UNIVERSIDAD TÉCNICA DE AMBATO
FACULTAD DE INGENIERÍA CIVIL Y MECÁNICA
CARRERA DE INGENIERÍA MECÁNICA
“SISTEMAS
HIDRÁULICOS II”
SEXTO SEMESTRE
PARALELO “A”
ALUMNO:
Cristian Guachi
Ejercicios Capitulo 3
3.9. Un tubo vertical de 6 m de diámetro y 15 m de altura se encuentra lleno de agua.
¿Cuánta energía potencial existe en el agua si el datum de elevación se toma 3m por
debajo de la base de la tubería?
Datos:
D=6m
H=15 m
Solución:
Cabeza de energía potencial
Z1=18m
3.10 ¿Cuánto trabajo se puede obtener del gua del problema 3.9 si ella fluye atreves de
una turbina con una eficiencia de cien por ciento y descarga en un embalse con una
elevación 10m por debajo de la base de la tubería vertical?.
𝑃 = 𝛿 ∙ 𝑄. 𝐻) 𝑉 = √2𝑔 ∙ ℎ 𝑄 = 𝐴. 𝑉
𝑃 = (9810)(625)(25 𝑉 = √2(9,81𝑚/𝑠2) 25𝑚 𝑄 = (
𝜋𝐷2
4
) ∙ 22,14
𝑚
𝑠
𝑃 = 153281,25 𝐾𝑊 𝑉 = 22,14 𝑚/𝑠 𝑄 = 625𝑚3/𝑠𝑒𝑔
𝑃 = 153,28 𝑀𝑊
3.19. Sin tener en cuenta las pérdidas, determinar el caudal de la figura 3.45.
Datos:
𝑔 = 32,2
𝑝𝑖𝑒
𝑠𝑒𝑔2
Sg=0,75
H aceite =3 ft
H H2O=4 in
Solución
𝜹𝑯𝟐𝑶 = 62,4 𝑙𝑏/𝑝𝑖𝑒3 • 𝐴 =
𝜋𝐷2
4
=
𝜋42
4
𝑆 𝑎𝑐𝑒𝑖𝑡𝑒 = 𝑆 𝐻2𝑂.𝑆𝑔 𝑎𝑐𝑒𝑖𝑡𝑒 𝐴 = 12,56 𝑖𝑛2
𝑆 𝑎𝑐𝑒𝑖𝑡𝑒 = 1,45 𝐴 = 0.086 𝑓𝑡
𝛿 𝑎𝑐𝑒𝑖𝑡𝑒 = 𝑆 𝑎𝑐𝑒𝑖𝑡 𝑒.𝑔 = 1,45 × 32,2 = 46,85
3.20 Sin tener en cuenta las pérdidas, encontrar el caudal atravez del tubo Venturi de la
figura 3.47.
𝛾 𝐻2𝑂( 𝑦 − 0,2 + 𝑥) − 𝑃1 = 𝛿 𝑎𝑖 𝑟 𝑒(0,2) + 𝑦 𝑎𝑐𝑒𝑖𝑡𝑒(𝑦) + 𝑃2
9810𝑦 − 196 + 9810𝑥 − 𝑃1=12,01(0,2𝑥) + 9810𝑦 + 𝑃2
9810𝑦 − 196 + 9810𝑥 − 𝑃1 = 2,40 + 12,01𝑥 + 9810𝑦 + 𝑃2
−𝑃1 + 𝑃2 = 2,40 + 12,01𝑥 + 196 − 9810𝑥
𝑃1 − 𝑃2 = 193,6 − 9797,901𝑥
3.25 Una tubería conduce agua de un embalse hasta otro que se encuentra 12m más abajo.
Para un caudal de 0.6 m3/s, determinar las perdidas en metros-newtons por kilogramo y
en kilovatios.
Datos:
𝑄 = 0.6 𝑚2
/𝑠
𝐻1 = 12 𝑚
𝑔 ∗ (
𝑃1
𝛾
+
𝑉1
2
2𝑔
+ 𝑍1 =
𝑃2
𝛾
+
𝑉2
2
2𝑔
+ 𝑍2 + 𝐻𝑓)
𝐻𝑓 =
𝑊 𝑓
𝑔
; Trabajo de las pérdidas
(
𝑃1
𝜌
+
𝑉1
2
2
+ 𝑍1 ∗ 𝑔 =
𝑃2
𝜌
+
𝑉2
2
2
+ 𝑍2 ∗ 𝑔 + 𝑊𝑓)
𝑃1
𝜌
+
𝑉1
2
2
+ 𝑍1 ∗ 𝑔 =
𝑃2
𝜌
+
𝑉2
2
2
+ 𝑍2 ∗ 𝑔 + 𝑊𝑓
0 =
𝑉2
2
2
+ 𝑍2 ∗ 𝑔 + 𝑊𝑓
𝑄1 = 𝑄2
𝐴2 𝑉2 = 𝐴1 𝑉1
𝑉2 = 𝑉1(Casi despreciable=0)
0 = 𝑍2 ∗ 𝑔 + 𝑊𝑓
0 = −12𝑚 ∗ (9,8𝑚/𝑠2
) + 𝑊𝑓
𝑊𝑓 = 117,6𝑚2
/𝑠2
𝑚2
𝑠2
=
𝑚 ∗ 𝑁
𝐾𝑔
𝑊𝑓 = 117,6
𝑚 ∗ 𝑁
𝐾𝑔
𝑃𝑜𝑡𝑒𝑛𝑐𝑖𝑎 = 𝛾 ∗ 𝑄 ∗ 𝐻𝑓
𝑃𝑜𝑡𝑒𝑛𝑐𝑖𝑎 = 𝛾 ∗ 𝑄 ∗
𝑊𝑓
𝑔
𝑃𝑜𝑡𝑒𝑛𝑐𝑖𝑎 = 9,81𝐾𝑁/𝑚3
∗ 0,6𝑚3
/𝑠 ∗
117,6𝑚2
/𝑠2
9,81𝑚/𝑠2
𝑃𝑜𝑡𝑒𝑛𝑐𝑖𝑎 = 70,63 𝐾𝑤
3.26 Una bomba que se encuentra localizada 10 pies por encima de la superficie de un
lago expide un chorro de agua verticalmente hacia arriba, hasta una distancia de 50 pies.
Si se bombean 0.5 pcs mediante u motor eléctrico de 5-hp que se mueve a su capacidad
de diseño, ¿Cuál es la eficiencia de la combinación motor-bomba? ¿Cuál es la
irreversibilidad del agua cuando esta cae a la superficie del lago?
Datos:
𝑄 = 0.5
𝑓𝑡3
𝑠
; 𝑃𝑜𝑡𝑒𝑛𝑐𝑖𝑎 = 5 𝐻𝑃 ∗
550
𝑙𝑏𝑓 ∗ 𝑓𝑡
𝑠
1 𝐻𝑃
= 2750
𝑙𝑏𝑓 ∗ 𝑓𝑡
𝑠
𝑃𝑜𝑡𝑒𝑛𝑐𝑖𝑎 = 𝛾 ∗ 𝑄 ∗ 𝐻
𝑃𝑜𝑡𝑒𝑛𝑐𝑖𝑎 = 62.4
𝑙𝑏𝑓
𝑓𝑡3
∗ 0.5
𝑓𝑡3
𝑠
∗ 60 𝑓𝑡 = 1872
𝑙𝑏𝑓 ∗ 𝑓𝑡
𝑠
1 𝐻𝑃 = 550
𝑙𝑏𝑓 ∗ 𝑓𝑡
𝑠
𝜂 𝑀−𝐵 =
𝛾 ∗ 𝑄 ∗ 𝐻
𝑃𝑜𝑡𝑒𝑛𝑐𝑖𝑎 𝑚𝑜𝑡𝑜𝑟
=
1872
𝑙𝑏𝑓 ∗ 𝑓𝑡
𝑠
2750
𝑙𝑏𝑓 ∗ 𝑓𝑡
𝑠
∗ 100 = 𝟖𝟔. 𝟎𝟕%
𝑃𝑜𝑡𝑒𝑛𝑐𝑖𝑎 = 𝛾 ∗ 𝑄 ∗ 𝐻
𝐻 𝑚 =
𝑃𝑜𝑡𝑒𝑛𝑐𝑖𝑎 𝑚𝑜𝑡𝑜𝑟
𝛾 ∗ 𝑄
=
2750
𝑙𝑏𝑓 ∗ 𝑓𝑡
𝑠
62.4
𝑙𝑏𝑓
𝑓𝑡3 ∗ 0.5
𝑓𝑡3
𝑠
= 𝟖𝟖. 𝟏𝟒 𝒑𝒊𝒆𝒔
3.27 un ventilador mueve 2 m3/s de aire,𝜌=1.3 kg/m3, con un incremento en la presión de
150 mm de agua. La eficiencia es del 72%.determinar la irreversibilidad del ventilador en
metros-newtons por kilogramo en kilovatios, y determinar el torque en el eje si el
ventilador rota a 1800 rpm.
