PRÁCTICA N° 08. QUESO FRESCO PASTEURIZADO

TECNOLOGÍA DE LECHE Y DERIVADOS

PRÁCTICA N° 08
ELABORACIÓN DE QUESO FRESCO PASTEURIZADO

Es un producto de amplio consumo en todo el mundo. Presenta distintos nombres según la región de
producción y numerosas variantes en cuanto a las técnicas de elaboración.
IV. RESULTADOS Y DISCUSIONES
Recepción

Filtrado

Pasteurización

65° por 30 minutos

Enfriamiento

36-38°C

Adición CaCl2

20g por 100L
diluir 250 mL de agua
hervida fría

Adición Cuajo

Cleric, diluir 2/4 cdta en
½ Lt agua

15 minutos

UNIVERSIDAD NACIONAL DE TRUJILLO-MARTÍNEZ SALDAÑA, YURICO ELIZABETH

Página 1
PRÁCTICA N° 08. QUESO FRESCO PASTEURIZADO

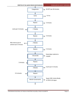
Coagulación

TECNOLOGÍA DE LECHE Y DERIVADOS

34-35°C por 30 minutos

Corte

Reposo

Lenta por 5 minutos

En lira

5 minutos

1° Batido

Reposo

Más intenso que el
anterior por 5 minutos

2°Batido

Reposo

Desuerado
Desuerado

5 minutos

5 minutos

Hasta dejar cubierta la
cuajada

Reposo
Reposo

3°Batido
3°Batido

3-5 minutos

5 minutos

Fuerte por 5 minutos

Reposo
Reposo

Adición Conservante

5g por 100 L leche diluido
en 250 mL de agua

UNIVERSIDAD NACIONAL DE TRUJILLO-MARTÍNEZ SALDAÑA, YURICO ELIZABETH

Página 2
PRÁCTICA N° 08. QUESO FRESCO PASTEURIZADO

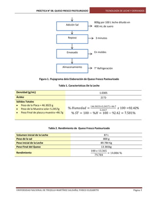
Adición Sal

Reposo

Envasado

Almacenamiento

TECNOLOGÍA DE LECHE Y DERIVADOS

800g por 100 L leche diluido en
400 mL de suero

3 minutos

En moldes

T° Refrigeración

Figura 1. Flujograma dela Elaboración de Queso Fresco Pasteurizado
Tabla 1. Características De la Leche
Densidad (g/mL)

1.0305

Ácidez

21°D

Sólidos Totales
Peso de la Placa = 46.3023 g
Peso de la Muestra sola= 5.2457g
Peso Final de placa y muestra =46.7g

92.42%

Tabla 2. Rendimiento de Queso Fresco Pasteurizado
Volumen inicial de la Leche
Peso de la sal
Peso inicial de la Leche
Peso Final del Queso

