UNIVERSIDAD AUTONOMA DE CHIAPAS
FACULTAD DE HUMANIDADES CVI
LICENCIATURA EN PEDAGOGIA
MAESTRA:
ELIZA GUTIERREZ
ALUMNO:
ARNULFO MORALES VALLE
MATERIA: SEMINARIO DE EDUCACION
INFORMAL
FECHA: 04 DE FEBRERO DEL 2013
TEMAS EDUCATIVAS ACTUALES
1.-¿QUÉ IMPORTANCIA SE LE ASIGNA LA EDUCACIÓN EN LAS
SOCIEDADES ACTUALES?
La educación es sin duda una de las más importante instituciones sociales,
la que hace un animal, uno más entre las especies vivas que pueblan la tierra
en lo que entendemos por un ser humano.
La educación se concibe como un proceso de reconstrucción de conocimiento
para tener una mejora formación y enfrentarse a las problemáticas actuales y
las necesidades que los alumnos presentan.
Es decir como el punto principal de la educaciones la escuela donde
(Martin,2002) nos dice que cada escuela crea en el tiempo una cultura
propia que se manifiesta en forma de creencia, representaciones,
expectativas, tradiciones, rituales y simbologías. La relación pedagógica es la
vivencia práctica, cuyos vínculos dependen de gran medida de la cultura
escolar. (p.22).
Por tanto la escuela es de suma importancia desde una perspectiva cultural
y social donde el ser humano se forma, es decir formar al alumno de
acuerdo a las necesidades sociales y enfrentarse ante esas situaciones que
pueden ser problemáticas, pero parase ello forma al alumno que sea capaz
para la resolución de las mismas en esta sociedad actual.
2.- ¿CÓMO DEFINES EL TÉRMINO EDUCACIÓN?
Como un proceso de socialización donde el individuo se va formando,
donde el docente juega un papel de suma importancia dentro del aula de
clases, mediante el proceso enseñanza-aprendizaje.
Por tanto nos dice Durkheim citado por Delval (2008) la educación es la
acción ejercida por las generaciones adultas sobre las que todavía no están
maduras en la vida social. Tiene por objeto suscitar y desarrollar en el niño
cierto número de estados físicos, intelectuales y morales, que exigen de él la
sociedad política en su conjunto y el medio especial al que particularmente
está destinado. (p.3)
Es decir la educación se va construyendo de acuerdo tanto físico y psicológico
y esto se da mediante la vinculación con los demás dentro y fuera del aula o
instituciones.
Entonces la educación es sin duda una formación y construcción.
Mounier citado por Martin (2002) no dice que la educación consiste en la
búsqueda del equilibrio y de la objetivación (exteriorización) o adaptación al
medio y la reflexión crítica (o desadaptación) y transformación del medio. (
P.85)
Esto es decir que el alumno mediante su proceso de educación y formación
que esto se da mediante una socialización, algunas veces no logra adaptarse
dentro de clase porque tiene que ver el origen de su cultura y esto al
relacionarse con los demás ve las cosas de diferentes maneras y por tanto
surge una dificultad durante su proceso de formación que es educación
constructiva.
Por tanto para el proceso de formación la educación debe vincularse con las
demás ramas de formación, es decir una de las importantes que hay que
tomar es una pedagogía psicológica donde Cabanas (1989-1992) nos dice que
la educación psicológica es evidente que, antes que la adquisición del saber
o la capacitación profesional, está en el equilibrio, la autosatisfacción y la
capacidad de reaccionar sensatamente ante las situaciones.
Por tanto el docente tiende a comprender el alumno durante su proceso de
formación y así tener una buena educación en nuestro país ya que es el
principal problema tanto en las comunidades rurales de cada estado y el
estado.
3.-EXPLICA EL PROCESO DE INSTITUCIONALIZACIÓN DE LA
EDUCACIÓN (TÉRMINOS GENERALES) LOS FINES Y MODELOS DE
EDUCATIVOS PROPUESTOS.
La institución para mi es una empresa que forma al alumno de acuerdo al
currículo, que de ello depende los fines y modelos a seguir para tener una
buena educación y formación del alumno esto apegado con las situaciones
y necesidades del individuo. Entonces cada institución tiene sus fines, me
hago una pregunta ¿cuál es la finalidad de este siglo XXI y adonde nos lleva?
Por tanto es necesario tener en cuenta los artículos de la Constitución de los
Estado Unidos Mexicano:
Que el artículo 3º establece que la educación que imparta el Estado tenderá a
desarrollar armónicamente todas las facultades del ser humano y fomentará en
él, a la vez, el amor a la Patria, el respeto a los derechos humanos y la
conciencia de la solidaridad internacional, en la independencia y en la justicia, y
basada en los resultados del progreso científico;
Que el artículo 2º constitucional señala que la Nación Mexicana tiene una
composición pluricultural y que la Federación, los Estados y los Municipios
tienen la obligación de garantizar e incrementar los niveles de escolaridad,
favoreciendo la educación bilingüe e intercultural de los pueblos y comunidades
indígenas;
Entonces diría que los fines están esencialmente vinculado con la cultura y
de ellos apoyados con los modelos pedagógicos para que la educación en
México y de la reforma educativa y la innovación de la misma en un campo
y desarrollo profesional de los alumnos desde una perspectiva competitiva.
Por ello nos diceLlavador, Alonzo (2000) decir que en la función de la escuela
y, por tanto la razón de ser de educar, es transmitir la cultura de una
generación a otra, no es comprometerse demasiado, dado que la función se
puede localizar también en etapas históricas precedentes. La cuestión en este
punto seria, no obstante plantearse la naturaleza del contenido y prácticas que
la escuela habría de adoptar hoy para cumplir mejor su función educadora.
p.12.
En la actualidad la educación sigue siendo una situación compleja de
formación ya que , hace falta la racionalización el país, por tanto debemos
comprender los tres aspecto fundamentales que llevan a ser humano a pensar,
sobre cómo se forma de uno a otro individuo y este como es interpretado del
parte del educando estaría hablando de lo político, económico y social los tres
pilares fundamentales que influyen en la educación.
[Entonces el paradigma de la educación],” es un esbozo de políticas planes y
programas de educativos, en cualquier campo dela actividad educativa, el cual
esta explicito e implícitamente por principios, presuposupociones e hipótesis
que puede ser considerado como una racionalidad teórica”. Torres (1995).
Pag. 25
4.- QUÉ ASPECTO DE LA TRADICIÓN GRECOLATINA PREMIAN
ACTUALMENTE LA VISIÓN QUE SE ENTIENDE DE LA INSTITUCIÓN
ESCOLAR?
Delval (2008) en aquella época la educación se realizaba en la casa pero a
partir de una cierta edad el niño empezaba a asistir a la escuela o iba a
aprender con un maestro, aunque la educación griega paso por diversas
etapas y no era idéntica a todos los estados. pág. 12.
De acuerdo al autor está claro que la educación sigue en un proceso y la
escuela como el punto de partida de formación la cual es una institución y si
estamos hablando de institución no referimos a escuela y ella mismas como
proceso de categorización de formación escolar del alumno ya que de ello
depende su formación intelectual, claro estos proceso de aprendizajes son y
están apoyados de maestro.
En el siglo XXI la el concepto de institución se toma como el sistema
educativo de formación del individuo.
5.-EXPLICA EL PROCESO QUE SIGUIÓ LA IDEA DE GENERALIZACIÓN
DE LA EDUCACIÓN (EDUCACIÓN UNIVERSAL).
La educación como un proceso se deriva de una lucha de clase desde una
concepción capitalista, entonces diríamos que la educación comienza en la
época primitiva cuando estas clase buscaba el origen y producción de las cosa
que lo rodeaba y esto da paso cuando al descubrimiento del fuego donde
ahí la educación se encuentra implícito pero esto da paso a la
reproducción,por tanto la educación de cuyas características ha estado
ocupando una era de toda una educación secundaria, o incluso superior, ya
que las primeras etapas educativas se realizaban en el hogar.
