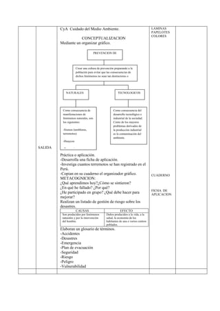
MODULO DE APRENDIZAJE<br />I.- DATOS GENERALES<br />1.1 Docente:<br />1.2 Grado y Sección:4º grado<br />1.3 Duración:<br />II.- NOMBRE DEL MODULO: “MAS VALE PREVENIR QUE LAMENTAR”<br />JUSTIFICACION: <br />Nuestros niños deben tomar conciencia que en nuestro país se producen con frecuencia desastres naturales perjudiciales para el hombre, con la finalidad que se desarrolle en ellos una cultura de prevención contra los desastres naturales.<br />TEMA TRANSVERSAL:<br />Educación para la gestión de riesgo.<br />Conciencia Ambiental.<br /> COMPETENCIA:    Describe y explica el uso y aprovechamiento del espacio y de los recursos naturales en cada una de las etapas de la historia del Perú y aprecia la importancia del uso del territorio en la etapa prehispánica para asegurar mejores condiciones de vida y población.<br />CAPACIDADES: <br />- 2.5  Se organiza en brigadas de defensa civil para enfrentar situaciones de emergencia en la I.E y la comunidad local.<br />- 2.6 Participa con responsabilidad las actividades de prevención de riesgos en la I.E. y la comunidad local.<br />INDICADORES: <br />Reconoce la importancia de las acciones de prevención de los desastres naturales.<br />Asume y participa responsablemente en simulacros de prevención de desastres naturales.<br />Participa con responsabilidad en las brigadas de Defensa Civil formados en la I.E.<br />Reconoce y explica brevemente el porque se produce un tsunami.<br />VALORES: Conciencia ambiental y responsabilidad.<br />AREASPROCESOESTRATEGIAS METODOLOGICASRECURSOS Y MEDIOSCRONOGRAMAINICIOPROCESOSALIDA-La docente con sus alumnos entonan una canción “el arca de Noé”-Observan las láminas o fotos de desastres naturales ocurridos en el Perú.-Observación fuera del aula de la infraestructura de nuestra IE., ubican zonas seguras. 113030-438151562735-43815161417012701841582550-EXPLORACION: (saberes previos)A través de interrogantes¿Qué observamos en cada una de las fotos o láminas? ¿Cómo se denomina cada uno de estos desastres? ¿Qué consecuencias producen en la población estos desastres? ¿Sabemos en que momento se producen estos desastres? ¿Es posible evitarlos? ¿Conocemos los pasos a seguir del plan de gestión de riesgo? ¿Podemos hacer algo para aminorar sus consecuencias?¿Existe alguna Institución en tu comunidad para ayudar a los pobladores en caso ocurra el desastre? ¿Nos gustaría conocer las respuestas con estas interrogantes?.El profesor anota las respuestas.-Los niños en un organizador gráfico Problematizan (conflicto cognitivo)¿Todos los desastres naturales son iguales?¿Por qué el hombre ocasiona desastres y ¿cómo?¿Sabemos que significa Vulnerabilidad? ¿Los simulacros en los que participamos nos ayudarán a prevenir los desastres?-El docente explica:No todos los desastres naturales son iguales, ya que unos es producido por los fenómenos naturales y otra por la mano del hombre.El hombre ocasiona desastres, debido al desarrollo tecnológico (las grandes industrias arrojan humo que contaminan el ambiente)La vulnerabilidad son los actores que nos hacen débiles (personas que pueden ser heridas o recibir lesiones físicas. OBSERVACION-Los niños trabajan por grupos.-Se les entrega pupiletras, rompecabezas.