REPUBICA BOLIVARIANA DE VENEZUELA
UNIVERSIDAD POLITÉCNICA TERRITORIAL DE LARA "ANDRÉS ELOY BLANCO"
CATEDRA: MATEMATICA
EXPRESIONES ALGEBRAICAS, FACTORIZACIÓN Y RADICACIÓN
INTEGRANTES:
MARIALY CASTILLO
LUSBYN MORALES
Expresiones algebraicas:
Suma:
(2b2– 4c + 3a3) + (5a + 3b + c2) = 5a + 3a3+ 3b + 2b2– 4c + c2
(4x2+ 6y + 3y2) + (x – 3 x2+ y2) = x + x2+ 6y + 4y2
(2xy3) + (-3xy3) = -xy3
Resta:
(2x) – (2x2) = 2x – 2x2
(x + y + 2z2) – (–x + y + z2) = 2x + z2
(-2a3b4) – (-4a3b4) = 2a3b4
Valor numérico:
Calcular el valor numérico para X + 15 cuando X = 2:
X + 15 = 2 + 15 = 17
Calcular el valor numérico para X – 2Y3 cuando X = 10 y Y = 2:
X - 2Y3 = 10 - 2(2)3 = 10 - 2(8) = 10 - 16 = -6
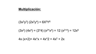
Multiplicación:
(3x3y2) (2x2y4) = 6X5Y6
(3x2) (4x4) = (3*4) (x2*x4) = 12 (x2+4) = 12x6
4x (x+2)= 4x*x + 4x*2 = 4x2 + 2x
División:
−20 / 4=−20 / +4 = ((−) / (+)) (20/4)
-15 / -3 = 5
16x4 / 6x2= (18 / 6) (x4 / x2) = 3x4-2 = 3x2
Productos notables:
Si a + b = √5 y ab = 3, calcular (a – b)2:
(a + b)2 – (a – b)2 = 4ab
Reemplazamos a + b = √5 y ab = 3:
(√5)2 – (a- b)2 = 4(3)
5 – (a – b)2 = 12 = - (a – b)2 = 12 – 5 = - (a – b)2 = 7 = (a – b)2 = -7
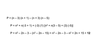
P = (n – 3) (n + 1) – (n + 3) (n – 5):
P = n2 + n(-3 + 1) + (-3) (1) [n2 + n(3 – 5) + (3) (-5)]
P = n2 – 2n – 3 – (n2 – 2n – 15) = n2 – 2n – 3 – n2 + 2n + 15 = 12
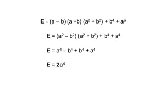
E = (a − b) (a +b) (a2 + b2) + b4 + aa
E = (a2 – b2) (a2 + b2) + b4 + a4
E = a4 – b4 + b4 + a4
E = 2a4
Factorización de productos notables:
9 +x2 + 6x = (x + 3)2
x4 – 4b2= (x2)2 – (2b)2 = (x2 + 2b) (x2 – 2b)
P(x) = x2 + 2x – 3
P(x) = x2 + 2x +1 – 4 = (x + 1)2 - 22
P(x) = (x + 1 + 2) (x + 1 – 2) = (x + 3) (x – 1)
BIBLIOGRAFIA
https://www.ejemplode.com/5-matematicas/4670-ejemplo_de_suma_algebraica.html
https://www.ejemplode.com/5-matematicas/4671-ejemplo_de_resta_algebraica.html
https://www.celeberrima.com/ejemplos-valor-numerico-de-una-expresion-algebraica/
https://matematicasn.blogspot.com/2015/12/factorizacion-por-productos-notables.html
https://www.matesfacil.com/ESO/polinomios/multiplicar-polinomios-binomios-trinomios-producto-multiplicacion-ejercicios-resueltos.html

Expresiones algebraicas