EJERCITACIÓN
CONTABLE
Profesora Maricel Vairoletti
NOMBRE DEL ALUMNO…………………………………………………………………………………………
CONTENIDO: Libro Diario – IVA – Libro Mayor – Sumas y Saldos – Balance 8 columnas – Ajustes
Balance 12 columnas – Moneda Extranjera – Caja de Ahorro Bancario – Fondo Fijo
2
MARICEL VAIROLETTI - SISTEMAS DE INFORMACIÓN CONTABLE
LIBRO DIARIO
CUENTAS DEBE HABER
Transporte
3
MARICEL VAIROLETTI - SISTEMAS DE INFORMACIÓN CONTABLE
Transporte
Total
4
MARICEL VAIROLETTI - SISTEMAS DE INFORMACIÓN CONTABLE
LIBRO DIARIO
CUENTAS DEBE HABER
Transporte
5
MARICEL VAIROLETTI - SISTEMAS DE INFORMACIÓN CONTABLE
Transporte
Total
6
MARICEL VAIROLETTI - SISTEMAS DE INFORMACIÓN CONTABLE
IMPUESTO AL VALOR AGREGADO
IVA
IVA Crédito Fiscal
IVA Débito Fiscal
1. Vendo Mercaderías por $1000 – Factura A – RI (1000x21/100= 210 <<< IVA)
2. Compro Mercaderías por $560 – (560x21/100=117,60 <<<IVA)
3. Declaración Jurada – Posición Mensual
IVA Débito Fiscal 210 menos IVA Crédito Fiscal 117,60= IVA saldo a Pagar 92,40 (Cuenta Patrimonial
del Pasivo) Saldo a Favor de la AFIP (Débito mayor que el Crédito)
1
Caja 1210
a- Ventas 1000
a- IVA Débito Fiscal 210
Por venta de Mercaderías
2
Mercaderías 560
IVA Crédito Fiscal 117,60
a- Caja 677,60
Por compra de Mercaderías
3
IVA Débito Fiscal 210
a- IVA Crédito Fiscal 117,60
a- IVA Saldo a Pagar 92,40
Se determina la Posición Mensual
4. Posición Mensual: IVA Saldo a Favor (Cuenta Patrimonial del Activo) Ej: IVA Crédito Fiscal 500
menos IVA Débito Fiscal 300 = IVA saldo a Favor 200 (Crédito Mayor que el Débito)
IVA Débito Fiscal 300
IVA Saldo a favor 200
a- IVA Crédito Fiscal 500
Se determina la Posición Mensual
5. Vendo Mercaderías $ 1210 a CF – Facturas “B” y “C” (No se discrimina IVA en la Fact pero SI
se registra en el Libro Diario) 1210/1,21=1000 <<<Ventas -- 1210 – 1000= 210 <<< IVA
Caja 1210
a- Ventas 1000
a- IVA Débito Fiscal 210
Por Venta de Mercaderías
Cuenta PATRIMONIAL DEL ACTIVO
Se usa cuando COMPRA (MERCADERÍAS)
Acá es cuando PAGA IVA
Se usa cuando VENDE (VENTAS)
Acá es cuando COBRA IVA
Cuenta PATRIMONIAL DEL PASIVO
7
MARICEL VAIROLETTI - SISTEMAS DE INFORMACIÓN CONTABLE
8
MARICEL VAIROLETTI - SISTEMAS DE INFORMACIÓN CONTABLE
LIBRO DIARIO
CUENTAS DEBE HABER
Transporte
9
MARICEL VAIROLETTI - SISTEMAS DE INFORMACIÓN CONTABLE
Transporte
Total
10
MARICEL VAIROLETTI - SISTEMAS DE INFORMACIÓN CONTABLE
LIBRO DIARIO
CUENTAS DEBE HABER
Transporte
11
MARICEL VAIROLETTI - SISTEMAS DE INFORMACIÓN CONTABLE
Transporte
Total
12
MARICEL VAIROLETTI - SISTEMAS DE INFORMACIÓN CONTABLE
CUENTAS DEBE HABER
Transporte
13
MARICEL VAIROLETTI - SISTEMAS DE INFORMACIÓN CONTABLE
Transporte
Total
14
MARICEL VAIROLETTI - SISTEMAS DE INFORMACIÓN CONTABLE
LIBRO DIARIO
Transporte
CUENTAS DEBE HABER
Transporte
15
MARICEL VAIROLETTI - SISTEMAS DE INFORMACIÓN CONTABLE
Transporte
Total
16
MARICEL VAIROLETTI - SISTEMAS DE INFORMACIÓN CONTABLE
Fecha Cuentas DEBE HABER
SALDO
DEUDOR
SALDO
ACREEDOR
17
MARICEL VAIROLETTI - SISTEMAS DE INFORMACIÓN CONTABLE
18
MARICEL VAIROLETTI - SISTEMAS DE INFORMACIÓN CONTABLE
LIBRO DIARIO
CUENTAS DEBE HABER
Transporte
19
MARICEL VAIROLETTI - SISTEMAS DE INFORMACIÓN CONTABLE
Transporte
Total
Fecha Cuentas DEBE HABER
SALDO
DEUDOR
SALDO
ACREEDOR
20
MARICEL VAIROLETTI - SISTEMAS DE INFORMACIÓN CONTABLE
21
MARICEL VAIROLETTI - SISTEMAS DE INFORMACIÓN CONTABLE
CUENTAS DEBE HABER
Transporte
22
MARICEL VAIROLETTI - SISTEMAS DE INFORMACIÓN CONTABLE
Transporte
Total
23
MARICEL VAIROLETTI - SISTEMAS DE INFORMACIÓN CONTABLE
Fecha Cuentas DEBE HABER
SALDO
DEUDOR
SALDO
ACREEDOR
24
MARICEL VAIROLETTI - SISTEMAS DE INFORMACIÓN CONTABLE
N° CUENTAS
SUMAS SALDOS
DEBE HABER SALDO DEUDOR SALDO ACREEDOR
1
2
3
4
5
6
7
8
9
10
11
12
13
14
15
16
17
18
19
20
21
22
23
24
25
26
27
28
29
30
TOTALES
25
MARICEL VAIROLETTI - SISTEMAS DE INFORMACIÓN CONTABLE
CUENTAS DEBE HABER
Transporte
26
MARICEL VAIROLETTI - SISTEMAS DE INFORMACIÓN CONTABLE
Transporte
Total
27
MARICEL VAIROLETTI - SISTEMAS DE INFORMACIÓN CONTABLE
Fecha Cuentas DEBE HABER
SALDO
DEUDOR
SALDO
ACREEDOR
28
MARICEL VAIROLETTI - SISTEMAS DE INFORMACIÓN CONTABLE
29
MARICEL VAIROLETTI - SISTEMAS DE INFORMACIÓN CONTABLE
CUENTAS DEBE HABER
Transporte
30
MARICEL VAIROLETTI - SISTEMAS DE INFORMACIÓN CONTABLE
Transporte
Total
31
MARICEL VAIROLETTI - SISTEMAS DE INFORMACIÓN CONTABLE
Fecha Cuentas DEBE HABER
SALDO
DEUDOR
SALDO
ACREEDOR
32
MARICEL VAIROLETTI - SISTEMAS DE INFORMACIÓN CONTABLE
33
MARICEL VAIROLETTI - SISTEMAS DE INFORMACIÓN CONTABLE
1.BALANCE GENERAL
Concepto: El Balance General es un estado que nos permite conocer la situación patrimonial,
económica y financiera de la empresa o de un comerciante a una fecha determinada.
a. Situación Patrimonial: Describe la formación del Activo, Pasivo y Patrimonio Neto.
b. Situación Económica: Expone el resultado del ejercicio (Perdida o ganancia), permitiendo una
correcta distribución del mismo.
c. Situación Financiera: Muestra la solvencia de la empresa y permite una correcta toma de
decisiones.
1.1. Ejercicio Económico
Concepto: Es el período de tiempo que abarcan las operaciones comerciales, en base a las
cuales se efectúa el Balance general.
