferencial exacta, entonces se puede expresar como
df .x; y/ D 0 para alguna función f .x; y/, por lo que
df .x; y/ D 0 , f .x; y/ D C ;
donde C es una constante arbitraria.
Diremos entonces que f .x; y/ D C, con C 2 R, es la solución general del la ecuación diferencial
exacta M.x; y/ dx C N.x; y/ dy D 0.
1canek.azc.uam.mx: 14/ 1/ 2010
1
2 Ecuaciones diferenciales ordinarias
Ejemplo 2.6.1 Mostrar que la ED .3x2
y/ dx C .3y2
x/ dy D 0 es exacta y que tiene por solución general
x3
xy C y3
D C.
H En efecto,
f .x; y/ D x3
xy C y3
)
@f
@x
D 3x2
y &
@f
@y
D x C 3y2
:
Luego:
df D
@f
@x
dx C
@f
@y
dy D .3x2
y/ dx C .3y2
x/ dy :
Por lo que:
.3x2
y/ dx C .3y2
x/ dy D 0 es una ecuación diferencial exacta.
Su solución general es f .x; y/ D C. Esto es:
x3
xy C y3
D C :
Ejemplo 2.6.2 Mostrar que la ED .sen yCy sen x/ dxC.x cos y cos x/ dy D 0 es exacta y que tiene por solución
general x sen y y cos x D C.
H En efecto,
f .x; y/ D x seny y cos x )
@f
@x
D sen y C y senx &
@f
@y
D x cos y cos x :
Luego:
df D
@f
@x
dx C
@f
@y
dy D .sen y C y senx/ dx C .x cos y cos x/ dy D 0 es una ED exacta :
Y su solución general es f .x; y/ D C. Esto es:
x seny y cos x D C :
En los dos ejemplos anteriores, la solución general f .x; y/ D C, cuya diferencial total df aparece en la
ecuación diferencial exacta df .x; y/ D 0, fue proporcionada. Sin embargo, usualmente no sucede así, pues
tenemos la ED y buscamos su solución. Esto plantea las interrogantes:
1. ¿Qué hacer cuando no se conoce la función f .x; y/, solución de la ecuación diferencial?.
2. ¿Cómo identificar si una ecuación en su forma diferencial es exacta?.
3. Y una vez identificada, ¿cómo calcular o determinar la función f .x; y/, solución de la ecuación
diferencial?.
Las respuestas a estas preguntas están dadas en el siguiente teorema.
Teorema. Si M.x; y/, N.x; y/,
@M
@y
, &
@N
@x
son funciones continuas en una región rectangular
R D .x; y/ 2 R2
a < x < b & ˛ < y < ˇ ;
entonces
M.x; y/ dx C N.x; y/ dy D 0 es exacta si y solo si
@M
@y
D
@N
@x
2.6 Ecuaciones diferenciales exactas 3
en cada punto .x; y/ 2 R.
El teorema anterior es equivalente al siguiente teorema:
Teorema. Si M.x; y/, N.x; y/,
@M
@y
, &
@N
@x
son funciones continuas en una región rectangular
R D .x; y/ 2 R2
a < x < b & c < y < d ;
entonces existe f .x; y/ tal que
@f
@x
D M.x; y/ &
@f
@y
D N.x; y/ si y solo si
@M
@y
D
@N
@x
en cada punto .x; y/ 2 R.
Vamos a dar un esbozo de la demostración de este teorema.
) ) Si existe f .x; y/ tal que
@f
@x
D M.x; y/ &
@f
@y
D N.x; y/ entonces
@M
@y
D
@N
@x
.
H En efecto
@f
@x
D M.x; y/ )
@
@y
M.x; y/ D
@
@y
Â
@f
@x
Ã
D
@
@y
fx D fxy :
También
@f
@y
D N.x; y/ )
@
@x
N.x; y/ D
@
@x
Â
@f
@y
Ã
D
@
@x
fy D fyx:
Pero fxy D fyx por las condiciones de continuidad de la hipótesis del teorema. Por lo tanto:
@M
@y
D
@N
@x
:
Esta igualdad es la que nos permite identificar a una ED exacta.
( ) Si
@M
@y
D
@N
@x
entonces existe f .x; y/ tal que
@f
@x
D M.x; y/ &
@f
@y
D N.x; y/.
H Para demostrar la existencia de la función f .x; y/ debemos construirla de tal manera que cumpla
con las condiciones
@f
@x
D M.x; y/ &
@f
@y
D N.x; y/.
Partiendo de la primera condición
@f
@x
D M.x; y/ e integrando con respecto a x se tiene:
x
@f
@x
dx D
x
M.x; y/ dx ) f .x; y/ D
x
M.x; y/ dx D P.x; y/ C h.y/; (2.1)
donde
@
@x
P.x; y/ D M.x; y/ & h.y/ es la constante de integración, que en este caso debe ser una función
únicamente de y.
Derivando respecto a y esta función f .x; y/
@f
@y
D
@
@y
ŒP.x; y/ C h.y/ D Py.x; y/ C h0
.y/:
Al utilizar la segunda condición
@f
@y
D N.x; y/ se tiene:
@f
@y
D N.x; y/ , Py.x; y/ C h0
.y/ D N.x; y/ , h0
.y/ D N.x; y/ Py.x; y/;
4 Ecuaciones diferenciales ordinarias
de donde, integrando con respecto a y:
h.y/ D
y
N.x; y/ Py.x; y/ dy:
Finalmente sustituimos h.y/ en (2.1) y se obtiene:
f .x; y/ D P.x; y/ C
y
N.x; y/ Py.x; y/ dy:
que es la función buscada. El desarrollo anterior es precisamente el procedimiento que debemos
seguir para la obtención de la función f .x; y/.
Comentarios a la demostración:
1. Para la obtención de h.y/, integramos con respecto a y la expresión de h0
.y/:
h0
.y/ D N.x; y/ Py.x; y/
Al efectuar la integración supusimos que h0
.y/ sólo depende de y. Comprobemos que esto, en efecto,
es cierto. Vamos a verificar que no depende de x demostrando que
@
@x
h0
.y/ D 0.
h0
.y/ D N.x; y/ Py.x; y/ D
D N.x; y/
@
@y
x
M.x; y/ dxD
D N.x; y/
x
@
@y
M.x; y/ dx D
D N.x; y/
x
My.x; y/ dx
Estamos considerando que:
@
@y
x
.x; y/ dx D
x
@
@y
.x; y/ dx
y que
@
@x
x
.x; y/ dx D .x; y/
Derivamos con respecto a x:
@
@x
h0
.y/ D
@
@x
N.x; y/
x
My .x; y/ dx D
D
@
@x
N.x; y/
@
@x
x
My.x; y/ dxDNx.x; y/ My.x; y/ D 0:
Ya que, por hipótesis se tiene,
@M
@y
D
@N
@x
:
2. Para la obtención de la función f .x; y/ pudimos haber partido de la segunda condición
@f
@y
D N.x; y/,
para luego llevar a cabo un desarrollo análogo al realizado:
a. Integrar N.x; y/ con respecto a y para tener f .x; y/.
b. Derivar el resultado del paso anterior con respecto a x para tener
@f
@x
.
c. Utilizar la primera condición
@f
@x
D M.x; y/.
d. Despejar h0
.x/ de la ecuación anterior.
e. Integrar respecto a x para obtener h.x/.
2.6 Ecuaciones diferenciales exactas 5
f. Sustituir h.x/ en f .x; y/ para así tener la función buscada.
Ejemplo 2.6.3 Resolver la ED: .3x2
y/ dx C .3y2
x/ dy D 0.
H Primero verificamos que la ED es exacta:
.3x2
y/ dx C .3y2
x/ dy D 0 ) M D 3x2
y & N D 3y2
x )
) My D 1 & Nx D 1 )
) My D Nx ) la ecuación diferencial es exacta )
) Existe una función f .x; y/ tal que df D M dx C N dy )
) Existe una función f .x; y/ tal que
@f
@x
dx C
@f
@y
dy D M dx C N dy )
) Existe una función f .x; y/ tal que
@f
@x
D M &
@f
@y
D N:
Luego la resolvemos, es decir, debemos determinar la función f .x; y/. Partimos de
@f
@x
D M, e integramos
con respecto a x:
x
@f
@x
dx D
x
M dx ) f .x; y/ D
x
M dx D
x
.3x2
y/ dx D ¡3
Â
x3
¡3
Ã
yx C h.y/ )
) f .x; y/ D x3
xy C h.y/ (2.2)
Nuestro objetivo ahora es encontrar h.y/, para determinar totalmente a f .x; y/. Derivamos la expresión
anterior con respecto a y:
@f
@y
D
@
@y
Œx3
xy C h.y/ D 0 x 1 C h0
.y/ D x C h0
.y/:
Utilizamos la condición
@f
@y
D N :
x C h0
.y/ D 3y2
x:
Despejamos h0
.y/:
h0
.y/ D 3y2
:
Integrando con respecto a y se obtiene:
h.y/ D 3y2
dy D ¡3
Â
y3
¡3
Ã
C C1 D y3
C C1:
Sustituimos h.y/ en (2.2) para obtener:
f .x; y/ D x3
xy C y3
C C1:
Por lo tanto, la solución general de la ecuación diferencial exacta es:
f .x; y/ D C2 ) x3
xy C y3
C C1 D C2 )
) x3
xy C y3
D C:
Ejemplo 2.6.4 Resolver la ED: .sen y C y sen x/ dx C .x cos y cos x/ dy D 0.
6 Ecuaciones diferenciales ordinarias
H Primero verificamos que la ED es exacta:
.sen y C y senx/ dxC.x cos y cos x/ dy D 0 ) M D sen y C y sen x & N D x cos y cos x )
)
My D cos y C sen x
Nx D cos y C sen x
) My D Nx ) la ED es exacta )
) Existe una función f .x; y/ tal que
@f
@x
D M &
@f
@y
D N:
Luego encontramos f .x; y/. Partimos de
@f
@y
D N e integramos con respecto a y:
y
@f
@y
dy D
y
N dy ) f .x; y/ D
y
N dy D
y
.x cos y cos x/ dy D x sen y .cos x/y C h.x/ )
) f .x; y/ D x seny y cos x C h.x/: (2.3)
Derivamos con respecto a x:
@f
@x
D
@
@x
Œx seny y cos x C h.x/ D seny y. sen x/ C h0
.x/:
Utilizamos la condición
@f
@x
D M para despejar h0
.x/:
sen y y. sen x/ C h0
.x/ D sen y C y sen x ) h0
.x/ D 0:
Integrando se obtiene:
h.x/ D C1:
Sustituimos h.x/ en (2.3) para obtener:
f .x; y/ D x seny y cos x C C1:
Por lo tanto, la solución general de la ecuación diferencial exacta es:
f .x; y/ D C2 ) x seny y cos x C C1 D C2 )
) x seny y cos x D C:
Ejemplo 2.6.5 Resolver la ED: .2e2x
sen 3y C 3e2y
sen 3x/ dx C .3e2x
cos 3y 2e2y
cos 3x/ dy D 0.