87 L
800 g
89.784 Kg
13.365kg

Rendimiento

UNIVERSIDAD NACIONAL DE TRUJILLO-MARTÍNEZ SALDAÑA, YURICO ELIZABETH

Página 3
PRÁCTICA N° 08. QUESO FRESCO PASTEURIZADO

TECNOLOGÍA DE LECHE Y DERIVADOS

Figura 2. Pasteurizacion d ela
Leche

Figura 3. colado de la Leche

Figura 4. Coagulacion

Figura 5. Corte con Lira

Figura 6. Primer Reposo

Figura 7. Primer Batido

Figura 8. Reposo Final

Figura 9. Envasado del Queso
Fresco

UNIVERSIDAD NACIONAL DE TRUJILLO-MARTÍNEZ SALDAÑA, YURICO ELIZABETH

Página 4
PRÁCTICA N° 08. QUESO FRESCO PASTEURIZADO

Figura 10. Análisis de Sólidos
Totales en Queso

Figura 11. Queso Fresco
Especiado

TECNOLOGÍA DE LECHE Y DERIVADOS

Figura 12. Queso Fresco Final

Según Yee (1994), el queso es una conserva, de color blanco y sabor salado, que se obtiene por
pasteurización de la leche entera de ordeño reciente, cuajando (adicionando cuajo), acidificando (con
fermentos bacterianos) y desuerando la leche. Además se agrega sal para el sabor y cloruro de calcio
(opcional) para favorecer el proceso de coagulación. Esto se observa en la Figura 9, obteniendo un queso de
color blanco salado, lo cual se hizo por pasteurización de la leche (Figuras2, 11 y 12).
Según Guzmán, et al (1991), el primer reposo debe ser de 5 minutos, el 1° batido de 15-20 minutos, el
segundo reposo 5 minutos, el lavado con agua a 60°C hasta llegar a 38°C; el segundo batido es de 15-20
minutos, 3° reposo 5 minutos antes del segundo desuerado, adición de sal y persevantes por cuajada,
enmoldado en tubos o paneras, descanso en mesa, 30 minutos. Esto se comprobó en la Figura 1, donde
vemos que nuestro Flujograma siguió a lo expuesto por el autor.
Según Moreno (2001), deben hacerse pruebas de acidez, antibióticos, porcentaje de grasa y análisis
organoléptico (sabor, olor, color). Su acidez es de 16-18°D, su densidad de 1.028-1.034 g/mL, y sus sólidos
totales un promedio de 11.4. Esto se comprueba en la Tabla 1, donde la densidad es 1.0305 g/mL, la ácidez
es 21°D y sus sólidos totales es de 7.581%. Lo cual están en el rango óptimo excepto el de los sólidos totales.
Según Revilla (1982), la pasteurización consiste en calentar la leche a una temperatura de 65°C por 30
minutos, para eliminar los microorganismos patógenos y mantener las propiedades nutricionales de la leche,
para luego producir un queso de buena calidad. Aquí debe agregarse el cloruro de calcio en una proporción
del 0.02-0.03% en relación a la leche que entró a proceso. Esto se comprobó en la Figura 2 donde vemos la
pasteurización a la que se sometió la leche y en la Figura 1, donde en el Flujograma se le agregó de Cloruro
de Calcio 17.4 g lo cual está en la proporción.
Según Batro (2010), la adición del cuajo se hace agregando entre 7 y 10 cc de cuajo líquido por cada 100
litros de leche o bien 2 pastillas para 100 litros (siga las instrucciones del fabricante). Se agita la leche durante
un minuto para disolver el cuajo y luego se deja en reposo para que se produzca el cuajado, lo cual toma de
20 a 30 minutos a una temperatura de 38-39 °C.Esto se comprobó en la Figura 1, donde el cuajo es una
sustancia que tiene la propiedad de cuajar la caseína contenida en la leche, facilitando la concentración de
sólidos y produciendo lo que se conoce como suero de leche. Los cultivos bacterianos, son cultivos de
bacterias útiles para la producción del queso y pueden ser acidificantes o aromatizantes
Según García, et al (1993), la masa cuajada se corta, con una lira o con cuchillos, en cuadros pequeños para
dejar salir la mayor cantidad de suero posible. Para mejorar la salida del suero debe batirse la cuajada. Esta
UNIVERSIDAD NACIONAL DE TRUJILLO-MARTÍNEZ SALDAÑA, YURICO ELIZABETH

Página 5
PRÁCTICA N° 08. QUESO FRESCO PASTEURIZADO

TECNOLOGÍA DE LECHE Y DERIVADOS

operación de cortar y batir debe durar 10 minutos y al finalizar este tiempo se deja reposar la masa durante 5
minutos. La acidez en este punto debe estar entre 11 y 12 °Dornic. Esto se comprobó del corte con la lira en
las figuras 4 y 5, lo cual mejoro la salida del suero.
Según Revilla (1982), la cuajada se lava para eliminar residuos de suero y bloquear el desarrollo de
microorganismos dañinos al queso. Se puede asumir que por cada 100 litros de leche que entra al proceso,
hay que sacar 35 litros de suero y reemplazarlo con 30 litros de agua tibia (35°C), que se escurren de una vez.
Se comprobó en las figuras 6 y 7 donde vemos que el reposo y el primer batido ayudan a mejorar la textura
del queso y en el cual el rendimiento expresado en la Tabla 2 es de 14.886% por lo que se perdió bastante
leche en el proceso y en las enjuagadas.
Según García, et al (1993), los moldes para el queso pueden ser de acero inoxidable o de plástico PVC,
cuadrados o redondos, se cubren con un lienzo y se llenan con la cuajada. En este momento, se debe hacer
una pequeña presión al queso para compactarlo mejor. Esto se observa en la Figura 9 en lo cual lo
envasamos en depósitos de acero inoxidable.
V. CONCLUSIONES
Mediante la adecuada capacitación por parte de los ingenieros en el manejo y elaboración de quesos
frescos, se llegó a elaborar a partir de la leche fresca, consiguiendo un queso de buena calidad y
textura. De igual modo sus análisis hechos en clase como acidez 21°D, Densidad 1.0305 g/mL y sus
sólidos totales 7.58 % se asemejan a los valores indicados en bibliografía y con un rendimiento bajo
de 14.886 %, el cual se debe a los varis lavados .
VI. CUESTIONARIO
1. ¿Cómo influye la acidificación en la pasta delos quesos?
El cortado, la agitación e incluso el calentamiento por sí solos no permiten en la práctica la obtención de una
cuajada adecuada a partir de un coágulo. Es necesaria la intervención de un proceso biológico, la
acidificación. Las bacterias lácticas permanecen, en su mayoría, retenidas en los granos de cuajado, Su
crecimiento y, por tanto, su actividad acidificante, favorece la expulsión de humedad de la cuajada. La
acidificación influye de manera determinante en la composición química y en las características físicas de la
cuajada.
El éxito de un proceso de fabricación de queso, depende de una combinación juiciosa de estos tres factores;
acción mecánica, el calentamiento y la acidificación.
2. Menciones los diferentes tipos de quesos, los fermentos lácteos que se utilizan en cada uno de ellos y
que tipo de queso es según su pasta?
Los quesos pueden ser divididos en varias familias, grupos o tipos. Probablemente la forma más sencilla de
identificar el tipo de queso es agrupándolo dependiendo de cómo son fabricados y en similitudes en su
apariencia y sabor.
a) Quesos Frescos:Queso duro, madurados por bacterias, estos quesos tienen un elevado contenido acuoso
que oscila entre 50 y 80%, los quesos frescos se obtienen por una coagulación ácida, aquí tenemos:
UNIVERSIDAD NACIONAL DE TRUJILLO-MARTÍNEZ SALDAÑA, YURICO ELIZABETH

