Parábolas y
Ecuación de segundo
      grado   Viviana Soto
           Daniela Valenzuela
             Daniela Reyes
               III ½ B 2010
En matemática, la definición original
    de parábola corresponde a la
sección cónica resultante de cortar
un cono recto con un plano paralelo
a su generatriz, pero actualmente se
define como el lugar geométrico de
   los puntos equidistantes de una
 recta dada, llamada directriz, y un
  punto fijo que se denomina foco.

La parábola aparece en muchas de
las ramas de las ciencias aplicadas,
     debido a que las gráficas de
     ecuaciones cuadráticas son
             parábolas.

  Tiene una gran importancia en
     Física y que se ajusta a la
 descripción o a la representación
matemática de muchos fenómenos.
Pero la parábola también
 tiene importancia en nuestra
   vida cotidiana y, aunque
muchas veces no nos fijemos o
   no seamos conscientes de
     ello, tenemos muchas
parábolas a nuestro alrededor.



                                 Cualquier cuerpo lanzado al
                                    aire de forma oblicua u
                                     horizontal describe un
                                  movimiento parabólico bajo
                                 la acción de la gravedad. Un
                                   ejemplo es el caso de una
                                    pelota que se desplaza
                                           botando.
Las aplicaciones de las parábolas son
básicamente aquellos fenómenos en donde
 nos interesa hacer converger o diverger un
     haz de luz y sonido principalmente.
   Por ejemplo las antenas parabólicas, las
  lámparas sordas, los faros de los autos. Se
pueden construir, por la misma propiedad de
las parábolas, hornos solares. Los micrófonos
 de ambiente en algunos deportes también
          tienen forma paraboloide.

   Las parábolas tienen una propiedad. Si se
coloca una bombilla encendida en el foco de
    la parábola, algunos haces de luz serán
 reflejados por la parábola y todos estos rayos
    serán perpendiculares a la directriz. Esta
propiedad es usada en las lámparas sordas o
   en los faros de los automóviles estos están
 formados por un paraboloide (parábola en 3
 dimensiones) de espejos y una bombilla en el
           foco de este paraboloide.
En algunas lámparas se puede mover la bombilla del foco y
  los haces de luz divergirán o convergerán. Este principio
 funciona también en las antenas parabólicas. Un satélite
        envía información a la Tierra, estos rayos serán
 perpendiculares a la directriz por la distancia a la que se
 encuentra el satélite. Al reflejarse en el plato de la antena
 (blanca, casi siempre) los rayos convergen en el foco en
      donde se encuentra un receptor que decodifica la
     información. También en los telescopios se usa esta
                         propiedad.
Otro ejemplo es el caso de los
chorros y las gotas de agua que
    salen de los caños de las
     numerosas fuentes que
   podemos encontrar en las
  ciudades. El desplazamiento
 bajo la acción de la atracción
gravitatoria de la Tierra permite
      obtener bonitos arcos
          parabólicos.




                                    También se aprecia el
                                    mismo caso en piletas
                                    ubicadas en edificios,
                                        hoteles, etc.
Arcos parabólicos en dos de las fuentes que
pueden encontrarse en el Paseo del Prado de
                  Madrid.
También obtenemos formas parabólicas cuando un haz
luminoso de forma cónica se proyecta sobre una pared. Las
      líneas parabólicas de la imagen se han obtenido
    proyectando un haz de luz sobre una pared blanca.
Las parábolas también están
presentes en la arquitectura.
Al saltar
                       Faro de un   la cuerda
                        automóvil




Estructuras de algunos puentes
En una montaña rusa




 Al jugar fútbol
Y en diferentes
  Deportes…
También en otros casos una parábola es la curva que
adopta un cable que tenga que soportar una carga, un
          peso, uniformemente distribuido.
  Como por ejemplo: El Golden Gate. (Puente de San
                     Francisco)
 Diferentes tipos de
         antenas




