SISTEMAS LINEALES
 HOMOGENEOS
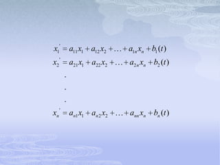
DEFINICION
 SE LLAMA SISTEMA LINEAL CON
  COEFICIENTES CONSTANTES AL SIGUIENTE
  SISTEMA DE ECUACIONES DIFERENCIALES DE
  PRIMER ORDEN:
x1'        a11 x1 a12 x2    a1n xn b1 (t )
x2 '       a21 x1 a22 x2    a2 n xn b2 (t )
       .
       .
       .
xn '       an1 x1 an 2 x2   ann xn bn (t )


    xi   xi (t),1 i   n
SISTEMAS Y ECUACIONES
             LINEALES
   TODA ECUACIÓN LINEAL DE COEFICIENTES
    CONSTANTES


        a0 y ( n )   a1 y ( n   1)
                                     an 1 y '   an y   b(t )

X '1          X2
                X '2          X3
                          .
                          .
                          .
               X 'n   1       Xn


       an       an 1               a1      b(t )
X 'n      X1         X2               Xn
       a0        a0                a0       a0





    X   AX B

   RESOLVIENDO ESTA ECUACIÓN Y
    HALLANDO LAS DEMÁS VARIABLES
    X j , j i SE TIENE RESUELTO EL SISTEMA.
    ESTE MÉTODO DE ELIMINACIÓN NO SE
    PUEDE SISTEMATIZAR Y PUEDE RESULTAR
    EN OCASIONES MUY COMPLICADO.
EJEMPLO 5 SECCION 8.1
   SOLUCION GENERAL DEL SISTEMA (6)
    EN EL EJEMPLO 2 VIMOS QUE

              1       2t        3 6t
         X1       e        X2     e
              1                 5
   SON SOLUCIONES LINEALMENTE
    INDEPENDIENTES DE (6) EN ( , ) ;
    POR LO TANTO, X 1 Y X 2 FORMAN UN
    CONJUNTO FUNDAMENTAL DE
    SOLUCIONESEN EL INTERVALO.
   EN CONSECUENCIA, LA SOLUCION
    GENERAL DEL SISTEMA EN EL INTERVALO
    ES
                                 1       2t        3
          X   c1 X1 c1 X1   c1       e        c2       e 6t
                                 1                 5
   SE VIO EN EL EJEMPLO 5 DE LA SECCION 8.1 QUE
    LA SOLUCION GENERAL DEL SISTEMA
    HOMOGENEO       X'
                       1 3
                           X
                       5 3
    ES:
                                1       2t        3
        X   c1 X1 c2 X 2   c1       e        c2       e6t
                                1                 5


    DEBIDO A QUE AMBOS VECTORES SOLUCION
    TIENEN LA FORMA
                          k1
                     Xi      e t , i 1, 2                   i

                          k2
DONDE k1 , k 2 , 1 Y 2 SON CONSTANTES,
SE MOTIVA A PREGUNTAR SIEMPRE SI SIEMPRE ES
POSIBLE ENCONTRAR UNA SOLUCION DE LA
FORMA                  k1
                  k2
                  .
              X
                  .
                       e   t
                               Ke   t
                                        (1)
                  .
                  kn



PARA EL SISTEMA LINEAL HOMOGENEO GENERAL
DE PRIMER ORDEN X ' AX        (2)
DONDE “A” ES UNA MATRIZ DE CONSTANTES n n
                                        .
DEMOSTRACION


         (A    )K   0
   LO PRIMERO ES DETERMINAR NUESTRA
    VARIABLE DEPENDIENTE QUE TENDRA LA
    FORMA SIGUIENTE:


               X     AX
   DE (1) OBTENEMOS QUE

                        t
              X    Ke

t
X   K e
   IGUALAMOS CON


               X        AX
    Y SUSTITUIMOS “X”
   QUEDANDO ASI


                   t         t
             K e       AKe
   DIVIDIMOS LA ECUACION ENTRE

                      t
                  e
   OBTENEMOS


                K   AK
   AGRUPANDO A UN LADO DE LA ECUCION
(A   )K   0
VALORES PROPIOS REALES
     Y DISTINTOS
TEOREMA 8.7
SOLUCION GENERAL, SISTEMAS
       HOMOGENEOS
   SEAN 1 , 2 , , n VALORES PROPIOS
    REALES Y DISTINTOS DE LA MATRIZ DE
    COEFICIENTES “A” DEL SISTEMA
    HOMOGENEO (2), Y SEAN K1 , K 2 , , K n LOS
    VECTORES PROPIOS CORRESPONDIENTES.
   ENTONCES LA SOUCION GENERAL DE (2)
    EN EL INTERVALO ( , ) ESTA DADA POR

                                                       nt
         X   c1 K1e 1t   c2 K 2e   2t
                                        ... cn K n e
VALORES PROPIOS
   REPETIDOS
   EN RESUMEN, NO TODOS LOS n VALORES
    PROPIOS 1 , 2 , , n DE UNA MATRIZ “A”
    n n DEBEN SER DISTINTOS; ES DECIR,
    QUE EN ALGUNOS CASOS LOS VALORES
    PROPIOS PODRIAN SER REPETIDOS.

        (   1 )m
                   (   1 )m   1




    2
   EXISTEN 2 CASOS IMPORTANTES PARA LOS
    VALORES PROPIOS REPETIDOS
PRIMER CASO
   PARA ALGUNAS MATRICES “A” DE n n
    PODRIA SER POSIBLE ENCONTRAR m
    VECTORES PROPIOS LINEALMENTE
    INDEPENDIENTES K1 , K 2 ,..., K m QUE
    CORRESPONDEN A UN VALOR PROPIO 1 DE
    MULTIPLICDAD m n.
   EN ESTE CASO, LA SOLUCION GENERAL
    DEL SISTEMA CONTIENE LA COMBINACION
    LINEAL

                  1t              1t                  1t
         c1 K1e        c2 K 2 e        ... cm K m e
SEGUNDO CASO
   SI SOLO HAY UN VECTOR PROPIO QUE
    CORRESPONDE AL VALOR PROPIO 1
    DE MULTIPLICIDAD m , ENTONCES SE
    PUEDE ENCONTRAR m SOLUCIONES
    LINEALMENTE INDEPENDIENTES DE LA
    FORMA
X1       K11e 1t
         X2       K 21te 1t   K 22 e 1t
              .
              .
              .
                        tm 1                     tm 2
         Xm       K m1        e 1t        Km2         e 1t   K mm e 1t
                       (m 1)!                 ( m 2)!



   DONDE K ij SON VECTORES COLUMNA.
VALORES PROPIOS
  COMPLEJOS
   SI 1      i Y 2               1 SON
                        i, > 0, i 2
    VALORES PROPIOS COMPLEJOS DE LA
    MATRIZ DE COEFICIENTES A, ENTONCES
    SE PUEDE ESPERAR DE HECHO QUE SUS
    VECTORES PROPIOS CORRESPONDIENTES
    TAMBIEN TENGAN ELEMENTOS
    COMPLEJOS.
TEOREMA 8.8
     SOLUCIONES
CORRESPONDIENTES A UN
   VALOR COMPLEJO





                1     i

           1t             1t
    K 1e            K1e
TEOREMA 8.9
 SOLUCIONES REALES QUE
CORRESPONDEN A UN VALOR
       COMPLEJO
   SEA 1     i UN VALOR PROPIO
    COMPLEJO DE LA MATRIZ DE
    COEFICIENTES “A” EN EL SISTEMA
    HOMOGENEO (2) Y SEAN B1 Y B2 LOS
    VECTORES COLUMNA DEFINIDOS EN:
1
        B1     ( K1 K1 )
             2

             i
       B2      ( K1 K1 )
             2



DONDE K1 Y K1 SON MATRICES.
   ENTONCES
                                        t
     X1   [ B1 cos( t ) B2 sen( t )]e
                                        t
                                            (23)
     X2   [ B2 cos( t ) B1sen( t )]e

    SON SOLUCIONES LINEALMENTE
    INDEPENDIENTES DE (2) EN ( , ) .
EJERCICIOS
   DETERMINE LA SOLUCION GENERAL PARA
    CADA SISTEMA
EJERCICIO 1

 dx
      x 2y
 dt
 dy
      4x 3y
 dt
   PRIMERO AGRUPAMOS DE LA SIGUIENTE
    FORMA
1 2
X         X
    4 3
   BUSCAMOS ENCONTRAR

