Transformada de Laplace
Prof. Andrés Roldán Aranda
amroldan ugr.es
http :   electronica.ugr.es               amroldan
15 03 2009

Estudio de la transformada de Laplace para su uso en el cálculo de las señales de salida de circuitos electrónicos.
El usuario debe ser capaz de calcula la Función de Transferencia en el Dominio de Laplace del circuito en cuestión.

       Transformada de Laplace
       Transformada Inversa de Laplace
       Ejemplos de funciones
       La función de Heaviside

                                                                                                       |
2    Transformada_Laplace.nb




Transformada de Laplace
Si estás utilizando Mathematica 3.0 debes cargar el módulo LaplaceTransform . No es necesario en Mathematica 4.0 y
superiores
          Solo si es necesario                    Calculus`LaplaceTransform`

La función LaplaceTransform                  devuelve la transformada de Laplace de la señal f t , pasando del dominio del tiempo al
dominio transformado de LAPLACE. [t s]
 [Para abrir el editor CTRL+9: Cerrar CTRL+0]

                                                                                 st
                                                       f t    F s          f t        t   con s    Σ    Ω
                                                                       0

Verifica las siguientes propiedades:

                   af t          bg t             aF s       bG s .

                   tf t                F' s

                   f t
                                       F Σ        Σ.
                       t           s


                   f' t          sF s         f 0

                   f '' t          s2 F s          sf 0      f' 0 .
                    at
                           f t         F s    a

          ? LaplaceTransform


    LaplaceTransform expr , t , s gives the Laplace transform of expr .
    LaplaceTransform expr , t1 , t2 , , s1 , s2 ,  gives the multidimensional Laplace transform of expr .

La transformada de Laplace no solo se aplica a IMPEDANCIAS sino también a señales, en este caso vamos a calcular la
transformada de: t t

          LaplaceTransform t Exp t , t, s

                   1
                           2
               1       s

La transformada de Laplace de la DERIVADA f ' t de una señal también se puede calcular:

          LaplaceTransform f ' t , t, s

           f 0             s LaplaceTransform f t , t, s

donde f 0              representa el valor de la función justo antes de llegar al valor t                   0.
Esto es muy interesante porque sabemos que para un condensador
          iC       C vc ' t ;

          IC       LaplaceTransform iC , t, s

          C s LaplaceTransform vc t , t, s                      vc 0

en el caso del condensador V c 0                         representa la tensión de carga inicial del condensador.
Si Vc t            A0 Sin 2 Π f t
Transformada_Laplace.nb   3




       vc t       A0 Sin 2 Π f t

       Sin 2 f Π t A0

       iC     C vc ' t

       2 C f Π Cos 2 f Π t A0

       IC     LaplaceTransform iC , t, s

       2 C f Π s A0
       4 f2 Π2    s2

Calcular:

            t Cos b t                    F' s

                                         d             s
                                         ds       s2        b2


                                         1 s2          b2             2s   0 s
                                                                      2
                                                           b2    s2


                                         s2       b2
                                                       2
                                         b2   s2

Calcular:

              sin t                           1
                                                           Σ
                 t                   s   Σ2       1

                             1   Σ
              Arctan
                             Σ   Σ s



                                                           1
                 Arctan 0                Arctan
                                                           s


                         1
            Arctan
                         s

                                                                                        |
4    Transformada_Laplace.nb




Transformada Inversa de Laplace
La función InverseLaplaceTransform calcula la Transformada Inversa de Laplace, trayendo la señal del dominio transfor-
mado de LAPLACE al dominio del tiempo otra vez. [s                                                   t

                                                                                             1        Σ   Ω
                                    1                                                                                 st
                                            F s                     f t                                       F s            s.
                                                                                             2Π      Σ    Ω


Mathematica puede calcular directamente la transformada inversa de la funcióna function for doing inverse Laplace
transforms.
          ? InverseLaplaceTransform


    InverseLaplaceTransform expr , s , t gives the inverse Laplace transform of expr .
    InverseLaplaceTransform expr , s1 , s2 ,  , t1 , t2 ,
        gives the multidimensional inverse Laplace transform of expr .

IMPORTANTE: Los valores devuelto por InverseLaplaceTransform[] únicamente son válidos para t                                          0.

                                                                                                               1
          señalDominioTiempo                        InverseLaplaceTransform                                         , s, t
                                                                                                               s2
          t

Este valor es válido únicamente para t                          0.