Página 6
PRÁCTICA N° 08. QUESO FRESCO PASTEURIZADO

TECNOLOGÍA DE LECHE Y DERIVADOS

Queso Blanco:Normalmente, la coagulación se provoca a una temperatura de 82°C, con un
ácido orgánico, sin utilizar cultivos lácticos o cuajo. El ácido acético glacial es el más
utilizado.Para elaborar el queso blanco, la leche higienizada se estandariza al 3% de grasa, se
calienta a 82°C
Cottage, este tipo de queso fresco se elabora con leche descremada. Tiene una consistencia
untuosa y una coagulación láctica pura, pero ahora se añade una pequeña cantidad de cuajo
para acelerar el proceso.
Queso crema, la coagulación es del tipo láctico con adición de una pequeña cantidad de
cuajo. Se utiliza el mismo cultivo que para el queso Cottage.El coágulo no se corta, pero se
fragmenta por agitación mecánica o con un rastrillo.Para queso Neufchatel, la leche se
estandariza a 5% de grasa y para queso crema a 11,5%.
Requesón magro, el requesón también se conoce como cuajada magra o quark. Se elabora
de leche descremada. Aunque el producto casi no contiene grasa, a veces se le adiciona
crema para alcanzar un cierto contenido de grasa. La coagulación es del tipo láctico con
adición de cuajo. Normalmente se utiliza el cultivo de mantequería para la siembra de la
leche.
Mozzarella,Se obtiene por la coagulación enzimática. La característica de este queso es que
se deja remojar la cuajada escurrida en agua caliente y luego la masa se amasa y se estira
hasta que se vuelve plástica.
b) Quesos Madurados: pasan por un largo proceso de maduración, intensifican su sabor con el tiempo, son
de sabor fuerte y aroma intenso. Es semigraso semiduro.

Madurados por Bacterias:

Madurados Internamente
por Mohos
Madurados
Superficialmente por Mohos

Cheddar: Queso duro, 34-46% humedad, madurado por bacterias,
semigraso.
Gouda: queso semiduro, 45-50% humedad, madurado por bacterias
Colby:es un natural semiduro del queso de la leche de vaca.
Monterey Jack: Pasta semiblanda, corteza natural.
Emmental: es un queso duro, graso, de cubierta amarillo marfil.
Parmesano: queso muy duro, 26-24% humedad, semigraso. Edam: queso
de humedad intermedia y semigraso que se obtiene por coagulación de la
leche por medio del cuajo y/u otras enzimas coagulantes apropiadas,
complementada por la acción de bacterias lácticas específicas. Egmont

Roquefort: Semiduro, 42-52% humedad.
Brie, Camembert: 48-55% humedad. Queso Blando

c) Quesos Procesados: Los quesos procesados son usualmente fabricados a base de uno o dos quesos y
otros ingredientes. El desarrollo del sabor en el queso procesado es detenido ya que los
microorganismos responsables de este desarrollo son eliminados por el calentamiento. Tenemos:
Procesado Amarillo Regular
Procesado Amarillo con Pimento
Procesado Amarillo Light
Procesado Amarillo Cheezpa enriquecido con Vitaminas y Minerales.
UNIVERSIDAD NACIONAL DE TRUJILLO-MARTÍNEZ SALDAÑA, YURICO ELIZABETH

Página 7
PRÁCTICA N° 08. QUESO FRESCO PASTEURIZADO

TECNOLOGÍA DE LECHE Y DERIVADOS

Procesado Amarillo Doble Calcio.
Procesado Amarillo Deslactosado Bajo en Carbohidratos
Procesado Mozzarella Light
Procesado Suizo
Procesado Blanco Batido
Procesado Amarillo Batido
Quesos Frescos: Se trata de quesos de fermentación láctica, con adición en algunos casos de muy poco
cuajo. Son quesos con alta humedad en la pasta, a veces salados o incrementados con nata.
Quesos de pasta blanda y de corteza enmohecida: La familia de estos quesos se caracteriza por que sus
cuajadas obtenidas son mixtas, bien de carácter láctico (Brie de Meaux) o de carácter enzimático.
Quesos de pasta blanda con corteza lavada: Son quesos con coagulación mixta, bien de carácter láctico o de
carácter enzimático.
Quesos de Pasta Azul (Verde): Su característica distintiva es la presencia de moho azul en el interior de la
pasta. Existen dos clases de azules: los denominados "azules fuertes" (Cabrales) y "azules suaves" con
dominio enzimático (Gorgonzola
Quesos de Cabra: Los quesos de cabra, no se distinguen por su modo de elaboración, sino por su leche y, por
tanto, pueden pertenecer a las diferentes familias de elaboración. Los clásicos son de pasta blanda y de
corteza enmohecida (ceniza).
Quesos de pasta prensada sin cocer: Se designan a todos aquellos quesos de carácter enzimático dominante
y contienen una humedad en el extracto seco (%HQD) entre un 44 y un 55%.
Quesos de pasta prensada cocida: Son aquellos quesos que una vez formada la cuajada esta sufre una
cocción o calentamiento entre 53º-55ºC, durante un tiempo entre 30 a 60 minutos.
3.