Además era una educación que solo recibían unos pocos. Muchas veces la
clase alta despreciaba cierto tipo de educación, sobre todo de instrucción, y su
formación era sobre todo moral, guerra, etc, Mientras la clase baja no tenía
acceso a ella, ni tampoco veía su utilidad, en una sociedad con poca movilidad
social.
Durante la época del renacimiento donde surge un conocimiento en donde
va dar paso a la humanización del hombre, donde juan amos Comenio escribe
su didáctica magna en donde sostenía que la educación era para todos
Y durante la época de la revolución ilustración va dar paso a la revolución
francesa donde también la educación estaba implícita pero luego sale a la luz y
es donde se va generar proceso conquista, hacia los conocimientos; entonces
la educación se difunde y se generaliza.
Por tanto Condorcert citado por Delval (2008) nos dice que “ofrecer [la
educación] a todos los individuos de la especie humana los medios de
proveer a sus necesidades, de asegurar su bienestar, de conocer y ejercer sus
derechos, de entender y cumplir sus deberes; asegurar a que cada uno de
ellos la facilidad de perfeccionar su industria, de capacitarse para las funciones
sociales a las cuales tienes derecho a ser llamado, de desarrollar en toda su
extensión los talentos que ha recibido de la naturaleza, y de hacer real la
igualdad política reconocida por la ley: Tal debe ser el primer objetivo de una
instrucción nacional, y desde este punto de vista, constituye para el poder
público un deber de justicia.( pág.19)
6.- ¿QUÉ CARACTERÍSTICA SE LE DESIGNA A LA EDUCACIÓN EN LA
MODERNIDAD?
De acuerdo a la reforma educativa actuales las principales características de
la educación son (1)
:
1.-Como una educación innovadora y transformadora del país.
2.- Reformar y modernizar el marco jurídico para una educación de mayor
calidad y equidad, así como reafirmar que la rectoría sobre la política educativa
nacional le corresponde al Estado Mexicano.
3.-para México una educación que promueva la inclusión, la tolerancia y la
paz; una educación de calidad que fomente la innovación, la competitividad y la
productividad de cada mexicano.
4.-La educación que el Estado proporciona ha de estar a la altura de los
requerimientos que impone nuestro tiempo y que la justicia social demanda:
una educación inclusiva que conjugue satisfactoriamente la equidad con la
calidad en la búsqueda de una mayor igualdad de oportunidades para todos los
mexicanos.
Por tanto la educación acorde con la reforma educativa actual proporciona a
cada ser humano la calidad educativa pero estas con un enfoque del
económico-político el individuo no le convienen de acuerdo al mercado laboral
que emana dicha reforma.
7.-DESCRIBE LAS ETAPAS DE CONFIGURACIÓN DE LOS SISTEMAS
(ESTRUCTURAS)) EDUCATIVAS MODERNOS.
ESTRUCTURA DEL SISTEMA EDUCATIVO MEXICANO.
a) Las partes integrantes del sistema.
El artículo 10 de la Ley General de Educación señala que el sistema educativo
nacional está integrado por:
1. Los educando y los educadores.
2. Las autoridades educativas.
3. Los planes, programas, métodos y materiales educativos.
4. Las instituciones educativas del Estado y de sus organismos
descentralizados.
5. Las instituciones de los particulares con autorización o con reconocimiento
de validez oficial de estudios.
6. Las instituciones de educación superior a las que la ley otorga autonomía.
Ideologías: razón, ciencia, la tecnología, la innovación
Fuerzas productivas: sociedad tradicional. Sociedad industrial, sociedad
agraria.
Escuela de estado moderno – Escuela burguesa= Educación moderno.
b) Los niveles educativos del sistema.
El sistema está compuesto por seis niveles educativos: inicial, preescolar,
primaria, secundaria, media superior (bachilleratos y profesional media),
superior (licenciatura y postgrado). Además, el sistema ofrece servicios de
educación especial, de capacitación para el trabajo, de educación para adultos
(alfabetización, primaria y secundaria, capacitación no formal para el trabajo) y
de educación indígena o bilingüe-bicultural (preescolar, primaria y secundaria).
c) Las modalidades escolarizada y abierta.
El sistema ofrece el servicio educativo en dos grandes modalidades:
escolarizada y abierta. El servicio escolarizado está destinado a proporcionar
educación mediante la atención a grupos de alumnos que concurren
diariamente a un centro educativo de acuerdo con el calendario educativo
oficial.
El servicio no escolarizado está destinado a proporcionar la oportunidad de
continuar o concluir su educación a los alumnos que no pueden incorporarse a
los servicios escolarizados. Esta educación se imparte a través de asesorías
pedagógicas a los alumnos sin que para ello tengan que concurrir diariamente
a una escuela. Los alumnos se sujetan a una serie de exámenes para certificar
el adelanto en el cumplimiento del programa. 4.1.2 Los niveles del sistema.
a) Educación inicial.
La educación inicial proporciona educación y asistencia a los niños de 45 días
a cinco años 11 meses de edad, hijos de madres trabajadoras. Esta educación
se da en los Centros de Desarrollo Infantil (CENDI) y en numerosos centros
privados de atención infantil inicial o «maternal». Debido a la cada vez mayor
participación de la mujer en diversas actividades productivas y sociales, en los
últimos años estos centros se han incrementado. En los CENDI se ofrecen
servicios médico, psicológico, de trabajo social, pedagógico, nutricional y
generales. La educación inicial no es obligatoria.
Los objetivos principales de la educación inicial son brindar asistencia y
educación integral a los niños menores de 6 años, hijos de madres
trabajadoras, y proporcionar tranquilidad emocional a las madres durante su
jornada laboral a fin de que su productividad sea mejor en calidad y cantidad.
b) Educación preescolar.
Este ciclo educativo precede a la educación primaria y atiende a niños de
cuatro y cinco años de edad. Se imparte generalmente en tres grados
escolares. El primero y el segundo atienden a niños de cuatro años; el tercero,
a los de cinco. La educación preescolar no es obligatoria y para cursar el
segundo o tercer grados no es condición haber cursado el grado o grados
anteriores.
La educación preescolar se ofrece en tres modalidades: general, indígena y
cursos comunitarios.
OEI - Sistemas Educativos Nacionales - México
El objetivo general de la educación preescolar es promover el desarrollo físico,
intelectual, afectivo, moral, artístico, social y familiar del niño. Este objetivo
general implica que el alumno desarrolle:
a) su autonomía e identidad personal, requisitos indispensables para que
progresivamente se reconozca en su identidad cultural y nacional;
b) formas sensibles de relación con la naturaleza que lo preparen para el
cuidado de la vida en sus diversas manifestaciones;
c) su socialización a través del trabajo grupal y la cooperación con otros niños y
adultos;
d) formas de expresión creativa a través del lenguaje, de su pensamiento y de
su cuerpo, lo cual le permitirá adquirir aprendizajes formales, así como un
acercamiento sensible a los distintos campos del arte y la cultura (SEP, 1992d:
16).
c) Educación primaria
La Constitución Política de México establece el carácter obligatorio de la
educación primaria, la cual se imparte a niños y adultos. La primaria para niños
la cursan, en seis años (seis grados), los niños en edad escolar, es decir, que
tienen de seis a catorce años y se imparte en los medios urbano y rural
conforme al plan de estudios establecido en 1993, el cual incluye ocho
asignaturas: español, matemáticas, ciencias naturales, historia, geografía,
educación cívica, artística y física.
La primaria se divide en tres servicios: general, bilingüe-bicultural y cursos
comunitarios.
En cualquiera de sus modalidades, la educación primaria es propedéutica (es
decir, previa e indispensable) para la educación secundaria. El alumno que la
concluye con éxito recibe un certificado que acredita su preparación.
d) Educación secundaria
La educación secundaria es obligatoria de acuerdo con el artículo tercero de la
Constitución Política de México y se imparte en los siguientes servicios:
general, para trabajadores, telesecundaria, técnica y abierta; a excepción de la
abierta, todos los demás servicios componen la secundaria escolarizada. La
secundaria se proporciona en tres años a la población de 12 a 16 años de edad
que haya concluido la educación primaria. Las personas mayores de 16 años
pueden estudiar en la secundaria para trabajadores o en la modalidad abierta.