Por lo general, el ejercicio económico tiene una duración de 12 meses y se cierra el último día del
mes correspondiente.
La fecha de comienzo y cierre del ejercicio no es la misma en todas las empresas, pues varían
según la conveniencia de cada ente.
Por ejemplo:
1) Fin del año calendario (31 de Diciembre)
2) Época de menor actividad de la empresa.
3) Fecha establecida en el contrato social.
1.2. Operaciones previas al Balance general
Concepto: Son todas las operaciones necesarias que se deben realizar con anterioridad, para
la confección del Balance General.
a. Balance de Comprobación de Sumas y Saldos.
b. Inventario general.
c. Ajustes al balance.
d. Balance general
e. Refundición de cuentas.
La operación previa más importante es la realización del inventario de la empresa.
Hacer el inventario implica una serie de tareas, como recuentos físicos y conciliaciones (arreglos) de
datos. Luego, se confecciona un listado detallado de los elementos inventariados, con sus valores
correspondientes. Este listado se transcribe en el libro de Inventarios y Balances.
Inventario: Descripción detallada de todos los elementos que componen el Patrimonio de la
empresa, se obtiene después de hacer recuentos, arqueos (cálculos) y comprobaciones.
34
MARICEL VAIROLETTI - SISTEMAS DE INFORMACIÓN CONTABLE
1.3 Ajustes al Balance
Concepto: Son asientos que se realizan porque con frecuencia no coinciden los saldos
contables (Balance de Sumas y Saldos o Libro Mayor) con los saldos reales (Inventario General)
ARQUEO DE FONDOS Y VALORES
Es el recuento de dinero, cheques a nuestro favor, existentes en caja.
El arqueo de la cuenta caja puede indicar una diferencia mayor o menor que el saldo contable.
En caso que el saldo real sea IGUAL que el saldo contable $3.000 = $3.000, no debe registrarse
ningún asiento ya que coinciden los saldos.
Ejercitación:
1. 31/12 Se realiza el arqueo de caja correspondiente donde el saldo contable es de $4.578 y el
saldo real es de $4.356.
2. 31/07 Se encuentra una diferencia entre los saldos, siendo el saldo real de $6.980 y el
contable de $6.880.
3. 30/04 Se efectúa el control de caja y los resultados obtenidos son los siguientes: saldo real
$123.000 saldo contable $118.500
4. 30/06 La diferencia encontrada es la siguiente: saldo contable $34.900 y el saldo real
$33.700.
5. 31/07 Según el arqueo de caja los saldos arrojan una diferencia que se detalla a
continuación: saldo real $56.987 y saldo contable $56.789.
Saldo Real MAYOR que el saldo contable
$3.000 > $2.900
Caja (+A)
a. Sobrante en Caja (+R.P.)
según arqueo realizado a la fecha
100
100
Saldo Real MENOR que el saldo contable
$2.800 < $3.000
Faltante en Caja (+R.N.)
a. Caja (-A)
Según arqueo realizado a la fecha
200
200
35
MARICEL VAIROLETTI - SISTEMAS DE INFORMACIÓN CONTABLE
INVENTARIO DE MERCADERÍAS
Es el recuento y valuación de mercaderías a la fecha de cierre del balance.
El inventario de mercaderías no siempre coincide con los saldos contables, Esto puede deberse a
la existencia de roturas, extravíos, etc. Que no fueron contabilizados o por diferencias en la
valuación de las mismas.
Ejercitación:
1. 31/12 Se realiza el inventario de mercaderías correspondiente donde el saldo contable es de
$56.600 y el saldo real es de $57.200
2. 31/07 Se encuentra una diferencia entre los saldos, siendo el saldo real de $16.890 y el
contable de $17.000
3. 30/04 Se efectúa el inventario de mercaderías y los resultados obtenidos son los siguientes:
saldo real $145.000 saldo contable $160.500
4. 30/06 La diferencia encontrada es la siguiente: saldo contable $134.900 y el saldo real
$145.000
5. 31/07 Según el inventario los saldos arrojan una diferencia que se detalla a continuación:
saldo real $345.765 y saldo contable $340.765
DEPURACIÓN DE DEUDORES
Se llama así a la tarea de analizar los saldos individuales de cada deudor con el motivo de dejar en la
cuenta “Deudores por venta” o “Deudores varios” solo a aquellos que pagan regularmente y sacar de
ella a los clientes que no están en esta situación.
De este análisis puede surgir 4 clase de deudores:
1. Deudores Varios o por ventas: Los que tienen su pago al día
Saldo Real MAYOR que el saldo contable
$9.500 > $9.400
Mercaderías (+A)
a. Sobrante de mercaderías (+R.P.)
según inventario de mercaderías
100
100
Saldo Real MENOR que el saldo contable
$1.150 < $1.200
Faltante de mercaderías (+R.N.)
a. Mercaderías (-A)
según arqueo realizado a la fecha
50
50
36
MARICEL VAIROLETTI - SISTEMAS DE INFORMACIÓN CONTABLE
2. Deudores Morosos: aquellos que están atrasados en el pago, pero se estima que pagarán.
3. Deudores en Gestión: son los que se les ha iniciado juicio para el cobro de deudas.
4. Deudores Incobrables: Se consideran así a quienes por determinados motivos se estima que
no pagaran y se dan por perdidos.
La depuración de la cuenta “Deudores por Venta” nos permite comprobar la existencia de:
a. Deudores atrasados en sus pagos: $230
b. Deudores que se les ha iniciado juicio: $140
c. Deudores que se estima que no pagarán: $100
Ejercitación:
1. Se depura la cuenta deudores donde surge lo siguiente: Deudores en juicio por $ 560,
deudores atrasados en su pago $ 326.
2. Se analiza la cuenta Deudores por venta donde se encuentran personas que se
consideran que ya no pagarán por un importe de $760 y $450 de deudores atrasados en
el pago.
3. Después de la depuración se encuentran deudores con juicio iniciado por $ 678.000,
deudores atrasados por $ 10.200 y los que se estima que ya no pagarán $ 5.400.
4. Se registran los siguientes importes: $4.500 de deudores atrasados, $3.200 de deudores
que se supone, ya no pagarán.
5. Después de la depuración se encuentran deudores con juicio iniciado por $34.000,
deudores atrasados por $6.000 y los que se estima que ya no pagarán $.
AMORTIZACIÓN DE BIENES DE USO
Los Bienes de Uso son aquellos destinados al uso exclusivo de la empresa y no a la venta, ya que son
necesarios para llevar a cabo su fin y prestar un buen servicio a sus clientes.
Ejemplos: Rodados, Muebles y Útiles, Inmuebles, Instalaciones, etc.
Al ser utilizados, estos bienes sufren un desgaste, que sin duda alguna disminuye su valor. En
consecuencia, esta merma año tras año, es cada vez mayor y debe registrarse contablemente.
Este desgaste se conoce con el nombre de Depreciación, Desvalorización o Amortización.
El porcentaje de amortización dependerá de la cantidad de años de vida útil que tenga el “Bien de
Uso”. Los porcentajes máximos de Amortización anual son establecidos por la AFIP, los más
frecuentes son:
CONCEPTO VIDA ÚTIL PORCENTAJE
Muebles y Útiles
10 años 10%
Deudores Morosos (+A)
Deudores en Gestión Judicial (+A)
Deudores Incobrables (+R.N.)
a. Deudores por Ventas (-A)
230
140
100
470
37
MARICEL VAIROLETTI - SISTEMAS DE INFORMACIÓN CONTABLE
Instalaciones
10 años 10%
Maquinarias
10 años 10%
Rodados
5 años 20%
Equipos de Computación
5 años 20%
Inmuebles
(valor edificado) 50 años 2%
Ejemplo de Amortización:
Registración de la Amortización:
Se amortizan los siguientes Bienes de Uso de la Empresa “Castro Hnos.”