Datos:
Q = 2 m3
/s
ρ = 1.3 kg/m3
H = 150mm = 0.15m
η = 0.72
SOLUCIÓN:
Potencia hidráulica = Ɣ ∗ Q ∗ H
Potencia hidráulica = 1.3
kg
m3
∗ 2
m3
s
∗ 0.15m
Potencia hidráulica = 3.28 W
η =
potencia hidráulica
potencia del ventilador
Potencia del ventilador = η ∗ Potencia
Potencia del ventilador = 0.72 ∗ 3.28W
Potencia del ventilador = 2.75 W
I = 3.28W − 2.75W
I = 1.07 W
I = 1.07X10−3
KW
Potencia = τ ∗ W
τ =
potencia
W
τ =
3.82W
180rpm ∗
2πrad
1rev
∗
1min
60seg
τ = 0.20 N.m
3.28 una tubería a presión de 6m de diámetro tiene una velocidad de 3 m/s. Después de
pasar atravez de un codo reductor, el flujo circula por una tubería de 5 m de diámetro. Si
las perdidas varían con el cuadrado de la velocidad, ¿Qué tanto más grandes serán ellas a
través de la tubería de 5m respecto a las tuberías de 6m por cada 1000 m de tubería?
Datos:
ϕ1 = 6m
V1 = 3
m
s
ϕ2 = 5m
SOLUCIÓN
Q1 = Q2
V1 ∗ A1 = V2 ∗ A2
V2 =
V1 ∗ A1
A2
V2 =
3
m
s
∗ 6m2
5m2
V2 = 4.32
m
s
Q1 = V1 ∗ A1
Q1 = 3
m
s
∗
2πD2
4
Q1 = 3
m
s
∗
2π62
4
Q1 = 169.65
m3
s
3.28 Una tubería a presión de 6 m de diámetro tiene una velocidad de 3 m/s. Después de
pasar a través de un codo reductor, el flujo circula por una tubería de 5m de diámetro. Si
las perdidas varían con el cuadrado de la velocidad, ¿Qué tanto más grandes serán ellas a
través de la tubería de 5 metros, respecto a las de las tuberías de 6 m por cada 100 m de
tubería?
Solución
Datos:
D1= 6 m
D2 = 5m
V1= 3 m/s
Con la ecuación de continuidad.
𝑄1 = 𝑄2
𝐴1 ∗ 𝑉1 = 𝐴2 ∗ 𝑉2
[
𝜋 ∗ 𝐷12
4
∗ 𝑉1] = [
𝜋 ∗ 𝐷22
4
∗ 𝑉2]
𝐷12
∗ 𝑉1 = 𝐷22
∗ 𝑉1
𝐷12
𝐷22
∗ 𝑉1 = 𝑉2
(6 𝑚)2
(5 𝑚)2
∗ 3 𝑚/𝑠 = 𝑉2
𝑉2 = 𝟒. 𝟑𝟐 𝒎/𝒔
𝑃1
𝛾
+
𝑉12
2𝑔
+ 𝑧1 =
𝑃2
𝛾
+
𝑉22
2𝑔
+ 𝑧2 + 𝐻𝑓
𝐻𝑓 = 𝐾 ∗
𝑉22
2𝑔
𝑉12
2𝑔
=
𝑉22
2𝑔
+ 𝐻𝑓
𝑉12
2𝑔
=
𝑉22
2𝑔
+ 𝐾 ∗
𝑉22
2𝑔
𝑉12
2𝑔
=
𝑉22
2𝑔
[ 𝐾 + 1]
𝑉12
𝑉22 = [ 𝐾 + 1]
𝑉12
𝑉22
+ 1 = 𝐾
𝐾 = 1 +
(3 𝑚/𝑠)2
(4.32 𝑚/𝑠)2
𝐾 = 𝟏. 𝟒𝟖
Perdidas
𝐻𝑓 = 𝐾 ∗
𝑉22
2𝑔
𝐻𝑓 = 1.48 ∗
(4.32 𝑚/𝑠)2
2(9.81 𝑚/𝑠2)
𝐻𝑓 = 𝟏. 𝟒𝟎 [ 𝒎]
Para la tubería con D1= 6 m con una velocidad V1= 3 m/s la pérdida por fricción es:
𝐻𝑓 = 𝐾 ∗
𝑉12
2𝑔
𝐻𝑓 = 1.48 ∗
(3 𝑚/𝑠)2
2(9.81 𝑚/𝑠2)
𝐻𝑓 = 𝟎. 𝟔𝟕 [ 𝒎]
El incremento por cada 100 m con un D1= 6 m
𝐼𝑛𝑐𝑟𝑒𝑚𝑒𝑛𝑡𝑜 =
𝐻𝑓
100
𝐼𝑛𝑐𝑟𝑒𝑚𝑒𝑛𝑡𝑜 =
0.67 [ 𝒎]
100 [ 𝒎]
𝑰𝒏𝒄𝒓𝒆𝒎𝒆𝒏𝒕𝒐 = 𝟔. 𝟕 ∗ 𝟏𝟎−𝟑
El incremento por cada 100 m con un D2= 5 m
𝐼𝑛𝑐𝑟𝑒𝑚𝑒𝑛𝑡𝑜 =
𝐻𝑓
100 [ 𝒎]
𝐼𝑛𝑐𝑟𝑒𝑚𝑒𝑛𝑡𝑜 =
1.40 [ 𝒎]
100 [ 𝒎]
𝐼𝑛𝑐𝑟𝑒𝑚𝑒𝑛𝑡𝑜 = 0.014
Incremento de la perdida en relación con los diámetros de la tubería.
𝑅𝑒𝑙𝑎𝑐𝑖ó𝑛 𝑑𝑒𝑙 𝑖𝑛𝑐𝑟𝑒𝑚𝑒𝑛𝑡𝑜 =
𝐻𝑓5
𝐻𝑓6
𝑅𝑒𝑙𝑎𝑐𝑖ó𝑛 𝑑𝑒𝑙 𝑖𝑛𝑐𝑟𝑒𝑚𝑒𝑛𝑡𝑜 =
6.7 ∗ 10−3
0.014
𝑅𝑒𝑙𝑎𝑐𝑖ó𝑛 𝑑𝑒𝑙 𝑖𝑛𝑐𝑟𝑒𝑚𝑒𝑛𝑡𝑜 = 0.47
3.36. Las pérdidas en la figura 3.52 para H = 25 pies son 3𝑉2
/2𝑔 𝑝𝑖𝑒. 𝑙𝑏/𝑙𝑏¿Cuál es el
caudal?