Este nivel es propedéutico, es decir, necesario para iniciar estudios medios
profesionales o medios superiores.
e) Capacitación para el trabajo.
La capacitación para el trabajo prepara a los estudiantes para que se
incorporen a la actividad productiva. Tiene como antecedente propedéutico la
educación primaria; se cursa en uno a cuatro años, según la capacitación de
que se trate; prepara al educando en especialidades industriales, agrope-
cuarias, comerciales y de servicios. No equivale a la educación secundaria y
los estudios no permiten a los alumnos ingresar al bachillerato. Esta educación
se imparte a través de la SEP, organismos oficiales (ISSSTE, IMSS,
secretarías de Estado, universidades autónomas, etcétera) e instituciones
privadas.
Sus principales objetivos son procurar que la población con escasa educación
escolar (primaria) se integre a la vida económica, social y cultural de la nación;
promover el desarrollo económico, social y cultural de comunidades geográfica
y socioeconómicamente marginadas; y crear mano de obra calificada para la
industrialización del país.
f) Media superior.
El nivel medio superior comprende tres tipos de educación: propedéutica,
propedéutica-terminal y terminal. Los dos primeros se imparten en las
modalidades escolarizada y abierta. La modalidad escolarizada atiende
generalmente a la población de 16 a 19 años de edad que haya obtenido el
certificado de la secundaria.
El propedéutico se conoce también como bachillerato general. La mayor parte
de las escuelas sigue un plan de estudios de tres años de duración, pero otras
siguen uno de dos años. Al concluir sus estudios, los alumnos pueden acceder
al nivel superior.
El propedéutico-terminal puede ser bachillerato especializado o tecnológico.
Los alumnos reciben, además de la preparación propedéutica general,
formación de técnicos calificados o de profesionales medios con el título
correspondiente.
OEI - Sistemas Educativos Nacionales - México
El terminal o profesional medio ofrece formación técnica, pero no prepara a los
alumnos para continuar estudios superiores. La duración de estos estudios es
de dos a cuatro años y atiende a alumnos que han obtenido el certificado de
secundaria y desean prepararse como profesionales técnicos en actividades
industriales, de servicios y del mar.
El bachillerato general pretende ampliar y consolidar los conocimientos
adquiridos en secundaria y preparar al educando en todas las áreas del
conocimiento para que elija y curse estudios superiores. El bachillerato
tecnológico, además de perseguir los objetivos anteriores, capacita al alumno
para que colabore en el desarrollo económico del país en actividades
industriales, agropecuarias, pesqueras o forestales.
g) Educación superior.
La educación superior es el máximo nivel de estudios. Comprende licenciatura
y postgrado en educación normal, universitaria y tecnológica. Para cursar la
licenciatura y la normal debe concluirse el bachillerato o sus equivalentes; para
cursar estudios de maestría es indispensable la licenciatura; para cursar
estudios de doctorado, es necesario tener el grado de maestría o méritos
académicos equivalentes. Algunas instituciones de educación superior
(Institutos Tecnológicos, Instituto Politécnico Nacional, Universidad Pedagógica
Nacional, Instituto Nacional de Antropología e Historia, Universidad Nacional
Autónoma de México) ofrecen estudios en la modalidad abierta. En general, los
estudios de licenciatura tienen una duración de cuatro a cinco años,
organizados en periodos semestrales.
La licenciatura de normal se divide en normal de educación preescolar; normal
de educación primaria; normal de educación secundaria; normal de educación
física; y normal de educación especial.
El objetivo principal de la educación superior es formar profesionales capaces
en las diversas áreas de la ciencia, la tecnología, la cultura y la docencia que
impulsen el progreso integral de la nación.
h) Educación especial.
La educación especial es una modalidad del sistema educativo nacional que se
imparte a niños y jóvenes que no pueden incorporarse a las instituciones
educativas regulares o continuar en ellas, por presentar alguna alteración
orgánica, psicológica o de conducta social.
Los servicios que ofrece se clasifican en dos grupos, según sea el tipo de
atención que requieran los educandos. En el primer grupo se atiende a niños y
jóvenes cuya necesidad de educación especial es indispensable para su
integración y normalización. Comprende las áreas siguientes: deficiencia
mental, trastornos visuales, de audición y lenguaje y neuromotores; los
servicios con los que cuenta son: escuelas de educación especial y centros de
capacitación de educación especial.
El segundo grupo da atención a niños y jóvenes cuya necesidad de educación
especial es transitoria y complementaria a su educación normal, comprende las
áreas siguientes: problemas de aprendizaje, de lenguaje y de conducta. Sus
servicios son: unidades de grupos integrados y centros psicopedagógicos.
Los objetivos principales de estas escuelas y centros son proporcionar atención
especializada a los niños y jóvenes que la necesiten, con la finalidad de que
puedan desarrollar sus posibilidades físicas y mentales, que les permitan
integrarse a la sociedad y participar activamente en ella.
8.- DE ACUERDO A JUAN DEL VAL ¿CUÁLES SON LOS PROBLEMAS
QUE PRESENTA LA EDUCACIÓN ACTUAL?
La educación es un problema humano tan antiguo como la historia de nuestra
cultura. No ha sido fácil determinar los fines que ha perseguido en los distintos
momentos. Es un hecho, y en esto coinciden distintos filósofos, que se trata de
un acto consciente en consecución del bienestar social.
Delval citado por Samper(2000)“Así pues, podemos afirmar que el tipo de
enseñanza que se proporciona en la mayoría de las escuelas, incluidas las de
los países más desarrollados, tiene como objetivo la producción de individuos
sumisos y contribuye al mantenimiento del orden social, es en muchos
aspectos una preparación para el trabajo dependiente y alienado, por lo que
limita los cambios sociales y constituye un freno al potencial creativo de los
individuos”.pág. 1
Digo, que el principal problema que nos presenta Delval es el tipo de
enseñanza, los problemas afectivos, en las instituciones y las prácticas
educativas de los docentes.
Entonces desde el punto actual el problema es el fracaso parcial
compensatorio de la escuela, que quiero decir con esto, es que la mayoría de
los niños que se atiende es de acuerdo a las clases sociales de los padres y
es ahí está el problema de formación y competividad de la educación. Y es
eso que nos explica que los niños tengan bajo y alto rendimiento tanto niños
como jóvenes universitarios en este pleno siglo XXI.
Por ello Delval (2008) nos plantea que diversos problemas afectan a la
institución escolar. Uno es el llamado fracaso escolar,es decir, el hecho de
que un buen número de individuos no consigan superar los obstáculos que la
escuela plantea, y no obtengan, al término de los estudios, el titulo esperado, lo
cual tiene consecuencia psicológica, sociales, y profesional posteriores, que
puedan ser bastante graves para la vida futura de los individuos que se ven
como fracasados. Unido a ello está el otro fenómeno preocupante, el
abandono de la escuela; muchos alumnos, sobre todo adolecentes, dejan la
escuela porque no sienten interés por lo que les enseñan, ni ven utilidad a lo
que se hace allí. (pág. 29)
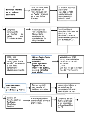
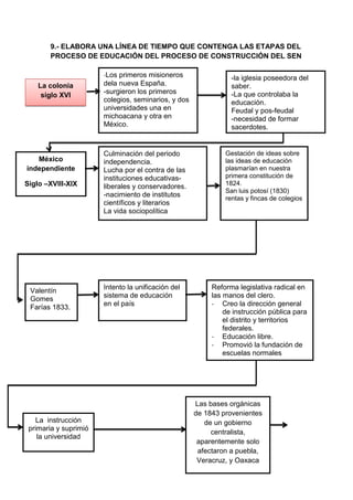
9.- ELABORA UNA LÍNEA DE TIEMPO QUE CONTENGA LAS ETAPAS DEL
PROCESO DE EDUCACIÓN DEL PROCESO DE CONSTRUCCIÓN DEL SEN
La colonia
siglo XVI
-Los primeros misioneros
dela nueva España.