BIEN DE USO
VALOR DE
COMPRA O DE
COSTO
VIDA ÚTIL
PORCENTAJE
ANUAL
AMORTIZACIÓN
ANUAL
Rodados
18.000 5 años 20% 3.600
Muebles y
Útiles 12.000 10 años 10% 1.200
CLASIFICACIÓN DE CUENTAS
AMORTIZACIONES: De Resultado Negativo.
Se Debita: para contabilizar la perdida o desvalorización sufrida por los bienes de uso y el transcurso
del tiempo.
AMORTIZACIONES ACUMULADAS: Reguladora De Activo.
Se Acredita: cuando se contabiliza la desvalorización que van experimentando los bienes de uso.
(Cuenta reguladora de Activo es la que corrige el saldo de otras cuentas de Activo)
Ejercitación:
1. Una empresa tiene los siguientes Bienes de Uso: Rodados $8.000, Muebles y Útiles $3.000,
Inmuebles $40.000. Practica el asiento de ajuste.
Amortizaciones (RN)
a. Amort. Acumuladas de Rodados (RA)
a. Amort. Acumaladas de M. Y U. (RA)
Por la Amortización anual de los Bienes de Uso.
4.800
3.600
1.200
38
MARICEL VAIROLETTI - SISTEMAS DE INFORMACIÓN CONTABLE
2. Se deben Amortizar los siguientes Bienes de Uso. Equipos de computación $8.200,
maquinarias $56.000, Instalaciones por $5.600 y Muebles y Útiles por $3.300. Realiza el
asiento de ajuste.
3. Se desvalorizan los Bienes de uso citados a continuación: Inmuebles $89.000, Muebles y
Útiles $6.700, Rodados $34.900, Maquinarias $12.700. Contabiliza el asiento
correspondiente.
4. Amortizar los siguientes Bienes de Uso: Muebles y Útiles $3.000, Rodados $6.500 e
Inmuebles $45.900.
PRINCIPIO O CRITERIO DE LO DEVENGADO
Cuando se adquiere un derecho que representa un aumento del Patrimonio o se contrae una
obligación que corresponda a una disminución del mismo, a pesar que no se haya efectivizado
(cobrado o pagado), es necesario registrar estas operaciones por las siguientes razones:
 Las Pérdidas o ganancias deben afectar el ejercicio que corresponden sin importar el momento
en que se cobren o se paguen.
 En el caso de no registrarse los asientos correspondientes, se está ocultando un Activo (derecho
a cobrar) o un Pasivo (obligación a pagar)
El objeto de los asientos de ajuste, es que cada ejercicio económico muestre únicamente los ingresos
y egresos que le corresponden.
De acuerdo con este principio existen los siguientes conceptos de ganancias.
*Devengar: Adquirir derecho o retribución.
GASTOS PENDIENTES DE PAGO
Estos gastos deben ser contabilizados porque las perdidas y las ganancias deben incidir en el
resultado del ejercicio en que se producen; si no se realiza el ajuste, serán considerados perdidas en
el ejercicio siguiente, al pagarlos.
Son aquellos gastos (Sueldos, Seguros, Impuestos) producidos en durante el ejercicio económico que
finaliza y aún no han sido pagados.
Al cierre del ejercicio se encuentran impagos y vencidos los siguientes gastos: Impuestos $270,
Sueldos $900.
En el próximo ejercicio cuando se efectúa el pago en efectivo de estos gastos se realizará el siguiente
asiento:
Impuestos (+RN)
Sueldos y Jornales (+RN)
a. Impuestos a pagar (+P)
a. Sueldos y Jornales a Pagar (+P)
Por gastos impagos al cierre del ejercicio
270
900
270
900
Impuestos a Pagar (-P)
Sueldos y Jornales a Pagar (-P)
a. Caja (-A)
Por pagos de gastos que corresponden al ejercicio anterior.
270
900
1.170
39
MARICEL VAIROLETTI - SISTEMAS DE INFORMACIÓN CONTABLE
GASTOS PAGADOS (perdidos) POR ADELANTADO
Son aquellos gastos pagados en el ejercicio económico que finaliza y que corresponden al ejercicio
próximo.
La empresa “XX” S.A. cierra su balance el 31 de Diciembre, en el mes de Noviembre (09/11) registró
el pago de seguros por $600 en efectivo, que corresponden al mes de Enero del siguiente año.
09/11 El asiento que se registro en Noviembre es el siguiente:
31/12 El ajuste que debe realizarse es el siguiente:
31/01 En el próximo ejercicio, la empresa deberá registrar la pérdida por el seguro mediante el
siguiente asiento.
INGRESOS PENDIENTES DE COBRO
Son aquellas ganancias (Intereses, Comisiones) que se han producidos durante el ejercicio económico
que finaliza y aun no se han cobrado.
31/12 La Empresa “XX” S.A. al 31/12 ganó comisiones durante el mes de Diciembre que aún no se
cobraron por $180.
Seguros Perdidos (+RN)
a. Caja (-A)
Por pago de Seguros del mes de Enero correspondiente al
próximo Ejercicio.
600
600
Seguros Pagados por Adelantado (+A)
a. Seguros Perdidos (-RN)
Por seguros abonados por adelantado en el mes de Noviembre (no
devengados) correspondiente al próximo ejercicio (Enero)
600
600
Seguros Perdidos (+RN)
a. Seguros pagados por Adelantado (-A)
Por seguros devengados en el presente ejercicio (Enero) que
fueron abonados en el ejercicio anterior.
600
600
Comisiones a Cobrar (+A)
a. Comisiones Ganadas (+RP)
Por comisiones ganadas pendientes de cobro al cierre del
ejercicio.
180
180
40
MARICEL VAIROLETTI - SISTEMAS DE INFORMACIÓN CONTABLE
31/01 En el próximo ejercicio, cuando se cobren realmente las comisiones del ejercicio anterior, se
realizará el siguiente asiento:
INGRESOS COBRADOS (ganados) POR ADELANTADO
Son ganancias que han sido percibidas por adelantado y que corresponden al ejercicio próximo.
La empresa “XX” S.A. cobró comisiones por adelantado en el mes de Noviembre (15/11) por $350 en
efectivo, que corresponden a trabajos que se realizarán en el mes de enero del próximo año.
15/11 El asiento que se registro en Noviembre es el siguiente:
31/12 El asiento de ajuste que corresponde al 31 de diciembre es el siguiente:
31/01 En el próximo ejercicio la empresa deberá registrar la ganancia devengada correspondiente a
las comisiones cobradas, el asiento es el siguiente:
Caja (+A)
a. Comisiones a Cobrar (-A)
Por cobro de comisiones del ejercicio anterior.
180
180
Caja (+A)
a. Comisiones Ganadas (+RP)
Por cobro de comisiones en efectivo.
350
350
Comisiones Ganadas (-RP)
a. Comisiones Cobradas por Adelantado (+P)
Por comisiones cobradas en el mes de Noviembre (no devengadas)
correspondientes a Enero del próximo ejercicio.
350
350
Comisiones Cobradas por adelantado (-P)
a. Comisiones Ganadas (+RP)
Por registrar las ganancias devengadas correspondientes al
mes de Enero.
350
350
41
MARICEL VAIROLETTI - SISTEMAS DE INFORMACIÓN CONTABLE
Ejercitación:
1. Se encuentra pendiente de pago la factura de luz y teléfono por $456. Realiza el asiento de
ajuste al 31/12 y el asiento en el momento que se efectúa el pago, en el próximo ejercicio el
31/01.
2. El 15 de diciembre se paga el alquiler correspondiente al mes de Enero del año siguiente por
un importe de $600 en efectivo. Registraciones: 15/12, 31/12 y el 31/01.
3. La empresa debería haber percibido antes del cierre del ejercicio $670 en concepto de
intereses; cobra este importe el 15/01 (siguiente ejercicio) en efectivo.
4. Se cobran en efectivo Fletes por $280 que corresponden a un servicio que se realizará el 20/01
del siguiente año. Registraciones: 02/12, 31/12 y el 20/01.