𝑃1
𝛾
+
𝑉1
2
2𝑔
+ 𝑧1 =
𝑃3
𝛾
+
𝑉3
2
2𝑔
+ 𝑧3 + 𝐻𝑓
P1 = P3 = 0
𝑧3= 0
k = 3
𝑧1 =
𝑉3
2
2𝑔
+ 𝑘
𝑉3
2
2𝑔
𝑧1 =
𝑉3
2
2𝑔
( 1 + 𝑘)
𝑉3 = √
𝑧1 ∗ 2𝑔
( 1 + 𝑘)
𝑉3 = √
25 𝑝𝑖𝑒𝑠 ∗ 2(32.2
𝑝𝑖𝑒
𝑠2 )
( 1+ 3)
= 20.06
𝑝𝑖𝑒
𝑠
𝑑 = 6 𝑖𝑛 ∗
1 𝑝𝑖𝑒
12 𝑖𝑛
= 0.5 𝑝𝑖𝑒𝑠
𝑄 = 𝑉 ∗ 𝐴
𝐴 =
𝜋𝑑2
4
𝑄 = 20.06
𝑝𝑖𝑒
𝑠
[
𝜋(𝑂. 5𝑝𝑖𝑒)2
4
]
𝑸 = 𝟑. 𝟗𝟒
𝒑𝒊𝒆 𝟑
𝒔
3.37 En la figura 3.52 determinar H para perdidas de 10V2/2g pie lb/lb para un caudal de
750gpm
𝑄 = 750gpm ⋅
1𝑓 𝑡3
𝑠
448.31 𝑔𝑝𝑚
= 1.67
𝑓 𝑡3
𝑠
𝑉 =
𝑄
𝐴
=
1.67𝑓𝑡3
𝑠
𝜋
4
(6𝑖𝑛 ⋅
1𝑓𝑡
12𝑖𝑛
)
2
= 8.50
𝑓𝑡
𝑠
𝑃1
𝛾
+
𝑉1
2
2𝑔
+ 𝑧1 =
𝑃2
𝛾
+
𝑉2
2
2𝑔
+ 𝑧2 + 𝐻𝑓
𝐻 =
𝑉2
2
2𝑔
+ 𝐻𝑓 =
𝑉2
2𝑔
+
10𝑉2
2𝑔
=
11𝑉2
2𝑔
𝐻 =
11(8.50
𝑓𝑡
𝑠
)
2
2(32.2
𝑓𝑡
𝑠2)
= 12.34 𝑓𝑡
3.38 En la figura para un caudal de 1500 rpm y H=32 pies, calcular las pérdidas a través
del sistema en cabezas de velocidad, KV2
/2g
Datos:
Q = 1500
galones
min
x
3.79 L
1 galon
x
1m3
1000L
x
(3.28ft)3
(1 m)3
x
1 min
60 s
= 3.343
ft
s
3
H = 32 pies
KV2
/2g
Q = V ∗ A
V =
3.343
π
4
(0.5)2
V = 17.025 ft/s
P1
γ
+
V1
2
2g
+ z1 =
P2
γ
+
V2
2
2g
+ z2 + Hf Hf = k
V2
2
2g
0 + 0 + 32 = 0 +
(17.025)2
2(32.2)
+ 0 + 𝑘
(17.025)2
2(32.2)
k =
32 −
(17.025)2
2(32.2)
(17.025)2
2(32.2)
k = 6.11
3.39 en la figura las pérdidas hasta la sección A son 5𝑉1
2
/2𝑔 y las pérdidas en la boquilla
son 0.05𝑉2
2
/2𝑔. Determinar el caudal y la presión en A. H =8m.
𝑃0
𝛾
+
𝑉0
2
2𝑔
+ 𝑍0 =
𝑃2
𝛾
+
𝑉2
2
2𝑔
+ 𝑍2 + 𝐻𝑓
0 + 0 + 8 = 0 +
𝑉2
2
2 ∗ 9.81
+ 0 +
0.05𝑉2
2
2 ∗ 9.81
8 =
35
654
𝑉2
2
𝑉2 = 12.22𝑚/𝑠
𝑄 = 𝐴2 𝑉2
𝑄 =
𝜋
4
∗ (0.5)2
∗ 12.22
𝑄 = 0.0239𝑚3
/𝑠
𝑄 = 𝐴2 𝑉2 = 𝐴1 𝑉1
𝑉1 =
𝐴2 𝑉2
𝐴1
= 1.35𝑚/𝑠
𝑃1
𝛾
+
𝑉1
2
2𝑔
+ 𝑍1 =
𝑃2
𝛾
+
𝑉2
2
2𝑔
+ 𝑍2 + 𝐻𝑓
𝑃1
𝛾
+
𝑉1
2
2𝑔
+ 0 = 0 +
𝑉2
2
2𝑔
+ 0 +
5𝑉1
2
2𝑔
𝑃1
𝛾
=
𝑉2
2
2𝑔
+ 2
𝑉1
2
𝑔
𝑃1
𝛾
=
12.222
2 ∗ 9.81
+ 2 ∗
1.39
9.81
𝑃1
𝛾
= 8.004
𝑃1 = 78.53𝑘𝑃𝑎
3.40 En la figura 3.53, para una presión en A de 25KPa con las perdidas encontradas en
el problema 3.39, determinar el caudal y la cabeza H.
Datos:
𝑃1 = 25𝐾𝑃𝑎
𝑄 =?
𝑄1 = 𝑄2
𝐴2 𝑉2 = 𝐴1 𝑉1
𝑄 =
𝐴1 𝑉1
𝐴2
𝑄 =
𝐴1 𝑉1
𝐴2
𝑄 =
𝜋
4
∗ (0.05)2
𝜋
4
∗ (0.15)2
∗ 𝑉1
0.012𝑉2 = 𝑉1
𝑃1
𝛾
+
𝑉1
2
2𝑔
+ 𝑍1 + 𝐻𝑓𝑎 =
𝑃2
𝛾
+
𝑉2
2
2𝑔
+ 𝑍2 + 𝐻𝑓𝑏
𝑃1
𝛾
+
𝑉1
2
2𝑔
+ 0 +
5𝑉1
2
2𝑔
= 0 +
𝑉2
2
2𝑔
+ 0 +
0.05𝑉2
2
2𝑔
𝑃1
𝛾
+
3.5 ∗ 5(0.111𝑉2)2
2𝑔
=
1.05𝑉2
2
2𝑔
𝑃1
𝛾
+
3.5 ∗ (0.012𝑉2)2
2𝑔
=
1.05𝑉2
2
2𝑔
𝑃1
𝛾
= −
(0.043052𝑉2)2
2𝑔
+
1.05𝑉2
2
2𝑔
𝑃1
𝛾
= −
1.0069(𝑉2)2
2𝑔
√
25 ∗ 103(2 ∗ 9,8)
9,8 ∗ 103
= (𝑉2)
7.03𝑚/𝑠 = (𝑉2)
𝑄 = 𝐴1 𝑉1
𝑄 =
𝜋
4
∗ (0.05)2
∗ 7.04 𝑚/𝑠
𝑄 = 0,0138 𝑚3
/𝑠
3.41 El sistema de bombeo mostrado en la figura 3.54 tiene una presión de 5 psi en la
línea de descarga cuando la cavitación es incipiente a la entrada de la bomba. Calcular la
longitud de la tubería desde el embalse hasta la bomba para esta condición de operación
si las pérdidas en esta tubería pueden expresarse como (𝑉1
2
/2g) (0.03L/D). ¿Cuál es la
potencia en caballos, que está siendo suministrada por la bomba al fluido? ¿Qué
porcentaje de esta potencia está siendo utilizada para sobreponer las pérdidas? La lectura
del barómetro es 30 pulg Hg.