-surgieron los primeros
colegios, seminarios, y dos
universidades una en
michoacana y otra en
México.
-la iglesia poseedora del
saber.
-La que controlaba la
educación.
Feudal y pos-feudal
-necesidad de formar
sacerdotes.
México
independiente
Siglo –XVlll-XlX
Culminación del periodo
independencia.
Lucha por el contra de las
instituciones educativas-
liberales y conservadores.
-nacimiento de institutos
científicos y literarios
La vida sociopolítica
Gestación de ideas sobre
las ideas de educación
plasmarían en nuestra
primera constitución de
1824.
San luis potosí (1830)
rentas y fincas de colegios
Valentín
Gomes
Farías 1833.
Intento la unificación del
sistema de educación
en el país
Reforma legislativa radical en
las manos del clero.
- Creo la dirección general
de instrucción pública para
el distrito y territorios
federales.
- Educación libre.
- Promovió la fundación de
escuelas normales
La instrucción
primaria y suprimió
la universidad
Las bases orgánicas
de 1843 provenientes
de un gobierno
centralista,
aparentemente solo
afectaron a puebla,
Veracruz, y Oaxaca
Primeros intentos
de un sistema
educativo
1846, se restauró la
constitución de
1824, la revolución
de Ayutla y el triunfo
de la idea de los
liberales
El estatuto orgánico
provisional
expedido en 1856
proclamación de
nuestro derecho
constitucional.
Congreso
constituyente
La libertad de
cultos por
Ponciano Arriaga.
Constitución de
1857, los liberales-
libertad de la
enseñanza sin
restricciones de
ninguna clase.
Las profesiones
necesitan título para su
ejercicio y con
requisitos que estos
deberían ser expedidos
por [Estado] art. 3°.
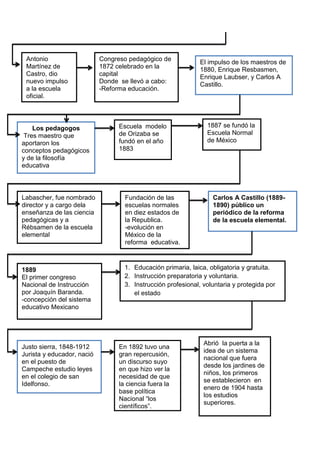
1822-1899
Los sistemas
pedagógicos, fue la
escuela Lancasteriana
el cual de su
pensamiento
educativo dominante.
Gómez Farías fundo
dos escuelas
normales
promulgaron un
reglamento de
instrucción pública,
escuela normales
para adulto.
Vidad Alcocer 1846
-fundo una sociedad de
beneficencia para al
educación.
-1848
Con más de 33 escuelas y
más de 7 mil maestro
Gabino Barreda
1867 ideas
positivistas y Juárez
Formar comisión
para estudiar el
problema educativo
La comisión redacto la
ley orgánica y de
instrucción pública el 2
de diciembre de 1867.
Basada en
filosofía positiva:
Teológica,
Metafísica,
Positiva
Crear la preparatoria
como estudio previo al
profesorado.
Diciembre de 1867
Juárez promulgo
la ley orgánica de
instrucción pública
del DF
Antonio
Martínez de
Castro, dio
nuevo impulso
a la escuela
oficial.
Congreso pedagógico de
1872 celebrado en la
capital
Donde se llevó a cabo:
-Reforma educación.
El impulso de los maestros de
1880, Enrique Resbasmen,
Enrique Laubser, y Carlos A
Castillo.
1887 se fundó la
Escuela Normal
de México
Los pedagogos
Tres maestro que
aportaron los
conceptos pedagógicos
y de la filosofía
educativa
Escuela modelo
de Orizaba se
fundó en el año
1883
Labascher, fue nombrado
director y a cargo dela
enseñanza de las ciencia
pedagógicas y a
Rébsamen de la escuela
elemental
Fundación de las
escuelas normales
en diez estados de
la Republica.
-evolución en
México de la
reforma educativa.
Carlos A Castillo (1889-
1890) público un
periódico de la reforma
de la escuela elemental.
1889
El primer congreso
Nacional de Instrucción
por Joaquín Baranda.
-concepción del sistema
educativo Mexicano
1. Educación primaria, laica, obligatoria y gratuita.
2. Instrucción preparatoria y voluntaria.
3. Instrucción profesional, voluntaria y protegida por
el estado
Justo sierra, 1848-1912
Jurista y educador, nació
en el puesto de
Campeche estudio leyes
en el colegio de san
Idelfonso.
Abrió la puerta a la
idea de un sistema
nacional que fuera
desde los jardines de
niños, los primeros
se establecieron en
enero de 1904 hasta
los estudios
superiores.
En 1892 tuvo una
gran repercusión,
un discurso suyo
en que hizo ver la
necesidad de que
la ciencia fuera la
base política
Nacional “los
científicos”.
v
1901
Fue nombrado ministro
logro que el congreso
creara dos subsecretarias
una de justicia y otra de
educación
El 16 de mayo de
1905 se expidió la
ley que creo la
secretaria de
instrucción pública y
Bellas Artes.
Justo Sierra, el 15 de agosto
de 1908 sea uno de los
principales aportaciones
como secretario de
instrucción pública, en
diversos aspectos, fue muy
fecunda, la ley de educación
primaria para el distrito y
territorios federales.
1906 la educación superior
motivan a Sierra:
1.- la de crear escuela
Nacional de los altos estudios.
2.- y de restablecer la
universidad
1910, creo la ley
de la Escuela
Nacional de los
Altos Estudios
El decreto del 24 de mayo
de 1910 se restablecería en
la universidad
El 22 de septiembre de
1910 se inaugura la
Universidad Nacional de
México
El artículo 3° Venustiano
Carranza. 1859-1920
Primer jefe del ejército
constitucionalista y
Presidente de la
Republica. Nació en
cuatro Ciénegas. Coahuila
Convoco ante la
sorpresa de todo un
congreso constituyente
inicio sus trabajos de
1916 a 31 de enero de
1917.
-la educación seria
laica y gratuita.
Carranza 1916 el 5 de
febrero de 1917
promulga la constitución
y en ella el artículo
tercero y un claro intento
modernizante
El 13 de abril de1916
desaparece la SIP.
(Secretaria de
Instrucción Pública)
La educación paso a
mano del
ayuntamiento en
donde fue su fracaso
por falta de recursos.
1919
-los periódicos publicaron la
lista de libros autorizados de los
20 libros eran de la casa de
Appleton y solo dos de ellos
eran autores y editores
nacionales con ello para
expresar el concepto
revolucionario de la educación.
El 16 de febrero de 1919 los
autores mexicanos se
reunieron para formar la
sociedad de autores
didácticos donde hizo
partícipe Gregorio Torres
Quintero la cual se hizo
pública
Crear textos para una
Educación Nacional
José Vasconcelos
1882-1959
Filósofo, político,
educador y escritor
oaxaqueño.
Se le ha llamado el
maestro de América.
Formo parte del ateneo
de la juventud; en 1910
se afilio al maderismo y
participó activamente en
la Revolución.
Como secretario de la
educación pública y
rector de la universidad
Nacional…
Figura más importante del
país.
-Fue un personaje que
combino el carisma de la
cultura y que creo la
educación de la revolución.
1921-1924 fue titular de la
nueva secretaria.
-su concepción como
instrumentos, básicos para la
realización del país, las
escuelas, los libros, y las
bibliotecas.
-La educación indígena.
-cultura indígena.
Con 1639 escuelas
con 1146 maestros
y monitores y solo
48 maestros
misioneros y la
capacidad de
multiplicación del
esfuerzo era
notable.