5. La empresa “ZZ” S.A. cierra su balance el 31/12. Ganó comisiones durante el mes de Diciembre
que aun no ha cobrado por un importe de $368. Registraciones al 31/12 y 15/01 momento en
que se cobran en efectivos dichas comisiones (próximo ejercicio)
6. La empresa cierra su balance el 31/12, el 5 de Noviembre registra el pago de alquileres por
$800 que corresponden al cuatrimestre Noviembre, Diciembre, Enero y febrero,
Registraciones: 5/11, ajuste el 31/12 y 28/02, del próximo ejercicio.
7. La empresa “MM” cierra su ejercicio económico el 30/06 a abonado el ¼ $720 en concepto de
Seguro de incendio de su local que cubre el riesgo 12 meses. Registraciones: 1/04 el 30/06
(cierre del ejercicio) y el 31/03 del próximo ejercicio.
8. La empresa “NN” cobra Comisiones el 13/11 por un total de $3500, estas comisiones
corresponden a tres meses, (Noviembre, Diciembre y Enero) El ejercicio cierra el 31/12.
Registrar: el asiento del 13/11, el ajuste al 31/12 y el asiento correspondiente al próximo
ejercicio el 31/01.
9. El 1/04 la empresa “WW” recibe en efectivo un total de $3000 en concepto de alquiler de los
meses de Abril, Mayo y Junio. Cierra su ejercicio económico el 30/04. Registrar: el momento
del cobro, el ajuste al 30/04 y el asiento del 1/06 del próximo ejercicio.
10. Al cierre del ejercicio (31/12) se encuentran impagos Impuestos por $569, en el siguiente
ejercicio se efectúa el pago correspondiente (10/01) en efectivo.
CUENTAS DEBE HABER
42
MARICEL VAIROLETTI - SISTEMAS DE INFORMACIÓN CONTABLE
CUENTAS DEBE HABER
43
MARICEL VAIROLETTI - SISTEMAS DE INFORMACIÓN CONTABLE
CUENTAS DEBE HABER
44
MARICEL VAIROLETTI - SISTEMAS DE INFORMACIÓN CONTABLE
CUENTAS DEBE HABER
45
MARICEL VAIROLETTI - SISTEMAS DE INFORMACIÓN CONTABLE
CUENTAS DEBE HABER
46
MARICEL VAIROLETTI - SISTEMAS DE INFORMACIÓN CONTABLE
CUENTAS DEBE HABER
47
MARICEL VAIROLETTI - SISTEMAS DE INFORMACIÓN CONTABLE
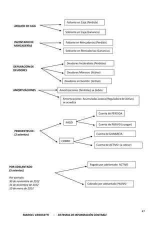
ARQUEO DE CAJA
INVENTARIO DE
MERCADERÍAS
DEPURACIÓN DE
DEUDORES
AMORTIZACIONES
PENDIENTES DE:
(2 asientos)
POR ADELANTADO
(3 asientos)
Por ejemplo:
30 de noviembre de 2012
31 de diciembre de 2012
10 de enero de 2013
Faltante en Caja (Pérdida)
Sobrante en Caja (Ganancia)
Faltante en Mercaderías (Pérdida)
Sobrante en Mercaderías (Ganancia)
Deudores Incobrables (Pérdidas)
Deudores Morosos (Activo)
Deudores en Gestión (Activo)
Amortizaciones (Pérdidas) se debita
Amortizaciones Acumuladas xxxxxx (Reguladora de Activo)
se acredita
PAGO
COBRO
Cuenta de PÉRDIDA
Cuenta de PASIVO (a pagar)
Cuenta de GANANCIA
Cuenta de ACTIVO (a cobrar)
Pagado por adelantado ACTIVO
Cobrado por adelantado PASIVO
48
MARICEL VAIROLETTI - SISTEMAS DE INFORMACIÓN CONTABLE
AJUSTES – Ejercitación 1
1. Amortizar los siguientes Bienes de Uso: Inmuebles $30000, Instalaciones $12000, Muebles y
Útiles $5600, Rodados $15000.
2. Al cierre del ejercicio (31-12) todavía no se ha pagado la factura de gas por $153, se paga en
efectivo el 10/01.
3. Se depura la cuenta Deudores: en juicio $1200, demorados en su pago $780 y los que suponemos
no pagaran $530.
4. El ejercicio cierra el 31/07 y encontramos que nos deben el alquiler de julio por $450. Dicho
alquiler se cobra con un cheque Banco Nación el 5/08.
5. El 1/11 se paga el seguro del cuatrimestre Noviembre, Diciembre, Enero y Febrero por un total
de $1536. El ejercicio cierra el 31/12.
6. El 5/06 se cobran Comisiones por trabajos que deberán realizarse el 5/07 por $380. El ejercicio
cierra el 30/06.
7. El ejercicio cierra el 31/12 y se encuentran impagos los sueldos pertenecientes a Diciembre por
un importe de $3780. los mismos se hacen efectivos el 5/01.
8. Al finalizar el ejercicio el 31/07 encontramos que aún no se ha pagado Comisiones de $575. Se
pagan el 15/09, debido al retraso nos cobran $30 de interés. Se paga todo en efectivo.
9. El 20 de Diciembre se cobran alquileres con cheque Banco Provincia de córdoba,
correspondientes al trimestre Enero, febrero, Marzo de $330 por mes. El ejercicio cierra el 31/12.
10. Realiza una lista de todas las cuentas que pertenezcan al tema “Ajustes” y clasifícalas.
CUENTAS DEBE HABER
49
MARICEL VAIROLETTI - SISTEMAS DE INFORMACIÓN CONTABLE
50
MARICEL VAIROLETTI - SISTEMAS DE INFORMACIÓN CONTABLE
AJUSTES – Ejercitación 2
1. El 17.12 se paga un flete por $370, servicio que se levará a cabo el 25.01. El ejercicio cierra el
31.12
2. Al cierre del ejercicio el 31.12 se encuentran pendientes de pago los impuestos del mes de
Diciembre por $638, se pagan el día 22.01 en efectivo.
3. Al cierra el ejercicio el 31.12 se encuentra pendiente de cobro el alquiler de Diciembre por $480,
se cobra el 17.01 con un cheque de Banco Suquía.
4. Inventario de Mercaderías. Saldo Contable: $47300 - Saldo Real: $ 47700.
5. Arqueo de Caja. Saldo Contable: $63210 – Saldo Real: $62310
6. Amortizar Bienes de Uso: Rodados $39200 (20%) Instalaciones $37900 (10%) Inmuebles
$152300 (2%)