-Fichas de observación (anexo 01)RELACION CON LAS AREASF.R. La creaciónCOM La descripción de lo ocurrido.MAT  ProblemasART  DibujanP.S Se compromete apoyar en la prevención de desastres.CyA  Cuidado del Medio Ambiente.CONCEPTUALIZACIONMediante un organizar gráfico.PREVENCION DEDESASTRESCrear una cultura de prevención preparando a la población para evitar que las consecuencias de dichos fenómenos no sean tan destructoras oTECNOLOGICOSNATURALESComo consecuencia de manifestaciones de fenómenos naturales, son los siguientes:-Sismos (temblores, terremotos)-Huaycos-Tsunami-Fenómeno del niño-Sequías y heladasComo consecuencia del desarrollo tecnológico e industrial de la sociedad. Como de los mayores problemas derivados de la producción industrial es la contaminación del ambiente.Práctica o aplicación.-Desarrolla una ficha de aplicación.-Investiga cuantos terremotos se han registrado en el Perú.-Copian en su cuaderno el organizador gráfico.METACOGNICION:¿Qué aprendimos hoy?¿Cómo se sintieron?¿En qué he fallado? ¿Por qué?¿He participado en grupo? ¿Qué debe hacer para mejorar?Realizan un listado de gestión de riesgo sobre los desastres.CAUSASEFECTOSon producidos por fenómenos naturales y por la intervención del hombre.Daños producidos a la vida, a la salud, la economía de los habitantes de una o varios centros poblados.Elaboran un glosario de términos.-Accidentes-Desastres-Emergencia-Plan de evacuación-Seguridad-Riesgo-Peligro-VulnerabilidadLÁMINASCARTULINAPAPALOTESPLUMONESFOTOS7891492193230PAPELOTESFICHA OBSTEXTOSREVISTASSEPARATASLAMINASPAPELOTESCOLORESCUADERNOFICHA  DE APLICACION<br />EL ARCA DE NOEEn el arca de Noétodos cantan, todos cantan,en el arca de Noétodos cantan yo también,quiere oír como cantan,quiere oír elel gallo, quieres oírel gallo canta así.             Quiquiriqui. En el arca de Noétodos cantan, todos cantan,en el arca de Noétodos cantan yo también,quiere oír como ladra,quiere oír elel perro, quieres oírel perro ladra así.         Guau, guau<br />
Modulo de aprendizaje
Modulo de aprendizaje
Modulo de aprendizaje

Modulo de aprendizaje

  • 1.
    MODULO DE APRENDIZAJE<br/>I.- DATOS GENERALES<br />1.1 Docente:<br />1.2 Grado y Sección:4º grado<br />1.3 Duración:<br />II.- NOMBRE DEL MODULO: “MAS VALE PREVENIR QUE LAMENTAR”<br />JUSTIFICACION: <br />Nuestros niños deben tomar conciencia que en nuestro país se producen con frecuencia desastres naturales perjudiciales para el hombre, con la finalidad que se desarrolle en ellos una cultura de prevención contra los desastres naturales.<br />TEMA TRANSVERSAL:<br />Educación para la gestión de riesgo.<br />Conciencia Ambiental.<br /> COMPETENCIA: Describe y explica el uso y aprovechamiento del espacio y de los recursos naturales en cada una de las etapas de la historia del Perú y aprecia la importancia del uso del territorio en la etapa prehispánica para asegurar mejores condiciones de vida y población.<br />CAPACIDADES: <br />- 2.5 Se organiza en brigadas de defensa civil para enfrentar situaciones de emergencia en la I.E y la comunidad local.<br />- 2.6 Participa con responsabilidad las actividades de prevención de riesgos en la I.E. y la comunidad local.<br />INDICADORES: <br />Reconoce la importancia de las acciones de prevención de los desastres naturales.<br />Asume y participa responsablemente en simulacros de prevención de desastres naturales.<br />Participa con responsabilidad en las brigadas de Defensa Civil formados en la I.E.<br />Reconoce y explica brevemente el porque se produce un tsunami.<br />VALORES: Conciencia ambiental y responsabilidad.<br />AREASPROCESOESTRATEGIAS METODOLOGICASRECURSOS Y MEDIOSCRONOGRAMAINICIOPROCESOSALIDA-La docente con sus alumnos entonan una canción “el arca de Noé”-Observan las láminas o fotos de desastres naturales ocurridos en el Perú.