                       1           2
         det( A   I)                   0
                           4   3
   Y OBTENEMOS



         (1   )(3   ) (4)(2) 0
   AL HACER EL PRODUCTO OBTENEMOS


              2
                  4   5 0
   POR MEDIO DE LA RESOLUCION DE
    ECUACIONES CUADRATICAS OBTENEMOS
    VALORES PARA LAMBDA. DETERMINAMOS
    QUE SON VALORES PROPIOS DISTINTOS.


                 1   5
                 2       1
   SUSTITUIMOS LAMBDA EN LA MATRIZ DE
    LA CUAL OBTUVIMOS EL DETERMINANTE
    Y FORMAMOS ECUACIONES QUE NOS
    PERMITEN ENCONTRAR K1 Y K 2 Y ASI
    OBTENEMOS
   PARA       5

           4       2   0
           4       2   0
   SUSTITUIMOS LA PRIMERA FILA EN LA
    SEGUNDA Y OBTENEMOS


                 4 2    0
                0   0   0
   OBTENEMOS UN SISTEMA CON INFINITAS
    SOLUCIONES


               4k1 2k2   0
   HACEMOS
                  k2   2

    Y OBTENEMOS
                  k1 1
   LUEGO SUSTITUIMOS

                     1

               2 2       0
               4 4       0
   SIMPLIFICANDO NOS QUEDA


               1 1    0
               0 0    0
   DE NUEVO OBTENEMOS UN SISTEMA CON
    INFINITAS SOLUCIONES


               k1 k2   0
   HACEMOS
                  k2   1

    Y OBTENEMOS
                  k1       1
   COMO


               k1
               k2
               .        t        t
           X        e       Ke
               .
               .
               kn
   HACEMOS

                   1
              K1
                   2

                   1
              K2
                   1
   ASI OBTENEMOS QUE


                      1
                 X1           e5 t
                      2

                          1          t
                 X2            e
                          1
   AHORA OBTENEMOS LA SOLUCION




                    1   5t        1       t
           X   c1       e    c2       e
                    2             1
EJERCICIO 2

  dx
       x    y z
  dt
  dy
       2y
  dt
  dz
       y z
  dt
   AGRUPAMOS

                1 1   1
           X    0 2   0 X
                0 1   1
   HACEMOS EL DETERMINANTE

                      1           1       1
        det( A   I)       0   2       0       0
                          0       1   1
   OBTENIENDO ASI



       det( A   I ) (1   )(2   )( 1   )
   COMO YA ESTA FACTORIZADO
    ENCONTRAMOS


                  1   1
                  2   2
                  3       1
   CON
            1

OBTENEMOS

                0 1   1
                0 1   0   0
                0 1   2
   DE TAL FORMA QUE
                 CUALQUIER VALOR DEBIDO A
           k 1   QUE SU COEFICIENTE ES CERO
                 POR COMODIDAD TOMAREMOS “1”


           k2 0
           k3 k2 0
   CON
            2

OBTENEMOS

                1 1     1
                0   0   0   0
                0   1   3
   NOS QUEDA EL SIGUIENTE SISTEMA DE
    ECUACIONES


                 k1 k2 k3   0
              0k1 0k2 0k3   0
               0k1 k2 3k3   0
   DEL CUAL OBTENEMOS


                k1        k 2 k3
                          1
                k3          k2
                          3

                     k1     2
                     k2     3
                     k3 1
   AHORA CON

                        1
    OBTENEMOS


                2 1         1
                0   3       0   0
                0   1       0
   OBTENEMOS EL SISTEMA DE ECUACIONES



              2k1 k2 k3   0
                    3k2   0
                     k2   0
   LAS SOLUCIONES