7. Depuración de Deudores: Los que ya no pagarán $700 y los atrasados en el pago $500.
CUENTAS DEBE HABER
51
MARICEL VAIROLETTI - SISTEMAS DE INFORMACIÓN CONTABLE
52
MARICEL VAIROLETTI - SISTEMAS DE INFORMACIÓN CONTABLE
53
MARICEL VAIROLETTI - SISTEMAS DE INFORMACIÓN CONTABLE
AJUSTES – Ejercitación 3 – Planilla de Balance 12 Columnas
Nº CUENTAS
SUMAS
DEBE HABER
1 Mercaderías 23300
2 Caja 1782 698
3 Bco Pcia de Cba c/c 15378 6978
4 Alquileres Cobrad. 1560
5 Inmuebles 45700
6 Deudores p/ Venta 9792 5400
7 Ventas 28700
8 Proveedores 5300 12900
9 Rodados 23800
10 Muebles y útiles 7230
11 Intereses perdidos 945
12 Capital 76991
CUENTAS DEBE HABER
Inventario al 31-12
1. Arqueo de Caja $ 984
2. De los Alquileres Cobrados el 12% corresponden al próximo ejercicio.
3. De los Intereses Perdidos el 2% corresponde al próximo ejercicio.
4. Deudores Incobrables: $890
5. Amortizar Bienes de uso
54
MARICEL VAIROLETTI - SISTEMAS DE INFORMACIÓN CONTABLE
55
MARICEL VAIROLETTI - SISTEMAS DE INFORMACIÓN CONTABLE
56
MARICEL VAIROLETTI - SISTEMAS DE INFORMACIÓN CONTABLE
AJUSTES – Ejercitación 4 – Planilla de Balance 12 Columnas
Nº CUENTAS
SUMAS
DEBE HABER
1 Caja 128000 35000
2 Mercaderías 92000
3 Maquinarias 155000 60000
4 Fletes y Acarreos 77000
5 Gastos Generales 2300
6 Descuentos obten 8000
7 Deudores por vent 68000 12000
8 Banco Nación c/c 59000 28000
9 Proveedores 25000 42000
10 Ventas 178000
11 Sueldos y Jornales 2100
12 Capital 245400
CUENTAS DEBE HABER
Inventario al 31-12
1. Inventario de Mercaderías $91400
2. Se encuentran impagos sueldos por $2300 que se harán efectivos el 5/01 (Próximo
ejercicio)
3. De los Fletes y Acarreos por $7000, el servicio se realizará el 15/01.
4. Depuración de Deudores: Morosos $1000, Incobrables $300.
5. Amortizar Bienes de Uso
6. Los gastos de luz y teléfono son altos éste mes por lo que se decide sacarlos de Gastos
generales y abrir la cuenta correspondiente para tener más control sobre dicho gasto,
$1100.
57
MARICEL VAIROLETTI - SISTEMAS DE INFORMACIÓN CONTABLE
58
MARICEL VAIROLETTI - SISTEMAS DE INFORMACIÓN CONTABLE
59
MARICEL VAIROLETTI - SISTEMAS DE INFORMACIÓN CONTABLE
MONEDA EXTRANJERA
Las distintas monedas extranjeras que se utilizan en las operaciones de compraventa de bienes se
pueden adquirir en instituciones bancarias y casas de cambio a la cotización del día.
Cotización: se llama cotización a la suma de dinero que ha de entregarse en moneda nacional por
moneda extranjera.
La cotización podrá ser:
a) A la Par: Cuando la moneda extranjera es igual a la moneda nacional Ej: 1 dólar = $1
b) Sobre la Par: Cuando la moneda extranjera es mayor a la moneda nacional Ej: 1 dólar = $5,20
c) Bajo la Par: Cuando la moneda extranjera es menor a la moneda nacional Ej: 1 dólar = $0,90
Existen dos tipos de cotización (cambio) para una moneda extranjera (Divisa):
a) Tipo de Cambio Comprador: es el que pagan los bancos y casas de cambio
b) Tipo de Cambio Vendedor: es el valor al que venden los bancos o casas de cambio.
Cuentas:
Moneda Extranjera: Patrimonial de Activo
Resultado Positivo por Venta de Moneda Extranjera: de Resultado Ganancias
Resultado Negativo por Venta de Moneda Extranjera: de Resultado Perdidas
EJEMPLO:
COMPRA DE MONEDA EXTRANJERA: (uso tipo Vendedor)
Tipo comprador: $2,80
Tipo Vendedor: $3,10
 El 25/08 se compra en el Banco Francés u$s500 dólares abonando en efectivo
Moneda extrajera (+A) 1.550
a.Caja (3,10x500) 1.550
VENTA DE MONEDA EXTRANJERA: (uso tipo comprador)
Tipo comprador: $2,70
Tipo Vendedor: $3,00
 El 10/09 se vende en Banco Galicia u$s200 dólares de los comprados el 25/08
1. Multiplico cantidad de dólares por el tipo comprador: 200x2,70=540
2. Multiplico la cantidad de dólares que vendo por el precio que los compré: 200x3,10=620
3. Resto 620-540=80 (como los pagué más caro de lo que los vendí tengo una perdida)
Caja (+A) (200dól x $2,70) 540
Rdo Negativo Venta Moneda Extranjera ($620-$540) 80
a.Moneda Extranjera (-A) (200dól x $3,10) 620
EJERCITACIÓN 1
1. 30/03 se compran 5000 dólares en efvo cotización Tipo Comprador $4,58 – Tipo Vendedor $4,75
2. 30/04 Se venden en el Banco Nación Arg 3000 dólares, el importe resultante de la venta se
deposita en cta cte. Cotización Tipo Comprador $4,68 – Tipo Vendedor $4,88
3. 8/05 se compran 900 dól con ch/ Bco Nación Arg. Tipo Comprador $4,54 – Tipo Vendedor $4,72
4. 21/05 se venden 500 dól en efvo Tipo Comprador $4,86 – Tipo Vendedor $5,12
5. 18/06 se venden 100 dól en efvo Tipo Comprador $5,35 – Tipo Vendedor $5,62
60
MARICEL VAIROLETTI - SISTEMAS DE INFORMACIÓN CONTABLE
CUENTAS DEBE HABER
61
MARICEL VAIROLETTI - SISTEMAS DE INFORMACIÓN CONTABLE
EJERCITACIÓN 2
1. 17/03 se compran 8300 dól en efvo cotización Tipo Comprador $4,65 – Tipo Vendedor $4,70
2. 20/03 se compran 7700 dól Tipo Comprador $4,69 – Tipo Vendedor $4,75
3. 10/04 se vende 8400 dól en efvo Tipo Comprador $4,89 – Tipo Vendedor $4,98
4. 20/04 compra 6000 dól en efvo Tipo Comprador $4,67 – Tipo Vendedor $4,91
5. 12/05 vende 1500 dól Tipo Comprador $4,67 – Tipo Vendedor $4,91
CUENTAS DEBE HABER
62
MARICEL VAIROLETTI - SISTEMAS DE INFORMACIÓN CONTABLE
FONDO FIJO
El Fondo Fijo es una pequeña disponibilidad de dinero para atender gastos menores.
Muchas empresas para lograr un mayor manejo de sus fondos realizan lo siguiente:
a) La totalidad de lo recaudado diariamente lo depositan en cta cte bancaria
b) Los pagos los realizan con cheques de su propia cuenta
c) Para los pequeños gastos constituyen un fondo fijo
Constitución del Fondo Fijo:
 El 4 de julio se constituye un fondo fijo de $400, librando un cheque de nuestra cuenta
corriente de Banco Nación
Fondo Fijo (+A) 400
a.Banco Nación c/c (-A) 400
 El 15 de julio los gastos abonados con el Fondo Fijo son os siguientes: Viáticos $220, Gastos
de Librería $80
Viáticos (+RN) 220
Gastos generales (+RN) 80
a.Fondo Fijo 300
 El 15 de julio reponemos el Fondo Fijo con un cheque de nuestra firma
Fondo Fijo (+A) 300
a.Banco Nación c/c (-A) 300
Ejercicios:
1. 26/07 Se constituyen un Fondo Fijo por $300 con cheque bco Nación
2. 28/07Se rinden los gastos de Fondo Fijo siendo la siguiente: factura de Telecom $90, factura por
comisiones $20.
3. 28/07 Reponer Fondo Fijo
CUENTAS DEBE HABER
63
MARICEL VAIROLETTI - SISTEMAS DE INFORMACIÓN CONTABLE
CAJA DE AHORRO BANCARIA
La característica de estos depósitos es que se encuentran disponibles cuando el cliente los solicite y
otorgan un módico interés. La cantidad de extracciones generalmente son de 5 extracciones
mensuales. Para retirar el dinero se puede ir personalmente a la ventanilla del banco o con la tarjeta
de débito en un cajero automático.
Ejercicios:
1. 10/09 depositamos en caja de ahorro bco nación $2000 en efvo
2. 15/09 se extrae en efvo $500 de la caja de ahorro del bco nación
3. 20/09 depositamos en caja de ahorro del bco nación $1800, $300 en efvo y el resto con cheque
4. 24/09 extraemos a través del cajero automático de la caja de ahorro bco nación $600 en efvo
5. El bco nación nos acredita en caja de ahorro $45 por intereses.
6. Nos debitan de la caja de ahorro bco nación $30 en concepto de gtos de mantenimientos.
CUENTAS DEBE HABER
64
MARICEL VAIROLETTI - SISTEMAS DE INFORMACIÓN CONTABLE
Libro Diario – Mayor – Balance 12 columnas - Ajustes - Estado de Situación Patrimonial
1. 6/04 inicia la actividad comercial la empresa Zeta con efvo $34000 y mercaderías $27400
2. 7/04 Duplicado Factura RI por $15000, 50% en efvo al que le realizo un 10% de descuento, el resto
con un documento a 30 días con el 4% de interés
3. 7/04 Registrar el CMV de la operación anterior siendo el mismo un 60% del importe de la venta.
