1. Del ejercicio 1.1 pagina 16 resolver los ejercicios número 1 y 49

Si X      0yY   0, determinar el signo del número real.

1 (a)

1 (b)

1 (c)

1 (d)

Expresar la notación científica de los siguientes números.

49 (a) 427,000=4,27*105

49 (b) 0,000000098 = 9,8*10-8

49 (c) 810000000 = 8,1*108

2. Del ejercicio 2.1 de la página 66 resolver los ejercicios 5 y 31

Resolver las ecuaciones; 2.1 (5), 2.1 (31)

2.1 (5)




2.1 (31)
3. Del ejercicio 3.1 pagina 141 realizar los ejercicios 5 y 21

3.1 (5) encontrar las coordenadas de los puntos A-F

                                            Y
                                       4 Y

                       B               3        F              A

                       B               2                       C
                                       1
                                                           E
                                       0                               X
                  -4          -2            0          2           4
                                       -1

                                       -2

                      C                -3                      D

                                       -4




A (3,3)    B (-3,3)        C (-3,-3)        D (3,-3)       E (3,0)         F (0,3)

3.1 (21) Demuestre que C está en la mediatriz del segmento AB

A (-4,-3), B (6,1),        C (5,-11)

d(A,C)=
=

=

=

=      L.Q.Q.D.

d(B,C)=

=

=

=         L.Q.Q.D.

4. Del ejercicio 5.2 realizar el número 3 y 15

5.2 (3) resolver la siguiente ecuación




Aplicamos la formula cuadrática.
=

X1=               =3

X2=        =

5.2 (15)                    .

                       +3




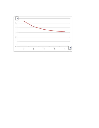
Cuadro de valores
 x          y
 1         5,5
 2        4,25
 3       3,625
 4       3,3125
 5       3,1563
6Y

5

4

3

2

1

0
                         X
     1   2   3   4   5

Primer bimestre segundo siclo matematicas

  • 1.
    1. Del ejercicio1.1 pagina 16 resolver los ejercicios número 1 y 49 Si X 0yY 0, determinar el signo del número real. 1 (a) 1 (b) 1 (c) 1 (d) Expresar la notación científica de los siguientes números. 49 (a) 427,000=4,27*105 49 (b) 0,000000098 = 9,8*10-8 49 (c) 810000000 = 8,1*108 2. Del ejercicio 2.1 de la página 66 resolver los ejercicios 5 y 31 Resolver las ecuaciones; 2.1 (5), 2.1 (31) 2.1 (5) 2.1 (31)
  • 2.
    3. Del ejercicio3.1 pagina 141 realizar los ejercicios 5 y 21 3.1 (5) encontrar las coordenadas de los puntos A-F Y 4 Y B 3 F A B 2 C 1 E 0 X -4 -2 0 2 4 -1 -2 C -3 D -4 A (3,3) B (-3,3) C (-3,-3) D (3,-3) E (3,0) F (0,3) 3.1 (21) Demuestre que C está en la mediatriz del segmento AB A (-4,-3), B (6,1), C (5,-11) d(A,C)=
  • 3.
    = = = = L.Q.Q.D. d(B,C)= = = = L.Q.Q.D. 4. Del ejercicio 5.2 realizar el número 3 y 15 5.2 (3) resolver la siguiente ecuación Aplicamos la formula cuadrática.
  • 4.
    = X1= =3 X2= = 5.2 (15) . +3 Cuadro de valores x y 1 5,5 2 4,25 3 3,625 4 3,3125 5 3,1563
  • 5.
    6Y 5 4 3 2 1 0 X 1 2 3 4 5