    k 3 PUEDE SER CUALQUIER VALOR POR
COMODIDAD USAMOS 2

                 k2   0
                 k3   2
                 k1   1
   AHORA NUESTRA SOLUCION



             1         2           1
      X   c1 0 et   c2 3 e 2t   c3 0 e   t


             0         1          2
EJERCICIO 3


  dx
       3X Y
  dt
  dy
       9X   3Y
  dt

3           1
Det A   I                   0
                9   3

Det A   I   3   3   9   1   0
2
9 3   3       9 0
2
    0
   HACIENDO
                 1   0

   SE OBTIENE
                 3K1 K 2     0
                 9 K1 3K 2   0






    3K1    K2

    K1 1 K 2   3
   ASI QUE UNA PARTE DE NUESTRA
    SOLUCIÓN GENERAL SERÁ

                    1       0t        1
             X C1       e        C1
                    3                 3
   AL SER DEL CASO DE “VALORES PROPIOS
    REPETIDOS” VALOR PROPIO DE
    MULTIPLICIDAD m A LA SOLUCIÓN

                            t
                  X    Ke
   PARA QUE NO SE DE UN RESULTADO
    REPETIDO LA TRABAJAREMOS CON

             (A      I )P    K

   OBTENIENDO

                 3K1 K 2 1
                 9 K1 3K 2   3

1       1
X2   C2       t
          3       2
   Y LA SOLUCIÓN FINAL SERIA



                      1        1       1
             X   C1       C2       t
                      3        3       2
EJERCICIO 4

  dx
       6X Y
  dt
  dy
       5X   2Y
  dt
6           1
Det a   I                   0
                5   2
6   2   5   1   0
2
    8   17 0

1   4 i
2   4 i
   SE SIGUE TRABAJANDO DE LA MISMA
    FORMA.
   SI   1   4 i



                    6   4 i    k1 k2    0
                   5k1 [2     4 i ]k2   0
   SE OBTIENE

             2 i k1 k2     0   (1)
            5k1   2 i k2   0    2





    2 i k1   k2



             k1 1   y k2   (2 i)
   Y NUESTRA PRIMERA PARTE DE LA
    SOLUCIÓN QUEDARÍA DE LA SIGUIENTE
    MANERA
   AHORA SI   2   4 i



           6   4 i    k1 k2   0   (3)
          5k1 [2     4 i k2   0   (4)
   SE OBTIENE

                 2 i k1 k2   0
             5k1    2 i k2   0





    2 i k1    k2




             k1 1   k2   (2 i )
   LOS k1 Y k 2 SON DE ESTA NUEVA
    ECUACIÓN NO CONFUNDIRLOS CON LA
    ANTERIOR.
   NUESTRA SEGUNDA PARTE DE LA
    SOLUCIÓN GENERAL NOS QUEDARÍA DE LA
    SIGUIENTE FORMA
   PERO YA QUE EN NUESTRA CLASE DE
    ECUACIONES DIFERENCIALES NO
    QUEREMOS QUE LAS SOLUCIONES NOS
    QUEDEN EXPRESADAS COMO NÚMEROS
    IMAGINARIO UTILIZAMOS LA ECUACIÓN DE
    EULER POR LO QUE SE ACONSEJA EXPRESAR
    UNA SOLUCIÓN EN TÉRMINOS DE
    FUNCIONES REALES.
   QUE QUEDA EXPRESADA DE LA SIGUIENTE
    MANERA

                                     t
           X1   B1cos t B2 sen t e
                                     t
           X2   B2cos t B1sen t e
   DONDE

                 1
            B1     ( K1 K1 )
                 2

                 i
            B2     ( K1 K1 )
                 2
1 0i   1            0
     k1                       i
              2 i    2            1




          1                           0
B1                       B2
          2                           1
1          1
K1         K1
     2 i        2 i
1             1    1     1
B1     ( K1 K1 )
     2             2   2 i   2 i
1 2
B1
     2 4



      1
B1
      2
i    1     1
B2
     2   2 i   2 i
i 0
B2
     2 2i
     0
B2
     4
   LA SOLUCION TIENE LA FORMA


            X    c1 X 1 c2 X 2
   LA CUAL OBTENEMOS A CONTINUACION




             1             0               4t        0             1
X       c1       cos(t )       sen(t ) e        c2       cos(t )       sen(t ) e 4t
             2             1                         1             2
cos(t )     0            4t          0       sen(t )
X   c1                        e        c2                        e 4t
         2cos(t )   sen(t )                 cos(t )   2sen(t )
   Y FINALMENTE LA SOLUCION



                 cos(t )            4t            sen(t )
    X   c1                      e        c1                      e 4t
             2cos(t ) sen(t )                 2sen(t ) cos(t )