Además de la renina o fermento LAB, ¿qué otros tipos de cuajos enzimáticos se utilizan en la
elaboración de quesos?

Cuajo natural: El cuajo se agrega a la leche caliente en una proporción de 40 litros de leche para 1 litro de
cuajo (preparado), colándolo y luego con las manos limpias, batimos la cuajada entre 20 a 30 minutos se
escurre y se corta en pedazos. Se bate, la cuajada agregando sal poco a poco, probando para que no sea
muy salada. Se coloca la cuajada en un molde (con huecos), mejor de madera, que tiene un trapo de algodón
limpio, se coloca la tapa y un peso (prensa), dejar por 24 horas, al final de este tiempo se saca y tenemos un
queso fresco.Dentrode los vegetales tenemos la Cuajaleche (GaliumVerum). La quimosina es utilizada en la
fabricación de quesos cuya función es separar la caseína (el 80% aproximadamente del total de proteínas) de
su fase líquida (agua, proteínas del lacto-suero y carbohidratos), llamado suero. Dentro del Cuajo animal
tenemos el cuajo de ternero
Cuajo enzimático: es el más utilizado pudiendo encontrarse en el mercado en formas de líquido, polvo y
pastillas. Se debe disolver unas 40a 50 veces su volumen en agua. La disolución del cuajo asegura una buena
distribución de este en la tina y la sal facilita la disolución una vez añadidas a la leche agitar y remover
durante 2-5 minutos
Cuajo microbiano: Estos mohos se producen en un fermentador y están especialmente concentrados y
purificados para evitar la contaminación con sustancias nocivas que se producen a lo largo del proceso de
crecimiento del moho. El sabor y aroma de quesos producidos con cuajos microbianos suelen ser amargos
UNIVERSIDAD NACIONAL DE TRUJILLO-MARTÍNEZ SALDAÑA, YURICO ELIZABETH

Página 8
PRÁCTICA N° 08. QUESO FRESCO PASTEURIZADO

TECNOLOGÍA DE LECHE Y DERIVADOS

especialmente si se requiere una maduración larga. Los llamados cuajos microbianos son propicios para una
dieta vegetariana si no se han utilizado productos animales en el fermentador para la producción.

Figura 13. Coagulantes de uso común y sus enzimas componentes.
4. Identificar los puntos críticos durante el control de calidad y proceso de elaboración.
En la Recepción de la leche, ya que si no se toma en cuenta puede estar contaminada con microorganismo
patógenos, residuos químicos o insectos. En la pasteurización, en la coagulación, en el corte de la cuajada, en
los batidos y en el moldeado,
5. ¿Cuáles son las características de la leche para la elaboración del queso fresco?
La leche se somete a tratamientos para obtener un producto homogéneo y con parámetros óptimos para la
obtención del queso que se fabricará. Tratamientos: Filtrado, Clarificación, Desnatado o añadido de nata
(obtener contenido graso óptimo), Homogenización de los glóbulos grasos en el seno de la leche.
Pasteurización (72ºC/15 seg. HTST). La leche se puede someter a 70 – 80ºC durante 15 – 20 minutos, cuyo
proceso de denomina pasteurización, el objeto es eliminar M.O patógenos de la leche.

VI. REFERENCIAS BIBLIOGRÁFICAS
Batro, P. (2010). Quesos artesanales. Colección Biblioteca visual Albatros. Editorial Albatros.
ISBN950241263X, 9789502412634. 159 páginas.

UNIVERSIDAD NACIONAL DE TRUJILLO-MARTÍNEZ SALDAÑA, YURICO ELIZABETH

Página 9
PRÁCTICA N° 08. QUESO FRESCO PASTEURIZADO

TECNOLOGÍA DE LECHE Y DERIVADOS

García, M. Quintero, R. López, A. (1993). Tecnología alimentaria. Editor EditorialLimusa.ISBN:
9789681845223. 636 páginas.

9681845226,

Guzmán, V. (1991). Procesamiento de quesos. Serie productos lácteos No. 1. Depto. de Agroindustria y
Tecnología de Alimentos, Facultad de Ciencias agrarias Y Forestales, Universidad de Chile. Red de
Agroindustria Rural, REDAR-Chile. Santiago. 31 p.
Moreno, S. (2001). Manual de Elaboración de Productos Lácteos. Universidad Autónoma Chapingo, Depto.
Ingeniería Agroindustrial. Mayo 2001. 133p
Revilla, A. (1982). Tecnología de la leche. Procesamiento, Manufactura y Análisis. Instituto Interamericano de
Cooperación para la Agricultura. San José, 399 p.
Yee, M. (1994). Las Quesería Rurales de Costa Rica. Ministerio de Agricultura y Ganadería. Turrialba, 1994, 40
p.