H En este caso:
M D 2e2x
sen3y C 3e2y
sen 3x & N D 3e2x
cos 3y 2e2y
cos 3x )
)
My D 2e2x
.3 cos 3y/ C .3 sen 3x/2e2y
D 6e2x
cos 3y C 6e2y
sen 3x
Nx D .3 cos 3y/2e2x
2e2y
. 3 sen 3x/ D 6e2x
cos 3y C 6e2y
sen 3x
«
) My D Nx:
De lo anterior, la ED es exacta. Entonces existe una función f .x; y/ tal que
@f
@x
D M &
@f
@y
D N:
Partimos de
@f
@x
D M e integramos con respecto a x:
x
@f
@x
dx D
x
M dx ) f .x; y/ D
x
M dx D
x
.2e2x
sen3y C 3e2y
sen3x/ dx D
D .sen 3y/ e2x
2 dx C e2y
.sen 3x/ 3 dx D
D .sen 3y/e2x
C e2y
. cos 3x/ C h.y/ )
) f .x; y/ D e2x
sen 3y e2y
cos 3x C h.y/: (2.4)
2.6 Ecuaciones diferenciales exactas 7
Derivamos con respecto a y:
@f
@y
D e2x
.cos 3y/3 .cos 3x/2e2y
C h0
.y/:
Utilizamos la condición
@f
@y
D N para despejar h0
.y/:
3e2x
cos 3y 2e2y
cos 3x C h0
.y/ D 3e2x
cos 3y 2e2y
cos 3x ) h0
.y/ D 0:
Integrando se obtiene:
h.y/ D C1:
Sustituimos h.y/ en (2.4) para obtener:
f .x; y/ D e2x
sen 3y e2y
cos 3x C C1:
Por lo tanto, la solución general de la ecuación diferencial exacta es:
f .x; y/ D C2 ) e2x
sen 3y e2y
cos 3x C C1 D C2 )
) e2x
sen 3y e2y
cos 3x D C:
Ejemplo 2.6.6 Resolver la ED: .yexy
C 2x 1/ dx C .xexy
2y C 1/ dy D 0.
H Verificamos que la ED es exacta:
M D yexy
C 2x 1 ) My D y.exy
x/ C exy
.1/ D exy
.xy C 1/
N D xexy
2y C 1 ) Nx D x.exy
y/ C exy
.1/ D exy
.xy C 1/
«
) My D Nx ) la ED es exacta.
Entonces existe una función f .x; y/ tal que
@f
@x
D M &
@f
@y
D N:
Partimos de
@f
@y
D N e integramos con respecto a y:
y
@f
@y
dy D
y
N dy ) f .x; y/ D
y
N dy D
y
.xexy
2y C 1/ dy D
y
.exy
x 2y C 1/ dy )
) f .x; y/ D exy
y2
C y C h.x/: (2.5)
Derivamos con respecto a x:
@f
@x
D
@
@x
Œexy
y2
C y C h.x/ D exy
y C h0
.x/:
Utilizamos la condición
@f
@x
D M para despejar h0
.x/:
yexy
C h0
.x/ D yexy
C 2x 1 ) h0
.x/ D 2x 1:
Integrando se obtiene:
h.x/ D .2x 1/ dx D x2
x C C1:
8 Ecuaciones diferenciales ordinarias
Sustituimos h.x/ en (2.5) para obtener:
f .x; y/ D exy
y2
C y C x2
x C C1:
Por lo tanto, la solución general de la ecuación diferencial exacta es:
f .x; y/ D C2 ) exy
y2
C y C x2
x C C1 D C2 )
) exy
y2
C y C x2
x D C:
Ejemplo 2.6.7 Determinar el valor de la constante k de modo que resulte exacta la siguiente ecuación diferencial:
.kx2
y C ey
/ dx C .x3
C xey
y/ dy D 0:
H Para esta ED se tiene:
M D kx2
y C ey
) My D kx2
C ey
:
N D x3
C xey
y ) Nx D 3x2
C ey
:
La ecuación diferencial es exacta si se cumple
My D Nx ) kx2
C ey
D 3x2
C ey
) kx2
D 3x2
) k D 3:
Por lo tanto la ecuación diferencial es exacta cuando k D 3.
Ejemplo 2.6.8 Obtener alguna función M.x; y/ de modo que la siguiente ecuación diferencial sea exacta:
M.x; y/ dx C .x3
C xey
y/ dy D 0:
H Partimos del conocimiento de la función N.x; y/:
N D x3
C xey
y ) Nx D 3x2
C ey
:
La ecuación diferencial es exacta si cumple:
My D Nx )
@M
@y
D 3x2
C ey
:
Entonces, integrando esta última expresión se tiene:
y
@M
@y
dy D
y
.3x2
C ey
/ dy ) M.x; y/ D
y
.3x2
C ey
/ dy D 3x2
y C ey
C h.x/:
Donde h.x/ es cualquier función de x, esto es, que no dependa de y.
M.x; y/ podría ser, entre otras funciones:
M.x; y/ D 3x2
y C ey
C arctan xI donde h.x/ D arctan x:
M.x; y/ D 3x2
y C ey
C x ln xI donde h.x/ D x ln x:
M.x; y/ D 3x2
y C ey
C CI donde h.x/ D C:
Ejemplo 2.6.9 Determinar alguna función N.x; y/ de modo que la siguiente ecuación diferencial sea exacta:
.y2
cos x 3x2
y 2x/ dx C N.x; y/ dy D 0:
2.6 Ecuaciones diferenciales exactas 9
H Partimos del conocimiento de la función M.x; y/:
M D y2
cos x 3x2
y 2x ) My D 2y cos x 3x2
:
La ecuación diferencial es exacta si cumple:
My D Nx )
@N
@x
D 2y cos x 3x2
:
Entonces, integrando:
x
@N
@x
dx D
x
.2y cos x 3x2
/ dx ) N.x; y/ D
x
.2y cos x 3x2
/ dx D 2y sen x x3
C h.y/:
Donde h.y/ es cualquier función de y, esto es, depende de x.
N.x; y/ podría ser, entre otras funciones, cualquiera de las siguientes:
N.x; y/ D 2y sen x x3
C ln yI donde h.y/ D ln y:
N.x; y/ D 2y sen x x3
yey
I donde h.y/ D yey
:
N.x; y/ D 2y sen x x3
C CI donde h.y/ D C:
Ejemplo 2.6.10 Resolver el siguiente PVI:
3y2
C 2y sen2x D
Â
cos 2x 6xy
4
1 C y2
Ã
y 0
I con y.0/ D 1:
H Primero obtenemos la solución general de la ecuación diferencial y luego aplicamos la condición inicial:
3y2
C 2y sen 2x D
Â
cos 2x 6xy
4
1 C y2
Ã
y 0
)
) 3y2
C 2y sen 2x D
Â
cos 2x 6xy
4
1 C y2
Ã
dy
dx
)
) .3y2
C 2y sen2x/ dx
Â
cos 2x 6xy
4
1 C y2
Ã
dy D 0 )
) .3y2
C 2y sen2x/ dx C
Â
6xy cos 2x C
4
1 C y2
Ã
dy D 0:
Tenemos entonces:
M D 3y2
C 2y sen 2x ) My D 6y C 2 sen 2x
N D 6xy cos 2x C
4
1 C y2
) Nx D 6y C 2 sen 2x
«
) My D Nx ) la ED es exacta )
) Existe una función f .x; y/ tal que
@f
@x
D M &
@f
@y
D N:
Partimos de
@f
@x
D M e integramos con respecto a x:
x
@f
@x
dx D
x
M dx ) f .x; y/ D
x
M dx D
x
.3y2
C 2y sen2x/ dx D 3y2
x C y. cos 2x/ C h.y/ )
) f .x; y/ D 3y2
x C y. cos 2x/ C h.y/: (2.6)
Derivamos con respecto a y:
@f
@y
D
@
@y
Œ3y2
x C y. cos 2x/ C h.y/ D 6xy cos 2x C h0
.y/:
10 Ecuaciones diferenciales ordinarias
Utilizamos la condición
@f
@y
D N para despejar h0
.y/:
6xy cos 2x C h0
.y/ D 6xy cos 2x C
4
1 C y2
) h0
.y/ D
4
1 C y2
:
Integrando se obtiene:
h.y/ D
4
1 C y2
dy D 4 arctany C C1:
Sustituimos h.y/ en (2.6) para obtener:
f .x; y/ D 3xy2
y cos 2x C 4 arctan y C C1:
Por lo tanto, la solución general de la ecuación diferencial exacta es:
f .x; y/ D C2 ) 3xy2
y cos 2x C 4 arctan y C C1 D C2 )
) 3xy2
y cos 2x C 4 arctan y D C:
Finalmente se aplica la condición inicial: y.0/ D 1 ) y D 1 & x D 0:
3.0/12
1 cos 0 C 4 arctan 1 D C ) 0 1 C 4
4
Á
D C ) C D 1:
Por lo tanto la solución del PVI es:
3xy2
y cos 2x C 4 arctan y D 1:
Ejemplo 2.6.11 Resolver la ED: y cos x C 2xey
C 1 C .sen x C x2
ey
C 2y 3/y 0
D 0.
H Se tiene que:
.y cos x C 2xey
C 1/ dx C .sen x C x2
ey
C 2y 3/ dy D 0: (2.7)
Entonces
M D y cos x C 2xey
C 1 ) My D cos x C 2xey
N D senx C x2
ey
C 2y 3 ) Nx D cos x C 2xey
«
ya que My D Nx; entonces (2.7) es una ED exacta.
Por lo tanto, existe f .x; y/ tal que fx D M & fy D N .
Partiendo de:
fx D M D y cos x C 2xey
C 1:
Integrando con respecto a x:
x
fx dx D
x
M dx )
) f .x; y/ D
x
M dx D
x
.y cos x C 2xey
C 1/ dx D y
x
cos x dx C 2ey
x dx C dx )
) f .x; y/ D y sen x C x2
ey
C x C h.y/: (2.8)
Derivando parcialmente con respecto a y:
fy D sen x C x2
ey
C h0
.y/:
Utilizando la condición fy D N para despejar h0
.y/:
fy D N D senx C x2
ey
C 2y 3:
2.6 Ecuaciones diferenciales exactas 11
Se obtiene:
senx C x2
ey
C h0
.y/ D senx C x2
ey
C 2y 3 )
) h0
.y/ D 2y 3:
Integrando:
h.y/ D y2
3y C C1:
Sustituyendo h.y/ en (2.8), obtenemos:
f .x; y/ D y senx C x2
ey
C x C y2
3y C C1:
Entonces la solución general de la ED dada, es:
f .x; y/ D C2 )
) y senx C x2
ey
C x C y2
3y C C1 D C2 )
) y sen x C x2
ey
C x C y2
3y D C:
Ejemplo 2.6.12 Resolver el PVI: .2xy C 2y2
e2x
senx/ dx C .x2
C 2ye2x
C ln y/ dy D 0I con y.0/ D 1.
H Se tiene:
M D 2xy C 2y2
e2x
sen x ) My D 2x C 4ye2x
N D x2
C 2ye2x
C ln y ) Nx D 2x C 4ye2x
«
) My D Nx entonces la ED es exacta.
Por lo tanto existe f .x; y/, tal que fx D M & fy D N .