La educación
urbana- casa del
pueblo
Educación indígena:
lograr la supresión
de rasgos
culturales.
NACE EL SISTEMA
EDUCATIVO
NACIONAL
Se lograba nueva orientación
ideológica y continúo lo que
justo sierra había cristalizado.
Mezcla de acción de
educación y cultura.
SE
P
Bibliografías.
L. Barba Martin (2002) Pedagogía y relación educativa. Edit.Emma.UNAM.
Mexico.p.22-85
J. María. Quintana Cabanas (1989-1992) pedagogía psicológica, la educación
del carácter y de la personalidad .Edit. DYKINSON. MADRID. P.9
Basica.sep.gob.mx/seb2010/pdf/destacado/Acuerdo_592.pdf
Beltrán Llavador.A San Martin A.(200) diseñar la coherencia Escolar. Edición.
Morata. Madrid. España (p.12)
Delval Juan (2008).los fines de la educación. Siglo XXI.
http://diariojuridico.com.mx/actualidad/noticias/reforma-educativa-para-
transformar-a-mexico-enrique-pe na-nieto.html
Art.(www.institutomerani.edu.co y correo@institutomerani.edu.co)
Art.mailto:quipu@oei.es
Art.SEP.F.sistema Educativo Nacional .pdf.

Temas educativas actuales 2013

  • 1.
    UNIVERSIDAD AUTONOMA DECHIAPAS FACULTAD DE HUMANIDADES CVI LICENCIATURA EN PEDAGOGIA MAESTRA: ELIZA GUTIERREZ ALUMNO: ARNULFO MORALES VALLE MATERIA: SEMINARIO DE EDUCACION INFORMAL FECHA: 04 DE FEBRERO DEL 2013 TEMAS EDUCATIVAS ACTUALES 1.-¿QUÉ IMPORTANCIA SE LE ASIGNA LA EDUCACIÓN EN LAS SOCIEDADES ACTUALES? La educación es sin duda una de las más importante instituciones sociales, la que hace un animal, uno más entre las especies vivas que pueblan la tierra en lo que entendemos por un ser humano. La educación se concibe como un proceso de reconstrucción de conocimiento para tener una mejora formación y enfrentarse a las problemáticas actuales y las necesidades que los alumnos presentan. Es decir como el punto principal de la educaciones la escuela donde (Martin,2002) nos dice que cada escuela crea en el tiempo una cultura propia que se manifiesta en forma de creencia, representaciones, expectativas, tradiciones, rituales y simbologías. La relación pedagógica es la vivencia práctica, cuyos vínculos dependen de gran medida de la cultura escolar. (p.22). Por tanto la escuela es de suma importancia desde una perspectiva cultural y social donde el ser humano se forma, es decir formar al alumno de acuerdo a las necesidades sociales y enfrentarse ante esas situaciones que
  • 2.
    pueden ser problemáticas,pero parase ello forma al alumno que sea capaz para la resolución de las mismas en esta sociedad actual. 2.- ¿CÓMO DEFINES EL TÉRMINO EDUCACIÓN? Como un proceso de socialización donde el individuo se va formando, donde el docente juega un papel de suma importancia dentro del aula de clases, mediante el proceso enseñanza-aprendizaje. Por tanto nos dice Durkheim citado por Delval (2008) la educación es la acción ejercida por las generaciones adultas sobre las que todavía no están maduras en la vida social. Tiene por objeto suscitar y desarrollar en el niño cierto número de estados físicos, intelectuales y morales, que exigen de él la sociedad política en su conjunto y el medio especial al que particularmente está destinado. (p.3) Es decir la educación se va construyendo de acuerdo tanto físico y psicológico y esto se da mediante la vinculación con los demás dentro y fuera del aula o instituciones. Entonces la educación es sin duda una formación y construcción. Mounier citado por Martin (2002) no dice que la educación consiste en la búsqueda del equilibrio y de la objetivación (exteriorización) o adaptación al medio y la reflexión crítica (o desadaptación) y transformación del medio. ( P.85) Esto es decir que el alumno mediante su proceso de educación y formación que esto se da mediante una socialización, algunas veces no logra adaptarse dentro de clase porque tiene que ver el origen de su cultura y esto al relacionarse con los demás ve las cosas de diferentes maneras y por tanto surge una dificultad durante su proceso de formación que es educación constructiva. Por tanto para el proceso de formación la educación debe vincularse con las demás ramas de formación, es decir una de las importantes que hay que tomar es una pedagogía psicológica donde Cabanas (1989-1992) nos dice que la educación psicológica es evidente que, antes que la adquisición del saber o la capacitación profesional, está en el equilibrio, la autosatisfacción y la capacidad de reaccionar sensatamente ante las situaciones. Por tanto el docente tiende a comprender el alumno durante su proceso de formación y así tener una buena educación en nuestro país ya que es el principal problema tanto en las comunidades rurales de cada estado y el estado.
  • 3.
    3.-EXPLICA EL PROCESODE INSTITUCIONALIZACIÓN DE LA EDUCACIÓN (TÉRMINOS GENERALES) LOS FINES Y MODELOS DE EDUCATIVOS PROPUESTOS. La institución para mi es una empresa que forma al alumno de acuerdo al currículo, que de ello depende los fines y modelos a seguir para tener una buena educación y formación del alumno esto apegado con las situaciones y necesidades del individuo. Entonces cada institución tiene sus fines, me hago una pregunta ¿cuál es la finalidad de este siglo XXI y adonde nos lleva? Por tanto es necesario tener en cuenta los artículos de la Constitución de los Estado Unidos Mexicano: Que el artículo 3º establece que la educación que imparta el Estado tenderá a desarrollar armónicamente todas las facultades del ser humano y fomentará en él, a la vez, el amor a la Patria, el respeto a los derechos humanos y la conciencia de la solidaridad internacional, en la independencia y en la justicia, y basada en los resultados del progreso científico; Que el artículo 2º constitucional señala que la Nación Mexicana tiene una composición pluricultural y que la Federación, los Estados y los Municipios tienen la obligación de garantizar e incrementar los niveles de escolaridad, favoreciendo la educación bilingüe e intercultural de los pueblos y comunidades indígenas; Entonces diría que los fines están esencialmente vinculado con la cultura y de ellos apoyados con los modelos pedagógicos para que la educación en México y de la reforma educativa y la innovación de la misma en un campo y desarrollo profesional de los alumnos desde una perspectiva competitiva. Por ello nos diceLlavador, Alonzo (2000) decir que en la función de la escuela y, por tanto la razón de ser de educar, es transmitir la cultura de una generación a otra, no es comprometerse demasiado, dado que la función se puede localizar también en etapas históricas precedentes. La cuestión en este punto seria, no obstante plantearse la naturaleza del contenido y prácticas que la escuela habría de adoptar hoy para cumplir mejor su función educadora. p.12. En la actualidad la educación sigue siendo una situación compleja de formación ya que , hace falta la racionalización el país, por tanto debemos comprender los tres aspecto fundamentales que llevan a ser humano a pensar,
  • 4.
    sobre cómo seforma de uno a otro individuo y este como es interpretado del parte del educando estaría hablando de lo político, económico y social los tres pilares fundamentales que influyen en la educación. [Entonces el paradigma de la educación],” es un esbozo de políticas planes y programas de educativos, en cualquier campo dela actividad educativa, el cual esta explicito e implícitamente por principios, presuposupociones e hipótesis que puede ser considerado como una racionalidad teórica”. Torres (1995). Pag. 25 4.- QUÉ ASPECTO DE LA TRADICIÓN GRECOLATINA PREMIAN ACTUALMENTE LA VISIÓN QUE SE ENTIENDE DE LA INSTITUCIÓN ESCOLAR? Delval (2008) en aquella época la educación se realizaba en la casa pero a partir de una cierta edad el niño empezaba a asistir a la escuela o iba a aprender con un maestro, aunque la educación griega paso por diversas etapas y no era idéntica a todos los estados. pág. 12. De acuerdo al autor está claro que la educación sigue en un proceso y la escuela como el punto de partida de formación la cual es una institución y si estamos hablando de institución no referimos a escuela y ella mismas como proceso de categorización de formación escolar del alumno ya que de ello depende su formación intelectual, claro estos proceso de aprendizajes son y están apoyados de maestro. En el siglo XXI la el concepto de institución se toma como el sistema educativo de formación del individuo. 5.-EXPLICA EL PROCESO QUE SIGUIÓ LA IDEA DE GENERALIZACIÓN DE LA EDUCACIÓN (EDUCACIÓN UNIVERSAL). La educación como un proceso se deriva de una lucha de clase desde una concepción capitalista, entonces diríamos que la educación comienza en la época primitiva cuando estas clase buscaba el origen y producción de las cosa que lo rodeaba y esto da paso cuando al descubrimiento del fuego donde ahí la educación se encuentra implícito pero esto da paso a la reproducción,por tanto la educación de cuyas características ha estado ocupando una era de toda una educación secundaria, o incluso superior, ya que las primeras etapas educativas se realizaban en el hogar.