UNIVERSIDAD NACIONAL DE TRUJILLO-MARTÍNEZ SALDAÑA, YURICO ELIZABETH

Página 10

Elaboracion de queso fresco pasteurizado

  • 1.
    PRÁCTICA N° 08.QUESO FRESCO PASTEURIZADO TECNOLOGÍA DE LECHE Y DERIVADOS PRÁCTICA N° 08 ELABORACIÓN DE QUESO FRESCO PASTEURIZADO Es un producto de amplio consumo en todo el mundo. Presenta distintos nombres según la región de producción y numerosas variantes en cuanto a las técnicas de elaboración. IV. RESULTADOS Y DISCUSIONES Recepción Filtrado Pasteurización 65° por 30 minutos Enfriamiento 36-38°C Adición CaCl2 20g por 100L diluir 250 mL de agua hervida fría Adición Cuajo Cleric, diluir 2/4 cdta en ½ Lt agua 15 minutos UNIVERSIDAD NACIONAL DE TRUJILLO-MARTÍNEZ SALDAÑA, YURICO ELIZABETH Página 1
  • 2.
    PRÁCTICA N° 08.QUESO FRESCO PASTEURIZADO Coagulación TECNOLOGÍA DE LECHE Y DERIVADOS 34-35°C por 30 minutos Corte Reposo Lenta por 5 minutos En lira 5 minutos 1° Batido Reposo Más intenso que el anterior por 5 minutos 2°Batido Reposo Desuerado Desuerado 5 minutos 5 minutos Hasta dejar cubierta la cuajada Reposo Reposo 3°Batido 3°Batido 3-5 minutos 5 minutos Fuerte por 5 minutos Reposo Reposo Adición Conservante 5g por 100 L leche diluido en 250 mL de agua UNIVERSIDAD NACIONAL DE TRUJILLO-MARTÍNEZ SALDAÑA, YURICO ELIZABETH Página 2
  • 3.
    PRÁCTICA N° 08.QUESO FRESCO PASTEURIZADO Adición Sal Reposo Envasado Almacenamiento TECNOLOGÍA DE LECHE Y DERIVADOS 800g por 100 L leche diluido en 400 mL de suero 3 minutos En moldes T° Refrigeración Figura 1. Flujograma dela Elaboración de Queso Fresco Pasteurizado Tabla 1. Características De la Leche Densidad (g/mL) 1.0305 Ácidez 21°D Sólidos Totales Peso de la Placa = 46.3023 g Peso de la Muestra sola= 5.2457g Peso Final de placa y muestra =46.7g 92.42% Tabla 2. Rendimiento de Queso Fresco Pasteurizado Volumen inicial de la Leche Peso de la sal Peso inicial de la Leche Peso Final del Queso 87 L 800 g 89.784 Kg 13.365kg Rendimiento UNIVERSIDAD NACIONAL DE TRUJILLO-MARTÍNEZ SALDAÑA, YURICO ELIZABETH Página 3
  • 4.
    PRÁCTICA N° 08.QUESO FRESCO PASTEURIZADO TECNOLOGÍA DE LECHE Y DERIVADOS Figura 2. Pasteurizacion d ela Leche Figura 3. colado de la Leche Figura 4. Coagulacion Figura 5. Corte con Lira Figura 6. Primer Reposo Figura 7. Primer Batido Figura 8. Reposo Final Figura 9. Envasado del Queso Fresco UNIVERSIDAD NACIONAL DE TRUJILLO-MARTÍNEZ SALDAÑA, YURICO ELIZABETH Página 4
  • 5.
    PRÁCTICA N° 08.QUESO FRESCO PASTEURIZADO Figura 10. Análisis de Sólidos Totales en Queso Figura 11. Queso Fresco Especiado TECNOLOGÍA DE LECHE Y DERIVADOS Figura 12. Queso Fresco Final Según Yee (1994), el queso es una conserva, de color blanco y sabor salado, que se obtiene por pasteurización de la leche entera de ordeño reciente, cuajando (adicionando cuajo), acidificando (con fermentos bacterianos) y desuerando la leche. Además se agrega sal para el sabor y cloruro de calcio (opcional) para favorecer el proceso de coagulación. Esto se observa en la Figura 9, obteniendo un queso de color blanco salado, lo cual se hizo por pasteurización de la leche (Figuras2, 11 y 12). Según Guzmán, et al (1991), el primer reposo debe ser de 5 minutos, el 1° batido de 15-20 minutos, el segundo reposo 5 minutos, el lavado con agua a 60°C hasta llegar a 38°C; el segundo batido es de 15-20 minutos, 3° reposo 5 minutos antes del segundo desuerado, adición de sal y persevantes por cuajada, enmoldado en tubos o paneras, descanso en mesa, 30 minutos. Esto se comprobó en la Figura 1, donde vemos que nuestro Flujograma siguió a lo expuesto por el autor. Según Moreno (2001), deben hacerse pruebas de acidez, antibióticos, porcentaje de grasa y análisis organoléptico (sabor, olor, color). Su acidez es de 16-18°D, su densidad de 1.028-1.034 g/mL, y sus sólidos totales un promedio de 11.4. Esto se comprueba en la Tabla 1, donde la densidad es 1.0305 g/mL, la ácidez es 21°D y sus sólidos totales es de 7.581%. Lo cual están en el rango óptimo excepto el de los sólidos totales. Según Revilla (1982), la pasteurización consiste en calentar la leche a una temperatura de 65°C por 30 minutos, para eliminar los microorganismos patógenos y mantener las propiedades nutricionales de la leche, para luego producir un queso de buena calidad. Aquí debe agregarse el cloruro de calcio en una proporción del 0.02-0.03% en relación a la leche que entró a proceso. Esto se comprobó