𝑃3
𝛾
+
𝑉3
2
2𝑔
+ 𝑧3 =
𝑃4
𝛾
+
𝑉4
2
2𝑔
+ 𝑧4
𝑃4 = 0
𝑉3
2
2𝑔
−
𝑉4
2
2𝑔
= (𝑧4 − 𝑧3)−
𝑃3
𝛾
𝑧3 = 𝑧4
𝑉3
2
− 𝑉4
2
= 2𝑔( −
𝑃3
𝛾
) (𝟏)
𝑄3 = 𝑄4
𝐴3. 𝑉3 = 𝐴4. 𝑉4
𝑉3 =
𝐴4 . 𝑉4
𝐴3
(𝟐)
(
𝐴4. 𝑉4
𝐴3
)
2
− 𝑉4
2
= 2𝑔( −
𝑃3
𝛾
)
(
𝐴4
2
𝐴3
2
− 1) 𝑉4
2
= 2𝑔 ( −
𝑃3
𝛾
)
𝑉4 = √
2𝑔 ( −
𝑃3
𝛾
)
(
𝐴4
2
𝐴3
2 − 1)
𝑃3 = 5
𝑙𝑏
𝑖𝑛2
∗
(12 𝑖𝑛)2
𝑝𝑖𝑒2
= 720
𝑙𝑏
𝑝𝑖𝑒2
𝐴4 =
𝜋𝑑2
4
=
𝜋(2 𝑖𝑛)2
4
= 3.14 𝑖𝑛2
𝐴3 =
𝜋𝑑2
4
=
𝜋(4 𝑖𝑛)2
4
= 12.56 𝑖𝑛2
𝑉4 =
√
2 ∗ 32.2
𝑝𝑖𝑒
𝑠2 ( −
720
𝑙𝑏
𝑝𝑖𝑒2
62.4
𝑙𝑏
𝑝𝑖𝑒2
)
(
3.14 𝑖𝑛2
12.56 𝑖𝑛2 − 1)
= 31.47
𝑝𝑖𝑒
𝑠2
𝑉3 =
𝐴4. 𝑉4
𝐴3
𝑉3 =
3.14 𝑖𝑛2
(31.47
𝑝𝑖𝑒
𝑠2 )
12.56 𝑖𝑛2
= 7.86
𝑝𝑖𝑒
𝑠2
𝑄2 = 𝑄3
𝐴2. 𝑉2 = 𝐴3. 𝑉3
𝑉2 =
𝐴3 . 𝑉3
𝐴2
𝐴2 =
𝜋𝑑2
4
=
𝜋(6 𝑖𝑛)2
4
= 28.27 𝑖𝑛2
𝑉2 =
12.56 𝑖𝑛2
(7.86
𝑝𝑖𝑒
𝑠2 )
28.27 𝑖𝑛2
= 3.49
𝑝𝑖𝑒
𝑠2
𝑃1
𝛾
+
𝑉1
2
2𝑔
+ 𝑧1 =
𝑃2
𝛾
+
𝑉2
2
2𝑔
+ 𝑧2 + 𝐻𝑓
𝑧1 = 0
𝑉1 = 0
𝑃1
𝛾
=
𝑃2
𝛾
+
𝑉2
2
2𝑔
+ 𝑧2 + (
0.03 𝐿
𝐷
)
𝑉2
2
2𝑔
(
𝑃1
𝛾
−
𝑃2
𝛾
) − 𝑧2 =
𝑉2
2
2𝑔
(1 +
0.03 𝐿
𝐷
)
𝐿 =
𝐷
0.03
[
(
𝑃1
𝛾
−
𝑃2
𝛾
) − 𝑧2
𝑉2
2
2𝑔
− 1
]
𝑃1 = 30 𝑖𝑛 𝐻𝑔
𝑃1
𝛾 𝐻𝑔
= 30 𝑖𝑛 ∗
1 𝑝𝑖𝑒
12 𝑖𝑛
= 2.5 𝑝𝑖𝑒𝑠
𝑃1
𝛾 𝐻𝑔
=
𝑃1
𝛾 𝐻𝑔
𝑆 = 2.5 𝑝𝑖𝑒𝑠 (13.59) = 33.92 𝑝𝑖𝑒𝑠
3.46 Determinar la potencia en el eje para una bomba con una eficiencia del 80% que
descarga 30 L/s a través del sistema mostrado en la figura 3.56 las pérdidas del sistema,
sin incluir las perdidas en la bomba son 12V2/2g y H=16m.
3.47 La potencia fluida producida por la bomba de la figura 3.56 es
𝑄𝛾𝐻 𝑃
550
= 10. Para
H=70 pies y perdidas en el sistema de 8V2/2g, determinar el caudal y la cabeza de la
bomba 𝐻 𝑃. Determinar la línea de energía.
Datos
.𝑄 = 3
𝐿
𝑠
= 0,03
𝑚3
𝑠
.𝑛 = 80%
.𝐻 = 16𝑚
.𝐻𝑓 =
12𝑉2
2𝑔
Datos
.
𝑄∗𝛾∗𝐻 𝐵
10
=550
.𝐻𝑓 =
8𝑉2
2𝑔
.𝐻 = 70𝑓𝑡 = 21,33𝑚
P1
γ
+
V1
2
2g
+ z1 + HB =
P2
γ
+
V2
2
2g
+ z2 + Hf
HB = z2 + Hf n =
Pbomba
Peje
HB = 16m +
12V2
2g
Peje =
Pbomba
n
HB = 17,76m Peje =
5226,76w
0,8
.Q = A ∗ V Pbomba = Q ∗ γ ∗ HB Peje = 6533,46w = 8,75 Hp
.V =
Q
A
=
0.03m3
S
0.0176m2
Pbomba = 5226,76w
.V = 1,70m2/s
3.54 En la figura 3.59, entre las secciones 1 y 2 fluyan 100L/s de agua con pérdidas de
0.4 (V1-V2)2/2g; p1=80 kpa. Calcular p2 y dibujar las líneas de energía y piezométricas a
través del difusor.
P1
γ
+
V1
2
2g
+ z1 + HB =
P2
γ
+
V2
2
2g
+ z2 + Hf
HB = z2 + Hf
.
Q∗γ∗HB
10
=550 HB = 21,34 +
8V2
2g
Q = A ∗ V
. Q ∗ γ ∗ HB = 5500
0,56
Q
= 21,34+8V2
2g
Q = (0,0176m2) (
1,45m
s
) =
0,025
m3
s
. HB =
5500
Q∗γ
=
0,56
Q
0,56 = 21,34(V∗A)+ 8V2
2g
(V∗ A) HB = 21,34 +
8V2
2g
.Q = A ∗ V 0,56 = 0,37V + 0,0071V3 HB = 21,34 + 0,86
. Q = 0,0176m2 ∗ V V = 1,45 m/s HB = 22,20m
DATOS:
D1 = 300 mm A1 = π ∗
D1
2
4
= 0.07 m2
D2 = 450 mm A2 = π ∗
D2
2
4
= 0.159 m2
Q =
100L
s
→
0.1m3
s
γH2O = 9.81 KN/m3
Hf = 0.4
(V1 − V2)2
2g
P1 = 80Kpa
P2 = ?
V1 =
Q
A
=
0.1m3
s
0.07m2
= 1.42
m
s
; V2 =
Q
A
=
0.1m3
s
0.159m2
= 0.628
m
s
;
Hf = 0.4
(1.42
m
s
− 0.628
m
s
)
2
2 ∗
9.81m
s2
= 0.012m
P1
γ
+
V1
2
γ
+ z1 =
P2
γ
+
V2
2
γ
+ z2 + Hf
P1
γ
+
V1
2
γ
=
P2
γ
+
V2
2
γ
+ +Hf → P2 = γ (
P1
γ
+
V1
2
γ
−
V2
2
γ
− Hf)
P2 =
9.81KN
m3
∗ (
80Kpa
9.81KN
m3
+
(1.42
m
s
)2
9.81KN
m3
−
(0.628
m
s
)2
9.81KN
m3
− 0.012m)
P2 = 80.62 Kpa
P1
γ
= 8.15m ;
V1
2
γ
= 0.10m ;
P2
γ
= 8.21m ;
V2
2
γ
= 0.020m ; Hf = 0.012m

Ejercicios capitulo 3

  • 1.