  • 5.
    Además era unaeducación que solo recibían unos pocos. Muchas veces la clase alta despreciaba cierto tipo de educación, sobre todo de instrucción, y su formación era sobre todo moral, guerra, etc, Mientras la clase baja no tenía acceso a ella, ni tampoco veía su utilidad, en una sociedad con poca movilidad social. Durante la época del renacimiento donde surge un conocimiento en donde va dar paso a la humanización del hombre, donde juan amos Comenio escribe su didáctica magna en donde sostenía que la educación era para todos Y durante la época de la revolución ilustración va dar paso a la revolución francesa donde también la educación estaba implícita pero luego sale a la luz y es donde se va generar proceso conquista, hacia los conocimientos; entonces la educación se difunde y se generaliza. Por tanto Condorcert citado por Delval (2008) nos dice que “ofrecer [la educación] a todos los individuos de la especie humana los medios de proveer a sus necesidades, de asegurar su bienestar, de conocer y ejercer sus derechos, de entender y cumplir sus deberes; asegurar a que cada uno de ellos la facilidad de perfeccionar su industria, de capacitarse para las funciones sociales a las cuales tienes derecho a ser llamado, de desarrollar en toda su extensión los talentos que ha recibido de la naturaleza, y de hacer real la igualdad política reconocida por la ley: Tal debe ser el primer objetivo de una instrucción nacional, y desde este punto de vista, constituye para el poder público un deber de justicia.( pág.19) 6.- ¿QUÉ CARACTERÍSTICA SE LE DESIGNA A LA EDUCACIÓN EN LA MODERNIDAD? De acuerdo a la reforma educativa actuales las principales características de la educación son (1) : 1.-Como una educación innovadora y transformadora del país. 2.- Reformar y modernizar el marco jurídico para una educación de mayor calidad y equidad, así como reafirmar que la rectoría sobre la política educativa nacional le corresponde al Estado Mexicano. 3.-para México una educación que promueva la inclusión, la tolerancia y la paz; una educación de calidad que fomente la innovación, la competitividad y la productividad de cada mexicano. 4.-La educación que el Estado proporciona ha de estar a la altura de los requerimientos que impone nuestro tiempo y que la justicia social demanda: una educación inclusiva que conjugue satisfactoriamente la equidad con la
  • 6.
    calidad en labúsqueda de una mayor igualdad de oportunidades para todos los mexicanos. Por tanto la educación acorde con la reforma educativa actual proporciona a cada ser humano la calidad educativa pero estas con un enfoque del económico-político el individuo no le convienen de acuerdo al mercado laboral que emana dicha reforma. 7.-DESCRIBE LAS ETAPAS DE CONFIGURACIÓN DE LOS SISTEMAS (ESTRUCTURAS)) EDUCATIVAS MODERNOS. ESTRUCTURA DEL SISTEMA EDUCATIVO MEXICANO. a) Las partes integrantes del sistema. El artículo 10 de la Ley General de Educación señala que el sistema educativo nacional está integrado por: 1. Los educando y los educadores. 2. Las autoridades educativas. 3. Los planes, programas, métodos y materiales educativos. 4. Las instituciones educativas del Estado y de sus organismos descentralizados. 5. Las instituciones de los particulares con autorización o con reconocimiento de validez oficial de estudios. 6. Las instituciones de educación superior a las que la ley otorga autonomía. Ideologías: razón, ciencia, la tecnología, la innovación Fuerzas productivas: sociedad tradicional. Sociedad industrial, sociedad agraria. Escuela de estado moderno – Escuela burguesa= Educación moderno. b) Los niveles educativos del sistema. El sistema está compuesto por seis niveles educativos: inicial, preescolar, primaria, secundaria, media superior (bachilleratos y profesional media), superior (licenciatura y postgrado). Además, el sistema ofrece servicios de educación especial, de capacitación para el trabajo, de educación para adultos
  • 7.
    (alfabetización, primaria ysecundaria, capacitación no formal para el trabajo) y de educación indígena o bilingüe-bicultural (preescolar, primaria y secundaria). c) Las modalidades escolarizada y abierta. El sistema ofrece el servicio educativo en dos grandes modalidades: escolarizada y abierta. El servicio escolarizado está destinado a proporcionar educación mediante la atención a grupos de alumnos que concurren diariamente a un centro educativo de acuerdo con el calendario educativo oficial. El servicio no escolarizado está destinado a proporcionar la oportunidad de continuar o concluir su educación a los alumnos que no pueden incorporarse a los servicios escolarizados. Esta educación se imparte a través de asesorías pedagógicas a los alumnos sin que para ello tengan que concurrir diariamente a una escuela. Los alumnos se sujetan a una serie de exámenes para certificar el adelanto en el cumplimiento del programa. 4.1.2 Los niveles del sistema. a) Educación inicial. La educación inicial proporciona educación y asistencia a los niños de 45 días a cinco años 11 meses de edad, hijos de madres trabajadoras. Esta educación se da en los Centros de Desarrollo Infantil (CENDI) y en numerosos centros privados de atención infantil inicial o «maternal». Debido a la cada vez mayor participación de la mujer en diversas actividades productivas y sociales, en los últimos años estos centros se han incrementado. En los CENDI se ofrecen servicios médico, psicológico, de trabajo social, pedagógico, nutricional y generales. La educación inicial no es obligatoria. Los objetivos principales de la educación inicial son brindar asistencia y educación integral a los niños menores de 6 años, hijos de madres trabajadoras, y proporcionar tranquilidad emocional a las madres durante su jornada laboral a fin de que su productividad sea mejor en calidad y cantidad. b) Educación preescolar. Este ciclo educativo precede a la educación primaria y atiende a niños de cuatro y cinco años de edad. Se imparte generalmente en tres grados escolares. El primero y el segundo atienden a niños de cuatro años; el tercero, a los de cinco. La educación preescolar no es obligatoria y para cursar el segundo o tercer grados no es condición haber cursado el grado o grados anteriores. La educación preescolar se ofrece en tres modalidades: general, indígena y cursos comunitarios. OEI - Sistemas Educativos Nacionales - México
  • 8.