Partiendo de
fy D N D x2
C 2ye2x
C ln y:
Integrando con respecto a y:
y
fy dy D
y
N dy )
) f .x; y/ D
y
N dy D
y
.x2
C 2ye2x
C ln y/ dy D x2
dy C 2e2x
y dy C ln y dy )
) f .x; y/ D x2
y C y2
e2x
C y ln y y C h.x/: (2.9)
Derivando parcialmente con respecto a x:
fx D 2xy C 2y2
e2x
C h0
.x/:
Utilizando la condición fx D M, para despejar h0
.x/, se tiene que:
2xy C 2y2
e2x
C h0
.x/ D 2xy C 2y2
e2x
senx )
) h0
.x/ D senx )
) h.x/ D cos x C C1:
Sustituyendo h.x/ en (2.9) se obtiene:
f .x; y/ D x2
y C y2
e2x
C y ln y y C cos x C C1;
entonces la solución general de la ED, es:
f .x; y/ D C2 )
) x2
y C y2
e2x
C y ln y y C cos x C C1 D C2 )
) x2
y C y2
e2x
C y ln y y C cos x D C:
12 Ecuaciones diferenciales ordinarias
Considerando que la condición inicial y.0/ D 1 ) x D 0 & y D 1, se obtiene:
02
1 C 12
e0
C 1 ln.1/ 1 C cos.0/ D C ) 0 C 1 C 0 1 C 1 D C ) C D 1:
Por lo tanto, la solución del PVI es:
x2
y C y2
e2x
C y ln y y C cos x D 1:
Ejemplo 2.6.13 Resolver la ED:
dy
dx
D
ax C by
bx C cy
I con a; b & c constantes.
H
dy
dx
D
ax C by
bx C cy
) .bx C cy/ dy D .ax C by/ dx )
) .ax C by/ dx C .bx C cy/ dy D 0:
Se tiene entonces:
M D ax C by ) My D b
N D bx C cy ) Nx D b
) My D Nx ) la ED es exacta.
Entonces existe f .x; y/ tal que fx D M & fy D N . De fx D M se obtiene al integrar:
f .x:y/ D
x
M dx D
x
.ax C by/ dx D a
x2
2
C byx C h.y/: (2.10)
Derivando parcialmente con respecto a y:
fy D bx C h0
.y/:
Utilizando la condición fy D N , para despejar h0
.y/, se tiene que:
bx C h0
.y/ D bx C cy ) h0
.y/ D cy )
) h.y/ D c
y2
2
C K1:
Sustituyendo h.y/ en (2.10), obtenemos:
f .x; y/ D
1
2
ax2
C bxy C
1
2
cy2
C K1:
Entonces la solución general de la ecuación diferencial es:
1
2
ax2
C bxy C
1
2
cy2
C K1 D K2 ) ax2
C 2bxy C cy2
C 2K1 D 2K2 )
) ax2
C 2bxy C cy2
D K:
Ejemplo 2.6.14 Resolver la ED: .ex
seny 2y senx/ dx C .ex
cos y C 2 cos x/ dy D 0.
H Se tiene:
M D ex
sen y 2y sen x ) My D ex
cos y 2 senx
N D ex
cos y C 2 cos x ) Nx D ex
cos y 2 senx
«
) My D Nx ) la ED es exacta.
2.6 Ecuaciones diferenciales exactas 13
Entonces existe f .x; y/ tal que fx D M & fy D N . De fy D N se obtiene al integrar con respecto a y:
f .x; y/ D
y
N dy D
y
.ex
cos y C 2 cos x/ dy D ex
seny C 2y cos x C h.x/ )
) f .x; y/ D ex
seny C 2y cos x C h.x/: (2.11)
Derivando parcialmente con respecto a x:
fx D ex
seny 2y senx C h0
.x/:
Utilizando que fx D M para despejar h0
.x/ se tiene:
ex
sen y 2y sen x C h0
.x/ D ex
seny 2y senx ) h0
.x/ D 0 )
) h.x/ D C1:
Sustituyendo h.x/ en (2.11), se obtiene:
f .x; y/ D ex
seny C 2y cos x C C1:
Por lo tanto la solución general es:
f .x; y/ D C2 ) ex
sen y C 2y cos x C C1 D C2 )
) ex
sen y C 2y cos x D C:
Ejemplo 2.6.15 Resolver la ED: .yexy
cos 2x 2exy
sen 2x C 2x/ dx C .xexy
cos 2x 3/ dy D 0.
H Se tiene:
M D yexy
cos 2x 2exy
sen 2x C 2x ) My D .yxexy
C exy
/ cos 2x 2xexy
sen 2x
N D xexy
cos 2x 3 ) Nx D .xyexy
C exy
/ cos 2x 2xexy
sen2x
«
)
) My D Nx ) la ED es exacta.
Entonces existe f .x; y/ tal que fx D M & fy D N . Integrando con respecto a y la última igualdad:
f .x; y/ D
y
N dy D
y
.xexy
cos 2x 3/ dy D cos 2x
y
exy
x dy 3 dy )
) f .x; y/ D exy
cos 2x 3y C h.x/: (2.12)
Derivando con respecto a x e igualando a M:
fx D 2exy
sen2x C yexy
cos 2x C h0
.x/I
M D yexy
cos 2x 2exy
sen 2x C 2xI
2exy
sen 2x C yexy
cos 2x C h0
.x/ D yexy
cos 2x 2exy
sen 2x C 2x:
Entonces, despejando h0
.x/ e integrando:
h0
.x/ D 2x ) h.x/ D x2
C C1:
Sustituyendo h.x/ en (2.12), obtenemos:
f .x; y/ D exy
cos 2x 3y C x2
C C1:
Por lo tanto, la solución general de la ED es:
f .x; y/ D C2 ) exy
cos 2x 3y C x2
D C:
14 Ecuaciones diferenciales ordinarias
Ejercicios 2.6.1 Ecuaciones diferenciales exactas. Soluciones en la página 15
Resolver las siguientes ecuaciones diferenciales exactas.
1. .3x2
C 2xy2
2x/ dx C .3y2
C 2x2
y 2y/ dy D 0.
2. .2xy e2y
/ dx C .x2
C xe2y
y/ dy D 0.
3.
Â
y sen x C seny C
1
x
Ã
dx C
Â
x cos y cos x C
1
y
Ã
dy D 0.
4. .4x3
y C y3
2x/ dx C .x4
C 3xy2
3y2
/ dy D 0.
5. .y cos x C 2xey
x/ dx C .y C sen x C x2
ey
/ dy D 0.
6. .ex
sen y C 2y senx 2x/ dx C .ex
cos y 2 cos x C 2y/ dy D 0.
7. .4x3
C 4xy 1/ dx D .1 2x2
2y/ dy.
8. .y ln x C y/ dx C .x ln x ey
/ dy D 0.
9. Œy sec 2
.xy/ C senx dx C Œx sec 2
.xy/ C sen y dy D 0.
10.
Â
1
y
sen
Â
x
y
Ã
y
x2
cos
y
x
Á
C 1
Ã
dx C
Â
1
x
cos
y
x
Á x
y2
sen
Â
x
y
Ã
C
1
y2
Ã
dy D 0.
11.
Â
yey
C
x
x2 C y2
Ã
y 0
D
y
x2 C y2
xex
.
12. .y sen.2x/ 2y C 2y2
exy2
/ dx .2x sen 2
x 4xyexy2
/ dy D 0.
13. .2xy e3y
/ dx C .x2
kxe3y
3y2
/ dy D 0.
Resolver los siguientes PVI.
14. y2
cos x 3x2
y 2x dx C 2y senx x3
C ln y dy D 0 con y.0/ D e
15. .y C xex
C 2/ dx C .x C ey/ dy D 0 con y.1/ D 0.
16. .ey
senx C tan y/ dy ey
cos x x sec 2
y dx D 0 con y.0/ D 0.
17.
Â
x C y
1 C x2
Ã
dx C .y C arctan x/ dy D 0 con y.0/ D 1.
18. Determinar los valores de las constantes A y B que hacen exacta a la ecuación diferencial:
y3
y2
sen x 2x dx C Axy2
C By cos x 3y2 dy D 0:
19. Obtener una función M.x; y/ de modo tal que sea exacta la ecuación diferencial:
M.x; y/ dx C .ex
cos y C 2 cos y/ dy D 0:
20. Obtener una función N.x; y/ de modo tal que sea exacta la ecuación diferencial:
N.x; y/ dy C
Â
x2
y2
x2y
2x
Ã
dx D 0:
2.6 Ecuaciones diferenciales exactas 15
Ejercicios 2.6.1 Ecuaciones diferenciales exactas.Soluciones, página 14
1. x3
C x2
y2
x2
y2
C y3
D C
2. La ED no es exacta.
3. x sen.y/ y cos.x/ C ln j xy j D C.
4. x4
y C xy3
x2
y3
D C.
5. 2y sen.x/ C 2x2
ey
x2
y2
D C.
6. ex
sen.y/ 2y cos.x/ C y2
x2
D c
7. x4
C 2x2
y C y2
x y D c
8. xy ln.x/ ey
D c
9. tan.xy/ cos.x/ cos.y/ D c
10. sen
y
x
Á
cos
Â
x
y
Ã
C x
1
y
D C
11. ex
xex
C ey
yey
C arctan
Â
x
y
Ã
D c
12. 2exy2
2xy
1
2
y cos.2x/ C
y
2
D c
13. La ED será exacta si k D 3
14. y2
sen.x/ C y ln jy j D x3
y C x2
C y
15. xy C ey
C xex
ex
C 2x D 3
16. ey
cos.x/ x tan.y/ D 1
17. y2
C 2y arctan.x/ C ln.1 C x2
/ D 1
18. La ED será exacta si A D 3 y B D 2
19. M.x; y/ D ex
sen.y/ C k.x/, donde k.x/ es cualquier función de x con derivada continua.
20. N.x; y/ D
y2
x2
xy2
C k.y/ Donde k(y) es cualquier función de y con derivada continua.
2.2(a)
http://ed21d.webcindario.com/id74.htm[17/03/2014 06:12:18 p.m.]
Tema 6: Ecuaciones diferenciales exactas de primer orden
6.1 Definición
Una e.d.
(1) M(x,y) dx + N(x,y) dy = 0
Es exacta si existe una función g(x,y) tal que
(2) dg(x,y) = M(x,y) dx + N(x,y) dy
Prueba de exactitud: Si M(x,y) y N(x,y) son funciones continuas y tienen primeras derivadas parciales
continuas en algún rectángulo del plano xy, entonces (1) es exacto si, y solamente si,
(3)
( ) ( )
x
y,xN
y
y,xM
∂
∂
=
∂
∂
Ejemplo 1. En la e.d. 2xy dx + (1 + x2
) dy = 0, se tiene M(x,y) = 2xy y N(x,y) = 1 + x2
. Como
x
x
N
y
M
2=
∂
∂
=
∂
∂
, la ecuación diferencial es exacta.
6.2 Método de solución
Para resolver (1), asumiendo que es exacta, primero se resuelven las ecuaciones
(4)
( ) ( )y,xM
x
y,xg
=
∂
∂
(5)
( ) ( )y,xN
y
y,xg
=
∂
∂
para g(x,y). La solución de (1) se da implícitamente por:
(6) g(x,y) = C
donde C representa una constante arbitraria.
La ecuación (6) es inmediata de (1) y (2). De hecho, si (2) se sustituye en (1), se obtiene dg(x,y(x)) = 0.
Integrando esta ecuación (nótese que puede escribirse 0 como dx), se tiene:
(7) ( )( ) ∫∫ = dxxy,xdg 0
que a su vez implica (6).
Problemas resueltos
1. Resolver 2xy dx +(1 + x2
)dy = 0
Solución:
Esta ecuación es exacta. Ahora determinamos una función g(x,y) que satisface a (4) y (5).