Exposicion ecuaciones

  • 1.
  • 2.
    DEFINICION  SE LLAMASISTEMA LINEAL CON COEFICIENTES CONSTANTES AL SIGUIENTE SISTEMA DE ECUACIONES DIFERENCIALES DE PRIMER ORDEN:
  • 3.
    x1' a11 x1 a12 x2 a1n xn b1 (t ) x2 ' a21 x1 a22 x2 a2 n xn b2 (t ) . . . xn ' an1 x1 an 2 x2 ann xn bn (t )
  • 4.
    xi xi (t),1 i n
  • 5.
    SISTEMAS Y ECUACIONES LINEALES  TODA ECUACIÓN LINEAL DE COEFICIENTES CONSTANTES a0 y ( n ) a1 y ( n 1) an 1 y ' an y b(t )
  • 6.
  • 7.
    X '1 X2 X '2 X3 . . . X 'n 1 Xn an an 1 a1 b(t ) X 'n X1 X2 Xn a0 a0 a0 a0
  • 8.
    X AX B
  • 9.
  • 10.
    RESOLVIENDO ESTA ECUACIÓN Y HALLANDO LAS DEMÁS VARIABLES X j , j i SE TIENE RESUELTO EL SISTEMA. ESTE MÉTODO DE ELIMINACIÓN NO SE PUEDE SISTEMATIZAR Y PUEDE RESULTAR EN OCASIONES MUY COMPLICADO.
  • 11.
    EJEMPLO 5 SECCION8.1  SOLUCION GENERAL DEL SISTEMA (6) EN EL EJEMPLO 2 VIMOS QUE 1 2t 3 6t X1 e X2 e 1 5
  • 12.
    SON SOLUCIONES LINEALMENTE INDEPENDIENTES DE (6) EN ( , ) ; POR LO TANTO, X 1 Y X 2 FORMAN UN CONJUNTO FUNDAMENTAL DE SOLUCIONESEN EL INTERVALO.
  • 13.
    EN CONSECUENCIA, LA SOLUCION GENERAL DEL SISTEMA EN EL INTERVALO ES 1 2t 3 X c1 X1 c1 X1 c1 e c2 e 6t 1 5
  • 14.
    SE VIO EN EL EJEMPLO 5 DE LA SECCION 8.1 QUE LA SOLUCION GENERAL DEL SISTEMA HOMOGENEO X' 1 3 X 5 3 ES: 1 2t 3 X c1 X1 c2 X 2 c1 e c2 e6t 1 5 DEBIDO A QUE AMBOS VECTORES SOLUCION TIENEN LA FORMA k1 Xi e t , i 1, 2 i k2
  • 15.
    DONDE k1 ,k 2 , 1 Y 2 SON CONSTANTES, SE MOTIVA A PREGUNTAR SIEMPRE SI SIEMPRE ES POSIBLE ENCONTRAR UNA SOLUCION DE LA FORMA k1 k2 . X . e t Ke t (1) . kn PARA EL SISTEMA LINEAL HOMOGENEO GENERAL DE PRIMER ORDEN X ' AX (2) DONDE “A” ES UNA MATRIZ DE CONSTANTES n n .
  • 16.
  • 17.
    LO PRIMERO ES DETERMINAR NUESTRA VARIABLE DEPENDIENTE QUE TENDRA LA FORMA SIGUIENTE: X AX
  • 18.
    DE (1) OBTENEMOS QUE t X Ke
  • 19.
  • 20.
    t X K e
  • 21.
    IGUALAMOS CON X AX Y SUSTITUIMOS “X”
  • 22.
    QUEDANDO ASI t t K e AKe
  • 23.
    DIVIDIMOS LA ECUACION ENTRE t e
  • 24.
    OBTENEMOS K AK
  • 25.
    AGRUPANDO A UN LADO DE LA ECUCION
  • 26.
    (A )K 0
  • 27.
  • 28.
    TEOREMA 8.7 SOLUCION GENERAL,SISTEMAS HOMOGENEOS
  • 29.