en la Figura 2 donde vemos la pasteurización a la que se sometió la leche y en la Figura 1, donde en el Flujograma se le agregó de Cloruro de Calcio 17.4 g lo cual está en la proporción. Según Batro (2010), la adición del cuajo se hace agregando entre 7 y 10 cc de cuajo líquido por cada 100 litros de leche o bien 2 pastillas para 100 litros (siga las instrucciones del fabricante). Se agita la leche durante un minuto para disolver el cuajo y luego se deja en reposo para que se produzca el cuajado, lo cual toma de 20 a 30 minutos a una temperatura de 38-39 °C.Esto se comprobó en la Figura 1, donde el cuajo es una sustancia que tiene la propiedad de cuajar la caseína contenida en la leche, facilitando la concentración de sólidos y produciendo lo que se conoce como suero de leche. Los cultivos bacterianos, son cultivos de bacterias útiles para la producción del queso y pueden ser acidificantes o aromatizantes Según García, et al (1993), la masa cuajada se corta, con una lira o con cuchillos, en cuadros pequeños para dejar salir la mayor cantidad de suero posible. Para mejorar la salida del suero debe batirse la cuajada. Esta UNIVERSIDAD NACIONAL DE TRUJILLO-MARTÍNEZ SALDAÑA, YURICO ELIZABETH Página 5
  • 6.
    PRÁCTICA N° 08.QUESO FRESCO PASTEURIZADO TECNOLOGÍA DE LECHE Y DERIVADOS operación de cortar y batir debe durar 10 minutos y al finalizar este tiempo se deja reposar la masa durante 5 minutos. La acidez en este punto debe estar entre 11 y 12 °Dornic. Esto se comprobó del corte con la lira en las figuras 4 y 5, lo cual mejoro la salida del suero. Según Revilla (1982), la cuajada se lava para eliminar residuos de suero y bloquear el desarrollo de microorganismos dañinos al queso. Se puede asumir que por cada 100 litros de leche que entra al proceso, hay que sacar 35 litros de suero y reemplazarlo con 30 litros de agua tibia (35°C), que se escurren de una vez. Se comprobó en las figuras 6 y 7 donde vemos que el reposo y el primer batido ayudan a mejorar la textura del queso y en el cual el rendimiento expresado en la Tabla 2 es de 14.886% por lo que se perdió bastante leche en el proceso y en las enjuagadas. Según García, et al (1993), los moldes para el queso pueden ser de acero inoxidable o de plástico PVC, cuadrados o redondos, se cubren con un lienzo y se llenan con la cuajada. En este momento, se debe hacer una pequeña presión al queso para compactarlo mejor. Esto se observa en la Figura 9 en lo cual lo envasamos en depósitos de acero inoxidable. V. CONCLUSIONES Mediante la adecuada capacitación por parte de los ingenieros en el manejo y elaboración de quesos frescos, se llegó a elaborar a partir de la leche fresca, consiguiendo un queso de buena calidad y textura. De igual modo sus análisis hechos en clase como acidez 21°D, Densidad 1.0305 g/mL y sus sólidos totales 7.58 % se asemejan a los valores indicados en bibliografía y con un rendimiento bajo de 14.886 %, el cual se debe a los varis lavados . VI. CUESTIONARIO 1. ¿Cómo influye la acidificación en la pasta delos quesos? El cortado, la agitación e incluso el calentamiento por sí solos no permiten en la práctica la obtención de una cuajada adecuada a partir de un coágulo. Es necesaria la intervención de un proceso biológico, la acidificación. Las bacterias lácticas permanecen, en su mayoría, retenidas en los granos de cuajado, Su crecimiento y, por tanto, su actividad acidificante, favorece la expulsión de humedad de la cuajada. La acidificación influye de manera determinante en la composición química y en las características físicas de la cuajada. El éxito de un proceso de fabricación de queso, depende de una combinación juiciosa de estos tres factores; acción mecánica, el calentamiento y la acidificación. 2. Menciones los diferentes tipos de quesos, los fermentos lácteos que se utilizan en cada uno de ellos y que tipo de queso es según su pasta? Los quesos pueden ser divididos en varias familias, grupos o tipos. Probablemente la forma más sencilla de identificar el tipo de queso es agrupándolo dependiendo de cómo son fabricados y en similitudes en su apariencia y sabor. a) Quesos Frescos:Queso duro, madurados por bacterias, estos quesos tienen un elevado contenido acuoso que oscila entre 50 y 80%, los quesos frescos se obtienen por una coagulación ácida, aquí tenemos: UNIVERSIDAD NACIONAL DE TRUJILLO-MARTÍNEZ SALDAÑA, YURICO ELIZABETH Página 6