4. 8/04 Original Nota de Crédito Bancaria por el importe recibido en efvo en la op. 2 (Banco Suquía)
5. 9/04 Original Factura de Teléfono $130 en efvo
6. 10/04 Original Factura por $32000 en cta cte comercial
7. 10/04 el CMV es el 55% de la venta
8. 19/04 Original Factura: por $12000, entrega un pagaré de $7000 en el que se le incluye un 8% de
interés, el saldo restante en efvo.
9. 21/04 Duplicado Recibo por el importe de la op. 6
10. 24/04 Duplicado Recibo por comisiones con cheque Banco Río $350 (con IVA)
11. 30/04 Posición mensual (IVA)
(Diario – Mayor – Sumas y Saldos)
Ajustes:
1. 30/04 Saldo de Caja $65000
2. 30/04 Se encuentran deudores incobrables por $700
3. 30/04 Se encuentran impagos Gastos Generales por $50
(Diario – Mayor – Balance en Ajustes y Saldos Ajustados)
CUENTAS DEBE HABER
65
MARICEL VAIROLETTI - SISTEMAS DE INFORMACIÓN CONTABLE
66
MARICEL VAIROLETTI - SISTEMAS DE INFORMACIÓN CONTABLE
Fecha Cuentas DEBE HABER
SALDO
DEUDOR
SALDO
ACREEDOR
67
MARICEL VAIROLETTI - SISTEMAS DE INFORMACIÓN CONTABLE
68
MARICEL VAIROLETTI - SISTEMAS DE INFORMACIÓN CONTABLE
69
MARICEL VAIROLETTI - SISTEMAS DE INFORMACIÓN CONTABLE
ESTADO DE SITUACIÓN PATRIMONIAL Y ESTADO DE RESULTADO

Ejercitacion de contabilidad - SIC

  • 1.
    EJERCITACIÓN CONTABLE Profesora Maricel Vairoletti NOMBREDEL ALUMNO………………………………………………………………………………………… CONTENIDO: Libro Diario – IVA – Libro Mayor – Sumas y Saldos – Balance 8 columnas – Ajustes Balance 12 columnas – Moneda Extranjera – Caja de Ahorro Bancario – Fondo Fijo
  • 2.
    2 MARICEL VAIROLETTI -SISTEMAS DE INFORMACIÓN CONTABLE LIBRO DIARIO CUENTAS DEBE HABER Transporte
  • 3.
    3 MARICEL VAIROLETTI -SISTEMAS DE INFORMACIÓN CONTABLE Transporte Total
  • 4.
    4 MARICEL VAIROLETTI -SISTEMAS DE INFORMACIÓN CONTABLE LIBRO DIARIO CUENTAS DEBE HABER Transporte
  • 5.
    5 MARICEL VAIROLETTI -SISTEMAS DE INFORMACIÓN CONTABLE Transporte Total
  • 6.
    6 MARICEL VAIROLETTI -SISTEMAS DE INFORMACIÓN CONTABLE IMPUESTO AL VALOR AGREGADO IVA IVA Crédito Fiscal IVA Débito Fiscal 1. Vendo Mercaderías por $1000 – Factura A – RI (1000x21/100= 210 <<< IVA) 2. Compro Mercaderías por $560 – (560x21/100=117,60 <<<IVA) 3. Declaración Jurada – Posición Mensual IVA Débito Fiscal 210 menos IVA Crédito Fiscal 117,60= IVA saldo a Pagar 92,40 (Cuenta Patrimonial del Pasivo) Saldo a Favor de la AFIP (Débito mayor que el Crédito) 1 Caja 1210 a- Ventas 1000 a- IVA Débito Fiscal 210 Por venta de Mercaderías 2 Mercaderías 560 IVA Crédito Fiscal 117,60 a- Caja 677,60 Por compra de Mercaderías 3 IVA Débito Fiscal 210 a- IVA Crédito Fiscal 117,60 a- IVA Saldo a Pagar 92,40 Se determina la Posición Mensual 4. Posición Mensual: IVA Saldo a Favor (Cuenta Patrimonial del Activo) Ej: IVA Crédito Fiscal 500 menos IVA Débito Fiscal 300 = IVA saldo a Favor 200 (Crédito Mayor que el Débito) IVA Débito Fiscal 300 IVA Saldo a favor 200 a- IVA Crédito Fiscal 500 Se determina la Posición Mensual 5. Vendo Mercaderías $ 1210 a CF – Facturas “B” y “C” (No se discrimina IVA en la Fact pero SI se registra en el Libro Diario) 1210/1,21=1000 <<<Ventas -- 1210 – 1000= 210 <<< IVA Caja 1210 a- Ventas 1000 a- IVA Débito Fiscal 210 Por Venta de Mercaderías Cuenta PATRIMONIAL DEL ACTIVO Se usa cuando COMPRA (MERCADERÍAS) Acá es cuando PAGA IVA Se usa cuando VENDE (VENTAS) Acá es cuando COBRA IVA Cuenta PATRIMONIAL DEL PASIVO
  • 7.
    7 MARICEL VAIROLETTI -SISTEMAS DE INFORMACIÓN CONTABLE
  • 8.
    8 MARICEL VAIROLETTI -SISTEMAS DE INFORMACIÓN CONTABLE LIBRO DIARIO CUENTAS DEBE HABER Transporte
  • 9.
    9 MARICEL VAIROLETTI -SISTEMAS DE INFORMACIÓN CONTABLE Transporte Total
  • 10.
    10 MARICEL VAIROLETTI -SISTEMAS DE INFORMACIÓN CONTABLE LIBRO DIARIO CUENTAS DEBE HABER Transporte
  • 11.
    11 MARICEL VAIROLETTI -SISTEMAS DE INFORMACIÓN CONTABLE Transporte Total
  • 12.
    12 MARICEL VAIROLETTI -SISTEMAS DE INFORMACIÓN CONTABLE CUENTAS DEBE HABER Transporte
  • 13.
    13 MARICEL VAIROLETTI -SISTEMAS DE INFORMACIÓN CONTABLE Transporte Total
  • 14.
    14 MARICEL VAIROLETTI -SISTEMAS DE INFORMACIÓN CONTABLE LIBRO DIARIO Transporte CUENTAS DEBE HABER Transporte
  • 15.
    15 MARICEL VAIROLETTI -SISTEMAS DE INFORMACIÓN CONTABLE Transporte Total
  • 16.
    16 MARICEL VAIROLETTI -SISTEMAS DE INFORMACIÓN CONTABLE Fecha Cuentas DEBE HABER SALDO DEUDOR SALDO ACREEDOR
  • 17.
    17 MARICEL VAIROLETTI -SISTEMAS DE INFORMACIÓN CONTABLE
  • 18.
    18 MARICEL VAIROLETTI -SISTEMAS DE INFORMACIÓN CONTABLE LIBRO DIARIO CUENTAS DEBE HABER Transporte
  • 19.
    19 MARICEL VAIROLETTI -SISTEMAS DE INFORMACIÓN CONTABLE Transporte Total Fecha Cuentas DEBE HABER SALDO DEUDOR SALDO ACREEDOR
  • 20.
    20 MARICEL VAIROLETTI -SISTEMAS DE INFORMACIÓN CONTABLE
  • 21.
    21 MARICEL VAIROLETTI -SISTEMAS DE INFORMACIÓN CONTABLE CUENTAS DEBE HABER Transporte
  • 22.
    22 MARICEL VAIROLETTI -SISTEMAS DE INFORMACIÓN CONTABLE Transporte Total
  • 23.