    SEAN 1 , 2 , , n VALORES PROPIOS REALES Y DISTINTOS DE LA MATRIZ DE COEFICIENTES “A” DEL SISTEMA HOMOGENEO (2), Y SEAN K1 , K 2 , , K n LOS VECTORES PROPIOS CORRESPONDIENTES.
  • 30.
    ENTONCES LA SOUCION GENERAL DE (2) EN EL INTERVALO ( , ) ESTA DADA POR nt X c1 K1e 1t c2 K 2e 2t ... cn K n e
  • 31.
  • 32.
    EN RESUMEN, NO TODOS LOS n VALORES PROPIOS 1 , 2 , , n DE UNA MATRIZ “A” n n DEBEN SER DISTINTOS; ES DECIR, QUE EN ALGUNOS CASOS LOS VALORES PROPIOS PODRIAN SER REPETIDOS.
  • 33.
    ( 1 )m ( 1 )m 1 2
  • 34.
    EXISTEN 2 CASOS IMPORTANTES PARA LOS VALORES PROPIOS REPETIDOS
  • 35.
    PRIMER CASO  PARA ALGUNAS MATRICES “A” DE n n PODRIA SER POSIBLE ENCONTRAR m VECTORES PROPIOS LINEALMENTE INDEPENDIENTES K1 , K 2 ,..., K m QUE CORRESPONDEN A UN VALOR PROPIO 1 DE MULTIPLICDAD m n.
  • 36.
    EN ESTE CASO, LA SOLUCION GENERAL DEL SISTEMA CONTIENE LA COMBINACION LINEAL 1t 1t 1t c1 K1e c2 K 2 e ... cm K m e
  • 37.
    SEGUNDO CASO  SI SOLO HAY UN VECTOR PROPIO QUE CORRESPONDE AL VALOR PROPIO 1 DE MULTIPLICIDAD m , ENTONCES SE PUEDE ENCONTRAR m SOLUCIONES LINEALMENTE INDEPENDIENTES DE LA FORMA
  • 38.
    X1 K11e 1t X2 K 21te 1t K 22 e 1t . . . tm 1 tm 2 Xm K m1 e 1t Km2 e 1t K mm e 1t (m 1)! ( m 2)!  DONDE K ij SON VECTORES COLUMNA.
  • 39.
  • 40.
    SI 1 i Y 2 1 SON i, > 0, i 2 VALORES PROPIOS COMPLEJOS DE LA MATRIZ DE COEFICIENTES A, ENTONCES SE PUEDE ESPERAR DE HECHO QUE SUS VECTORES PROPIOS CORRESPONDIENTES TAMBIEN TENGAN ELEMENTOS COMPLEJOS.
  • 41.
    TEOREMA 8.8 SOLUCIONES CORRESPONDIENTES A UN VALOR COMPLEJO
  • 42.
    1 i 1t 1t K 1e K1e
  • 43.
    TEOREMA 8.9 SOLUCIONESREALES QUE CORRESPONDEN A UN VALOR COMPLEJO
  • 44.
    SEA 1 i UN VALOR PROPIO COMPLEJO DE LA MATRIZ DE COEFICIENTES “A” EN EL SISTEMA HOMOGENEO (2) Y SEAN B1 Y B2 LOS VECTORES COLUMNA DEFINIDOS EN:
  • 45.
    1 B1 ( K1 K1 ) 2 i B2 ( K1 K1 ) 2 DONDE K1 Y K1 SON MATRICES.
  • 46.
    ENTONCES t X1 [ B1 cos( t ) B2 sen( t )]e t (23) X2 [ B2 cos( t ) B1sen( t )]e SON SOLUCIONES LINEALMENTE INDEPENDIENTES DE (2) EN ( , ) .
  • 47.
  • 48.
    DETERMINE LA SOLUCION GENERAL PARA CADA SISTEMA
  • 49.
    EJERCICIO 1 dx x 2y dt dy 4x 3y dt
  • 50.
    PRIMERO AGRUPAMOS DE LA SIGUIENTE FORMA
  • 51.
    1 2 X X 4 3
  • 52.
    BUSCAMOS ENCONTRAR 1 2 det( A I) 0 4 3
