República Bolivariana de Venezuela
Ministerio Del Poder Popular Para la Educación
Instituto Universitario de Tecnología
“Antonio José De Sucre”
Barquisimeto-Edo Lara
Integrante:
Luis Sarmiento
C.I:23.575.065
EJERCICiO N-1:
1.- Una compañía desea hacer predicciones del valor anual de sus ventas totales en cierto país a
partir de la relación de éstas y la renta nacional. Para investigar la relación cuenta con los
siguientes datos:
X 189 190 208 227 239 252 257 274 293 308 316
Y 402 404 412 425 429 436 440 447 458 469 469
X representa la renta nacional en millones de euros e Y representa las ventas de la compañía en
miles de euros en el periodo que va desde 2001 hasta 2010 (ambos inclusive).
a) Elaborar el diagrama de dispersión e intérprete la gráfica.
b) Calcular el coeficiente de correlación lineal e interpretarlo.
390
400
410
420
430
440
450
460
470
480
490
0 50 100 150 200 250 300 350
diagramade dispersion
diagrama de dispersion
c) X Y X2
Y2
XY
189 402 35721 161604 75978
190 404 36100 163216 76760
208 412 43264 169744 85696
227 425 51529 180625 96475
239 429 57121 184041 102531
252 436 63504 190096 109872
257 440 66049 193600 113080
274 447 75076 199809 122478
293 458 85849 209764 134194
308 469 94864 219961 144452
316 469 99856 219961 148204
2753 4791 485198 2092421 1209720
B.- COEFICIENTE DE CORRELACION LINEAL
𝑥̅=
2753
11
= 250,27
𝒚̅= 𝟒𝟕𝟗𝟏
𝟏𝟏 = 435,54
Sx= √485198 − 250,27
2
= √43858,63
11
Sx= 209,42
Sy= √2092421 − (435,54)2
= √524,99
11
Sy= 22,91
Por definición de la formula se tiene:
rxy= 1209720 - (250,27) (435,54)
11
(209,42) (22,91)
rxy = 971,94 = 0,2025
4797,8122
El coeficiente de correlación lineal es:
r = rxy
sxsy
r= 0,2025
(209,42) (22,91)
r= 4,22X10-5
El Coeficiente De Correlación Lineal Es Positivo, La Correlación Es Directa Y No Es Muy
Fuerte Ya Que Esta Alejado Del 1
EJERCICIO N-2:
2.-En una empresa de transportes trabajan cuatro conductores. Los años de antigüedad
de permisos de conducir y el número de infracciones cometidas en el último año por cada
uno de ellos son los siguientes:
Años (X) 3 4 5 6
Infracciones (Y) 4 3 2 1
a) Calcular el coeficiente de correlación lineal e interpretarlo.
𝑋̅ =
18
4
= 4,5
𝑌̅ =
10
4
= 2,5
Sx= √
86
4
(4,5)
2
= √1,25
Sx= 1,11
Sy= √30
4
- (2,5)2 =
√1,25
Sy= 1,11
X Y X2
Y2
XY
3 4 9 16 12
4 3 16 9 12
5 2 25 4 10
6 1 36 1 6
18 10 86 30 40
rxy=
40
4
− (4,5)(2,5)
(1,11)(1,11)
rxy = −1,25
1,23
rxy= -1,014
LA CORRELACION ES INVERSA POR LO TANTO ES:
r = rxy
sxsy
r = 1,014
(1,11)2
r= -0,822
La correlación es fuerte e inversa
EJERCICIO N-3:
Una compañía que tiene 15 tiendas ha recopilado datos en relación con los metros
cuadrados de área de ventas respecto a los ingresos mensuales. Trace una gráfica de los
datos, y si le parece apropiado determine la correlación.