    UNIVERSIDAD TÉCNICA DEAMBATO FACULTAD DE INGENIERÍA CIVIL Y MECÁNICA CARRERA DE INGENIERÍA MECÁNICA “SISTEMAS HIDRÁULICOS II” SEXTO SEMESTRE PARALELO “A” ALUMNO: Cristian Guachi
  • 2.
    Ejercicios Capitulo 3 3.9.Un tubo vertical de 6 m de diámetro y 15 m de altura se encuentra lleno de agua. ¿Cuánta energía potencial existe en el agua si el datum de elevación se toma 3m por debajo de la base de la tubería? Datos: D=6m H=15 m Solución: Cabeza de energía potencial Z1=18m 3.10 ¿Cuánto trabajo se puede obtener del gua del problema 3.9 si ella fluye atreves de una turbina con una eficiencia de cien por ciento y descarga en un embalse con una elevación 10m por debajo de la base de la tubería vertical?. 𝑃 = 𝛿 ∙ 𝑄. 𝐻) 𝑉 = √2𝑔 ∙ ℎ 𝑄 = 𝐴. 𝑉 𝑃 = (9810)(625)(25 𝑉 = √2(9,81𝑚/𝑠2) 25𝑚 𝑄 = ( 𝜋𝐷2 4 ) ∙ 22,14 𝑚 𝑠 𝑃 = 153281,25 𝐾𝑊 𝑉 = 22,14 𝑚/𝑠 𝑄 = 625𝑚3/𝑠𝑒𝑔 𝑃 = 153,28 𝑀𝑊 3.19. Sin tener en cuenta las pérdidas, determinar el caudal de la figura 3.45.
  • 3.
    Datos: 𝑔 = 32,2 𝑝𝑖𝑒 𝑠𝑒𝑔2 Sg=0,75 Haceite =3 ft H H2O=4 in Solución 𝜹𝑯𝟐𝑶 = 62,4 𝑙𝑏/𝑝𝑖𝑒3 • 𝐴 = 𝜋𝐷2 4 = 𝜋42 4 𝑆 𝑎𝑐𝑒𝑖𝑡𝑒 = 𝑆 𝐻2𝑂.𝑆𝑔 𝑎𝑐𝑒𝑖𝑡𝑒 𝐴 = 12,56 𝑖𝑛2 𝑆 𝑎𝑐𝑒𝑖𝑡𝑒 = 1,45 𝐴 = 0.086 𝑓𝑡 𝛿 𝑎𝑐𝑒𝑖𝑡𝑒 = 𝑆 𝑎𝑐𝑒𝑖𝑡 𝑒.𝑔 = 1,45 × 32,2 = 46,85 3.20 Sin tener en cuenta las pérdidas, encontrar el caudal atravez del tubo Venturi de la figura 3.47. 𝛾 𝐻2𝑂( 𝑦 − 0,2 + 𝑥) − 𝑃1 = 𝛿 𝑎𝑖 𝑟 𝑒(0,2) + 𝑦 𝑎𝑐𝑒𝑖𝑡𝑒(𝑦) + 𝑃2 9810𝑦 − 196 + 9810𝑥 − 𝑃1=12,01(0,2𝑥) + 9810𝑦 + 𝑃2 9810𝑦 − 196 + 9810𝑥 − 𝑃1 = 2,40 + 12,01𝑥 + 9810𝑦 + 𝑃2 −𝑃1 + 𝑃2 = 2,40 + 12,01𝑥 + 196 − 9810𝑥 𝑃1 − 𝑃2 = 193,6 − 9797,901𝑥 3.25 Una tubería conduce agua de un embalse hasta otro que se encuentra 12m más abajo. Para un caudal de 0.6 m3/s, determinar las perdidas en metros-newtons por kilogramo y en kilovatios. Datos:
  • 4.
    𝑄 = 0.6𝑚2 /𝑠 𝐻1 = 12 𝑚 𝑔 ∗ ( 𝑃1 𝛾 + 𝑉1 2 2𝑔 + 𝑍1 = 𝑃2 𝛾 + 𝑉2 2 2𝑔 + 𝑍2 + 𝐻𝑓) 𝐻𝑓 = 𝑊 𝑓 𝑔 ; Trabajo de las pérdidas ( 𝑃1 𝜌 + 𝑉1 2 2 + 𝑍1 ∗ 𝑔 = 𝑃2 𝜌 + 𝑉2 2 2 + 𝑍2 ∗ 𝑔 + 𝑊𝑓) 𝑃1 𝜌 + 𝑉1 2 2 + 𝑍1 ∗ 𝑔 = 𝑃2 𝜌 + 𝑉2 2 2 + 𝑍2 ∗ 𝑔 + 𝑊𝑓 0 = 𝑉2 2 2 + 𝑍2 ∗ 𝑔 + 𝑊𝑓 𝑄1 = 𝑄2 𝐴2 𝑉2 = 𝐴1 𝑉1 𝑉2 = 𝑉1(Casi despreciable=0) 0 = 𝑍2 ∗ 𝑔 + 𝑊𝑓 0 = −12𝑚 ∗ (9,8𝑚/𝑠2 ) + 𝑊𝑓 𝑊𝑓 = 117,6𝑚2 /𝑠2 𝑚2 𝑠2 = 𝑚 ∗ 𝑁 𝐾𝑔 𝑊𝑓 = 117,6 𝑚 ∗ 𝑁 𝐾𝑔 𝑃𝑜𝑡𝑒𝑛𝑐𝑖𝑎 = 𝛾 ∗ 𝑄 ∗ 𝐻𝑓 𝑃𝑜𝑡𝑒𝑛𝑐𝑖𝑎 = 𝛾 ∗ 𝑄 ∗ 𝑊𝑓 𝑔 𝑃𝑜𝑡𝑒𝑛𝑐𝑖𝑎 = 9,81𝐾𝑁/𝑚3 ∗ 0,6𝑚3 /𝑠 ∗ 117,6𝑚2 /𝑠2 9,81𝑚/𝑠2
  • 5.
    𝑃𝑜𝑡𝑒𝑛𝑐𝑖𝑎 = 70,63𝐾𝑤 3.26 Una bomba que se encuentra localizada 10 pies por encima de la superficie de un lago expide un chorro de agua verticalmente hacia arriba, hasta una distancia de 50 pies. Si se bombean 0.5 pcs mediante u motor eléctrico de 5-hp que se mueve a su capacidad de diseño, ¿Cuál es la eficiencia de la combinación motor-bomba? ¿Cuál es la irreversibilidad del agua cuando esta cae a la superficie del lago? Datos: 𝑄 = 0.5 𝑓𝑡3 𝑠 ; 𝑃𝑜𝑡𝑒𝑛𝑐𝑖𝑎 = 5 𝐻𝑃 ∗ 550 𝑙𝑏𝑓 ∗ 𝑓𝑡 𝑠 1 𝐻𝑃 = 2750 𝑙𝑏𝑓 ∗ 𝑓𝑡 𝑠 𝑃𝑜𝑡𝑒𝑛𝑐𝑖𝑎 = 𝛾 ∗ 𝑄 ∗ 𝐻 𝑃𝑜𝑡𝑒𝑛𝑐𝑖𝑎 = 62.4 𝑙𝑏𝑓 𝑓𝑡3 ∗ 0.5 𝑓𝑡3 𝑠 ∗ 60 𝑓𝑡 = 1872 𝑙𝑏𝑓 ∗ 𝑓𝑡 𝑠 1 𝐻𝑃 = 550 𝑙𝑏𝑓 ∗ 𝑓𝑡 𝑠 𝜂 𝑀−𝐵 = 𝛾 ∗ 𝑄 ∗ 𝐻 𝑃𝑜𝑡𝑒𝑛𝑐𝑖𝑎 𝑚𝑜𝑡𝑜𝑟 = 1872 𝑙𝑏𝑓 ∗ 𝑓𝑡 𝑠 2750 𝑙𝑏𝑓 ∗ 𝑓𝑡 𝑠 ∗ 100 = 𝟖𝟔. 𝟎𝟕% 𝑃𝑜𝑡𝑒𝑛𝑐𝑖𝑎 = 𝛾 ∗ 𝑄 ∗ 𝐻 𝐻 𝑚 = 𝑃𝑜𝑡𝑒𝑛𝑐𝑖𝑎 𝑚𝑜𝑡𝑜𝑟 𝛾 ∗ 𝑄 = 2750 𝑙𝑏𝑓 ∗ 𝑓𝑡 𝑠 62.4 𝑙𝑏𝑓 𝑓𝑡3 ∗ 0.5 𝑓𝑡3 𝑠 = 𝟖𝟖. 𝟏𝟒 𝒑𝒊𝒆𝒔 3.27 un ventilador mueve 2 m3/s de aire,𝜌=1.3 kg/m3, con un incremento en la presión de 150 mm de agua. La eficiencia es del 72%.determinar la irreversibilidad del ventilador en metros-newtons por kilogramo en kilovatios, y determinar el torque en el eje si el ventilador rota a 1800 rpm. Datos: Q = 2 m3 /s
  • 6.