  • 53.
    Y OBTENEMOS (1 )(3 ) (4)(2) 0
  • 54.
    AL HACER EL PRODUCTO OBTENEMOS 2 4 5 0
  • 55.
    POR MEDIO DE LA RESOLUCION DE ECUACIONES CUADRATICAS OBTENEMOS VALORES PARA LAMBDA. DETERMINAMOS QUE SON VALORES PROPIOS DISTINTOS. 1 5 2 1
  • 56.
    SUSTITUIMOS LAMBDA EN LA MATRIZ DE LA CUAL OBTUVIMOS EL DETERMINANTE Y FORMAMOS ECUACIONES QUE NOS PERMITEN ENCONTRAR K1 Y K 2 Y ASI OBTENEMOS
  • 57.
    PARA 5 4 2 0 4 2 0
  • 58.
    SUSTITUIMOS LA PRIMERA FILA EN LA SEGUNDA Y OBTENEMOS 4 2 0 0 0 0
  • 59.
    OBTENEMOS UN SISTEMA CON INFINITAS SOLUCIONES 4k1 2k2 0
  • 60.
    HACEMOS k2 2 Y OBTENEMOS k1 1
  • 61.
    LUEGO SUSTITUIMOS 1 2 2 0 4 4 0
  • 62.
    SIMPLIFICANDO NOS QUEDA 1 1 0 0 0 0
  • 63.
    DE NUEVO OBTENEMOS UN SISTEMA CON INFINITAS SOLUCIONES k1 k2 0
  • 64.
    HACEMOS k2 1 Y OBTENEMOS k1 1
  • 65.
    COMO k1 k2 . t t X e Ke . . kn
  • 66.
    HACEMOS 1 K1 2 1 K2 1
  • 67.
    ASI OBTENEMOS QUE 1 X1 e5 t 2 1 t X2 e 1
  • 68.
    AHORA OBTENEMOS LA SOLUCION 1 5t 1 t X c1 e c2 e 2 1
  • 69.
    EJERCICIO 2 dx x y z dt dy 2y dt dz y z dt
  • 70.
    AGRUPAMOS 1 1 1 X 0 2 0 X 0 1 1
  • 71.
    HACEMOS EL DETERMINANTE 1 1 1 det( A I) 0 2 0 0 0 1 1
  • 72.
    OBTENIENDO ASI det( A I ) (1 )(2 )( 1 )
  • 73.
    COMO YA ESTA FACTORIZADO ENCONTRAMOS 1 1 2 2 3 1
  • 74.
    CON 1 OBTENEMOS 0 1 1 0 1 0 0 0 1 2
  • 75.
    DE TAL FORMA QUE CUALQUIER VALOR DEBIDO A k 1 QUE SU COEFICIENTE ES CERO POR COMODIDAD TOMAREMOS “1” k2 0 k3 k2 0
  • 76.
    CON 2 OBTENEMOS 1 1 1 0 0 0 0 0 1 3
  • 77.
    NOS QUEDA EL SIGUIENTE SISTEMA DE ECUACIONES k1 k2 k3 0 0k1 0k2 0k3 0 0k1 k2 3k3 0
  • 78.
    DEL CUAL OBTENEMOS k1 k 2 k3 1 k3 k2 3 k1 2 k2 3 k3 1
  • 79.
    AHORA CON 1 OBTENEMOS 2 1 1 0 3 0 0 0 1 0
  • 80.
    OBTENEMOS EL SISTEMA DE ECUACIONES 2k1 k2 k3 0 3k2 0 k2 0
  • 81.
    LAS SOLUCIONES k 3 PUEDE SER CUALQUIER VALOR POR COMODIDAD USAMOS 2 k2 0 k3 2 k1 1
  • 82.
    AHORA NUESTRA SOLUCION 1 2 1 X c1 0 et c2 3 e 2t c3 0 e t 0 1 2
  • 83.
    EJERCICIO 3 dx 3X Y dt dy 9X 3Y dt
  • 84.
  • 85.
    3 1 Det A I 0 9 3
  • 86.
  • 87.
    Det A I 3 3 9 1 0
  • 88.
    2 9 3 3 9 0
  • 89.
    2 0
  • 90.
    HACIENDO 1 0  SE OBTIENE 3K1 K 2 0 9 K1 3K 2 0