Sustituyendo M(x,y) = 2xy en (4), obtenemos xy
x
g
2=
∂
∂
. Integrando ambos lados de la ecuación
con respecto de x encontramos:
( ) (yhyxy,xg
xydxdx
x
g
+=
=
∂
∂
∫∫
2
2
)
Nota: al integrar con respecto de x, la constante (con respecto de x) de integración puede depender
de y.
Ahora determinamos h(y). Derivando (1) con respecto de y, obtenemos )y('hx
x
g
+=
∂
∂ 2
Sustituyendo esta ecuación, junto con N(x,y) = 1 + x2
en (5), tenemos x2
+ h’(y) = 1 + x2
h’(y) = 1
Integrando esta última ecuación con respecto de y, se obtiene h(y) = y + C1 (C1 = constante).
Sustituyendo esta expresión en (1) tenemos
( ) 1
2
Cyyxy,xg ++=
La solución de esta ecuación diferencial, que está dada implícitamente por (6) como g(x,y) = C, es
12
2
2
CCC
Cyyx
−=
=+
Resolviendo explícitamente para y obtenemos la solución como
12
2
+
=
x
C
y
2. Resolver (x + sen y)dx + (x cos y – 2y) dy = 0
Solución:
En este caso M(x,y) = x + sen y, y N(x,y) = x cos y – 2y. Entonces ycos
x
N
y
M
=
∂
∂
=
∂
∂
, y la e.d. es
exacta. Ahora buscamos una función g(x,y) que satisfaga (4) y (5). Sustituyendo M(x,y) en (4),
obtenemos ysenx
x
g
+=
∂
∂
. Integrando ambos lados de esta ecuación con respecto de x,
encontramos
( )
( ) ( )yhxsenyxy,xg
dxsenyxdx
x
g
++=
+=
∂
∂
∫∫
2
2
1
Para encontrar h(y), derivamos (1) con respecto a y, obteniendo ( )y'hycosx
x
g
+=
∂
∂
, y después
sustituyendo este resultado junto con N(x,y) = x cos y – 2y en (5), encontramos:
x cos y + h’(y) = x cos y – 2y
h’(y) = – 2y
de lo cual se sigue que h(y) = –y2
+ C1. Sustituyendo este h(y) en (1) se obtiene
( ) 1
22
2
1
Cyxsenyxy,xg +−++=
La solución de la ecuación diferencial está dada implícitamente por (6) como
2
22
2
1
Cyxsenyx =−+ (C2 = C – C1)
3. Resolver (xy + x2
) dx + (– 1) dy = 0
Solución:
Aquí, M(x,y) = xy + x2
y N(x,y) = – 1; entonces 12
−=
∂
∂
+=
∂
∂
x
N
,xxy
y
M
, entonces
0=
∂
∂
=
∂
∂
x
N
,x
y
M
. Como
x
N
y
M
∂
∂
≠
∂
∂
, la ecuación NO es exacta y el método visto aquí no es
aplicable.
4. Resolver
xy
xy
xey
ye
'y
−
+
=
2
2
Solución:
Escribiendo esta ecuación en forma diferencial:
(2 + yexy
) dx + (xexy
–2y) = 0
Aquí M(x,y) = 2 + yexy
y N(x,y) = xexy
–2y y, como
xyxy
xyee
x
N
y
M
+=
∂
∂
=
∂
∂
, la e.d. es exacta.
Sustituyendo M(x,y) en (4), encontramos
xy
ye
x
g
+=
∂
∂
2 ; luego, integrando con respecto a x,
obtenemos
( )
( ) (yhexy,xg
dxyedx
x
g
xy
xy
++=
+=
∂
∂
∫∫
2
2
)
Para encontrar h(y) primero derivamos (1) con respecto a y, obteniendo ( )y'hxe
y
g xy
+=
∂
∂
;
después reemplazamos este resultado junto con N(x,y) en (5):
xexy
+ h’(y) = xexy
– 2y
h’(y) = – 2y
De donde h(y) = –y2
+ C1. Sustituyendo esta h(y) en (1) obtenemos
G(x,y) = 2x + exy
– y2
+ C1
La solución de la ecuación diferencial se da implícitamente por (6) como
2x + exy
– y2
= C2
C2 = C – C1
5. Resolver
2
1
2
x
xy
'y
+
−
= , y(2) = – 5
La solución de la e.d. (escrita en forma diferencial se da en el problema 1 como .
Usando la condición inicial, obtenemos (2)
2
2
Cyyx =+
2
(–5) + (–5) = C2, o bien C2 = –25. La solución del
problema de valor inicial es, por lo tanto
( )1
25
25 2
2
+
−
=−=+
x
y,yyx
Problemas suplementarios
Hallar la exactitud de las siguientes e.d. y resolver todas las que sean exactas.
6. (2xy +x) dx + (x2
+ y) dy = 0 2
222
2
1
2
1
Cyxyx =++
7. (y + 2xy3
) dx + (1 + 3x2
y2
+ x) dy = 0 xy + x2
y3
+ y = C2
8. yexy
dx + xexy
dy = 0 exy
= C2
9. xexy
dx + yexy
dy = 0 no exacta
10. 3x2
y2
dx + (2x3
y +4y3
) dy = 0 x3
y2
+ y4
= C2
11. y dx + x dy = 0 xy = C2
12. (x – y) dx + (x + y) dy = 0 no exacta
13. (y senx + xy cosx) dx + (x senx + 1) dy= 0 xy senx + y = C2
Introducción: Si bien la ecuación simple de primer orden es
separable, se puede resolver la ecuación de una manera alternativa
reconociendo que la expresión del lado izquierdo de la igualdad es la diferencial
de la función ; es decir, .En esta sección se
examinarán ecuaciones de primer orden en la forma diferencial.
Al aplicar una prueba simple a M y N, se determina si es
una diferencial de una función . Si la respuesta es afirmativa, f se
construye mediante integración parcial.
0=+ xdyydx
xyyxf =),( xdyydxxyd +=)(
0),(),( =+ dyyxNdxyxM
dyyxNdxyxM ),(),( +
),( yxf
Sugerencias para el aprendizaje: El alumno deberá tener conocimiento y dominio
de la diferenciación e integración parcial. Así mismo deberá tener dominio
suficiente de cálculo de varias variables estudiadas en matemáticas III.
Diferencial de una función de dos variables
En el caso especial cuando , donde c es una constante, entonces la
ecuación anterior significa que
cyxf =),(
En otras palabras, dada una familia uniparamétrica de funciones ,
se puede generar una ecuación diferencial de primer orden calculando la
diferencial en ambos lados de la igualdad.
cyxf =),(
Por ejemplo: Si se tiene la siguiente función , entonces la
ecuación (1) debe proporcionarnos la ED de primer orden. Es decir,
cyxyx =+− 32
5
(1)
0)35()52( 2
=+−+− dyyxdxyx (2)
Por supuesto, no toda ED de primer orden escrita en forma diferencial
corresponde a una diferencial de . Así que
resulta más conveniente invertir el problema anterior, es decir, si se tiene una
ED de primer orden como la (2).¿Existe alguna forma de reconocer que la
expresión diferencial s la diferencial ?
En caso afirmativo, entonces una solución implícita de (2) es .
Esta pregunta se contestará después de la ver la siguiente definición.
0),(),( =+ dyyxNdxyxM cyxf =),(
dyyxdxyx )35()52( 2
+−+− )5( 32
yxyxd +−
cyxyx =+− 32
5
DEFINICIÓ DE ECUACIÓN EXACTA
Una ecuación diferencial es una diferencial exacta en una
región R del plano xy si corresponde a la diferencial de alguna función
definida en R. Por tanto, una ED de primer orden de la forma
Es una ecuación exacta si la expresión del lado izquierdo es una diferencial exacta.
dyyxNdxyxM ),(),( +
),( yxf
0),(),( =+ dyyxNdxyxM
CRITERIO PARA UNA DIFERENCIAL EXACTA
MÉTODO DE SOLUCIÓN DE UNA ECUACIÓN EXACTA
PASO:
PASO:
PASO:
PASO:
EJEMPLO 1: Resolver por el método de las exactas la siguiente ED
EJEMPLO 2: Hallar el valor de b para que sea exacta la siguiente ED y resolverla
por el método de exactas.
SOLUCIÓN:
EJEMPLO 3: Resolver por el método de las exactas la siguiente ED
0)1(2 2
=−+ dyxxydx
SOLUCIÓN: Con , se tiene que:1),(2),( 2
−== xyxNyxyyxM
x
N
x
y
M
∂
∂
==
∂
∂
2 Que es una ecuación exacta y, por
consiguiente, existe una función tal que:),( yxf
12 2
−=
∂
∂
=
∂
∂
x
y
f
yxy
x
f Integrando la primera de estas dos ecuaciones
se tiene:
∫ ∫ ∫∫ ∂=∂==
∂
∂
xxyfxy
x
f
22 )(),( 2
ygyxyxf +=
Se saca la derivada parcial de la segunda expresión con respecto a y y luego se
iguala el resultado con , se obtiene , despejando
se obtiene:
),( yxN 1)( 22
−=′+=
∂
∂
xygx
y
f )(yg′
yygyyg −=−=′ )(1)(
Por consiguiente la solución de la ED en forma implícita es:yyxyxf −= 2
),(
cyyx =−2
O bien, la solución de la ED en forma explícita es:
11
12
<<−
−
= xpara
x
c
y
Nota:
Definición: Una ED de primer orden se dice que no es exacta si sus derivadas
parciales no cumplen con el criterio para una diferencial exacta. Es decir, su
diferenciales parciales son diferentes:
x
N
y
M
∂
∂
≠
∂
∂
Definición de factor integrante (F.I.): Es aquel factor que al multiplicar las
derivadas parciales de una ED no exacta la convierten en ED exacta, para luego
resolverla con el método de las exactas:
Factor integrante (F.I.): Sea la ED
Ejemplos de algunas formas diferenciales que son exactas
Ejemplos de algunas formas diferenciales que no son exactas
Teorema del factor integrante (F.I.)
Dos consideraciones importantes para obtener las ED generales por F.I.
EJEMPLO 4: Obtener el F.I. de la siguiente ED no exacta y posteriormente
resolverla por el método de las exactas.
SOLUCIÓN:
1º Paso: Checar si la ED es exacta o no exacta
No exacta
2º Paso: Búsqueda del factor integrante (F. I.) para convertir la ED en exacta:
Para esto es necesario realizar las dos consideraciones para ver cuál de las
dos se puede factorizar y por ende produce un factor integrante:
Factorizando se tiene:
3º Paso: Conversión de la ED no exacta en exacta
4º Paso: Aplicación de los 4 pasos (i a iv) del método de solución de las ED
exactas.
Paso i): Comprobar si la ED es exacta
Exacta
Paso ii): Integrar con respecto a x, dejando a y constante
Paso iii): Derivar con respecto a y la ecuación resultante en el paso ii
Despejando g´(y) de la igualdad anterior, se tiene:
Paso iv): Obtener la función g (y)
Paso v): Sustitución del valor de g (y) en el paso ii
Solución general: kccsiendocxyyx −==− 11
232
2
EJEMPLO 5: Obtener el F.I. de la siguiente ED no exacta y posteriormente
resolverla por el método de las exactas.