  • 7.
    PRÁCTICA N° 08.QUESO FRESCO PASTEURIZADO TECNOLOGÍA DE LECHE Y DERIVADOS Queso Blanco:Normalmente, la coagulación se provoca a una temperatura de 82°C, con un ácido orgánico, sin utilizar cultivos lácticos o cuajo. El ácido acético glacial es el más utilizado.Para elaborar el queso blanco, la leche higienizada se estandariza al 3% de grasa, se calienta a 82°C Cottage, este tipo de queso fresco se elabora con leche descremada. Tiene una consistencia untuosa y una coagulación láctica pura, pero ahora se añade una pequeña cantidad de cuajo para acelerar el proceso. Queso crema, la coagulación es del tipo láctico con adición de una pequeña cantidad de cuajo. Se utiliza el mismo cultivo que para el queso Cottage.El coágulo no se corta, pero se fragmenta por agitación mecánica o con un rastrillo.Para queso Neufchatel, la leche se estandariza a 5% de grasa y para queso crema a 11,5%. Requesón magro, el requesón también se conoce como cuajada magra o quark. Se elabora de leche descremada. Aunque el producto casi no contiene grasa, a veces se le adiciona crema para alcanzar un cierto contenido de grasa. La coagulación es del tipo láctico con adición de cuajo. Normalmente se utiliza el cultivo de mantequería para la siembra de la leche. Mozzarella,Se obtiene por la coagulación enzimática. La característica de este queso es que se deja remojar la cuajada escurrida en agua caliente y luego la masa se amasa y se estira hasta que se vuelve plástica. b) Quesos Madurados: pasan por un largo proceso de maduración, intensifican su sabor con el tiempo, son de sabor fuerte y aroma intenso. Es semigraso semiduro. Madurados por Bacterias: Madurados Internamente por Mohos Madurados Superficialmente por Mohos Cheddar: Queso duro, 34-46% humedad, madurado por bacterias, semigraso. Gouda: queso semiduro, 45-50% humedad, madurado por bacterias Colby:es un natural semiduro del queso de la leche de vaca. Monterey Jack: Pasta semiblanda, corteza natural. Emmental: es un queso duro, graso, de cubierta amarillo marfil. Parmesano: queso muy duro, 26-24% humedad, semigraso. Edam: queso de humedad intermedia y semigraso que se obtiene por coagulación de la leche por medio del cuajo y/u otras enzimas coagulantes apropiadas, complementada por la acción de bacterias lácticas específicas. Egmont Roquefort: Semiduro, 42-52% humedad. Brie, Camembert: 48-55% humedad. Queso Blando c) Quesos Procesados: Los quesos procesados son usualmente fabricados a base de uno o dos quesos y otros ingredientes. El desarrollo del sabor en el queso procesado es detenido ya que los microorganismos responsables de este desarrollo son eliminados por el calentamiento. Tenemos: Procesado Amarillo Regular Procesado Amarillo con Pimento Procesado Amarillo Light Procesado Amarillo Cheezpa enriquecido con Vitaminas y Minerales. UNIVERSIDAD NACIONAL DE TRUJILLO-MARTÍNEZ SALDAÑA, YURICO ELIZABETH Página 7
  • 8.
    PRÁCTICA N° 08.QUESO FRESCO PASTEURIZADO TECNOLOGÍA DE LECHE Y DERIVADOS Procesado Amarillo Doble Calcio. Procesado Amarillo Deslactosado Bajo en Carbohidratos Procesado Mozzarella Light Procesado Suizo Procesado Blanco Batido Procesado Amarillo Batido Quesos Frescos: Se trata de quesos de fermentación láctica, con adición en algunos casos de muy poco cuajo. Son quesos con alta humedad en la pasta, a veces salados o incrementados con nata. Quesos de pasta blanda y de corteza enmohecida: La familia de estos quesos se caracteriza por que sus cuajadas obtenidas son mixtas, bien de carácter láctico (Brie de Meaux) o de carácter enzimático. Quesos de pasta blanda con corteza lavada: Son quesos con coagulación mixta, bien de carácter láctico o de carácter enzimático. Quesos de Pasta Azul (Verde): Su característica distintiva es la presencia de moho azul en el interior de la pasta. Existen dos clases de azules: los denominados "azules fuertes" (Cabrales) y "azules suaves" con dominio enzimático (Gorgonzola Quesos de Cabra: Los quesos de cabra, no se distinguen por su modo de elaboración, sino por su leche y, por tanto, pueden pertenecer a las diferentes familias de elaboración. Los clásicos son de pasta blanda y de corteza enmohecida (ceniza). Quesos de pasta prensada sin cocer: Se designan a todos aquellos quesos de carácter enzimático dominante y contienen una humedad en el extracto seco (%HQD) entre un 44 y un 55%. Quesos de pasta prensada cocida: Son aquellos quesos que una vez formada la cuajada esta sufre una cocción o calentamiento entre 53º-55ºC, durante un tiempo entre 30 a 60 minutos. 