                            1       2s              3
          y1 t
                                    s2          1


                        1           2s                          3
                                s2          1           s2              1


                        1           2s                              1                   3
                                s2          1                                   s2          1


                            1               s                                   1                1
                    2                                               3
                                    s2          12                                          s2       12

                    2 cos t                 3 sin t

                            1                   s       5
          y2 t
                                     s      1           s       2


                        1           2                   1
                                s       1           s       2


                        1           2                           1               1
                                s       1                                   s       2


                            1           1                           1                   1
                    2
                                    s       1                                   s            2

                        t           2t
                    2

                                                                                                                                  |
Transformada_Laplace.nb   5




                                                                                                                                                      |




Ejemplos de Transformadas
                                                            a
Demostrar que        sinh a t                          s2        a2
                                                                      .

                                             1    at             1         a t,
      Dado que sinh a t                      2                   2
                                                                                  we obtain

                                                            1         at          1       at
                     sinh a t                               2                     2


                                                  1                   at              1                at
                                                  2                                   2


                                                  1 1                      1 1
                                                  2 s a                    2 s a

                                                       a
                                                  s2        a2

Calcular la Transformada de Laplace de f t                                                         eat usando la definición.

      Integrate Exp            s t Exp a t , t, 0,

                                         1                                        a s t
      If Re a        Re s ,                      , Integrate                                  , t, 0,        , Assumptions       Re a     s       0
                                        a    s

Calcular la Transformada de Laplace de f t                                                         eat usando la definición.

      Integrate Exp            s t Exp a t , t, 0,                                        , Assumptions            a       Reals, s    Reals

                      1                                     a s t
      If a      s,            , Integrate                                 , t, 0,                  , Assumptions       s    Reals && a    s
                     a    s

Calcular la Transformada de Laplace de f t                                                         sin t usando la definición.

      Integrate Exp            s t Sin t , t, 0,

                               1                                          st
      If Re s        0,                 , Integrate                            Sin t , t, 0,                 , Assumptions       Re s         0
                          1        s2

Calcular la Transformada de Laplace de f t                                                         sinh t usando la definición.

      Integrate Exp            s t Sinh a t , t, 0,
                                                                                          a
      If Re a        Re s           0 && Re a                Re s ,                                ,
                                                                                  a2          s2
                          st
       Integrate               Sinh a t , t, 0,                                , Assumptions                Re a   Re s         Re a      Re s            0

Calcular la Transformada Inversa de Laplace de f s
   1
       usando la librería de conversión.
  a s
                                                        1
      InverseLaplaceTransform                                         , s, t
                                                       a         s
       at


      Ejemplo : f t                sin t
6   Transformada_Laplace.nb




Calcular la Transformada de Laplace de f(t)=sin t
        LaplaceTransform Sin t , t, s

              1
         1        s2

                                                                                                     1
Calcular la Transformada Inversa de Laplace de F s
                                                                                                    1 s2

                                                          1
        InverseLaplaceTransform                                    , s, t
                                                      1       s2
        Sin t


Calcular las Transformadas de Laplace de cos(bt) y Exp[at]cos(bt)
        LaplaceTransform Cos b t , t, s
                 s
         b2          s2

        LaplaceTransform Exp a t Cos b t , t, s
                     a     s
                                 2
         b2            a    s

                                                                                              4
Calcular las Transformada Inversa de Laplace de                                           s^2 4 s 20

        InverseLaplaceTransform 4                             s^2      4 s   20 , s, t

             1             2 4       t       8    t
                                         1
             2
                                                                             ix
        Interesante aplicar la Fórmula de EULER e                                 cos x   i sin x

        FullSimplify

        Sin 4 t                 Cosh 2 t         Sinh 2 t
Transformada_Laplace.nb   7




       LaplaceTransform                  1, t, s
       LaplaceTransform                  Exp a t , t, s
       LaplaceTransform                  Cosh a t , t, s
       LaplaceTransform                  Sin w t , t, s
       LaplaceTransform                  Exp a t Sin w t , t, s
       LaplaceTransform                  t ^ 6, t, s
       LaplaceTransform                  t Sin w t , t, s
       1
       s
            1
           a        s
                s
           a2       s2
               w
       s2          w2
                    w
                        2
           a        s           w2

       720
        s7
               2sw
                            2
           s2       w2

       LaplaceTransform DiracDelta t 2 , t, s
       LaplaceTransform DiracDelta t a , t, s
       LaplaceTransform Exp t     1  t, t, s
           2s


           as
                   HeavisideTheta a

       Log s                Log 1    s

                                                                                   |




La Función de Heaviside
La función escalón o función de Heaviside se representa mediante UnitStep

       u x                  UnitStep x ;
8   Transformada_Laplace.nb




        Plot u x , x,             5, 5 , PlotRange                 1, 2 , AxesOrigin                     0.5`,    0.5`