    El objetivo generalde la educación preescolar es promover el desarrollo físico, intelectual, afectivo, moral, artístico, social y familiar del niño. Este objetivo general implica que el alumno desarrolle: a) su autonomía e identidad personal, requisitos indispensables para que progresivamente se reconozca en su identidad cultural y nacional; b) formas sensibles de relación con la naturaleza que lo preparen para el cuidado de la vida en sus diversas manifestaciones; c) su socialización a través del trabajo grupal y la cooperación con otros niños y adultos; d) formas de expresión creativa a través del lenguaje, de su pensamiento y de su cuerpo, lo cual le permitirá adquirir aprendizajes formales, así como un acercamiento sensible a los distintos campos del arte y la cultura (SEP, 1992d: 16). c) Educación primaria La Constitución Política de México establece el carácter obligatorio de la educación primaria, la cual se imparte a niños y adultos. La primaria para niños la cursan, en seis años (seis grados), los niños en edad escolar, es decir, que tienen de seis a catorce años y se imparte en los medios urbano y rural conforme al plan de estudios establecido en 1993, el cual incluye ocho asignaturas: español, matemáticas, ciencias naturales, historia, geografía, educación cívica, artística y física. La primaria se divide en tres servicios: general, bilingüe-bicultural y cursos comunitarios. En cualquiera de sus modalidades, la educación primaria es propedéutica (es decir, previa e indispensable) para la educación secundaria. El alumno que la concluye con éxito recibe un certificado que acredita su preparación. d) Educación secundaria La educación secundaria es obligatoria de acuerdo con el artículo tercero de la Constitución Política de México y se imparte en los siguientes servicios: general, para trabajadores, telesecundaria, técnica y abierta; a excepción de la abierta, todos los demás servicios componen la secundaria escolarizada. La secundaria se proporciona en tres años a la población de 12 a 16 años de edad que haya concluido la educación primaria. Las personas mayores de 16 años pueden estudiar en la secundaria para trabajadores o en la modalidad abierta. Este nivel es propedéutico, es decir, necesario para iniciar estudios medios profesionales o medios superiores.
  • 9.
    e) Capacitación parael trabajo. La capacitación para el trabajo prepara a los estudiantes para que se incorporen a la actividad productiva. Tiene como antecedente propedéutico la educación primaria; se cursa en uno a cuatro años, según la capacitación de que se trate; prepara al educando en especialidades industriales, agrope- cuarias, comerciales y de servicios. No equivale a la educación secundaria y los estudios no permiten a los alumnos ingresar al bachillerato. Esta educación se imparte a través de la SEP, organismos oficiales (ISSSTE, IMSS, secretarías de Estado, universidades autónomas, etcétera) e instituciones privadas. Sus principales objetivos son procurar que la población con escasa educación escolar (primaria) se integre a la vida económica, social y cultural de la nación; promover el desarrollo económico, social y cultural de comunidades geográfica y socioeconómicamente marginadas; y crear mano de obra calificada para la industrialización del país. f) Media superior. El nivel medio superior comprende tres tipos de educación: propedéutica, propedéutica-terminal y terminal. Los dos primeros se imparten en las modalidades escolarizada y abierta. La modalidad escolarizada atiende generalmente a la población de 16 a 19 años de edad que haya obtenido el certificado de la secundaria. El propedéutico se conoce también como bachillerato general. La mayor parte de las escuelas sigue un plan de estudios de tres años de duración, pero otras siguen uno de dos años. Al concluir sus estudios, los alumnos pueden acceder al nivel superior. El propedéutico-terminal puede ser bachillerato especializado o tecnológico. Los alumnos reciben, además de la preparación propedéutica general, formación de técnicos calificados o de profesionales medios con el título correspondiente. OEI - Sistemas Educativos Nacionales - México El terminal o profesional medio ofrece formación técnica, pero no prepara a los alumnos para continuar estudios superiores. La duración de estos estudios es de dos a cuatro años y atiende a alumnos que han obtenido el certificado de secundaria y desean prepararse como profesionales técnicos en actividades industriales, de servicios y del mar. El bachillerato general pretende ampliar y consolidar los conocimientos adquiridos en secundaria y preparar al educando en todas las áreas del conocimiento para que elija y curse estudios superiores. El bachillerato
  • 10.
    tecnológico, además deperseguir los objetivos anteriores, capacita al alumno para que colabore en el desarrollo económico del país en actividades industriales, agropecuarias, pesqueras o forestales. g) Educación superior. La educación superior es el máximo nivel de estudios. Comprende licenciatura y postgrado en educación normal, universitaria y tecnológica. Para cursar la licenciatura y la normal debe concluirse el bachillerato o sus equivalentes; para cursar estudios de maestría es indispensable la licenciatura; para cursar estudios de doctorado, es necesario tener el grado de maestría o méritos académicos equivalentes. Algunas instituciones de educación superior (Institutos Tecnológicos, Instituto Politécnico Nacional, Universidad Pedagógica Nacional, Instituto Nacional de Antropología e Historia, Universidad Nacional Autónoma de México) ofrecen estudios en la modalidad abierta. En general, los estudios de licenciatura tienen una duración de cuatro a cinco años, organizados en periodos semestrales. La licenciatura de normal se divide en normal de educación preescolar; normal de educación primaria; normal de educación secundaria; normal de educación física; y normal de educación especial. El objetivo principal de la educación superior es formar profesionales capaces en las diversas áreas de la ciencia, la tecnología, la cultura y la docencia que impulsen el progreso integral de la nación. h) Educación especial. La educación especial es una modalidad del sistema educativo nacional que se imparte a niños y jóvenes que no pueden incorporarse a las instituciones educativas regulares o continuar en ellas, por presentar alguna alteración orgánica, psicológica o de conducta social. Los servicios que ofrece se clasifican en dos grupos, según sea el tipo de atención que requieran los educandos. En el primer grupo se atiende a niños y jóvenes cuya necesidad de educación especial es indispensable para su integración y normalización. Comprende las áreas siguientes: deficiencia mental, trastornos visuales, de audición y lenguaje y neuromotores; los servicios con los que cuenta son: escuelas de educación especial y centros de capacitación de educación especial. El segundo grupo da atención a niños y jóvenes cuya necesidad de educación especial es transitoria y complementaria a su educación normal, comprende las áreas siguientes: problemas de aprendizaje, de lenguaje y de conducta. Sus servicios son: unidades de grupos integrados y centros psicopedagógicos.
  • 11.
    Los objetivos principalesde estas escuelas y centros son proporcionar atención especializada a los niños y jóvenes que la necesiten, con la finalidad de que puedan desarrollar sus posibilidades físicas y mentales, que les permitan integrarse a la sociedad y participar activamente en ella. 8.- DE ACUERDO A JUAN DEL VAL ¿CUÁLES SON LOS PROBLEMAS QUE PRESENTA LA EDUCACIÓN ACTUAL? La educación es un problema humano tan antiguo como la historia de nuestra cultura. No ha sido fácil determinar los fines que ha perseguido en los distintos momentos. Es un hecho, y en esto coinciden distintos filósofos, que se trata de un acto consciente en consecución del bienestar social. Delval citado por Samper(2000)“Así pues, podemos afirmar que el tipo de enseñanza que se proporciona en la mayoría de las escuelas, incluidas las de los países más desarrollados, tiene como objetivo la producción de individuos sumisos y contribuye al mantenimiento del orden social, es en muchos aspectos una preparación para el trabajo dependiente y alienado, por lo que limita los cambios sociales y constituye un freno al potencial creativo de los individuos”.pág. 1 Digo, que el principal problema que nos presenta Delval es el tipo de enseñanza, los problemas afectivos, en las instituciones y las prácticas educativas de los docentes. Entonces desde el punto actual el problema es el fracaso parcial compensatorio de la escuela, que quiero decir con esto, es que la mayoría de los niños que se atiende es de acuerdo a las clases sociales de los padres y es ahí está el problema de formación y competividad de la educación. Y es eso que nos explica que los niños tengan bajo y alto rendimiento tanto niños como jóvenes universitarios en este pleno siglo XXI. Por ello Delval (2008) nos plantea que diversos problemas afectan a la institución escolar. Uno es el llamado fracaso escolar,es decir, el hecho de que un buen número de individuos no consigan superar los obstáculos que la escuela plantea, y no obtengan, al término de los estudios, el titulo esperado, lo cual tiene consecuencia psicológica, sociales, y profesional posteriores, que puedan ser bastante graves para la vida futura de los individuos que se ven como fracasados. Unido a ello está el otro fenómeno preocupante, el abandono de la escuela; muchos alumnos, sobre todo adolecentes, dejan la escuela porque no sienten interés por lo que les enseñan, ni ven utilidad a lo que se hace allí. (pág. 29)
  • 12.