3. Además de la renina o fermento LAB, ¿qué otros tipos de cuajos enzimáticos se utilizan en la elaboración de quesos? Cuajo natural: El cuajo se agrega a la leche caliente en una proporción de 40 litros de leche para 1 litro de cuajo (preparado), colándolo y luego con las manos limpias, batimos la cuajada entre 20 a 30 minutos se escurre y se corta en pedazos. Se bate, la cuajada agregando sal poco a poco, probando para que no sea muy salada. Se coloca la cuajada en un molde (con huecos), mejor de madera, que tiene un trapo de algodón limpio, se coloca la tapa y un peso (prensa), dejar por 24 horas, al final de este tiempo se saca y tenemos un queso fresco.Dentrode los vegetales tenemos la Cuajaleche (GaliumVerum). La quimosina es utilizada en la fabricación de quesos cuya función es separar la caseína (el 80% aproximadamente del total de proteínas) de su fase líquida (agua, proteínas del lacto-suero y carbohidratos), llamado suero. Dentro del Cuajo animal tenemos el cuajo de ternero Cuajo enzimático: es el más utilizado pudiendo encontrarse en el mercado en formas de líquido, polvo y pastillas. Se debe disolver unas 40a 50 veces su volumen en agua. La disolución del cuajo asegura una buena distribución de este en la tina y la sal facilita la disolución una vez añadidas a la leche agitar y remover durante 2-5 minutos Cuajo microbiano: Estos mohos se producen en un fermentador y están especialmente concentrados y purificados para evitar la contaminación con sustancias nocivas que se producen a lo largo del proceso de crecimiento del moho. El sabor y aroma de quesos producidos con cuajos microbianos suelen ser amargos UNIVERSIDAD NACIONAL DE TRUJILLO-MARTÍNEZ SALDAÑA, YURICO ELIZABETH Página 8
  • 9.
    PRÁCTICA N° 08.QUESO FRESCO PASTEURIZADO TECNOLOGÍA DE LECHE Y DERIVADOS especialmente si se requiere una maduración larga. Los llamados cuajos microbianos son propicios para una dieta vegetariana si no se han utilizado productos animales en el fermentador para la producción. Figura 13. Coagulantes de uso común y sus enzimas componentes. 4. Identificar los puntos críticos durante el control de calidad y proceso de elaboración. En la Recepción de la leche, ya que si no se toma en cuenta puede estar contaminada con microorganismo patógenos, residuos químicos o insectos. En la pasteurización, en la coagulación, en el corte de la cuajada, en los batidos y en el moldeado, 5. ¿Cuáles son las características de la leche para la elaboración del queso fresco? La leche se somete a tratamientos para obtener un producto homogéneo y con parámetros óptimos para la obtención del queso que se fabricará. Tratamientos: Filtrado, Clarificación, Desnatado o añadido de nata (obtener contenido graso óptimo), Homogenización de los glóbulos grasos en el seno de la leche. Pasteurización (72ºC/15 seg. HTST). La leche se puede someter a 70 – 80ºC durante 15 – 20 minutos, cuyo proceso de denomina pasteurización, el objeto es eliminar M.O patógenos de la leche. VI. REFERENCIAS BIBLIOGRÁFICAS Batro, P. (2010). Quesos artesanales. Colección Biblioteca visual Albatros. Editorial Albatros. ISBN950241263X, 9789502412634. 159 páginas. UNIVERSIDAD NACIONAL DE TRUJILLO-MARTÍNEZ SALDAÑA, YURICO ELIZABETH Página 9
  • 10.
    PRÁCTICA N° 08.QUESO FRESCO PASTEURIZADO TECNOLOGÍA DE LECHE Y DERIVADOS García, M. Quintero, R. López, A. (1993). Tecnología alimentaria. Editor EditorialLimusa.ISBN: 9789681845223. 636 páginas. 9681845226, Guzmán, V. (1991). Procesamiento de quesos. Serie productos lácteos No. 1. Depto. de Agroindustria y Tecnología de Alimentos, Facultad de Ciencias agrarias Y Forestales, Universidad de Chile. Red de Agroindustria Rural, REDAR-Chile. Santiago. 31 p. Moreno, S. (2001). Manual de Elaboración de Productos Lácteos. Universidad Autónoma Chapingo, Depto. Ingeniería Agroindustrial. Mayo 2001. 133p Revilla, A. (1982). Tecnología de la leche. Procesamiento, Manufactura y Análisis. Instituto Interamericano de Cooperación para la Agricultura. San José, 399 p. Yee, M. (1994). Las Quesería Rurales de Costa Rica. Ministerio de Agricultura y Ganadería. Turrialba, 1994, 40 p. UNIVERSIDAD NACIONAL DE TRUJILLO-MARTÍNEZ SALDAÑA, YURICO ELIZABETH Página 10