    23 MARICEL VAIROLETTI -SISTEMAS DE INFORMACIÓN CONTABLE Fecha Cuentas DEBE HABER SALDO DEUDOR SALDO ACREEDOR
  • 24.
    24 MARICEL VAIROLETTI -SISTEMAS DE INFORMACIÓN CONTABLE N° CUENTAS SUMAS SALDOS DEBE HABER SALDO DEUDOR SALDO ACREEDOR 1 2 3 4 5 6 7 8 9 10 11 12 13 14 15 16 17 18 19 20 21 22 23 24 25 26 27 28 29 30 TOTALES
  • 25.
    25 MARICEL VAIROLETTI -SISTEMAS DE INFORMACIÓN CONTABLE CUENTAS DEBE HABER Transporte
  • 26.
    26 MARICEL VAIROLETTI -SISTEMAS DE INFORMACIÓN CONTABLE Transporte Total
  • 27.
    27 MARICEL VAIROLETTI -SISTEMAS DE INFORMACIÓN CONTABLE Fecha Cuentas DEBE HABER SALDO DEUDOR SALDO ACREEDOR
  • 28.
    28 MARICEL VAIROLETTI -SISTEMAS DE INFORMACIÓN CONTABLE
  • 29.
    29 MARICEL VAIROLETTI -SISTEMAS DE INFORMACIÓN CONTABLE CUENTAS DEBE HABER Transporte
  • 30.
    30 MARICEL VAIROLETTI -SISTEMAS DE INFORMACIÓN CONTABLE Transporte Total
  • 31.
    31 MARICEL VAIROLETTI -SISTEMAS DE INFORMACIÓN CONTABLE Fecha Cuentas DEBE HABER SALDO DEUDOR SALDO ACREEDOR
  • 32.
    32 MARICEL VAIROLETTI -SISTEMAS DE INFORMACIÓN CONTABLE
  • 33.
    33 MARICEL VAIROLETTI -SISTEMAS DE INFORMACIÓN CONTABLE 1.BALANCE GENERAL Concepto: El Balance General es un estado que nos permite conocer la situación patrimonial, económica y financiera de la empresa o de un comerciante a una fecha determinada. a. Situación Patrimonial: Describe la formación del Activo, Pasivo y Patrimonio Neto. b. Situación Económica: Expone el resultado del ejercicio (Perdida o ganancia), permitiendo una correcta distribución del mismo. c. Situación Financiera: Muestra la solvencia de la empresa y permite una correcta toma de decisiones. 1.1. Ejercicio Económico Concepto: Es el período de tiempo que abarcan las operaciones comerciales, en base a las cuales se efectúa el Balance general. Por lo general, el ejercicio económico tiene una duración de 12 meses y se cierra el último día del mes correspondiente. La fecha de comienzo y cierre del ejercicio no es la misma en todas las empresas, pues varían según la conveniencia de cada ente. Por ejemplo: 1) Fin del año calendario (31 de Diciembre) 2) Época de menor actividad de la empresa. 3) Fecha establecida en el contrato social. 1.2. Operaciones previas al Balance general Concepto: Son todas las operaciones necesarias que se deben realizar con anterioridad, para la confección del Balance General. a. Balance de Comprobación de Sumas y Saldos. b. Inventario general. c. Ajustes al balance. d. Balance general e. Refundición de cuentas. La operación previa más importante es la realización del inventario de la empresa. Hacer el inventario implica una serie de tareas, como recuentos físicos y conciliaciones (arreglos) de datos. Luego, se confecciona un listado detallado de los elementos inventariados, con sus valores correspondientes. Este listado se transcribe en el libro de Inventarios y Balances. Inventario: Descripción detallada de todos los elementos que componen el Patrimonio de la empresa, se obtiene después de hacer recuentos, arqueos (cálculos) y comprobaciones.
  • 34.
    34 MARICEL VAIROLETTI -SISTEMAS DE INFORMACIÓN CONTABLE 1.3 Ajustes al Balance Concepto: Son asientos que se realizan porque con frecuencia no coinciden los saldos contables (Balance de Sumas y Saldos o Libro Mayor) con los saldos reales (Inventario General) ARQUEO DE FONDOS Y VALORES Es el recuento de dinero, cheques a nuestro favor, existentes en caja. El arqueo de la cuenta caja puede indicar una diferencia mayor o menor que el saldo contable. En caso que el saldo real sea IGUAL que el saldo contable $3.000 = $3.000, no debe registrarse ningún asiento ya que coinciden los saldos. Ejercitación: 1. 31/12 Se realiza el arqueo de caja correspondiente donde el saldo contable es de $4.578 y el saldo real es de $4.356. 2. 31/07 Se encuentra una diferencia entre los saldos, siendo el saldo real de $6.980 y el contable de $6.880. 3. 30/04 Se efectúa el control de caja y los resultados obtenidos son los siguientes: saldo real $123.000 saldo contable $118.500 4. 30/06 La diferencia encontrada es la siguiente: saldo contable $34.900 y el saldo real $33.700. 5. 31/07 Según el arqueo de caja los saldos arrojan una diferencia que se detalla a continuación: saldo real $56.987 y saldo contable $56.789. Saldo Real MAYOR que el saldo contable $3.000 > $2.900 Caja (+A) a. Sobrante en Caja (+R.P.) según arqueo realizado a la fecha 100 100 Saldo Real MENOR que el saldo contable $2.800 < $3.000 Faltante en Caja (+R.N.) a. Caja (-A) Según arqueo realizado a la fecha 200 200
  • 35.
    35 MARICEL VAIROLETTI -SISTEMAS DE INFORMACIÓN CONTABLE INVENTARIO DE MERCADERÍAS Es el recuento y valuación de mercaderías a la fecha de cierre del balance. El inventario de mercaderías no siempre coincide con los saldos contables, Esto puede deberse a la existencia de roturas, extravíos, etc. Que no fueron contabilizados o por diferencias en la valuación de las mismas. Ejercitación: 1. 31/12 Se realiza el inventario de mercaderías correspondiente donde el saldo contable es de $56.600 y el saldo real es de $57.200 2. 31/07 Se encuentra una diferencia entre los saldos, siendo el saldo real de $16.890 y el contable de $17.000 3. 30/04 Se efectúa el inventario de mercaderías y los resultados obtenidos son los siguientes: saldo real $145.000 saldo contable $160.500 4. 30/06 La diferencia encontrada es la siguiente: saldo contable $134.900 y el saldo real $145.000 5. 31/07 Según el inventario los saldos arrojan una diferencia que se detalla a continuación: saldo real $345.765 y saldo contable $340.765 DEPURACIÓN DE DEUDORES Se llama así a la tarea de analizar los saldos individuales de cada deudor con el motivo de dejar en la cuenta “Deudores por venta” o “Deudores varios” solo a aquellos que pagan regularmente y sacar de ella a los clientes que no están en esta situación. De este análisis puede surgir 4 clase de deudores: 1. Deudores Varios o por ventas: Los que tienen su pago al día Saldo Real MAYOR que el saldo contable $9.500 > $9.400 Mercaderías (+A) a. Sobrante de mercaderías (+R.P.) según inventario de mercaderías 100 100 Saldo Real MENOR que el saldo contable $1.150 < $1.200 Faltante de mercaderías (+R.N.) a. Mercaderías (-A) según arqueo realizado a la fecha 50 50
  • 36.