Antena Parabólica de Televisión
Antena parabólica



 Una de las propiedades más importantes de las formas parabólicas es
 que cualquier rayo que incida de forma paralela al eje de la parábola
   rebota en su superficie pasando por el foco. La parábola sirve para
concentrar los rayos de luz en un punto, el foco, en el caso de la cocina
 solar,  o las radiaciones electromagnéticas, en general, en las antenas
parabólicas. Pero también sirve, como en el caso del faro de un coche,
  para conseguir que la luz que sale del foco se concentre en un  haz
                           más o menos cerrado.
Guía de Trabajo: “Función Cuadrática”

Objetivos:

Conocer la función cuadrática en sus diversas formas

Graficar la función cuadrática en sus diversas formas

Identificar en un gráfico puntos de intersección con los
ejes de coordenadas, vértice y eje de simetría
La Parábola en Matemática se define como:


        f(x) = a. x2 + b. x + c
1
Para determinar las raíces o ceros de la ecuación de segundo grado,
          se pueden emplear por lo menos tres métodos.

                    1.Método de factorización

                  2.Completación de cuadrados

             3.Fórmula de ecuación de segundo grado.


A continuación se presentarán los siguientes ejemplos:

1. Método de factorización:

X² + 5x + 6 = 0
(x+3) (x+2) = 0, donde tenemos que:

X : (x+3) = 0, para que al multiplicarlo por (x + 2) el producto
 1


     sea 0     x1= -3
X : (x+2) = 0, para que al multiplicarlo por (x + 3) el producto
 2


     sea 0     x2= -2
2. Completación de cuadrados


        [ (a ± b)² = a² ± 2ab + b² ]


 Se debe aislar el término independiente(C) de la
  ecuación de segundo grado, la cual debe ser
completa particular, quedando una igualdad con
  una parte binomial y la otra parte numérica. Si
tenemos una ecuación completa general, habrá
     que transformarla a completa particular.

   Por lo tanto, para completar el cuadrado de
binomio siempre debemos sumar y restar: (b ÷ 2)²
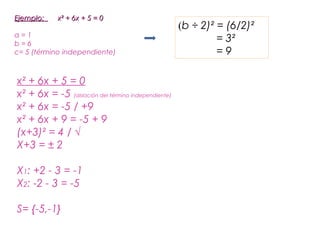
Ejemplo:     x² + 6x + 5 = 0
                                                     (b ÷ 2)² = (6/2)²
a=1
b=6
                                                              = 3²
c= 5 (término independiente)                                  =9

x² + 6x + 5 = 0
x² + 6x = -5 (aislación del término independiente)
x² + 6x = -5 / +9
x² + 6x + 9 = -5 + 9
(x+3)² = 4 / √
X+3 = ± 2

X1: +2 - 3 = -1
X2: -2 - 3 = -5

S= {-5,-1}
3- Fórmula de ecuación de segundo grado


                                          Siendo la primera
   X=                                      solución X1 y la
                                            segunda X2




   X1 =


   X2 =
Ejemplo:   x² + 5x + 6 = 0   a=1
                                           b=5
x² + 5x + 6 = 0                            c=6




X1 =



X1 =

X1 =

 X1 = -2
X2 =



X2 =

          S = ( -2, -3 )
X2 =


X2 = -3
Aactividad n°2:

1.- Una de las raíces de la ecuación 3x² - 4x + 1 = 0 es:
a)-1
b)-1/3
c)4/3
d)1/3
e)3

*Respuesta: d

2.- ¿Cuáles son las soluciones de la ecuación x² + 5x – 6 = 0?
a)3 y 2
b)3 y -2
c)-2 y 3
d)-1 y -6
e)-6 y 1

*Respuesta: e
3.- ¿En cuál de las siguientes ecuaciones ambas soluciones son
mayores que cero y menores que uno?
a) 3x² - 7x + 3 = 0
b) 3x² + 7x + 3 = 0
c) 8x² - 6x – 1 = 0
d) 8x² + 6x + 1 = 0
e) 8x² - 6x + 1 = 0

*Alternativa: e

4.- ¿Cuál es el cuadrado de la mayor de las soluciones de la
ecuación x² - 2x - √5 x + 2 √5 = 0?
a)5
b)4
c)√5
d)-4
e)-5

*Alternativa: a
Propiedades de las raíces de la ecuación de segundo
                          grado:

a)Propiedad de la suma:


 X1 + X = 2
                             +


 X1 + X   2




 X1 + X = -b
          2


           a
b) Propiedad del producto de raíces



    X1 * X =
                                  *
          2




    X1 * X =  2




    X1 * X =
          2




    X1 * X = c2
                                   En general tenemos:
             a                  x² + (X1 + X2)x + (X1 * X2) = 0
Actividad n°3:

1.- ¿Cuál es la suma de las soluciones de la ecuación 5x² + 10x + 1 =
0?
a)-1/5
b)1/5
c)-2
d)2
e)½

*Respuesta: d 

2.- Una ecuación de segundo grado cuyas raíces o ceros, satisfacen
las igualdades (X1 + X2) = -2 y (X1*X2) = 5 es:
a)x² - 2x – 5 = 0
b)x² -2x + 5 = 0
c)x² + 2x + 5 = 0
d)x² + 2x – 5 = 0
e)x² - 5x – 2 = 0

*Respuesta: c
3.- ¿Qué valor debe tener K en la ecuación 3x² - 5kx – 2 = 0, para que
una de sus raíces sea -2?
a)0
b)1
c)-1
d)-20
e)-4

*Respuesta: c 

2.- Una ecuación de segundo grado cuyas raíces son 2 + √5 y 2 - √5 es:
a) x² - 4x -1 = 0
b) x² - 4x + 1 = 0
c) x² - 5x + 1 = 0
d) x² - 5x -1 = 0
e) Ninguna de las anteriores

*Respuesta: a 
Gráfica de la función de segundo grado: LA PARÁBOLA

La función de segundo grado permite graficar una parábola.
Se representa como: f(x) = ax² + bx + c
Si analizamos sus coeficientes podemos bosquejar una gráfica.
Es muy importante encontrar las raíces de la ecuación,
analizando primeramente el discriminante para saber el tipo
de raíces, y finalmente, debemos determinar el vértice de la
parábola.

Análisis de la función:

1.- El coeficiente
   “a” indica la
    concavidad de
    la parábola:
2.- El coeficiente “b” indica la traslación o corrimiento de la parábola,
pero analizado juntamente con el coeficiente “a”


a)Si a > 0 y:

 b > 0 parábola cóncava hacia arriba y trasladada hacia la izquierda




                    b = 0 parábola cóncava hacia arriba y centrada en el eje de las
                          ordenadas.




 b < 0 parábola cóncava hacia arriba, trasladada hacia la derecha
b) Si a < 0 y:

b > 0 parábola cóncava hacia abajo y trasladada
       hacia la derecha




                    b = 0 parábola cóncava hacia abajo y centrada
                          en el eje de las ordenadas.




b < 0  parábola cóncava hacia abajo y trasladada
hacia la izquierda
3- El coeficiente “c” indica el lugar en que la parábola se
         intersecta con el eje de las ordenadas (y)
Actividad n°4

1.Con respecto a la función f(x) = 3x² + 13x – 10 = 0,
¿cuál(es) de las siguientes afirmaciones es (son)
verdadera(s)?

       I) Su concavidad está orientada hacia arriba.
       II) El punto de intersección con el eje y es (o , -10)
       III) f(-5) = 0

a)Sólo I
b)Sólo I y II
c)Sólo I y III
d)Sólo II y III
e)Todas ellas

*Respuesta: e
DISCRIMINANTE (▲):

Es la cantidad subrradical que corresponde a las raíces o ceros de la
ecuación de segundo grado. El análisis del discriminante nos permite
clasificar las raíces de la ecuación.
El discriminante se determina por         D = b² - 4ac


 Si ▲ es mayor a cero, la parábola corta en dos puntos al eje
X. Las raíces son reales y distintas.

 Si ▲ es igual a cero, la parábola corta en un punto al eje X.
Las raíces son reales e iguales.