                                     2.0


                                     1.5


                                     1.0


                                     0.5


                                     0.0



                4             2                0              2              4

                                     1.0

        Representar la siguente función en el dominio del tiempo : H t                                        Pi cos t :

        Plot u x       Π Cos x , x,                3, 15 , PlotRange                   1, 1.5` , AxesOrigin               0,   0.5`

                 1.5



                 1.0



                 0.5



                 0.0




                                        5                     10                       15


                 1.0

Calcular la         Transformada           Inversa       de        Laplace        de        esta        función   y      representarla   gráficamente
con
  1 t 4
                                                                                       3s   1      3s
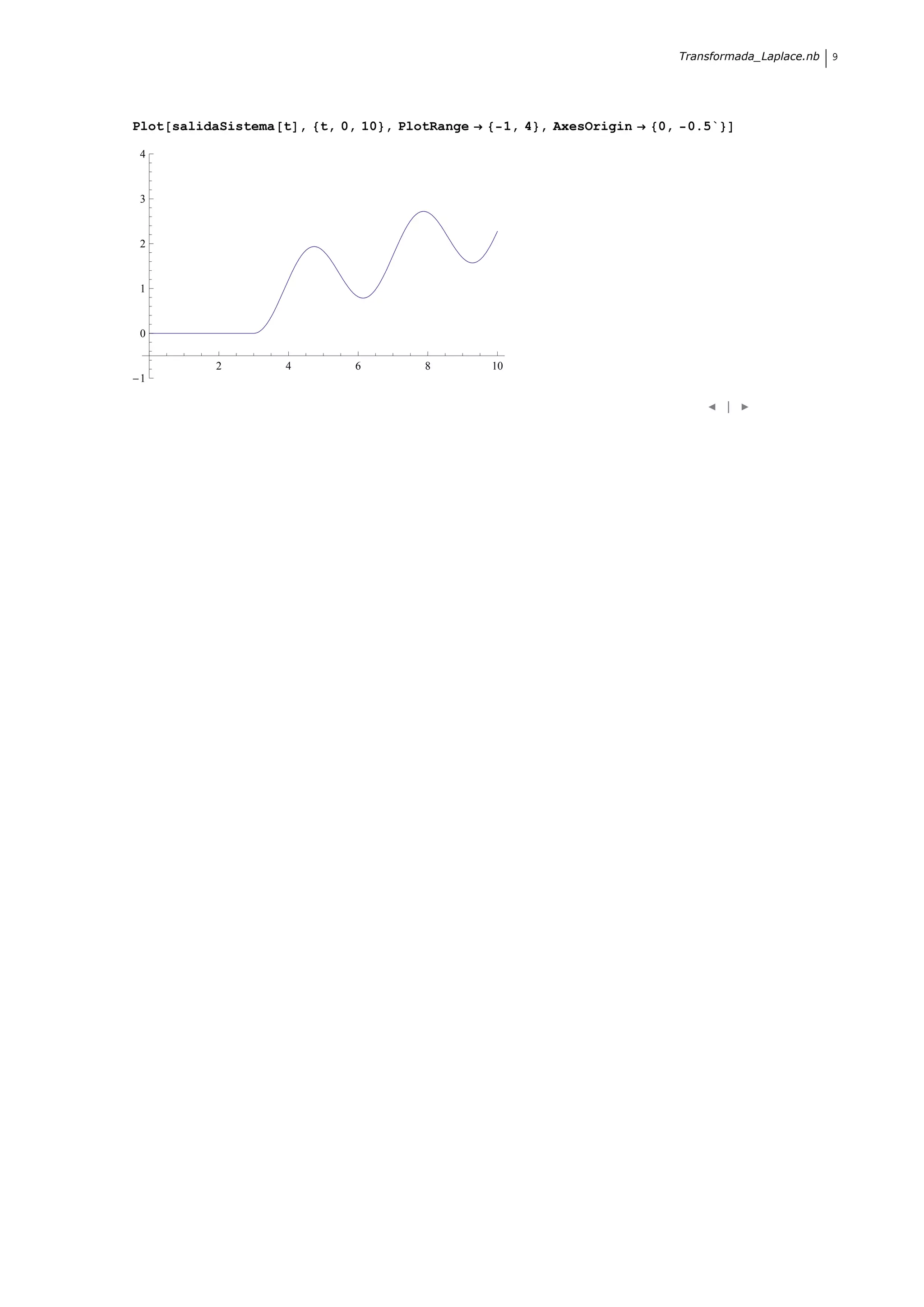
        salidaSistema t              InverseLaplaceTransform                                             , s, t
                                                                                   s2       4    s2