    9.- ELABORA UNALÍNEA DE TIEMPO QUE CONTENGA LAS ETAPAS DEL PROCESO DE EDUCACIÓN DEL PROCESO DE CONSTRUCCIÓN DEL SEN La colonia siglo XVI -Los primeros misioneros dela nueva España. -surgieron los primeros colegios, seminarios, y dos universidades una en michoacana y otra en México. -la iglesia poseedora del saber. -La que controlaba la educación. Feudal y pos-feudal -necesidad de formar sacerdotes. México independiente Siglo –XVlll-XlX Culminación del periodo independencia. Lucha por el contra de las instituciones educativas- liberales y conservadores. -nacimiento de institutos científicos y literarios La vida sociopolítica Gestación de ideas sobre las ideas de educación plasmarían en nuestra primera constitución de 1824. San luis potosí (1830) rentas y fincas de colegios Valentín Gomes Farías 1833. Intento la unificación del sistema de educación en el país Reforma legislativa radical en las manos del clero. - Creo la dirección general de instrucción pública para el distrito y territorios federales. - Educación libre. - Promovió la fundación de escuelas normales La instrucción primaria y suprimió la universidad Las bases orgánicas de 1843 provenientes de un gobierno centralista, aparentemente solo afectaron a puebla, Veracruz, y Oaxaca
  • 13.
    Primeros intentos de unsistema educativo 1846, se restauró la constitución de 1824, la revolución de Ayutla y el triunfo de la idea de los liberales El estatuto orgánico provisional expedido en 1856 proclamación de nuestro derecho constitucional. Congreso constituyente La libertad de cultos por Ponciano Arriaga. Constitución de 1857, los liberales- libertad de la enseñanza sin restricciones de ninguna clase. Las profesiones necesitan título para su ejercicio y con requisitos que estos deberían ser expedidos por [Estado] art. 3°. 1822-1899 Los sistemas pedagógicos, fue la escuela Lancasteriana el cual de su pensamiento educativo dominante. Gómez Farías fundo dos escuelas normales promulgaron un reglamento de instrucción pública, escuela normales para adulto. Vidad Alcocer 1846 -fundo una sociedad de beneficencia para al educación. -1848 Con más de 33 escuelas y más de 7 mil maestro Gabino Barreda 1867 ideas positivistas y Juárez Formar comisión para estudiar el problema educativo La comisión redacto la ley orgánica y de instrucción pública el 2 de diciembre de 1867. Basada en filosofía positiva: Teológica, Metafísica, Positiva Crear la preparatoria como estudio previo al profesorado. Diciembre de 1867 Juárez promulgo la ley orgánica de instrucción pública del DF
  • 14.
    Antonio Martínez de Castro, dio nuevoimpulso a la escuela oficial. Congreso pedagógico de 1872 celebrado en la capital Donde se llevó a cabo: -Reforma educación. El impulso de los maestros de 1880, Enrique Resbasmen, Enrique Laubser, y Carlos A Castillo. 1887 se fundó la Escuela Normal de México Los pedagogos Tres maestro que aportaron los conceptos pedagógicos y de la filosofía educativa Escuela modelo de Orizaba se fundó en el año 1883 Labascher, fue nombrado director y a cargo dela enseñanza de las ciencia pedagógicas y a Rébsamen de la escuela elemental Fundación de las escuelas normales en diez estados de la Republica. -evolución en México de la reforma educativa. Carlos A Castillo (1889- 1890) público un periódico de la reforma de la escuela elemental. 1889 El primer congreso Nacional de Instrucción por Joaquín Baranda. -concepción del sistema educativo Mexicano 1. Educación primaria, laica, obligatoria y gratuita. 2. Instrucción preparatoria y voluntaria. 3. Instrucción profesional, voluntaria y protegida por el estado Justo sierra, 1848-1912 Jurista y educador, nació en el puesto de Campeche estudio leyes en el colegio de san Idelfonso. Abrió la puerta a la idea de un sistema nacional que fuera desde los jardines de niños, los primeros se establecieron en enero de 1904 hasta los estudios superiores. En 1892 tuvo una gran repercusión, un discurso suyo en que hizo ver la necesidad de que la ciencia fuera la base política Nacional “los científicos”.
  • 15.
    v 1901 Fue nombrado ministro logroque el congreso creara dos subsecretarias una de justicia y otra de educación El 16 de mayo de 1905 se expidió la ley que creo la secretaria de instrucción pública y Bellas Artes. Justo Sierra, el 15 de agosto de 1908 sea uno de los principales aportaciones como secretario de instrucción pública, en diversos aspectos, fue muy fecunda, la ley de educación primaria para el distrito y territorios federales. 1906 la educación superior motivan a Sierra: 1.- la de crear escuela Nacional de los altos estudios. 2.- y de restablecer la universidad 1910, creo la ley de la Escuela Nacional de los Altos Estudios El decreto del 24 de mayo de 1910 se restablecería en la universidad El 22 de septiembre de 1910 se inaugura la Universidad Nacional de México El artículo 3° Venustiano Carranza. 1859-1920 Primer jefe del ejército constitucionalista y Presidente de la Republica. Nació en cuatro Ciénegas. Coahuila Convoco ante la sorpresa de todo un congreso constituyente inicio sus trabajos de 1916 a 31 de enero de 1917. -la educación seria laica y gratuita. Carranza 1916 el 5 de febrero de 1917 promulga la constitución y en ella el artículo tercero y un claro intento modernizante El 13 de abril de1916 desaparece la SIP. (Secretaria de Instrucción Pública) La educación paso a mano del ayuntamiento en donde fue su fracaso por falta de recursos. 1919 -los periódicos publicaron la lista de libros autorizados de los 20 libros eran de la casa de Appleton y solo dos de ellos eran autores y editores nacionales con ello para expresar el concepto revolucionario de la educación. El 16 de febrero de 1919 los autores mexicanos se reunieron para formar la sociedad de autores didácticos donde hizo partícipe Gregorio Torres Quintero la cual se hizo pública Crear textos para una Educación Nacional
  • 16.
    José Vasconcelos 1882-1959 Filósofo, político, educadory escritor oaxaqueño. Se le ha llamado el maestro de América. Formo parte del ateneo de la juventud; en 1910 se afilio al maderismo y participó activamente en la Revolución. Como secretario de la educación pública y rector de la universidad Nacional… Figura más importante del país. -Fue un personaje que combino el carisma de la cultura y que creo la educación de la revolución. 1921-1924 fue titular de la nueva secretaria. -su concepción como instrumentos, básicos para la realización del país, las escuelas, los libros, y las bibliotecas. -La educación indígena. -cultura indígena. Con 1639 escuelas con 1146 maestros y monitores y solo 48 maestros misioneros y la capacidad de multiplicación del esfuerzo era notable. La educación urbana- casa del pueblo Educación indígena: lograr la supresión de rasgos culturales. NACE EL SISTEMA EDUCATIVO NACIONAL Se lograba nueva orientación ideológica y continúo lo que justo sierra había cristalizado. Mezcla de acción de educación y cultura. SE P
  • 17.
    Bibliografías. L. Barba Martin(2002) Pedagogía y relación educativa. Edit.Emma.UNAM. Mexico.p.22-85 J. María. Quintana Cabanas (1989-1992) pedagogía psicológica, la educación del carácter y de la personalidad .Edit. DYKINSON. MADRID. P.9 Basica.sep.gob.mx/seb2010/pdf/destacado/Acuerdo_592.pdf Beltrán Llavador.A San Martin A.(200) diseñar la coherencia Escolar. Edición. Morata. Madrid. España (p.12) Delval Juan (2008).los fines de la educación. Siglo XXI. http://diariojuridico.com.mx/actualidad/noticias/reforma-educativa-para- transformar-a-mexico-enrique-pe na-nieto.html Art.(www.institutomerani.edu.co y correo@institutomerani.edu.co) Art.mailto:quipu@oei.es Art.SEP.F.sistema Educativo Nacional .pdf.