 Si ▲ es menor a cero, la parábola no corta al eje X. Las raíces
no son reales, son complejas conjugadas o imaginarias puras.
La parábola corta    La parábola     La parábola no
 en dos puntos al    corta en un     corta al eje X
      eje X         punto al eje X
Actividad n°5
1.   ¿ En cuál de las siguientes ecuaciones, las raíces son reales y
     distintas?
a)   x² - x + 12 = 0
b)   x² +3x + 5 =0
c)   x² - 4x +3 =0
d)   x² +5x + 7 =0
e)   x² - 2x + 8 = 0

*Respuesta : c

2.   Si el discriminante de la ecuación cuadrática 3x² - 4x + k = 0 es
     igual a 4, entonces k =
a)   -5/3
b)   -1
c)   0
d)   1
e)   5/3

*Respuesta : d
3.   Si las raíces de la ecuación x² - 6x + t = 0 son reales e iguales,
     entonces t=
a)   9
b)   3
c)   0
d)   -3
e)   -9

*Respuesta: a

4.   Las soluciones de la ecuación de segundo grado x²+bx+c= 0 serán
     siempre reales si:
a)   b>0yc<0
b)   b>0yc>0
c)   B<0yc>0
d)   B=0yc>0
e)   Ninguna de las anteriores

*Respuesta: a
Cálculo del vértice de una parábola

                          Se llama vértice de la
                          parábola al punto
                          donde ésta corta a su
       ( h, k)            eje.
Eje de simetría (h)

• El eje de simetría es aquella recta paralela al eje Y
  (ordenadas) , y que pasa por el vértice de la
  parábola.
Punto máximo y mínimo (k)
        Como sabemos, el coeficiente “a” (de la función
f(x)= ax² + bx + c) determina la concavidad de la parábola. Sin
       embargo, también es necesaria para determinar el si el
            vértice es el punto máximo o mínimo de ella.


                                                      a<o


   K=


                                       a>o
Actividad n°6:

1. Dada la función f(x) = x² + 2x – 3, ¿cuál(es) de las siguientes aseveraciones
   es(son) verdadera(s)?
   I) x = 1 es un cero de la función
   II) La ecuación del eje de simetría es x = -1
   III) El vértice de la parábola es (-1, -4)
a) Sólo I
b) Sólo II
c) Sólo I y II
d) Sólo I y III
e) Todas ellas
*Respuesta: e

2.     De la función f(x) = x² - 8x + 15 ¿Cuáles son las coordenadas del vértice?
a) (1, -4)
b) (3, -5)
c) (4, -1)
d) (15, -4)
e) (15, -8)
*Respuesta: c
3.  Respecto a la parábola f(x) = x² - 9x + 14, ¿cuál(es) de las siguientes proposiciones
      es(son) verdadera(s)?
    I) Sus ceros son X1 = 7 y X2 = 2
    II) Intersecta al eje y en (0, 14)
    III) Su eje de simetría es x = 4
a) Sólo I
b) Sólo II
c) Sólo I y II
d) Sólo I y III
e) I, II y III
*Respuesta: c

4.    Dada la parábola f(x) = x² + bx + c . Se pueden determinar las coordenadas del
      vértice si se sabe que:
     I) Intersecta al eje x en X1 = 2 y X2 = 3
     II) b = -5 y c = 1 – b

a) (1) por sí sola
b) (2) por sí sola
c) Ambas Juntas, (1) y (2)
d) Cada una por sí sola, (1) ó (2)
e) Se requiere información
*Respuesta: b 
Conclusión
Luego de haber aprendido teóricamente lo que era una parábola jamás
imaginaríamos la importancia de éstas. Aprendimos que vivimos día a día
con ellas, muchas veces sin darnos cuenta. Sin ellas tal vez no podríamos ver
tv, no conseguiríamos esa descarga de adrenalina en una montaña rusa y
no existirán tantos avances en la ciencia. Es sorprendente como una simple
ecuación ; unos simples números escritos pueden llegar a ser parte de algo
cada vez más grande. Desde ser unas simples curvas y líneas en un plano
hasta llegar a ser enormes obras de ingeniería y arquitectura.

Aprendimos con este trabajo a mirar más detenidamente lo que nos rodea.
Las parábolas poseen un gran contenido estético y son muy llamativas por
ser simétricas.

También nos dimos cuenta que no sólo existen figuras concretas con formas
de parábolas, sino que existen diferentes movimientos que forman
parábolas, como por ejemplo: la técnica de lanzamiento de dedos en
voleibol para dar pases, las canastas utilizadas en básquetbol para encestar,
movimientos con cintas y cuerdas en gimnasia rítmica, etc.