         1
             HeavisideTheta         3      t       2t   6 Cos 6      2t          Sin 6          2t
         8

Representar salidaSistema t
 con 1 t 4
Transformada_Laplace.nb   9




Plot salidaSistema t , t, 0, 10 , PlotRange        1, 4 , AxesOrigin   0,    0.5`

4



3



2



1



0

          2        4        6        8        10
1

                                                                                    |

Mathematica transformada laplace

  • 1.
    Transformada de Laplace Prof.Andrés Roldán Aranda amroldan ugr.es http : electronica.ugr.es amroldan 15 03 2009 Estudio de la transformada de Laplace para su uso en el cálculo de las señales de salida de circuitos electrónicos. El usuario debe ser capaz de calcula la Función de Transferencia en el Dominio de Laplace del circuito en cuestión. Transformada de Laplace Transformada Inversa de Laplace Ejemplos de funciones La función de Heaviside |
  • 2.
    2 Transformada_Laplace.nb Transformada de Laplace Si estás utilizando Mathematica 3.0 debes cargar el módulo LaplaceTransform . No es necesario en Mathematica 4.0 y superiores Solo si es necesario Calculus`LaplaceTransform` La función LaplaceTransform devuelve la transformada de Laplace de la señal f t , pasando del dominio del tiempo al dominio transformado de LAPLACE. [t s] [Para abrir el editor CTRL+9: Cerrar CTRL+0] st f t F s f t t con s Σ Ω 0 Verifica las siguientes propiedades: af t bg t aF s bG s . tf t F' s f t F Σ Σ. t s f' t sF s f 0 f '' t s2 F s sf 0 f' 0 . at f t F s a ? LaplaceTransform LaplaceTransform expr , t , s gives the Laplace transform of expr . LaplaceTransform expr , t1 , t2 , , s1 , s2 , gives the multidimensional Laplace transform of expr . La transformada de Laplace no solo se aplica a IMPEDANCIAS sino también a señales, en este caso vamos a calcular la transformada de: t t LaplaceTransform t Exp t , t, s 1 2 1 s La transformada de Laplace de la DERIVADA f ' t de una señal también se puede calcular: LaplaceTransform f ' t , t, s f 0 s LaplaceTransform f t , t, s donde f 0 representa el valor de la función justo antes de llegar al valor t 0. Esto es muy interesante porque sabemos que para un condensador iC C vc ' t ; IC LaplaceTransform iC , t, s C s LaplaceTransform vc t , t, s vc 0 en el caso del condensador V c 0 representa la tensión de carga inicial del condensador. Si Vc t A0 Sin 2 Π f t
  • 3.
    Transformada_Laplace.nb 3 vc t A0 Sin 2 Π f t Sin 2 f Π t A0 iC C vc ' t 2 C f Π Cos 2 f Π t A0 IC LaplaceTransform iC , t, s 2 C f Π s A0 4 f2 Π2 s2 Calcular: t Cos b t F' s d s ds s2 b2 1 s2 b2 2s 0 s 2 b2 s2 s2 b2 2 b2 s2 Calcular: sin t 1 Σ t s Σ2 1 1 Σ Arctan Σ Σ s 1 Arctan 0 Arctan s 1 Arctan s |
  • 4.
    4 Transformada_Laplace.nb Transformada Inversa de Laplace La función InverseLaplaceTransform calcula la Transformada Inversa de Laplace, trayendo la señal del dominio transfor- mado de LAPLACE al dominio del tiempo otra vez. [s t 1 Σ Ω 1 st F s f t F s s. 2Π Σ Ω Mathematica puede calcular directamente la transformada inversa de la funcióna function for doing inverse Laplace transforms. ? InverseLaplaceTransform InverseLaplaceTransform expr , s , t gives the inverse Laplace transform of expr . InverseLaplaceTransform expr , s1 , s2 , , t1 , t2 , gives the multidimensional inverse Laplace transform of expr . IMPORTANTE: Los valores devuelto por InverseLaplaceTransform[] únicamente son válidos para t 0. 1 señalDominioTiempo InverseLaplaceTransform , s, t s2 t Este valor es válido únicamente para t 0. 1 2s 3 y1 t s2 1 1 2s 3 s2 1 s2 1 1 2s 1 3 s2 1 s2 1 1 s 1 1 2 3 s2 12 s2 12 2 cos t 3 sin t 1 s 5 y2 t s 1 s 2 1 2 1 s 1 s 2 1 2 1 1 s 1 s 2 1 1 1 1 2 s 1 s 2 t 2t 2 |