SOLUCIÓN:
Aplicando las propiedades de los logaritmos y exponenciales:
Se tiene lo siguiente:
xx
e
y
y
ce
xy
xy
c =
−
−
→=
−
−
))0(2(
))0(3(
)2(
)3(
xx
e
y
y
ce
y
y
c =→=
−
−
)(
)(
)0(
)0(
( ) xx
ecec =→=1
EJERCICIOS PARA LA CARPETA
INSTRUCCIONES: Resolver por el método de las exactas las siguientes ED
0)2cos2()cos( 22
=+−+− dyyxyxxedxxyye yy
3.
2.
1.
INSTRUCCIONES: Obtener el F.I. de las siguientes ED no exactas y
posteriormente resolverlas por el método de las exactas.
4.
5.

Ejercicios resueltos edo exactas

  • 1.
    CAPÍTULO 2 Métodos de soluciónde ED de primer orden 2.6 Ecuaciones diferenciales exactas Antes de abordar este tema sugerimos al lector revise la última sección de este capítulo, la cual trata sobre algunos conocimientos básicos y necesarios del cálculo de varias variables. Ahí se define la diferencial exacta o total de una función de dos variables f .x; y/ de la siguiente manera: df D @f @x dx C @f @y dy : Comenzamos entonces con una definición básica. Una expresión M.x; y/ dx C N.x; y/ dy D 0 es una ecuación diferencial exacta si cumple alguna de las siguientes condiciones equivalentes: 1. M.x; y/ dx C N.x; y/ dy es la diferencial exacta de una función f . 2. Existe una función f .x; y/ tal que df D @f @x dx C @f @y dy D M.x; y/ dx C N.x; y/ dy. 3. Existe una función f .x; y/ tal que @f @x D M.x; y/ & @f @y D N.x; y/. Si M.x; y/ dx C N.x; y/ dy D 0 es una ecuación diferencial exacta, entonces se puede expresar como df .x; y/ D 0 para alguna función f .x; y/, por lo que df .x; y/ D 0 , f .x; y/ D C ; donde C es una constante arbitraria. Diremos entonces que f .x; y/ D C, con C 2 R, es la solución general del la ecuación diferencial exacta M.x; y/ dx C N.x; y/ dy D 0. 1canek.azc.uam.mx: 14/ 1/ 2010 1
  • 2.
    2 Ecuaciones diferencialesordinarias Ejemplo 2.6.1 Mostrar que la ED .3x2 y/ dx C .3y2 x/ dy D 0 es exacta y que tiene por solución general x3 xy C y3 D C. H En efecto, f .x; y/ D x3 xy C y3 ) @f @x D 3x2 y & @f @y D x C 3y2 : Luego: df D @f @x dx C @f @y dy D .3x2 y/ dx C .3y2 x/ dy : Por lo que: .3x2 y/ dx C .3y2 x/ dy D 0 es una ecuación diferencial exacta. Su solución general es f .x; y/ D C. Esto es: x3 xy C y3 D C : Ejemplo 2.6.2 Mostrar que la ED .sen yCy sen x/ dxC.x cos y cos x/ dy D 0 es exacta y que tiene por solución general x sen y y cos x D C. H En efecto, f .x; y/ D x seny y cos x ) @f @x D sen y C y senx & @f @y D x cos y cos x : Luego: df D @f @x dx C @f @y dy D .sen y C y senx/ dx C .x cos y cos x/ dy D 0 es una ED exacta : Y su solución general es f .x; y/ D C. Esto es: x seny y cos x D C : En los dos ejemplos anteriores, la solución general f .x; y/ D C, cuya diferencial total df aparece en la ecuación diferencial exacta df .x; y/ D 0, fue proporcionada. Sin embargo, usualmente no sucede así, pues tenemos la ED y buscamos su solución. Esto plantea las interrogantes: 1. ¿Qué hacer cuando no se conoce la función f .x; y/, solución de la ecuación diferencial?. 2. ¿Cómo identificar si una ecuación en su forma diferencial es exacta?. 3. Y una vez identificada, ¿cómo calcular o determinar la función f .x; y/, solución de la ecuación diferencial?. Las respuestas a estas preguntas están dadas en el siguiente teorema. Teorema. Si M.x; y/, N.x; y/, @M @y , & @N @x son funciones continuas en una región rectangular R D .x; y/ 2 R2 a < x < b & ˛ < y < ˇ ; entonces M.x; y/ dx C N.x; y/ dy D 0 es exacta si y solo si @M @y D @N @x
  • 3.
    2.6 Ecuaciones diferencialesexactas 3 en cada punto .x; y/ 2 R. El teorema anterior es equivalente al siguiente teorema: Teorema. Si M.x; y/, N.x; y/, @M @y , & @N @x son funciones continuas en una región rectangular R D .x; y/ 2 R2 a < x < b & c < y < d ; entonces existe f .x; y/ tal que @f @x D M.x; y/ & @f @y D N.x; y/ si y solo si @M @y D @N @x en cada punto .x; y/ 2 R. Vamos a dar un esbozo de la demostración de este teorema. ) ) Si existe f .x; y/ tal que @f @x D M.x; y/ & @f @y D N.x; y/ entonces @M @y D @N @x . H En efecto @f @x D M.x; y/ ) @ @y M.x; y/ D @ @y  @f @x à D @ @y fx D fxy : También @f @y D N.x; y/ ) @ @x N.x; y/ D @ @x  @f @y à D @ @x fy D fyx: Pero fxy D fyx por las condiciones de continuidad de la hipótesis del teorema. Por lo tanto: @M @y D @N @x : Esta igualdad es la que nos permite identificar a una ED exacta. ( ) Si @M @y D @N @x entonces existe f .x; y/ tal que @f @x D M.x; y/ & @f @y D N.x; y/. H Para demostrar la existencia de la función f .x; y/ debemos construirla de tal manera que cumpla con las condiciones @f @x D M.x; y/ & @f @y D N.x; y/. Partiendo de la primera condición @f @x D M.x; y/ e integrando con respecto a x se tiene: x @f @x dx D x M.x; y/ dx ) f .x; y/ D x M.x; y/ dx D P.x; y/ C h.y/; (2.1) donde @ @x P.x; y/ D M.x; y/ & h.y/ es la constante de integración, que en este caso debe ser una función únicamente de y. Derivando respecto a y esta función f .x; y/ @f @y D @ @y ŒP.x; y/ C h.y/ D Py.x; y/ C h0 .y/: Al utilizar la segunda condición @f @y D N.x; y/ se tiene: @f @y D N.x; y/ , Py.x; y/ C h0 .y/ D N.x; y/ , h0 .y/ D N.x; y/ Py.x; y/;
  • 4.
    4 Ecuaciones diferencialesordinarias de donde, integrando con respecto a y: h.y/ D y N.x; y/ Py.x; y/ dy: Finalmente sustituimos h.y/ en (2.1) y se obtiene: f .x; y/ D P.x; y/ C y N.x; y/ Py.x; y/ dy: que es la función buscada. El desarrollo anterior es precisamente el procedimiento que debemos seguir para la obtención de la función f .x; y/. Comentarios a la demostración: 1. Para la obtención de h.y/, integramos con respecto a y la expresión de h0 .y/: h0 .y/ D N.x; y/ Py.x; y/ Al efectuar la integración supusimos que h0 .y/ sólo depende de y. Comprobemos que esto, en efecto, es cierto. Vamos a verificar que no depende de x demostrando que @ @x h0 .y/ D 0. h0 .y/ D N.x; y/ Py.x; y/ D D N.x; y/ @ @y x M.x; y/ dxD D N.x; y/ x @ @y M.x; y/ dx D D N.x; y/ x My.x; y/ dx Estamos considerando que: @ @y x .x; y/ dx D x @ @y .x; y/ dx y que @ @x x .x; y/ dx D .x; y/ Derivamos con respecto a x: @ @x h0 .y/ D @ @x N.x; y/ x My .x; y/ dx D D @ @x N.x; y/ @ @x x My.x; y/ dxDNx.x; y/ My.x; y/ D 0: Ya que, por hipótesis se tiene, @M @y D @N @x : 2. Para la obtención de la función f .x; y/ pudimos haber partido de la segunda condición @f @y D N.x; y/, para luego llevar a cabo un desarrollo análogo al realizado: a. Integrar N.x; y/ con respecto a y para tener f .x; y/. b. Derivar el resultado del paso anterior con respecto a x para tener @f @x . c. Utilizar la primera condición @f @x D M.x; y/. d. Despejar h0 .x/ de la ecuación anterior. e. Integrar respecto a x para obtener h.x/.
  • 5.
    2.6 Ecuaciones diferencialesexactas 5 f. Sustituir h.x/ en f .x; y/ para así tener la función buscada. Ejemplo 2.6.3 Resolver la ED: .3x2 y/ dx C .3y2 x/ dy D 0. H Primero verificamos que la ED es exacta: .3x2 y/ dx C .3y2 x/ dy D 0 ) M D 3x2 y & N D 3y2 x ) ) My D 1 & Nx D 1 ) ) My D Nx ) la ecuación diferencial es exacta ) ) Existe una función f .x; y/ tal que df D M dx C N dy ) ) Existe una función f .x; y/ tal que @f @x dx C @f @y dy D M dx C N dy ) ) Existe una función f .x; y/ tal que @f @x D M & @f @y D N: Luego la resolvemos, es decir, debemos determinar la función f .x; y/. Partimos de @f @x D M, e integramos con respecto a x: x @f @x dx D x M dx ) f .x; y/ D x M dx D x .3x2 y/ dx D ¡3  x3 ¡3 à yx C h.y/ ) ) f .x; y/ D x3 xy C h.y/ (2.2) Nuestro objetivo ahora es encontrar h.y/, para determinar totalmente a f .x; y/. Derivamos la expresión anterior con respecto a y: @f @y D @ @y Œx3 xy C h.y/ D 0 x 1 C h0 .y/ D x C h0 .y/: Utilizamos la condición @f @y D N : x C h0 .y/ D 3y2 x: Despejamos h0 .y/: h0 .y/ D 3y2 : Integrando con respecto a y se obtiene: h.y/ D 3y2 dy D ¡3  y3 ¡3 à C C1 D y3 C C1: Sustituimos h.y/ en (2.2) para obtener: f .x; y/ D x3 xy C y3 C C1: Por lo tanto, la solución general de la ecuación diferencial exacta es: f .x; y/ D C2 ) x3 xy C y3 C C1 D C2 ) ) x3 xy C y3 D C: Ejemplo 2.6.4 Resolver la ED: .sen y C y sen x/ dx C .x cos y cos x/ dy D 0.
  • 6.