-Observación fuera del aula de la infraestructura de nuestra IE., ubican zonas seguras. 113030-438151562735-43815161417012701841582550-EXPLORACION: (saberes previos)A través de interrogantes¿Qué observamos en cada una de las fotos o láminas? ¿Cómo se denomina cada uno de estos desastres? ¿Qué consecuencias producen en la población estos desastres? ¿Sabemos en que momento se producen estos desastres? ¿Es posible evitarlos? ¿Conocemos los pasos a seguir del plan de gestión de riesgo? ¿Podemos hacer algo para aminorar sus consecuencias?¿Existe alguna Institución en tu comunidad para ayudar a los pobladores en caso ocurra el desastre? ¿Nos gustaría conocer las respuestas con estas interrogantes?.El profesor anota las respuestas.-Los niños en un organizador gráfico Problematizan (conflicto cognitivo)¿Todos los desastres naturales son iguales?¿Por qué el hombre ocasiona desastres y ¿cómo?¿Sabemos que significa Vulnerabilidad? ¿Los simulacros en los que participamos nos ayudarán a prevenir los desastres?-El docente explica:No todos los desastres naturales son iguales, ya que unos es producido por los fenómenos naturales y otra por la mano del hombre.El hombre ocasiona desastres, debido al desarrollo tecnológico (las grandes industrias arrojan humo que contaminan el ambiente)La vulnerabilidad son los actores que nos hacen débiles (personas que pueden ser heridas o recibir lesiones físicas. OBSERVACION-Los niños trabajan por grupos.-Se les entrega pupiletras, rompecabezas.-Fichas de observación (anexo 01)RELACION CON LAS AREASF.R. La creaciónCOM La descripción de lo ocurrido.MAT ProblemasART DibujanP.S Se compromete apoyar en la prevención de desastres.CyA Cuidado del Medio Ambiente.CONCEPTUALIZACIONMediante un organizar gráfico.PREVENCION DEDESASTRESCrear una cultura de prevención preparando a la población para evitar que las consecuencias de dichos fenómenos no sean tan destructoras oTECNOLOGICOSNATURALESComo consecuencia de manifestaciones de fenómenos naturales, son los siguientes:-Sismos (temblores, terremotos)-Huaycos-Tsunami-Fenómeno del niño-Sequías y heladasComo consecuencia del desarrollo tecnológico e industrial de la sociedad. Como de los mayores problemas derivados de la producción industrial es la contaminación del ambiente.Práctica o aplicación.-Desarrolla una ficha de aplicación.-Investiga cuantos terremotos se han registrado en el Perú.-Copian en su cuaderno el organizador gráfico.METACOGNICION:¿Qué aprendimos hoy?¿Cómo se sintieron?¿En qué he fallado? ¿Por qué?¿He participado en grupo? ¿Qué debe hacer para mejorar?Realizan un listado de gestión de riesgo sobre los desastres.CAUSASEFECTOSon producidos por fenómenos naturales y por la intervención del hombre.Daños producidos a la vida, a la salud, la economía de los habitantes de una o varios centros poblados.Elaboran un glosario de términos.-Accidentes-Desastres-Emergencia-Plan de evacuación-Seguridad-Riesgo-Peligro-VulnerabilidadLÁMINASCARTULINAPAPALOTESPLUMONESFOTOS7891492193230PAPELOTESFICHA OBSTEXTOSREVISTASSEPARATASLAMINASPAPELOTESCOLORESCUADERNOFICHA DE APLICACION<br />EL ARCA DE NOEEn el arca de Noétodos cantan, todos cantan,en el arca de Noétodos cantan yo también,quiere oír como cantan,quiere oír elel gallo, quieres oírel gallo canta así. Quiquiriqui. En el arca de Noétodos cantan, todos cantan,en el arca de Noétodos cantan yo también,quiere oír como ladra,quiere oír elel perro, quieres oírel perro ladra así. Guau, guau<br />