    ρ = 1.3kg/m3 H = 150mm = 0.15m η = 0.72 SOLUCIÓN: Potencia hidráulica = Ɣ ∗ Q ∗ H Potencia hidráulica = 1.3 kg m3 ∗ 2 m3 s ∗ 0.15m Potencia hidráulica = 3.28 W η = potencia hidráulica potencia del ventilador Potencia del ventilador = η ∗ Potencia Potencia del ventilador = 0.72 ∗ 3.28W Potencia del ventilador = 2.75 W I = 3.28W − 2.75W I = 1.07 W I = 1.07X10−3 KW Potencia = τ ∗ W τ = potencia W τ = 3.82W 180rpm ∗ 2πrad 1rev ∗ 1min 60seg τ = 0.20 N.m 3.28 una tubería a presión de 6m de diámetro tiene una velocidad de 3 m/s. Después de pasar atravez de un codo reductor, el flujo circula por una tubería de 5 m de diámetro. Si
  • 7.
    las perdidas varíancon el cuadrado de la velocidad, ¿Qué tanto más grandes serán ellas a través de la tubería de 5m respecto a las tuberías de 6m por cada 1000 m de tubería? Datos: ϕ1 = 6m V1 = 3 m s ϕ2 = 5m SOLUCIÓN Q1 = Q2 V1 ∗ A1 = V2 ∗ A2 V2 = V1 ∗ A1 A2 V2 = 3 m s ∗ 6m2 5m2 V2 = 4.32 m s Q1 = V1 ∗ A1 Q1 = 3 m s ∗ 2πD2 4 Q1 = 3 m s ∗ 2π62 4 Q1 = 169.65 m3 s 3.28 Una tubería a presión de 6 m de diámetro tiene una velocidad de 3 m/s. Después de pasar a través de un codo reductor, el flujo circula por una tubería de 5m de diámetro. Si las perdidas varían con el cuadrado de la velocidad, ¿Qué tanto más grandes serán ellas a través de la tubería de 5 metros, respecto a las de las tuberías de 6 m por cada 100 m de tubería?
  • 8.
    Solución Datos: D1= 6 m D2= 5m V1= 3 m/s Con la ecuación de continuidad. 𝑄1 = 𝑄2 𝐴1 ∗ 𝑉1 = 𝐴2 ∗ 𝑉2 [ 𝜋 ∗ 𝐷12 4 ∗ 𝑉1] = [ 𝜋 ∗ 𝐷22 4 ∗ 𝑉2] 𝐷12 ∗ 𝑉1 = 𝐷22 ∗ 𝑉1 𝐷12 𝐷22 ∗ 𝑉1 = 𝑉2 (6 𝑚)2 (5 𝑚)2 ∗ 3 𝑚/𝑠 = 𝑉2 𝑉2 = 𝟒. 𝟑𝟐 𝒎/𝒔 𝑃1 𝛾 + 𝑉12 2𝑔 + 𝑧1 = 𝑃2 𝛾 + 𝑉22 2𝑔 + 𝑧2 + 𝐻𝑓 𝐻𝑓 = 𝐾 ∗ 𝑉22 2𝑔 𝑉12 2𝑔 = 𝑉22 2𝑔 + 𝐻𝑓 𝑉12 2𝑔 = 𝑉22 2𝑔 + 𝐾 ∗ 𝑉22 2𝑔
  • 9.
    𝑉12 2𝑔 = 𝑉22 2𝑔 [ 𝐾 +1] 𝑉12 𝑉22 = [ 𝐾 + 1] 𝑉12 𝑉22 + 1 = 𝐾 𝐾 = 1 + (3 𝑚/𝑠)2 (4.32 𝑚/𝑠)2 𝐾 = 𝟏. 𝟒𝟖 Perdidas 𝐻𝑓 = 𝐾 ∗ 𝑉22 2𝑔 𝐻𝑓 = 1.48 ∗ (4.32 𝑚/𝑠)2 2(9.81 𝑚/𝑠2) 𝐻𝑓 = 𝟏. 𝟒𝟎 [ 𝒎] Para la tubería con D1= 6 m con una velocidad V1= 3 m/s la pérdida por fricción es: 𝐻𝑓 = 𝐾 ∗ 𝑉12 2𝑔 𝐻𝑓 = 1.48 ∗ (3 𝑚/𝑠)2 2(9.81 𝑚/𝑠2) 𝐻𝑓 = 𝟎. 𝟔𝟕 [ 𝒎] El incremento por cada 100 m con un D1= 6 m 𝐼𝑛𝑐𝑟𝑒𝑚𝑒𝑛𝑡𝑜 = 𝐻𝑓 100 𝐼𝑛𝑐𝑟𝑒𝑚𝑒𝑛𝑡𝑜 = 0.67 [ 𝒎] 100 [ 𝒎] 𝑰𝒏𝒄𝒓𝒆𝒎𝒆𝒏𝒕𝒐 = 𝟔. 𝟕 ∗ 𝟏𝟎−𝟑 El incremento por cada 100 m con un D2= 5 m 𝐼𝑛𝑐𝑟𝑒𝑚𝑒𝑛𝑡𝑜 = 𝐻𝑓 100 [ 𝒎] 𝐼𝑛𝑐𝑟𝑒𝑚𝑒𝑛𝑡𝑜 = 1.40 [ 𝒎] 100 [ 𝒎]
  • 10.
    𝐼𝑛𝑐𝑟𝑒𝑚𝑒𝑛𝑡𝑜 = 0.014 Incrementode la perdida en relación con los diámetros de la tubería. 𝑅𝑒𝑙𝑎𝑐𝑖ó𝑛 𝑑𝑒𝑙 𝑖𝑛𝑐𝑟𝑒𝑚𝑒𝑛𝑡𝑜 = 𝐻𝑓5 𝐻𝑓6 𝑅𝑒𝑙𝑎𝑐𝑖ó𝑛 𝑑𝑒𝑙 𝑖𝑛𝑐𝑟𝑒𝑚𝑒𝑛𝑡𝑜 = 6.7 ∗ 10−3 0.014 𝑅𝑒𝑙𝑎𝑐𝑖ó𝑛 𝑑𝑒𝑙 𝑖𝑛𝑐𝑟𝑒𝑚𝑒𝑛𝑡𝑜 = 0.47 3.36. Las pérdidas en la figura 3.52 para H = 25 pies son 3𝑉2 /2𝑔 𝑝𝑖𝑒. 𝑙𝑏/𝑙𝑏¿Cuál es el caudal? 𝑃1 𝛾 + 𝑉1 2 2𝑔 + 𝑧1 = 𝑃3 𝛾 + 𝑉3 2 2𝑔 + 𝑧3 + 𝐻𝑓 P1 = P3 = 0 𝑧3= 0 k = 3 𝑧1 = 𝑉3 2 2𝑔 + 𝑘 𝑉3 2 2𝑔 𝑧1 = 𝑉3 2 2𝑔 ( 1 + 𝑘) 𝑉3 = √ 𝑧1 ∗ 2𝑔 ( 1 + 𝑘) 𝑉3 = √ 25 𝑝𝑖𝑒𝑠 ∗ 2(32.2 𝑝𝑖𝑒 𝑠2 ) ( 1+ 3) = 20.06 𝑝𝑖𝑒 𝑠
  • 11.