Lo que aprendemos no lo aprendemos porque si; todo esto tendrá una
finalidad si lo queremos, podremos hacer grandes cosas con el
conocimiento adquirido y una disposición a hacer algo mejor.
Por su atención, muchas
gracias

PARABOLA

  • 1.
    Parábolas y Ecuación desegundo grado  Viviana Soto  Daniela Valenzuela  Daniela Reyes III ½ B 2010
  • 2.
    En matemática, ladefinición original de parábola corresponde a la sección cónica resultante de cortar un cono recto con un plano paralelo a su generatriz, pero actualmente se define como el lugar geométrico de los puntos equidistantes de una recta dada, llamada directriz, y un punto fijo que se denomina foco. La parábola aparece en muchas de las ramas de las ciencias aplicadas, debido a que las gráficas de ecuaciones cuadráticas son parábolas. Tiene una gran importancia en Física y que se ajusta a la descripción o a la representación matemática de muchos fenómenos.
  • 4.
    Pero la parábolatambién tiene importancia en nuestra vida cotidiana y, aunque muchas veces no nos fijemos o no seamos conscientes de ello, tenemos muchas parábolas a nuestro alrededor. Cualquier cuerpo lanzado al aire de forma oblicua u horizontal describe un movimiento parabólico bajo la acción de la gravedad. Un ejemplo es el caso de una pelota que se desplaza botando.
  • 5.
    Las aplicaciones delas parábolas son básicamente aquellos fenómenos en donde nos interesa hacer converger o diverger un haz de luz y sonido principalmente. Por ejemplo las antenas parabólicas, las lámparas sordas, los faros de los autos. Se pueden construir, por la misma propiedad de las parábolas, hornos solares. Los micrófonos de ambiente en algunos deportes también tienen forma paraboloide. Las parábolas tienen una propiedad. Si se coloca una bombilla encendida en el foco de la parábola, algunos haces de luz serán reflejados por la parábola y todos estos rayos serán perpendiculares a la directriz. Esta propiedad es usada en las lámparas sordas o en los faros de los automóviles estos están formados por un paraboloide (parábola en 3 dimensiones) de espejos y una bombilla en el foco de este paraboloide.
  • 6.
    En algunas lámparasse puede mover la bombilla del foco y los haces de luz divergirán o convergerán. Este principio funciona también en las antenas parabólicas. Un satélite envía información a la Tierra, estos rayos serán perpendiculares a la directriz por la distancia a la que se encuentra el satélite. Al reflejarse en el plato de la antena (blanca, casi siempre) los rayos convergen en el foco en donde se encuentra un receptor que decodifica la información. También en los telescopios se usa esta propiedad.
  • 7.
    Otro ejemplo esel caso de los chorros y las gotas de agua que salen de los caños de las numerosas fuentes que podemos encontrar en las ciudades. El desplazamiento bajo la acción de la atracción gravitatoria de la Tierra permite obtener bonitos arcos parabólicos. También se aprecia el mismo caso en piletas ubicadas en edificios, hoteles, etc.
  • 8.
    Arcos parabólicos endos de las fuentes que pueden encontrarse en el Paseo del Prado de Madrid.
  • 9.
    También obtenemos formasparabólicas cuando un haz luminoso de forma cónica se proyecta sobre una pared. Las líneas parabólicas de la imagen se han obtenido proyectando un haz de luz sobre una pared blanca.
  • 10.
    Las parábolas tambiénestán presentes en la arquitectura.
  • 11.