    6 Ecuaciones diferencialesordinarias H Primero verificamos que la ED es exacta: .sen y C y senx/ dxC.x cos y cos x/ dy D 0 ) M D sen y C y sen x & N D x cos y cos x ) ) My D cos y C sen x Nx D cos y C sen x ) My D Nx ) la ED es exacta ) ) Existe una función f .x; y/ tal que @f @x D M & @f @y D N: Luego encontramos f .x; y/. Partimos de @f @y D N e integramos con respecto a y: y @f @y dy D y N dy ) f .x; y/ D y N dy D y .x cos y cos x/ dy D x sen y .cos x/y C h.x/ ) ) f .x; y/ D x seny y cos x C h.x/: (2.3) Derivamos con respecto a x: @f @x D @ @x Œx seny y cos x C h.x/ D seny y. sen x/ C h0 .x/: Utilizamos la condición @f @x D M para despejar h0 .x/: sen y y. sen x/ C h0 .x/ D sen y C y sen x ) h0 .x/ D 0: Integrando se obtiene: h.x/ D C1: Sustituimos h.x/ en (2.3) para obtener: f .x; y/ D x seny y cos x C C1: Por lo tanto, la solución general de la ecuación diferencial exacta es: f .x; y/ D C2 ) x seny y cos x C C1 D C2 ) ) x seny y cos x D C: Ejemplo 2.6.5 Resolver la ED: .2e2x sen 3y C 3e2y sen 3x/ dx C .3e2x cos 3y 2e2y cos 3x/ dy D 0. H En este caso: M D 2e2x sen3y C 3e2y sen 3x & N D 3e2x cos 3y 2e2y cos 3x ) ) My D 2e2x .3 cos 3y/ C .3 sen 3x/2e2y D 6e2x cos 3y C 6e2y sen 3x Nx D .3 cos 3y/2e2x 2e2y . 3 sen 3x/ D 6e2x cos 3y C 6e2y sen 3x « ) My D Nx: De lo anterior, la ED es exacta. Entonces existe una función f .x; y/ tal que @f @x D M & @f @y D N: Partimos de @f @x D M e integramos con respecto a x: x @f @x dx D x M dx ) f .x; y/ D x M dx D x .2e2x sen3y C 3e2y sen3x/ dx D D .sen 3y/ e2x 2 dx C e2y .sen 3x/ 3 dx D D .sen 3y/e2x C e2y . cos 3x/ C h.y/ ) ) f .x; y/ D e2x sen 3y e2y cos 3x C h.y/: (2.4)
  • 7.
    2.6 Ecuaciones diferencialesexactas 7 Derivamos con respecto a y: @f @y D e2x .cos 3y/3 .cos 3x/2e2y C h0 .y/: Utilizamos la condición @f @y D N para despejar h0 .y/: 3e2x cos 3y 2e2y cos 3x C h0 .y/ D 3e2x cos 3y 2e2y cos 3x ) h0 .y/ D 0: Integrando se obtiene: h.y/ D C1: Sustituimos h.y/ en (2.4) para obtener: f .x; y/ D e2x sen 3y e2y cos 3x C C1: Por lo tanto, la solución general de la ecuación diferencial exacta es: f .x; y/ D C2 ) e2x sen 3y e2y cos 3x C C1 D C2 ) ) e2x sen 3y e2y cos 3x D C: Ejemplo 2.6.6 Resolver la ED: .yexy C 2x 1/ dx C .xexy 2y C 1/ dy D 0. H Verificamos que la ED es exacta: M D yexy C 2x 1 ) My D y.exy x/ C exy .1/ D exy .xy C 1/ N D xexy 2y C 1 ) Nx D x.exy y/ C exy .1/ D exy .xy C 1/ « ) My D Nx ) la ED es exacta. Entonces existe una función f .x; y/ tal que @f @x D M & @f @y D N: Partimos de @f @y D N e integramos con respecto a y: y @f @y dy D y N dy ) f .x; y/ D y N dy D y .xexy 2y C 1/ dy D y .exy x 2y C 1/ dy ) ) f .x; y/ D exy y2 C y C h.x/: (2.5) Derivamos con respecto a x: @f @x D @ @x Œexy y2 C y C h.x/ D exy y C h0 .x/: Utilizamos la condición @f @x D M para despejar h0 .x/: yexy C h0 .x/ D yexy C 2x 1 ) h0 .x/ D 2x 1: Integrando se obtiene: h.x/ D .2x 1/ dx D x2 x C C1:
  • 8.
    8 Ecuaciones diferencialesordinarias Sustituimos h.x/ en (2.5) para obtener: f .x; y/ D exy y2 C y C x2 x C C1: Por lo tanto, la solución general de la ecuación diferencial exacta es: f .x; y/ D C2 ) exy y2 C y C x2 x C C1 D C2 ) ) exy y2 C y C x2 x D C: Ejemplo 2.6.7 Determinar el valor de la constante k de modo que resulte exacta la siguiente ecuación diferencial: .kx2 y C ey / dx C .x3 C xey y/ dy D 0: H Para esta ED se tiene: M D kx2 y C ey ) My D kx2 C ey : N D x3 C xey y ) Nx D 3x2 C ey : La ecuación diferencial es exacta si se cumple My D Nx ) kx2 C ey D 3x2 C ey ) kx2 D 3x2 ) k D 3: Por lo tanto la ecuación diferencial es exacta cuando k D 3. Ejemplo 2.6.8 Obtener alguna función M.x; y/ de modo que la siguiente ecuación diferencial sea exacta: M.x; y/ dx C .x3 C xey y/ dy D 0: H Partimos del conocimiento de la función N.x; y/: N D x3 C xey y ) Nx D 3x2 C ey : La ecuación diferencial es exacta si cumple: My D Nx ) @M @y D 3x2 C ey : Entonces, integrando esta última expresión se tiene: y @M @y dy D y .3x2 C ey / dy ) M.x; y/ D y .3x2 C ey / dy D 3x2 y C ey C h.x/: Donde h.x/ es cualquier función de x, esto es, que no dependa de y. M.x; y/ podría ser, entre otras funciones: M.x; y/ D 3x2 y C ey C arctan xI donde h.x/ D arctan x: M.x; y/ D 3x2 y C ey C x ln xI donde h.x/ D x ln x: M.x; y/ D 3x2 y C ey C CI donde h.x/ D C: Ejemplo 2.6.9 Determinar alguna función N.x; y/ de modo que la siguiente ecuación diferencial sea exacta: .y2 cos x 3x2 y 2x/ dx C N.x; y/ dy D 0:
  • 9.
    2.6 Ecuaciones diferencialesexactas 9 H Partimos del conocimiento de la función M.x; y/: M D y2 cos x 3x2 y 2x ) My D 2y cos x 3x2 : La ecuación diferencial es exacta si cumple: My D Nx ) @N @x D 2y cos x 3x2 : Entonces, integrando: x @N @x dx D x .2y cos x 3x2 / dx ) N.x; y/ D x .2y cos x 3x2 / dx D 2y sen x x3 C h.y/: Donde h.y/ es cualquier función de y, esto es, depende de x. N.x; y/ podría ser, entre otras funciones, cualquiera de las siguientes: N.x; y/ D 2y sen x x3 C ln yI donde h.y/ D ln y: N.x; y/ D 2y sen x x3 yey I donde h.y/ D yey : N.x; y/ D 2y sen x x3 C CI donde h.y/ D C: Ejemplo 2.6.10 Resolver el siguiente PVI: 3y2 C 2y sen2x D  cos 2x 6xy 4 1 C y2 à y 0 I con y.0/ D 1: H Primero obtenemos la solución general de la ecuación diferencial y luego aplicamos la condición inicial: 3y2 C 2y sen 2x D  cos 2x 6xy 4 1 C y2 à y 0 ) ) 3y2 C 2y sen 2x D  cos 2x 6xy 4 1 C y2 à dy dx ) ) .3y2 C 2y sen2x/ dx  cos 2x 6xy 4 1 C y2 à dy D 0 ) ) .3y2 C 2y sen2x/ dx C  6xy cos 2x C 4 1 C y2 à dy D 0: Tenemos entonces: M D 3y2 C 2y sen 2x ) My D 6y C 2 sen 2x N D 6xy cos 2x C 4 1 C y2 ) Nx D 6y C 2 sen 2x « ) My D Nx ) la ED es exacta ) ) Existe una función f .x; y/ tal que @f @x D M & @f @y D N: Partimos de @f @x D M e integramos con respecto a x: x @f @x dx D x M dx ) f .x; y/ D x M dx D x .3y2 C 2y sen2x/ dx D 3y2 x C y. cos 2x/ C h.y/ ) ) f .x; y/ D 3y2 x C y. cos 2x/ C h.y/: (2.6) Derivamos con respecto a y: @f @y D @ @y Œ3y2 x C y. cos 2x/ C h.y/ D 6xy cos 2x C h0 .y/:
  • 10.
    10 Ecuaciones diferencialesordinarias Utilizamos la condición @f @y D N para despejar h0 .y/: 6xy cos 2x C h0 .y/ D 6xy cos 2x C 4 1 C y2 ) h0 .y/ D 4 1 C y2 : Integrando se obtiene: h.y/ D 4 1 C y2 dy D 4 arctany C C1: Sustituimos h.y/ en (2.6) para obtener: f .x; y/ D 3xy2 y cos 2x C 4 arctan y C C1: Por lo tanto, la solución general de la ecuación diferencial exacta es: f .x; y/ D C2 ) 3xy2 y cos 2x C 4 arctan y C C1 D C2 ) ) 3xy2 y cos 2x C 4 arctan y D C: Finalmente se aplica la condición inicial: y.0/ D 1 ) y D 1 & x D 0: 3.0/12 1 cos 0 C 4 arctan 1 D C ) 0 1 C 4 4 Á D C ) C D 1: Por lo tanto la solución del PVI es: 3xy2 y cos 2x C 4 arctan y D 1: Ejemplo 2.6.11 Resolver la ED: y cos x C 2xey C 1 C .sen x C x2 ey C 2y 3/y 0 D 0. H Se tiene que: .y cos x C 2xey C 1/ dx C .sen x C x2 ey C 2y 3/ dy D 0: (2.7) Entonces M D y cos x C 2xey C 1 ) My D cos x C 2xey N D senx C x2 ey C 2y 3 ) Nx D cos x C 2xey « ya que My D Nx; entonces (2.7) es una ED exacta. Por lo tanto, existe f .x; y/ tal que fx D M & fy D N . Partiendo de: fx D M D y cos x C 2xey C 1: Integrando con respecto a x: x fx dx D x M dx ) ) f .x; y/ D x M dx D x .y cos x C 2xey C 1/ dx D y x cos x dx C 2ey x dx C dx ) ) f .x; y/ D y sen x C x2 ey C x C h.y/: (2.8) Derivando parcialmente con respecto a y: fy D sen x C x2 ey C h0 .y/: Utilizando la condición fy D N para despejar h0 .y/: fy D N D senx C x2 ey C 2y 3:
  • 11.
    2.6 Ecuaciones diferencialesexactas 11 Se obtiene: senx C x2 ey C h0 .y/ D senx C x2 ey C 2y 3 ) ) h0 .y/ D 2y 3: Integrando: h.y/ D y2 3y C C1: Sustituyendo h.y/ en (2.8), obtenemos: f .x; y/ D y senx C x2 ey C x C y2 3y C C1: Entonces la solución general de la ED dada, es: f .x; y/ D C2 ) ) y senx C x2 ey C x C y2 3y C C1 D C2 ) ) y sen x C x2 ey C x C y2 3y D C: Ejemplo 2.6.12 Resolver el PVI: .2xy C 2y2 e2x senx/ dx C .x2 C 2ye2x C ln y/ dy D 0I con y.0/ D 1. H Se tiene: M D 2xy C 2y2 e2x sen x ) My D 2x C 4ye2x N D x2 C 2ye2x C ln y ) Nx D 2x C 4ye2x « ) My D Nx entonces la ED es exacta. Por lo tanto existe f .x; y/, tal que fx D M & fy D N . Partiendo de fy D N D x2 C 2ye2x C ln y: Integrando con respecto a y: y fy dy D y N dy ) ) f .x; y/ D y N dy D y .x2 C 2ye2x C ln y/ dy D x2 dy C 2e2x y dy C ln y dy ) ) f .x; y/ D x2 y C y2 e2x C y ln y y C h.x/: (2.9) Derivando parcialmente con respecto a x: fx D 2xy C 2y2 e2x C h0 .x/: Utilizando la condición fx D M, para despejar h0 .x/, se tiene que: 2xy C 2y2 e2x C h0 .x/ D 2xy C 2y2 e2x senx ) ) h0 .x/ D senx ) ) h.x/ D cos x C C1: Sustituyendo h.x/ en (2.9) se obtiene: f .x; y/ D x2 y C y2 e2x C y ln y y C cos x C C1; entonces la solución general de la ED, es: f .x; y/ D C2 ) ) x2 y C y2 e2x C y ln y y C cos x C C1 D C2 ) ) x2 y C y2 e2x C y ln y y C cos x D C:
  • 12.