Tienda Metros 2 Ingreso
X Y
a 55 45
o 80 60
j 85 75
e 90 75
k 90 80
d 110 95
n 130 95
g 140 110
c 180 120
l 180 105
b 200 115
i 200 130
h 215 140
f 260 170
m 300 200
15 2315 1615
X Y X2
Y2
XY
55 45 3025 2025 2475
80 60 6400 3600 4800
85 75 7225 5625 6375
90 75 8100 5625 6750
90 80 8100 6400 7200
110 95 12100 9025 10450
130 95 16900 9025 12350
140 95 16900 9025 12350
180 120 32400 14400 21600
180 105 32400 11025 18900
200 115 40000 13225 23000
200 130 40000 16900 26000
215 140 46225 19600 30100
260 170 67600 28900 44200
300 200 90000 40000 60000
2315 1615 430075 191850 289600
55 80 85 90 90 110 130 140 180 180 200 200 215 260 300
200
170
140
130
120
115
110
105
95
95
80
75
60
45
170
140
130
120
115
110
105
95
95
80
75
60
45
130
120
115
110
105
95
95
80
75
60
45
140
130
120
115
110
105
95
95
80
75
60
45
115
110
105
95
95
80
75
60
45
120
115
110
105
95
95
80
75
60
45
75
60
45
80
75
60
45
95
80
75
60
45
95
95
80
75
60
45
105
95
95
80
75
60
45
110
105
95
95
80
75
60
45
45
60
45
75
60
45
INGRESO
METROS
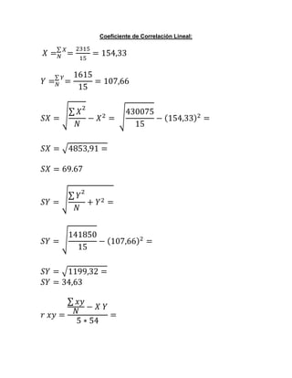
Coeficiente de Correlación Lineal:
𝑋 = 𝑁
∑ 𝑋
=
2315
15
= 154,33
𝑌 = 𝑁
∑ 𝑌
=
1615
15
= 107,66
𝑆𝑋 = √
∑ 𝑋
2
𝑁
− 𝑋2
= √
430075
15
− (154,33)2
=
𝑆𝑋 = √4853,91 =
𝑆𝑋 = 69.67
𝑆𝑌 = √
∑ 𝑌
2
𝑁
+ 𝑌2 =
𝑆𝑌 = √
141850
15
− (107,66)2
=
𝑆𝑌 = √1199,32 =
𝑆𝑌 = 34,63
𝑟 𝑥𝑦 =
∑ 𝑥𝑦
𝑁
− 𝑋 𝑌
5 ∗ 54
=
𝑟 𝑥𝑦 =
289600
15
− (154,33). (107,66)
(69,67). (34,63)
=
𝑟 𝑥𝑦 =
2691,49
2412,67
=
𝑟 𝑥𝑦 = 1,115
𝑟 =
𝑟 𝑥𝑦
5 ∗ 54
=
𝑟 =
1,115
(69,67). (34,63)
=
𝑟 = 4,621𝑥10−4
La correlación lineal es positiva.

Ejercicios de estadistica

  • 1.
    República Bolivariana deVenezuela Ministerio Del Poder Popular Para la Educación Instituto Universitario de Tecnología “Antonio José De Sucre” Barquisimeto-Edo Lara Integrante: Luis Sarmiento C.I:23.575.065
  • 2.
    EJERCICiO N-1: 1.- Unacompañía desea hacer predicciones del valor anual de sus ventas totales en cierto país a partir de la relación de éstas y la renta nacional. Para investigar la relación cuenta con los siguientes datos: X 189 190 208 227 239 252 257 274 293 308 316 Y 402 404 412 425 429 436 440 447 458 469 469 X representa la renta nacional en millones de euros e Y representa las ventas de la compañía en miles de euros en el periodo que va desde 2001 hasta 2010 (ambos inclusive). a) Elaborar el diagrama de dispersión e intérprete la gráfica. b) Calcular el coeficiente de correlación lineal e interpretarlo. 390 400 410 420 430 440 450 460 470 480 490 0 50 100 150 200 250 300 350 diagramade dispersion diagrama de dispersion c) X Y X2 Y2 XY 189 402 35721 161604 75978 190 404 36100 163216 76760 208 412 43264 169744 85696 227 425 51529 180625 96475 239 429 57121 184041 102531 252 436 63504 190096 109872 257 440 66049 193600 113080 274 447 75076 199809 122478 293 458 85849 209764 134194 308 469 94864 219961 144452 316 469 99856 219961 148204 2753 4791 485198 2092421 1209720
  • 3.