  • 5.
    Transformada_Laplace.nb 5 | Ejemplos de Transformadas a Demostrar que sinh a t s2 a2 . 1 at 1 a t, Dado que sinh a t 2 2 we obtain 1 at 1 at sinh a t 2 2 1 at 1 at 2 2 1 1 1 1 2 s a 2 s a a s2 a2 Calcular la Transformada de Laplace de f t eat usando la definición. Integrate Exp s t Exp a t , t, 0, 1 a s t If Re a Re s , , Integrate , t, 0, , Assumptions Re a s 0 a s Calcular la Transformada de Laplace de f t eat usando la definición. Integrate Exp s t Exp a t , t, 0, , Assumptions a Reals, s Reals 1 a s t If a s, , Integrate , t, 0, , Assumptions s Reals && a s a s Calcular la Transformada de Laplace de f t sin t usando la definición. Integrate Exp s t Sin t , t, 0, 1 st If Re s 0, , Integrate Sin t , t, 0, , Assumptions Re s 0 1 s2 Calcular la Transformada de Laplace de f t sinh t usando la definición. Integrate Exp s t Sinh a t , t, 0, a If Re a Re s 0 && Re a Re s , , a2 s2 st Integrate Sinh a t , t, 0, , Assumptions Re a Re s Re a Re s 0 Calcular la Transformada Inversa de Laplace de f s 1 usando la librería de conversión. a s 1 InverseLaplaceTransform , s, t a s at Ejemplo : f t sin t
  • 6.
    6 Transformada_Laplace.nb Calcular la Transformada de Laplace de f(t)=sin t LaplaceTransform Sin t , t, s 1 1 s2 1 Calcular la Transformada Inversa de Laplace de F s 1 s2 1 InverseLaplaceTransform , s, t 1 s2 Sin t Calcular las Transformadas de Laplace de cos(bt) y Exp[at]cos(bt) LaplaceTransform Cos b t , t, s s b2 s2 LaplaceTransform Exp a t Cos b t , t, s a s 2 b2 a s 4 Calcular las Transformada Inversa de Laplace de s^2 4 s 20 InverseLaplaceTransform 4 s^2 4 s 20 , s, t 1 2 4 t 8 t 1 2 ix Interesante aplicar la Fórmula de EULER e cos x i sin x FullSimplify Sin 4 t Cosh 2 t Sinh 2 t
  • 7.
    Transformada_Laplace.nb 7 LaplaceTransform 1, t, s LaplaceTransform Exp a t , t, s LaplaceTransform Cosh a t , t, s LaplaceTransform Sin w t , t, s LaplaceTransform Exp a t Sin w t , t, s LaplaceTransform t ^ 6, t, s LaplaceTransform t Sin w t , t, s 1 s 1 a s s a2 s2 w s2 w2 w 2 a s w2 720 s7 2sw 2 s2 w2 LaplaceTransform DiracDelta t 2 , t, s LaplaceTransform DiracDelta t a , t, s LaplaceTransform Exp t 1 t, t, s 2s as HeavisideTheta a Log s Log 1 s | La Función de Heaviside La función escalón o función de Heaviside se representa mediante UnitStep u x UnitStep x ;
  • 8.
    8 Transformada_Laplace.nb Plot u x , x, 5, 5 , PlotRange 1, 2 , AxesOrigin 0.5`, 0.5` 2.0 1.5 1.0 0.5 0.0 4 2 0 2 4 1.0 Representar la siguente función en el dominio del tiempo : H t Pi cos t : Plot u x Π Cos x , x, 3, 15 , PlotRange 1, 1.5` , AxesOrigin 0, 0.5` 1.5 1.0 0.5 0.0 5 10 15 1.0 Calcular la Transformada Inversa de Laplace de esta función y representarla gráficamente con 1 t 4 3s 1 3s salidaSistema t InverseLaplaceTransform , s, t s2 4 s2 1 HeavisideTheta 3 t 2t 6 Cos 6 2t Sin 6 2t 8 Representar salidaSistema t con 1 t 4
  • 9.
    Transformada_Laplace.nb 9 Plot salidaSistema t , t, 0, 10 , PlotRange 1, 4 , AxesOrigin 0, 0.5` 4 3 2 1 0 2 4 6 8 10 1 |