    12 Ecuaciones diferencialesordinarias Considerando que la condición inicial y.0/ D 1 ) x D 0 & y D 1, se obtiene: 02 1 C 12 e0 C 1 ln.1/ 1 C cos.0/ D C ) 0 C 1 C 0 1 C 1 D C ) C D 1: Por lo tanto, la solución del PVI es: x2 y C y2 e2x C y ln y y C cos x D 1: Ejemplo 2.6.13 Resolver la ED: dy dx D ax C by bx C cy I con a; b & c constantes. H dy dx D ax C by bx C cy ) .bx C cy/ dy D .ax C by/ dx ) ) .ax C by/ dx C .bx C cy/ dy D 0: Se tiene entonces: M D ax C by ) My D b N D bx C cy ) Nx D b ) My D Nx ) la ED es exacta. Entonces existe f .x; y/ tal que fx D M & fy D N . De fx D M se obtiene al integrar: f .x:y/ D x M dx D x .ax C by/ dx D a x2 2 C byx C h.y/: (2.10) Derivando parcialmente con respecto a y: fy D bx C h0 .y/: Utilizando la condición fy D N , para despejar h0 .y/, se tiene que: bx C h0 .y/ D bx C cy ) h0 .y/ D cy ) ) h.y/ D c y2 2 C K1: Sustituyendo h.y/ en (2.10), obtenemos: f .x; y/ D 1 2 ax2 C bxy C 1 2 cy2 C K1: Entonces la solución general de la ecuación diferencial es: 1 2 ax2 C bxy C 1 2 cy2 C K1 D K2 ) ax2 C 2bxy C cy2 C 2K1 D 2K2 ) ) ax2 C 2bxy C cy2 D K: Ejemplo 2.6.14 Resolver la ED: .ex seny 2y senx/ dx C .ex cos y C 2 cos x/ dy D 0. H Se tiene: M D ex sen y 2y sen x ) My D ex cos y 2 senx N D ex cos y C 2 cos x ) Nx D ex cos y 2 senx « ) My D Nx ) la ED es exacta.
  • 13.
    2.6 Ecuaciones diferencialesexactas 13 Entonces existe f .x; y/ tal que fx D M & fy D N . De fy D N se obtiene al integrar con respecto a y: f .x; y/ D y N dy D y .ex cos y C 2 cos x/ dy D ex seny C 2y cos x C h.x/ ) ) f .x; y/ D ex seny C 2y cos x C h.x/: (2.11) Derivando parcialmente con respecto a x: fx D ex seny 2y senx C h0 .x/: Utilizando que fx D M para despejar h0 .x/ se tiene: ex sen y 2y sen x C h0 .x/ D ex seny 2y senx ) h0 .x/ D 0 ) ) h.x/ D C1: Sustituyendo h.x/ en (2.11), se obtiene: f .x; y/ D ex seny C 2y cos x C C1: Por lo tanto la solución general es: f .x; y/ D C2 ) ex sen y C 2y cos x C C1 D C2 ) ) ex sen y C 2y cos x D C: Ejemplo 2.6.15 Resolver la ED: .yexy cos 2x 2exy sen 2x C 2x/ dx C .xexy cos 2x 3/ dy D 0. H Se tiene: M D yexy cos 2x 2exy sen 2x C 2x ) My D .yxexy C exy / cos 2x 2xexy sen 2x N D xexy cos 2x 3 ) Nx D .xyexy C exy / cos 2x 2xexy sen2x « ) ) My D Nx ) la ED es exacta. Entonces existe f .x; y/ tal que fx D M & fy D N . Integrando con respecto a y la última igualdad: f .x; y/ D y N dy D y .xexy cos 2x 3/ dy D cos 2x y exy x dy 3 dy ) ) f .x; y/ D exy cos 2x 3y C h.x/: (2.12) Derivando con respecto a x e igualando a M: fx D 2exy sen2x C yexy cos 2x C h0 .x/I M D yexy cos 2x 2exy sen 2x C 2xI 2exy sen 2x C yexy cos 2x C h0 .x/ D yexy cos 2x 2exy sen 2x C 2x: Entonces, despejando h0 .x/ e integrando: h0 .x/ D 2x ) h.x/ D x2 C C1: Sustituyendo h.x/ en (2.12), obtenemos: f .x; y/ D exy cos 2x 3y C x2 C C1: Por lo tanto, la solución general de la ED es: f .x; y/ D C2 ) exy cos 2x 3y C x2 D C:
  • 14.
    14 Ecuaciones diferencialesordinarias Ejercicios 2.6.1 Ecuaciones diferenciales exactas. Soluciones en la página 15 Resolver las siguientes ecuaciones diferenciales exactas. 1. .3x2 C 2xy2 2x/ dx C .3y2 C 2x2 y 2y/ dy D 0. 2. .2xy e2y / dx C .x2 C xe2y y/ dy D 0. 3.  y sen x C seny C 1 x à dx C  x cos y cos x C 1 y à dy D 0. 4. .4x3 y C y3 2x/ dx C .x4 C 3xy2 3y2 / dy D 0. 5. .y cos x C 2xey x/ dx C .y C sen x C x2 ey / dy D 0. 6. .ex sen y C 2y senx 2x/ dx C .ex cos y 2 cos x C 2y/ dy D 0. 7. .4x3 C 4xy 1/ dx D .1 2x2 2y/ dy. 8. .y ln x C y/ dx C .x ln x ey / dy D 0. 9. Œy sec 2 .xy/ C senx dx C Œx sec 2 .xy/ C sen y dy D 0. 10.  1 y sen  x y à y x2 cos y x Á C 1 à dx C  1 x cos y x Á x y2 sen  x y à C 1 y2 à dy D 0. 11.  yey C x x2 C y2 à y 0 D y x2 C y2 xex . 12. .y sen.2x/ 2y C 2y2 exy2 / dx .2x sen 2 x 4xyexy2 / dy D 0. 13. .2xy e3y / dx C .x2 kxe3y 3y2 / dy D 0. Resolver los siguientes PVI. 14. y2 cos x 3x2 y 2x dx C 2y senx x3 C ln y dy D 0 con y.0/ D e 15. .y C xex C 2/ dx C .x C ey/ dy D 0 con y.1/ D 0. 16. .ey senx C tan y/ dy ey cos x x sec 2 y dx D 0 con y.0/ D 0. 17.  x C y 1 C x2 à dx C .y C arctan x/ dy D 0 con y.0/ D 1. 18. Determinar los valores de las constantes A y B que hacen exacta a la ecuación diferencial: y3 y2 sen x 2x dx C Axy2 C By cos x 3y2 dy D 0: 19. Obtener una función M.x; y/ de modo tal que sea exacta la ecuación diferencial: M.x; y/ dx C .ex cos y C 2 cos y/ dy D 0: 20. Obtener una función N.x; y/ de modo tal que sea exacta la ecuación diferencial: N.x; y/ dy C  x2 y2 x2y 2x à dx D 0:
  • 15.
    2.6 Ecuaciones diferencialesexactas 15 Ejercicios 2.6.1 Ecuaciones diferenciales exactas.Soluciones, página 14 1. x3 C x2 y2 x2 y2 C y3 D C 2. La ED no es exacta. 3. x sen.y/ y cos.x/ C ln j xy j D C. 4. x4 y C xy3 x2 y3 D C. 5. 2y sen.x/ C 2x2 ey x2 y2 D C. 6. ex sen.y/ 2y cos.x/ C y2 x2 D c 7. x4 C 2x2 y C y2 x y D c 8. xy ln.x/ ey D c 9. tan.xy/ cos.x/ cos.y/ D c 10. sen y x Á cos  x y à C x 1 y D C 11. ex xex C ey yey C arctan  x y à D c 12. 2exy2 2xy 1 2 y cos.2x/ C y 2 D c 13. La ED será exacta si k D 3 14. y2 sen.x/ C y ln jy j D x3 y C x2 C y 15. xy C ey C xex ex C 2x D 3 16. ey cos.x/ x tan.y/ D 1 17. y2 C 2y arctan.x/ C ln.1 C x2 / D 1 18. La ED será exacta si A D 3 y B D 2 19. M.x; y/ D ex sen.y/ C k.x/, donde k.x/ es cualquier función de x con derivada continua. 20. N.x; y/ D y2 x2 xy2 C k.y/ Donde k(y) es cualquier función de y con derivada continua.
  • 16.
  • 17.
    Tema 6: Ecuacionesdiferenciales exactas de primer orden 6.1 Definición Una e.d. (1) M(x,y) dx + N(x,y) dy = 0 Es exacta si existe una función g(x,y) tal que (2) dg(x,y) = M(x,y) dx + N(x,y) dy Prueba de exactitud: Si M(x,y) y N(x,y) son funciones continuas y tienen primeras derivadas parciales continuas en algún rectángulo del plano xy, entonces (1) es exacto si, y solamente si, (3) ( ) ( ) x y,xN y y,xM ∂ ∂ = ∂ ∂ Ejemplo 1. En la e.d. 2xy dx + (1 + x2 ) dy = 0, se tiene M(x,y) = 2xy y N(x,y) = 1 + x2 . Como x x N y M 2= ∂ ∂ = ∂ ∂ , la ecuación diferencial es exacta. 6.2 Método de solución Para resolver (1), asumiendo que es exacta, primero se resuelven las ecuaciones (4) ( ) ( )y,xM x y,xg = ∂ ∂ (5) ( ) ( )y,xN y y,xg = ∂ ∂ para g(x,y). La solución de (1) se da implícitamente por: (6) g(x,y) = C donde C representa una constante arbitraria. La ecuación (6) es inmediata de (1) y (2). De hecho, si (2) se sustituye en (1), se obtiene dg(x,y(x)) = 0. Integrando esta ecuación (nótese que puede escribirse 0 como dx), se tiene: (7) ( )( ) ∫∫ = dxxy,xdg 0 que a su vez implica (6). Problemas resueltos 1. Resolver 2xy dx +(1 + x2 )dy = 0 Solución: Esta ecuación es exacta. Ahora determinamos una función g(x,y) que satisface a (4) y (5). Sustituyendo M(x,y) = 2xy en (4), obtenemos xy x g 2= ∂ ∂ . Integrando ambos lados de la ecuación con respecto de x encontramos:
  • 18.