    B.- COEFICIENTE DECORRELACION LINEAL 𝑥̅= 2753 11 = 250,27 𝒚̅= 𝟒𝟕𝟗𝟏 𝟏𝟏 = 435,54 Sx= √485198 − 250,27 2 = √43858,63 11 Sx= 209,42 Sy= √2092421 − (435,54)2 = √524,99 11 Sy= 22,91 Por definición de la formula se tiene: rxy= 1209720 - (250,27) (435,54) 11 (209,42) (22,91) rxy = 971,94 = 0,2025 4797,8122 El coeficiente de correlación lineal es: r = rxy sxsy
  • 4.
    r= 0,2025 (209,42) (22,91) r=4,22X10-5 El Coeficiente De Correlación Lineal Es Positivo, La Correlación Es Directa Y No Es Muy Fuerte Ya Que Esta Alejado Del 1 EJERCICIO N-2: 2.-En una empresa de transportes trabajan cuatro conductores. Los años de antigüedad de permisos de conducir y el número de infracciones cometidas en el último año por cada uno de ellos son los siguientes: Años (X) 3 4 5 6 Infracciones (Y) 4 3 2 1 a) Calcular el coeficiente de correlación lineal e interpretarlo. 𝑋̅ = 18 4 = 4,5 𝑌̅ = 10 4 = 2,5 Sx= √ 86 4 (4,5) 2 = √1,25 Sx= 1,11 Sy= √30 4 - (2,5)2 = √1,25 Sy= 1,11 X Y X2 Y2 XY 3 4 9 16 12 4 3 16 9 12 5 2 25 4 10 6 1 36 1 6 18 10 86 30 40
  • 5.
    rxy= 40 4 − (4,5)(2,5) (1,11)(1,11) rxy =−1,25 1,23 rxy= -1,014 LA CORRELACION ES INVERSA POR LO TANTO ES: r = rxy sxsy r = 1,014 (1,11)2 r= -0,822 La correlación es fuerte e inversa EJERCICIO N-3: Una compañía que tiene 15 tiendas ha recopilado datos en relación con los metros cuadrados de área de ventas respecto a los ingresos mensuales. Trace una gráfica de los datos, y si le parece apropiado determine la correlación. Tienda Metros 2 Ingreso X Y a 55 45 o 80 60 j 85 75 e 90 75 k 90 80 d 110 95 n 130 95 g 140 110 c 180 120 l 180 105 b 200 115 i 200 130 h 215 140 f 260 170 m 300 200 15 2315 1615
  • 6.
    X Y X2 Y2 XY 5545 3025 2025 2475 80 60 6400 3600 4800 85 75 7225 5625 6375 90 75 8100 5625 6750 90 80 8100 6400 7200 110 95 12100 9025 10450 130 95 16900 9025 12350 140 95 16900 9025 12350 180 120 32400 14400 21600 180 105 32400 11025 18900 200 115 40000 13225 23000 200 130 40000 16900 26000 215 140 46225 19600 30100 260 170 67600 28900 44200 300 200 90000 40000 60000 2315 1615 430075 191850 289600 55 80 85 90 90 110 130 140 180 180 200 200 215 260 300 200 170 140 130 120 115 110 105 95 95 80 75 60 45 170 140 130 120 115 110 105 95 95 80 75 60 45 130 120 115 110 105 95 95 80 75 60 45 140 130 120 115 110 105 95 95 80 75 60 45 115 110 105 95 95 80 75 60 45 120 115 110 105 95 95 80 75 60 45 75 60 45 80 75 60 45 95 80 75 60 45 95 95 80 75 60 45 105 95 95 80 75 60 45 110 105 95 95 80 75 60 45 45 60 45 75 60 45 INGRESO METROS
  • 7.
    Coeficiente de CorrelaciónLineal: 𝑋 = 𝑁 ∑ 𝑋 = 2315 15 = 154,33 𝑌 = 𝑁 ∑ 𝑌 = 1615 15 = 107,66 𝑆𝑋 = √ ∑ 𝑋 2 𝑁 − 𝑋2 = √ 430075 15 − (154,33)2 = 𝑆𝑋 = √4853,91 = 𝑆𝑋 = 69.67 𝑆𝑌 = √ ∑ 𝑌 2 𝑁 + 𝑌2 = 𝑆𝑌 = √ 141850 15 − (107,66)2 = 𝑆𝑌 = √1199,32 = 𝑆𝑌 = 34,63 𝑟 𝑥𝑦 = ∑ 𝑥𝑦 𝑁 − 𝑋 𝑌 5 ∗ 54 =
  • 8.
    𝑟 𝑥𝑦 = 289600 15 −(154,33). (107,66) (69,67). (34,63) = 𝑟 𝑥𝑦 = 2691,49 2412,67 = 𝑟 𝑥𝑦 = 1,115 𝑟 = 𝑟 𝑥𝑦 5 ∗ 54 = 𝑟 = 1,115 (69,67). (34,63) = 𝑟 = 4,621𝑥10−4 La correlación lineal es positiva.