    𝑑 = 6𝑖𝑛 ∗ 1 𝑝𝑖𝑒 12 𝑖𝑛 = 0.5 𝑝𝑖𝑒𝑠 𝑄 = 𝑉 ∗ 𝐴 𝐴 = 𝜋𝑑2 4 𝑄 = 20.06 𝑝𝑖𝑒 𝑠 [ 𝜋(𝑂. 5𝑝𝑖𝑒)2 4 ] 𝑸 = 𝟑. 𝟗𝟒 𝒑𝒊𝒆 𝟑 𝒔 3.37 En la figura 3.52 determinar H para perdidas de 10V2/2g pie lb/lb para un caudal de 750gpm 𝑄 = 750gpm ⋅ 1𝑓 𝑡3 𝑠 448.31 𝑔𝑝𝑚 = 1.67 𝑓 𝑡3 𝑠 𝑉 = 𝑄 𝐴 = 1.67𝑓𝑡3 𝑠 𝜋 4 (6𝑖𝑛 ⋅ 1𝑓𝑡 12𝑖𝑛 ) 2 = 8.50 𝑓𝑡 𝑠 𝑃1 𝛾 + 𝑉1 2 2𝑔 + 𝑧1 = 𝑃2 𝛾 + 𝑉2 2 2𝑔 + 𝑧2 + 𝐻𝑓 𝐻 = 𝑉2 2 2𝑔 + 𝐻𝑓 = 𝑉2 2𝑔 + 10𝑉2 2𝑔 = 11𝑉2 2𝑔 𝐻 = 11(8.50 𝑓𝑡 𝑠 ) 2 2(32.2 𝑓𝑡 𝑠2) = 12.34 𝑓𝑡
  • 12.
    3.38 En lafigura para un caudal de 1500 rpm y H=32 pies, calcular las pérdidas a través del sistema en cabezas de velocidad, KV2 /2g Datos: Q = 1500 galones min x 3.79 L 1 galon x 1m3 1000L x (3.28ft)3 (1 m)3 x 1 min 60 s = 3.343 ft s 3 H = 32 pies KV2 /2g Q = V ∗ A V = 3.343 π 4 (0.5)2 V = 17.025 ft/s P1 γ + V1 2 2g + z1 = P2 γ + V2 2 2g + z2 + Hf Hf = k V2 2 2g 0 + 0 + 32 = 0 + (17.025)2 2(32.2) + 0 + 𝑘 (17.025)2 2(32.2) k = 32 − (17.025)2 2(32.2) (17.025)2 2(32.2) k = 6.11 3.39 en la figura las pérdidas hasta la sección A son 5𝑉1 2 /2𝑔 y las pérdidas en la boquilla son 0.05𝑉2 2 /2𝑔. Determinar el caudal y la presión en A. H =8m.
  • 13.
    𝑃0 𝛾 + 𝑉0 2 2𝑔 + 𝑍0 = 𝑃2 𝛾 + 𝑉2 2 2𝑔 +𝑍2 + 𝐻𝑓 0 + 0 + 8 = 0 + 𝑉2 2 2 ∗ 9.81 + 0 + 0.05𝑉2 2 2 ∗ 9.81 8 = 35 654 𝑉2 2 𝑉2 = 12.22𝑚/𝑠 𝑄 = 𝐴2 𝑉2 𝑄 = 𝜋 4 ∗ (0.5)2 ∗ 12.22 𝑄 = 0.0239𝑚3 /𝑠 𝑄 = 𝐴2 𝑉2 = 𝐴1 𝑉1 𝑉1 = 𝐴2 𝑉2 𝐴1 = 1.35𝑚/𝑠 𝑃1 𝛾 + 𝑉1 2 2𝑔 + 𝑍1 = 𝑃2 𝛾 + 𝑉2 2 2𝑔 + 𝑍2 + 𝐻𝑓 𝑃1 𝛾 + 𝑉1 2 2𝑔 + 0 = 0 + 𝑉2 2 2𝑔 + 0 + 5𝑉1 2 2𝑔 𝑃1 𝛾 = 𝑉2 2 2𝑔 + 2 𝑉1 2 𝑔 𝑃1 𝛾 = 12.222 2 ∗ 9.81 + 2 ∗ 1.39 9.81 𝑃1 𝛾 = 8.004 𝑃1 = 78.53𝑘𝑃𝑎 3.40 En la figura 3.53, para una presión en A de 25KPa con las perdidas encontradas en el problema 3.39, determinar el caudal y la cabeza H. Datos:
  • 14.
    𝑃1 = 25𝐾𝑃𝑎 𝑄=? 𝑄1 = 𝑄2 𝐴2 𝑉2 = 𝐴1 𝑉1 𝑄 = 𝐴1 𝑉1 𝐴2 𝑄 = 𝐴1 𝑉1 𝐴2 𝑄 = 𝜋 4 ∗ (0.05)2 𝜋 4 ∗ (0.15)2 ∗ 𝑉1 0.012𝑉2 = 𝑉1 𝑃1 𝛾 + 𝑉1 2 2𝑔 + 𝑍1 + 𝐻𝑓𝑎 = 𝑃2 𝛾 + 𝑉2 2 2𝑔 + 𝑍2 + 𝐻𝑓𝑏 𝑃1 𝛾 + 𝑉1 2 2𝑔 + 0 + 5𝑉1 2 2𝑔 = 0 + 𝑉2 2 2𝑔 + 0 + 0.05𝑉2 2 2𝑔 𝑃1 𝛾 + 3.5 ∗ 5(0.111𝑉2)2 2𝑔 = 1.05𝑉2 2 2𝑔 𝑃1 𝛾 + 3.5 ∗ (0.012𝑉2)2 2𝑔 = 1.05𝑉2 2 2𝑔 𝑃1 𝛾 = − (0.043052𝑉2)2 2𝑔 + 1.05𝑉2 2 2𝑔
  • 15.
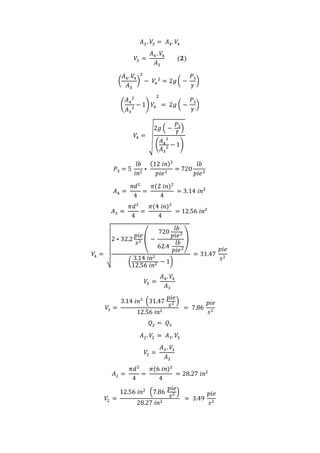
    𝑃1 𝛾 = − 1.0069(𝑉2)2 2𝑔 √ 25 ∗103(2 ∗ 9,8) 9,8 ∗ 103 = (𝑉2) 7.03𝑚/𝑠 = (𝑉2) 𝑄 = 𝐴1 𝑉1 𝑄 = 𝜋 4 ∗ (0.05)2 ∗ 7.04 𝑚/𝑠 𝑄 = 0,0138 𝑚3 /𝑠 3.41 El sistema de bombeo mostrado en la figura 3.54 tiene una presión de 5 psi en la línea de descarga cuando la cavitación es incipiente a la entrada de la bomba. Calcular la longitud de la tubería desde el embalse hasta la bomba para esta condición de operación si las pérdidas en esta tubería pueden expresarse como (𝑉1 2 /2g) (0.03L/D). ¿Cuál es la potencia en caballos, que está siendo suministrada por la bomba al fluido? ¿Qué porcentaje de esta potencia está siendo utilizada para sobreponer las pérdidas? La lectura del barómetro es 30 pulg Hg. 𝑃3 𝛾 + 𝑉3 2 2𝑔 + 𝑧3 = 𝑃4 𝛾 + 𝑉4 2 2𝑔 + 𝑧4 𝑃4 = 0 𝑉3 2 2𝑔 − 𝑉4 2 2𝑔 = (𝑧4 − 𝑧3)− 𝑃3 𝛾 𝑧3 = 𝑧4 𝑉3 2 − 𝑉4 2 = 2𝑔( − 𝑃3 𝛾 ) (𝟏) 𝑄3 = 𝑄4
  • 16.