    Al saltar Faro de un la cuerda automóvil Estructuras de algunos puentes
  • 12.
    En una montañarusa Al jugar fútbol
  • 13.
    Y en diferentes Deportes…
  • 15.
    También en otroscasos una parábola es la curva que adopta un cable que tenga que soportar una carga, un peso, uniformemente distribuido. Como por ejemplo: El Golden Gate. (Puente de San Francisco)
  • 19.
     Diferentes tipos de antenas Antena Parabólica de Televisión
  • 20.
    Antena parabólica Unade las propiedades más importantes de las formas parabólicas es que cualquier rayo que incida de forma paralela al eje de la parábola rebota en su superficie pasando por el foco. La parábola sirve para concentrar los rayos de luz en un punto, el foco, en el caso de la cocina solar,  o las radiaciones electromagnéticas, en general, en las antenas parabólicas. Pero también sirve, como en el caso del faro de un coche, para conseguir que la luz que sale del foco se concentre en un  haz más o menos cerrado.
  • 21.
    Guía de Trabajo:“Función Cuadrática” Objetivos: Conocer la función cuadrática en sus diversas formas Graficar la función cuadrática en sus diversas formas Identificar en un gráfico puntos de intersección con los ejes de coordenadas, vértice y eje de simetría
  • 22.
    La Parábola enMatemática se define como: f(x) = a. x2 + b. x + c
  • 23.
  • 24.
    Para determinar lasraíces o ceros de la ecuación de segundo grado, se pueden emplear por lo menos tres métodos. 1.Método de factorización 2.Completación de cuadrados 3.Fórmula de ecuación de segundo grado. A continuación se presentarán los siguientes ejemplos: 1. Método de factorización: X² + 5x + 6 = 0 (x+3) (x+2) = 0, donde tenemos que: X : (x+3) = 0, para que al multiplicarlo por (x + 2) el producto 1 sea 0 x1= -3 X : (x+2) = 0, para que al multiplicarlo por (x + 3) el producto 2 sea 0 x2= -2
  • 25.
    2. Completación decuadrados [ (a ± b)² = a² ± 2ab + b² ] Se debe aislar el término independiente(C) de la ecuación de segundo grado, la cual debe ser completa particular, quedando una igualdad con una parte binomial y la otra parte numérica. Si tenemos una ecuación completa general, habrá que transformarla a completa particular. Por lo tanto, para completar el cuadrado de binomio siempre debemos sumar y restar: (b ÷ 2)²
  • 26.
    Ejemplo: x² + 6x + 5 = 0 (b ÷ 2)² = (6/2)² a=1 b=6 = 3² c= 5 (término independiente) =9 x² + 6x + 5 = 0 x² + 6x = -5 (aislación del término independiente) x² + 6x = -5 / +9 x² + 6x + 9 = -5 + 9 (x+3)² = 4 / √ X+3 = ± 2 X1: +2 - 3 = -1 X2: -2 - 3 = -5 S= {-5,-1}
  • 27.
    3- Fórmula deecuación de segundo grado Siendo la primera X= solución X1 y la segunda X2 X1 = X2 =
  • 28.
    Ejemplo: x² + 5x + 6 = 0 a=1 b=5 x² + 5x + 6 = 0 c=6 X1 = X1 = X1 = X1 = -2
  • 29.
    X2 = X2 = S = ( -2, -3 ) X2 = X2 = -3
  • 30.
    Aactividad n°2: 1.- Unade las raíces de la ecuación 3x² - 4x + 1 = 0 es: a)-1 b)-1/3 c)4/3 d)1/3 e)3 *Respuesta: d 2.- ¿Cuáles son las soluciones de la ecuación x² + 5x – 6 = 0? a)3 y 2 b)3 y -2 c)-2 y 3 d)-1 y -6 e)-6 y 1 *Respuesta: e
  • 31.
    3.- ¿En cuálde las siguientes ecuaciones ambas soluciones son mayores que cero y menores que uno? a) 3x² - 7x + 3 = 0 b) 3x² + 7x + 3 = 0 c) 8x² - 6x – 1 = 0 d) 8x² + 6x + 1 = 0 e) 8x² - 6x + 1 = 0 *Alternativa: e 4.- ¿Cuál es el cuadrado de la mayor de las soluciones de la ecuación x² - 2x - √5 x + 2 √5 = 0? a)5 b)4 c)√5 d)-4 e)-5 *Alternativa: a