  • 91.
  • 92.
    3K1 K2 K1 1 K 2 3
  • 93.
    ASI QUE UNA PARTE DE NUESTRA SOLUCIÓN GENERAL SERÁ 1 0t 1 X C1 e C1 3 3
  • 94.
    AL SER DEL CASO DE “VALORES PROPIOS REPETIDOS” VALOR PROPIO DE MULTIPLICIDAD m A LA SOLUCIÓN t X Ke
  • 95.
    PARA QUE NO SE DE UN RESULTADO REPETIDO LA TRABAJAREMOS CON (A I )P K  OBTENIENDO 3K1 K 2 1 9 K1 3K 2 3
  • 96.
  • 97.
    1 1 X2 C2 t 3 2
  • 98.
    Y LA SOLUCIÓN FINAL SERIA 1 1 1 X C1 C2 t 3 3 2
  • 99.
    EJERCICIO 4 dx 6X Y dt dy 5X 2Y dt
  • 100.
    6 1 Det a I 0 5 2
  • 101.
    6 2 5 1 0
  • 102.
    2 8 17 0
  • 103.
  • 104.
    1 4 i 2 4 i
  • 105.
    SE SIGUE TRABAJANDO DE LA MISMA FORMA.
  • 106.
    SI 1 4 i 6 4 i k1 k2 0 5k1 [2 4 i ]k2 0
  • 107.
    SE OBTIENE 2 i k1 k2 0 (1) 5k1 2 i k2 0 2
  • 108.
    2 i k1 k2 k1 1 y k2 (2 i)
  • 109.
    Y NUESTRA PRIMERA PARTE DE LA SOLUCIÓN QUEDARÍA DE LA SIGUIENTE MANERA
  • 110.
    AHORA SI 2 4 i 6 4 i k1 k2 0 (3) 5k1 [2 4 i k2 0 (4)
  • 111.
    SE OBTIENE 2 i k1 k2 0 5k1 2 i k2 0
  • 112.
    2 i k1 k2 k1 1 k2 (2 i )
  • 113.
    LOS k1 Y k 2 SON DE ESTA NUEVA ECUACIÓN NO CONFUNDIRLOS CON LA ANTERIOR.
  • 114.
    NUESTRA SEGUNDA PARTE DE LA SOLUCIÓN GENERAL NOS QUEDARÍA DE LA SIGUIENTE FORMA
  • 115.
    PERO YA QUE EN NUESTRA CLASE DE ECUACIONES DIFERENCIALES NO QUEREMOS QUE LAS SOLUCIONES NOS QUEDEN EXPRESADAS COMO NÚMEROS IMAGINARIO UTILIZAMOS LA ECUACIÓN DE EULER POR LO QUE SE ACONSEJA EXPRESAR UNA SOLUCIÓN EN TÉRMINOS DE FUNCIONES REALES.
  • 116.
    QUE QUEDA EXPRESADA DE LA SIGUIENTE MANERA t X1 B1cos t B2 sen t e t X2 B2cos t B1sen t e
  • 117.
    DONDE 1 B1 ( K1 K1 ) 2 i B2 ( K1 K1 ) 2
  • 118.
    1 0i 1 0 k1 i 2 i 2 1 1 0 B1 B2 2 1
  • 119.
    1 1 K1 K1 2 i 2 i
  • 120.
    1 1 1 1 B1 ( K1 K1 ) 2 2 2 i 2 i
  • 121.
    1 2 B1 2 4 1 B1 2
  • 122.
    i 1 1 B2 2 2 i 2 i
  • 123.
    i 0 B2 2 2i 0 B2 4
  • 124.
    LA SOLUCION TIENE LA FORMA X c1 X 1 c2 X 2
  • 125.
    LA CUAL OBTENEMOS A CONTINUACION 1 0 4t 0 1 X c1 cos(t ) sen(t ) e c2 cos(t ) sen(t ) e 4t 2 1 1 2
  • 126.
    cos(t ) 0 4t 0 sen(t ) X c1 e c2 e 4t 2cos(t ) sen(t ) cos(t ) 2sen(t )
  • 127.
    Y FINALMENTE LA SOLUCION cos(t ) 4t sen(t ) X c1 e c1 e 4t 2cos(t ) sen(t ) 2sen(t ) cos(t )