    𝐴3. 𝑉3 =𝐴4. 𝑉4 𝑉3 = 𝐴4 . 𝑉4 𝐴3 (𝟐) ( 𝐴4. 𝑉4 𝐴3 ) 2 − 𝑉4 2 = 2𝑔( − 𝑃3 𝛾 ) ( 𝐴4 2 𝐴3 2 − 1) 𝑉4 2 = 2𝑔 ( − 𝑃3 𝛾 ) 𝑉4 = √ 2𝑔 ( − 𝑃3 𝛾 ) ( 𝐴4 2 𝐴3 2 − 1) 𝑃3 = 5 𝑙𝑏 𝑖𝑛2 ∗ (12 𝑖𝑛)2 𝑝𝑖𝑒2 = 720 𝑙𝑏 𝑝𝑖𝑒2 𝐴4 = 𝜋𝑑2 4 = 𝜋(2 𝑖𝑛)2 4 = 3.14 𝑖𝑛2 𝐴3 = 𝜋𝑑2 4 = 𝜋(4 𝑖𝑛)2 4 = 12.56 𝑖𝑛2 𝑉4 = √ 2 ∗ 32.2 𝑝𝑖𝑒 𝑠2 ( − 720 𝑙𝑏 𝑝𝑖𝑒2 62.4 𝑙𝑏 𝑝𝑖𝑒2 ) ( 3.14 𝑖𝑛2 12.56 𝑖𝑛2 − 1) = 31.47 𝑝𝑖𝑒 𝑠2 𝑉3 = 𝐴4. 𝑉4 𝐴3 𝑉3 = 3.14 𝑖𝑛2 (31.47 𝑝𝑖𝑒 𝑠2 ) 12.56 𝑖𝑛2 = 7.86 𝑝𝑖𝑒 𝑠2 𝑄2 = 𝑄3 𝐴2. 𝑉2 = 𝐴3. 𝑉3 𝑉2 = 𝐴3 . 𝑉3 𝐴2 𝐴2 = 𝜋𝑑2 4 = 𝜋(6 𝑖𝑛)2 4 = 28.27 𝑖𝑛2 𝑉2 = 12.56 𝑖𝑛2 (7.86 𝑝𝑖𝑒 𝑠2 ) 28.27 𝑖𝑛2 = 3.49 𝑝𝑖𝑒 𝑠2
  • 17.
    𝑃1 𝛾 + 𝑉1 2 2𝑔 + 𝑧1 = 𝑃2 𝛾 + 𝑉2 2 2𝑔 +𝑧2 + 𝐻𝑓 𝑧1 = 0 𝑉1 = 0 𝑃1 𝛾 = 𝑃2 𝛾 + 𝑉2 2 2𝑔 + 𝑧2 + ( 0.03 𝐿 𝐷 ) 𝑉2 2 2𝑔 ( 𝑃1 𝛾 − 𝑃2 𝛾 ) − 𝑧2 = 𝑉2 2 2𝑔 (1 + 0.03 𝐿 𝐷 ) 𝐿 = 𝐷 0.03 [ ( 𝑃1 𝛾 − 𝑃2 𝛾 ) − 𝑧2 𝑉2 2 2𝑔 − 1 ] 𝑃1 = 30 𝑖𝑛 𝐻𝑔 𝑃1 𝛾 𝐻𝑔 = 30 𝑖𝑛 ∗ 1 𝑝𝑖𝑒 12 𝑖𝑛 = 2.5 𝑝𝑖𝑒𝑠 𝑃1 𝛾 𝐻𝑔 = 𝑃1 𝛾 𝐻𝑔 𝑆 = 2.5 𝑝𝑖𝑒𝑠 (13.59) = 33.92 𝑝𝑖𝑒𝑠 3.46 Determinar la potencia en el eje para una bomba con una eficiencia del 80% que descarga 30 L/s a través del sistema mostrado en la figura 3.56 las pérdidas del sistema, sin incluir las perdidas en la bomba son 12V2/2g y H=16m.
  • 18.
    3.47 La potenciafluida producida por la bomba de la figura 3.56 es 𝑄𝛾𝐻 𝑃 550 = 10. Para H=70 pies y perdidas en el sistema de 8V2/2g, determinar el caudal y la cabeza de la bomba 𝐻 𝑃. Determinar la línea de energía. Datos .𝑄 = 3 𝐿 𝑠 = 0,03 𝑚3 𝑠 .𝑛 = 80% .𝐻 = 16𝑚 .𝐻𝑓 = 12𝑉2 2𝑔 Datos . 𝑄∗𝛾∗𝐻 𝐵 10 =550 .𝐻𝑓 = 8𝑉2 2𝑔 .𝐻 = 70𝑓𝑡 = 21,33𝑚 P1 γ + V1 2 2g + z1 + HB = P2 γ + V2 2 2g + z2 + Hf HB = z2 + Hf n = Pbomba Peje HB = 16m + 12V2 2g Peje = Pbomba n HB = 17,76m Peje = 5226,76w 0,8 .Q = A ∗ V Pbomba = Q ∗ γ ∗ HB Peje = 6533,46w = 8,75 Hp .V = Q A = 0.03m3 S 0.0176m2 Pbomba = 5226,76w .V = 1,70m2/s
  • 19.
    3.54 En lafigura 3.59, entre las secciones 1 y 2 fluyan 100L/s de agua con pérdidas de 0.4 (V1-V2)2/2g; p1=80 kpa. Calcular p2 y dibujar las líneas de energía y piezométricas a través del difusor. P1 γ + V1 2 2g + z1 + HB = P2 γ + V2 2 2g + z2 + Hf HB = z2 + Hf . Q∗γ∗HB 10 =550 HB = 21,34 + 8V2 2g Q = A ∗ V . Q ∗ γ ∗ HB = 5500 0,56 Q = 21,34+8V2 2g Q = (0,0176m2) ( 1,45m s ) = 0,025 m3 s . HB = 5500 Q∗γ = 0,56 Q 0,56 = 21,34(V∗A)+ 8V2 2g (V∗ A) HB = 21,34 + 8V2 2g .Q = A ∗ V 0,56 = 0,37V + 0,0071V3 HB = 21,34 + 0,86 . Q = 0,0176m2 ∗ V V = 1,45 m/s HB = 22,20m
  • 20.
    DATOS: D1 = 300mm A1 = π ∗ D1 2 4 = 0.07 m2 D2 = 450 mm A2 = π ∗ D2 2 4 = 0.159 m2 Q = 100L s → 0.1m3 s γH2O = 9.81 KN/m3 Hf = 0.4 (V1 − V2)2 2g P1 = 80Kpa P2 = ? V1 = Q A = 0.1m3 s 0.07m2 = 1.42 m s ; V2 = Q A = 0.1m3 s 0.159m2 = 0.628 m s ; Hf = 0.4 (1.42 m s − 0.628 m s ) 2 2 ∗ 9.81m s2 = 0.012m P1 γ + V1 2 γ + z1 = P2 γ + V2 2 γ + z2 + Hf P1 γ + V1 2 γ = P2 γ + V2 2 γ + +Hf → P2 = γ ( P1 γ + V1 2 γ − V2 2 γ − Hf) P2 = 9.81KN m3 ∗ ( 80Kpa 9.81KN m3 + (1.42 m s )2 9.81KN m3 − (0.628 m s )2 9.81KN m3 − 0.012m) P2 = 80.62 Kpa P1 γ = 8.15m ; V1 2 γ = 0.10m ; P2 γ = 8.21m ; V2 2 γ = 0.020m ; Hf = 0.012m