  • 32.
    Propiedades de lasraíces de la ecuación de segundo grado: a)Propiedad de la suma: X1 + X = 2 + X1 + X 2 X1 + X = -b 2 a
  • 33.
    b) Propiedad delproducto de raíces X1 * X = * 2 X1 * X = 2 X1 * X = 2 X1 * X = c2 En general tenemos: a x² + (X1 + X2)x + (X1 * X2) = 0
  • 34.
    Actividad n°3: 1.- ¿Cuáles la suma de las soluciones de la ecuación 5x² + 10x + 1 = 0? a)-1/5 b)1/5 c)-2 d)2 e)½ *Respuesta: d  2.- Una ecuación de segundo grado cuyas raíces o ceros, satisfacen las igualdades (X1 + X2) = -2 y (X1*X2) = 5 es: a)x² - 2x – 5 = 0 b)x² -2x + 5 = 0 c)x² + 2x + 5 = 0 d)x² + 2x – 5 = 0 e)x² - 5x – 2 = 0 *Respuesta: c
  • 35.
    3.- ¿Qué valordebe tener K en la ecuación 3x² - 5kx – 2 = 0, para que una de sus raíces sea -2? a)0 b)1 c)-1 d)-20 e)-4 *Respuesta: c  2.- Una ecuación de segundo grado cuyas raíces son 2 + √5 y 2 - √5 es: a) x² - 4x -1 = 0 b) x² - 4x + 1 = 0 c) x² - 5x + 1 = 0 d) x² - 5x -1 = 0 e) Ninguna de las anteriores *Respuesta: a 
  • 36.
    Gráfica de lafunción de segundo grado: LA PARÁBOLA La función de segundo grado permite graficar una parábola. Se representa como: f(x) = ax² + bx + c Si analizamos sus coeficientes podemos bosquejar una gráfica. Es muy importante encontrar las raíces de la ecuación, analizando primeramente el discriminante para saber el tipo de raíces, y finalmente, debemos determinar el vértice de la parábola. Análisis de la función: 1.- El coeficiente “a” indica la concavidad de la parábola:
  • 37.
    2.- El coeficiente“b” indica la traslación o corrimiento de la parábola, pero analizado juntamente con el coeficiente “a” a)Si a > 0 y: b > 0 parábola cóncava hacia arriba y trasladada hacia la izquierda b = 0 parábola cóncava hacia arriba y centrada en el eje de las ordenadas. b < 0 parábola cóncava hacia arriba, trasladada hacia la derecha
  • 38.
    b) Si a< 0 y: b > 0 parábola cóncava hacia abajo y trasladada hacia la derecha b = 0 parábola cóncava hacia abajo y centrada en el eje de las ordenadas. b < 0  parábola cóncava hacia abajo y trasladada hacia la izquierda
  • 39.
    3- El coeficiente“c” indica el lugar en que la parábola se intersecta con el eje de las ordenadas (y)
  • 40.
    Actividad n°4 1.Con respectoa la función f(x) = 3x² + 13x – 10 = 0, ¿cuál(es) de las siguientes afirmaciones es (son) verdadera(s)? I) Su concavidad está orientada hacia arriba. II) El punto de intersección con el eje y es (o , -10) III) f(-5) = 0 a)Sólo I b)Sólo I y II c)Sólo I y III d)Sólo II y III e)Todas ellas *Respuesta: e
  • 41.
    DISCRIMINANTE (▲): Es lacantidad subrradical que corresponde a las raíces o ceros de la ecuación de segundo grado. El análisis del discriminante nos permite clasificar las raíces de la ecuación. El discriminante se determina por D = b² - 4ac  Si ▲ es mayor a cero, la parábola corta en dos puntos al eje X. Las raíces son reales y distintas.  Si ▲ es igual a cero, la parábola corta en un punto al eje X. Las raíces son reales e iguales.  Si ▲ es menor a cero, la parábola no corta al eje X. Las raíces no son reales, son complejas conjugadas o imaginarias puras.
  • 42.
    La parábola corta La parábola La parábola no en dos puntos al corta en un corta al eje X eje X punto al eje X
  • 43.
    Actividad n°5 1. ¿ En cuál de las siguientes ecuaciones, las raíces son reales y distintas? a) x² - x + 12 = 0 b) x² +3x + 5 =0 c) x² - 4x +3 =0 d) x² +5x + 7 =0 e) x² - 2x + 8 = 0 *Respuesta : c 2. Si el discriminante de la ecuación cuadrática 3x² - 4x + k = 0 es igual a 4, entonces k = a) -5/3 b) -1 c) 0 d) 1 e) 5/3 *Respuesta : d