    ( ) (yhyxy,xg xydxdx x g += = ∂ ∂ ∫∫ 2 2 ) Nota:al integrar con respecto de x, la constante (con respecto de x) de integración puede depender de y. Ahora determinamos h(y). Derivando (1) con respecto de y, obtenemos )y('hx x g += ∂ ∂ 2 Sustituyendo esta ecuación, junto con N(x,y) = 1 + x2 en (5), tenemos x2 + h’(y) = 1 + x2 h’(y) = 1 Integrando esta última ecuación con respecto de y, se obtiene h(y) = y + C1 (C1 = constante). Sustituyendo esta expresión en (1) tenemos ( ) 1 2 Cyyxy,xg ++= La solución de esta ecuación diferencial, que está dada implícitamente por (6) como g(x,y) = C, es 12 2 2 CCC Cyyx −= =+ Resolviendo explícitamente para y obtenemos la solución como 12 2 + = x C y 2. Resolver (x + sen y)dx + (x cos y – 2y) dy = 0 Solución: En este caso M(x,y) = x + sen y, y N(x,y) = x cos y – 2y. Entonces ycos x N y M = ∂ ∂ = ∂ ∂ , y la e.d. es exacta. Ahora buscamos una función g(x,y) que satisfaga (4) y (5). Sustituyendo M(x,y) en (4), obtenemos ysenx x g += ∂ ∂ . Integrando ambos lados de esta ecuación con respecto de x, encontramos ( ) ( ) ( )yhxsenyxy,xg dxsenyxdx x g ++= += ∂ ∂ ∫∫ 2 2 1 Para encontrar h(y), derivamos (1) con respecto a y, obteniendo ( )y'hycosx x g += ∂ ∂ , y después sustituyendo este resultado junto con N(x,y) = x cos y – 2y en (5), encontramos: x cos y + h’(y) = x cos y – 2y h’(y) = – 2y de lo cual se sigue que h(y) = –y2 + C1. Sustituyendo este h(y) en (1) se obtiene ( ) 1 22 2 1 Cyxsenyxy,xg +−++= La solución de la ecuación diferencial está dada implícitamente por (6) como 2 22 2 1 Cyxsenyx =−+ (C2 = C – C1) 3. Resolver (xy + x2 ) dx + (– 1) dy = 0 Solución:
  • 19.
    Aquí, M(x,y) =xy + x2 y N(x,y) = – 1; entonces 12 −= ∂ ∂ += ∂ ∂ x N ,xxy y M , entonces 0= ∂ ∂ = ∂ ∂ x N ,x y M . Como x N y M ∂ ∂ ≠ ∂ ∂ , la ecuación NO es exacta y el método visto aquí no es aplicable. 4. Resolver xy xy xey ye 'y − + = 2 2 Solución: Escribiendo esta ecuación en forma diferencial: (2 + yexy ) dx + (xexy –2y) = 0 Aquí M(x,y) = 2 + yexy y N(x,y) = xexy –2y y, como xyxy xyee x N y M += ∂ ∂ = ∂ ∂ , la e.d. es exacta. Sustituyendo M(x,y) en (4), encontramos xy ye x g += ∂ ∂ 2 ; luego, integrando con respecto a x, obtenemos ( ) ( ) (yhexy,xg dxyedx x g xy xy ++= += ∂ ∂ ∫∫ 2 2 ) Para encontrar h(y) primero derivamos (1) con respecto a y, obteniendo ( )y'hxe y g xy += ∂ ∂ ; después reemplazamos este resultado junto con N(x,y) en (5): xexy + h’(y) = xexy – 2y h’(y) = – 2y De donde h(y) = –y2 + C1. Sustituyendo esta h(y) en (1) obtenemos G(x,y) = 2x + exy – y2 + C1 La solución de la ecuación diferencial se da implícitamente por (6) como 2x + exy – y2 = C2 C2 = C – C1 5. Resolver 2 1 2 x xy 'y + − = , y(2) = – 5 La solución de la e.d. (escrita en forma diferencial se da en el problema 1 como . Usando la condición inicial, obtenemos (2) 2 2 Cyyx =+ 2 (–5) + (–5) = C2, o bien C2 = –25. La solución del problema de valor inicial es, por lo tanto ( )1 25 25 2 2 + − =−=+ x y,yyx Problemas suplementarios Hallar la exactitud de las siguientes e.d. y resolver todas las que sean exactas. 6. (2xy +x) dx + (x2 + y) dy = 0 2 222 2 1 2 1 Cyxyx =++
  • 20.
    7. (y +2xy3 ) dx + (1 + 3x2 y2 + x) dy = 0 xy + x2 y3 + y = C2 8. yexy dx + xexy dy = 0 exy = C2 9. xexy dx + yexy dy = 0 no exacta 10. 3x2 y2 dx + (2x3 y +4y3 ) dy = 0 x3 y2 + y4 = C2 11. y dx + x dy = 0 xy = C2 12. (x – y) dx + (x + y) dy = 0 no exacta 13. (y senx + xy cosx) dx + (x senx + 1) dy= 0 xy senx + y = C2
  • 21.
    Introducción: Si bienla ecuación simple de primer orden es separable, se puede resolver la ecuación de una manera alternativa reconociendo que la expresión del lado izquierdo de la igualdad es la diferencial de la función ; es decir, .En esta sección se examinarán ecuaciones de primer orden en la forma diferencial. Al aplicar una prueba simple a M y N, se determina si es una diferencial de una función . Si la respuesta es afirmativa, f se construye mediante integración parcial. 0=+ xdyydx xyyxf =),( xdyydxxyd +=)( 0),(),( =+ dyyxNdxyxM dyyxNdxyxM ),(),( + ),( yxf Sugerencias para el aprendizaje: El alumno deberá tener conocimiento y dominio de la diferenciación e integración parcial. Así mismo deberá tener dominio suficiente de cálculo de varias variables estudiadas en matemáticas III.
  • 22.
    Diferencial de unafunción de dos variables En el caso especial cuando , donde c es una constante, entonces la ecuación anterior significa que cyxf =),( En otras palabras, dada una familia uniparamétrica de funciones , se puede generar una ecuación diferencial de primer orden calculando la diferencial en ambos lados de la igualdad. cyxf =),( Por ejemplo: Si se tiene la siguiente función , entonces la ecuación (1) debe proporcionarnos la ED de primer orden. Es decir, cyxyx =+− 32 5 (1) 0)35()52( 2 =+−+− dyyxdxyx (2) Por supuesto, no toda ED de primer orden escrita en forma diferencial corresponde a una diferencial de . Así que resulta más conveniente invertir el problema anterior, es decir, si se tiene una ED de primer orden como la (2).¿Existe alguna forma de reconocer que la expresión diferencial s la diferencial ? En caso afirmativo, entonces una solución implícita de (2) es . Esta pregunta se contestará después de la ver la siguiente definición. 0),(),( =+ dyyxNdxyxM cyxf =),( dyyxdxyx )35()52( 2 +−+− )5( 32 yxyxd +− cyxyx =+− 32 5
  • 23.
    DEFINICIÓ DE ECUACIÓNEXACTA Una ecuación diferencial es una diferencial exacta en una región R del plano xy si corresponde a la diferencial de alguna función definida en R. Por tanto, una ED de primer orden de la forma Es una ecuación exacta si la expresión del lado izquierdo es una diferencial exacta. dyyxNdxyxM ),(),( + ),( yxf 0),(),( =+ dyyxNdxyxM CRITERIO PARA UNA DIFERENCIAL EXACTA
  • 24.
    MÉTODO DE SOLUCIÓNDE UNA ECUACIÓN EXACTA PASO: PASO: PASO:
  • 25.
    PASO: EJEMPLO 1: Resolverpor el método de las exactas la siguiente ED
  • 27.
    EJEMPLO 2: Hallarel valor de b para que sea exacta la siguiente ED y resolverla por el método de exactas. SOLUCIÓN:
  • 28.
    EJEMPLO 3: Resolverpor el método de las exactas la siguiente ED 0)1(2 2 =−+ dyxxydx SOLUCIÓN: Con , se tiene que:1),(2),( 2 −== xyxNyxyyxM x N x y M ∂ ∂ == ∂ ∂ 2 Que es una ecuación exacta y, por consiguiente, existe una función tal que:),( yxf 12 2 −= ∂ ∂ = ∂ ∂ x y f yxy x f Integrando la primera de estas dos ecuaciones se tiene: ∫ ∫ ∫∫ ∂=∂== ∂ ∂ xxyfxy x f 22 )(),( 2 ygyxyxf += Se saca la derivada parcial de la segunda expresión con respecto a y y luego se iguala el resultado con , se obtiene , despejando se obtiene: ),( yxN 1)( 22 −=′+= ∂ ∂ xygx y f )(yg′ yygyyg −=−=′ )(1)( Por consiguiente la solución de la ED en forma implícita es:yyxyxf −= 2 ),( cyyx =−2 O bien, la solución de la ED en forma explícita es: 11 12 <<− − = xpara x c y Nota:
  • 29.
    Definición: Una EDde primer orden se dice que no es exacta si sus derivadas parciales no cumplen con el criterio para una diferencial exacta. Es decir, su diferenciales parciales son diferentes: x N y M ∂ ∂ ≠ ∂ ∂ Definición de factor integrante (F.I.): Es aquel factor que al multiplicar las derivadas parciales de una ED no exacta la convierten en ED exacta, para luego resolverla con el método de las exactas: Factor integrante (F.I.): Sea la ED
  • 30.
    Ejemplos de algunasformas diferenciales que son exactas Ejemplos de algunas formas diferenciales que no son exactas Teorema del factor integrante (F.I.)
  • 31.
    Dos consideraciones importantespara obtener las ED generales por F.I. EJEMPLO 4: Obtener el F.I. de la siguiente ED no exacta y posteriormente resolverla por el método de las exactas. SOLUCIÓN: 1º Paso: Checar si la ED es exacta o no exacta No exacta
  • 32.
    2º Paso: Búsquedadel factor integrante (F. I.) para convertir la ED en exacta: Para esto es necesario realizar las dos consideraciones para ver cuál de las dos se puede factorizar y por ende produce un factor integrante: Factorizando se tiene: 3º Paso: Conversión de la ED no exacta en exacta
  • 33.
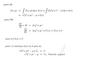
    4º Paso: Aplicaciónde los 4 pasos (i a iv) del método de solución de las ED exactas. Paso i): Comprobar si la ED es exacta Exacta Paso ii): Integrar con respecto a x, dejando a y constante Paso iii): Derivar con respecto a y la ecuación resultante en el paso ii Despejando g´(y) de la igualdad anterior, se tiene: Paso iv): Obtener la función g (y) Paso v): Sustitución del valor de g (y) en el paso ii Solución general: kccsiendocxyyx −==− 11 232 2
  • 34.
    EJEMPLO 5: Obtenerel F.I. de la siguiente ED no exacta y posteriormente resolverla por el método de las exactas. SOLUCIÓN:
  • 35.
    Aplicando las propiedadesde los logaritmos y exponenciales: Se tiene lo siguiente: xx e y y ce xy xy c = − − →= − − ))0(2( ))0(3( )2( )3( xx e y y ce y y c =→= − − )( )( )0( )0( ( ) xx ecec =→=1
  • 36.
    EJERCICIOS PARA LACARPETA INSTRUCCIONES: Resolver por el método de las exactas las siguientes ED 0)2cos2()cos( 22 =+−+− dyyxyxxedxxyye yy 3. 2. 1. INSTRUCCIONES: Obtener el F.I. de las siguientes ED no exactas y posteriormente resolverlas por el método de las exactas. 4. 5.