  • 44.
    3. Si las raíces de la ecuación x² - 6x + t = 0 son reales e iguales, entonces t= a) 9 b) 3 c) 0 d) -3 e) -9 *Respuesta: a 4. Las soluciones de la ecuación de segundo grado x²+bx+c= 0 serán siempre reales si: a) b>0yc<0 b) b>0yc>0 c) B<0yc>0 d) B=0yc>0 e) Ninguna de las anteriores *Respuesta: a
  • 45.
    Cálculo del vérticede una parábola Se llama vértice de la parábola al punto donde ésta corta a su ( h, k) eje.
  • 46.
    Eje de simetría(h) • El eje de simetría es aquella recta paralela al eje Y (ordenadas) , y que pasa por el vértice de la parábola.
  • 47.
    Punto máximo ymínimo (k) Como sabemos, el coeficiente “a” (de la función f(x)= ax² + bx + c) determina la concavidad de la parábola. Sin embargo, también es necesaria para determinar el si el vértice es el punto máximo o mínimo de ella. a<o K= a>o
  • 48.
    Actividad n°6: 1. Dadala función f(x) = x² + 2x – 3, ¿cuál(es) de las siguientes aseveraciones es(son) verdadera(s)? I) x = 1 es un cero de la función II) La ecuación del eje de simetría es x = -1 III) El vértice de la parábola es (-1, -4) a) Sólo I b) Sólo II c) Sólo I y II d) Sólo I y III e) Todas ellas *Respuesta: e 2. De la función f(x) = x² - 8x + 15 ¿Cuáles son las coordenadas del vértice? a) (1, -4) b) (3, -5) c) (4, -1) d) (15, -4) e) (15, -8) *Respuesta: c
  • 49.
    3. Respectoa la parábola f(x) = x² - 9x + 14, ¿cuál(es) de las siguientes proposiciones es(son) verdadera(s)? I) Sus ceros son X1 = 7 y X2 = 2 II) Intersecta al eje y en (0, 14) III) Su eje de simetría es x = 4 a) Sólo I b) Sólo II c) Sólo I y II d) Sólo I y III e) I, II y III *Respuesta: c 4. Dada la parábola f(x) = x² + bx + c . Se pueden determinar las coordenadas del vértice si se sabe que: I) Intersecta al eje x en X1 = 2 y X2 = 3 II) b = -5 y c = 1 – b a) (1) por sí sola b) (2) por sí sola c) Ambas Juntas, (1) y (2) d) Cada una por sí sola, (1) ó (2) e) Se requiere información *Respuesta: b 
  • 50.
    Conclusión Luego de haberaprendido teóricamente lo que era una parábola jamás imaginaríamos la importancia de éstas. Aprendimos que vivimos día a día con ellas, muchas veces sin darnos cuenta. Sin ellas tal vez no podríamos ver tv, no conseguiríamos esa descarga de adrenalina en una montaña rusa y no existirán tantos avances en la ciencia. Es sorprendente como una simple ecuación ; unos simples números escritos pueden llegar a ser parte de algo cada vez más grande. Desde ser unas simples curvas y líneas en un plano hasta llegar a ser enormes obras de ingeniería y arquitectura. Aprendimos con este trabajo a mirar más detenidamente lo que nos rodea. Las parábolas poseen un gran contenido estético y son muy llamativas por ser simétricas. También nos dimos cuenta que no sólo existen figuras concretas con formas de parábolas, sino que existen diferentes movimientos que forman parábolas, como por ejemplo: la técnica de lanzamiento de dedos en voleibol para dar pases, las canastas utilizadas en básquetbol para encestar, movimientos con cintas y cuerdas en gimnasia rítmica, etc. Lo que aprendemos no lo aprendemos porque si; todo esto tendrá una finalidad si lo queremos, podremos hacer grandes cosas con el conocimiento adquirido y una disposición a hacer algo mejor.
  • 51.
    Por su atención,muchas gracias