    36 MARICEL VAIROLETTI -SISTEMAS DE INFORMACIÓN CONTABLE 2. Deudores Morosos: aquellos que están atrasados en el pago, pero se estima que pagarán. 3. Deudores en Gestión: son los que se les ha iniciado juicio para el cobro de deudas. 4. Deudores Incobrables: Se consideran así a quienes por determinados motivos se estima que no pagaran y se dan por perdidos. La depuración de la cuenta “Deudores por Venta” nos permite comprobar la existencia de: a. Deudores atrasados en sus pagos: $230 b. Deudores que se les ha iniciado juicio: $140 c. Deudores que se estima que no pagarán: $100 Ejercitación: 1. Se depura la cuenta deudores donde surge lo siguiente: Deudores en juicio por $ 560, deudores atrasados en su pago $ 326. 2. Se analiza la cuenta Deudores por venta donde se encuentran personas que se consideran que ya no pagarán por un importe de $760 y $450 de deudores atrasados en el pago. 3. Después de la depuración se encuentran deudores con juicio iniciado por $ 678.000, deudores atrasados por $ 10.200 y los que se estima que ya no pagarán $ 5.400. 4. Se registran los siguientes importes: $4.500 de deudores atrasados, $3.200 de deudores que se supone, ya no pagarán. 5. Después de la depuración se encuentran deudores con juicio iniciado por $34.000, deudores atrasados por $6.000 y los que se estima que ya no pagarán $. AMORTIZACIÓN DE BIENES DE USO Los Bienes de Uso son aquellos destinados al uso exclusivo de la empresa y no a la venta, ya que son necesarios para llevar a cabo su fin y prestar un buen servicio a sus clientes. Ejemplos: Rodados, Muebles y Útiles, Inmuebles, Instalaciones, etc. Al ser utilizados, estos bienes sufren un desgaste, que sin duda alguna disminuye su valor. En consecuencia, esta merma año tras año, es cada vez mayor y debe registrarse contablemente. Este desgaste se conoce con el nombre de Depreciación, Desvalorización o Amortización. El porcentaje de amortización dependerá de la cantidad de años de vida útil que tenga el “Bien de Uso”. Los porcentajes máximos de Amortización anual son establecidos por la AFIP, los más frecuentes son: CONCEPTO VIDA ÚTIL PORCENTAJE Muebles y Útiles 10 años 10% Deudores Morosos (+A) Deudores en Gestión Judicial (+A) Deudores Incobrables (+R.N.) a. Deudores por Ventas (-A) 230 140 100 470
  • 37.
    37 MARICEL VAIROLETTI -SISTEMAS DE INFORMACIÓN CONTABLE Instalaciones 10 años 10% Maquinarias 10 años 10% Rodados 5 años 20% Equipos de Computación 5 años 20% Inmuebles (valor edificado) 50 años 2% Ejemplo de Amortización: Registración de la Amortización: Se amortizan los siguientes Bienes de Uso de la Empresa “Castro Hnos.” BIEN DE USO VALOR DE COMPRA O DE COSTO VIDA ÚTIL PORCENTAJE ANUAL AMORTIZACIÓN ANUAL Rodados 18.000 5 años 20% 3.600 Muebles y Útiles 12.000 10 años 10% 1.200 CLASIFICACIÓN DE CUENTAS AMORTIZACIONES: De Resultado Negativo. Se Debita: para contabilizar la perdida o desvalorización sufrida por los bienes de uso y el transcurso del tiempo. AMORTIZACIONES ACUMULADAS: Reguladora De Activo. Se Acredita: cuando se contabiliza la desvalorización que van experimentando los bienes de uso. (Cuenta reguladora de Activo es la que corrige el saldo de otras cuentas de Activo) Ejercitación: 1. Una empresa tiene los siguientes Bienes de Uso: Rodados $8.000, Muebles y Útiles $3.000, Inmuebles $40.000. Practica el asiento de ajuste. Amortizaciones (RN) a. Amort. Acumuladas de Rodados (RA) a. Amort. Acumaladas de M. Y U. (RA) Por la Amortización anual de los Bienes de Uso. 4.800 3.600 1.200
  • 38.
    38 MARICEL VAIROLETTI -SISTEMAS DE INFORMACIÓN CONTABLE 2. Se deben Amortizar los siguientes Bienes de Uso. Equipos de computación $8.200, maquinarias $56.000, Instalaciones por $5.600 y Muebles y Útiles por $3.300. Realiza el asiento de ajuste. 3. Se desvalorizan los Bienes de uso citados a continuación: Inmuebles $89.000, Muebles y Útiles $6.700, Rodados $34.900, Maquinarias $12.700. Contabiliza el asiento correspondiente. 4. Amortizar los siguientes Bienes de Uso: Muebles y Útiles $3.000, Rodados $6.500 e Inmuebles $45.900. PRINCIPIO O CRITERIO DE LO DEVENGADO Cuando se adquiere un derecho que representa un aumento del Patrimonio o se contrae una obligación que corresponda a una disminución del mismo, a pesar que no se haya efectivizado (cobrado o pagado), es necesario registrar estas operaciones por las siguientes razones:  Las Pérdidas o ganancias deben afectar el ejercicio que corresponden sin importar el momento en que se cobren o se paguen.  En el caso de no registrarse los asientos correspondientes, se está ocultando un Activo (derecho a cobrar) o un Pasivo (obligación a pagar) El objeto de los asientos de ajuste, es que cada ejercicio económico muestre únicamente los ingresos y egresos que le corresponden. De acuerdo con este principio existen los siguientes conceptos de ganancias. *Devengar: Adquirir derecho o retribución. GASTOS PENDIENTES DE PAGO Estos gastos deben ser contabilizados porque las perdidas y las ganancias deben incidir en el resultado del ejercicio en que se producen; si no se realiza el ajuste, serán considerados perdidas en el ejercicio siguiente, al pagarlos. Son aquellos gastos (Sueldos, Seguros, Impuestos) producidos en durante el ejercicio económico que finaliza y aún no han sido pagados. Al cierre del ejercicio se encuentran impagos y vencidos los siguientes gastos: Impuestos $270, Sueldos $900. En el próximo ejercicio cuando se efectúa el pago en efectivo de estos gastos se realizará el siguiente asiento: Impuestos (+RN) Sueldos y Jornales (+RN) a. Impuestos a pagar (+P) a. Sueldos y Jornales a Pagar (+P) Por gastos impagos al cierre del ejercicio 270 900 270 900 Impuestos a Pagar (-P) Sueldos y Jornales a Pagar (-P) a. Caja (-A) Por pagos de gastos que corresponden al ejercicio anterior. 270 900 1.170
  • 39.
    39 MARICEL VAIROLETTI -SISTEMAS DE INFORMACIÓN CONTABLE GASTOS PAGADOS (perdidos) POR ADELANTADO Son aquellos gastos pagados en el ejercicio económico que finaliza y que corresponden al ejercicio próximo. La empresa “XX” S.A. cierra su balance el 31 de Diciembre, en el mes de Noviembre (09/11) registró el pago de seguros por $600 en efectivo, que corresponden al mes de Enero del siguiente año. 09/11 El asiento que se registro en Noviembre es el siguiente: 31/12 El ajuste que debe realizarse es el siguiente: 31/01 En el próximo ejercicio, la empresa deberá registrar la pérdida por el seguro mediante el siguiente asiento. INGRESOS PENDIENTES DE COBRO Son aquellas ganancias (Intereses, Comisiones) que se han producidos durante el ejercicio económico que finaliza y aun no se han cobrado. 31/12 La Empresa “XX” S.A. al 31/12 ganó comisiones durante el mes de Diciembre que aún no se cobraron por $180. Seguros Perdidos (+RN) a. Caja (-A) Por pago de Seguros del mes de Enero correspondiente al próximo Ejercicio. 600 600 Seguros Pagados por Adelantado (+A) a. Seguros Perdidos (-RN) Por seguros abonados por adelantado en el mes de Noviembre (no devengados) correspondiente al próximo ejercicio (Enero) 600 600 Seguros Perdidos (+RN) a. Seguros pagados por Adelantado (-A) Por seguros devengados en el presente ejercicio (Enero) que fueron abonados en el ejercicio anterior. 600 600 Comisiones a Cobrar (+A) a. Comisiones Ganadas (+RP) Por comisiones ganadas pendientes de cobro al cierre del ejercicio. 180 180
  • 40.
    40 MARICEL VAIROLETTI -SISTEMAS DE INFORMACIÓN CONTABLE 31/01 En el próximo ejercicio, cuando se cobren realmente las comisiones del ejercicio anterior, se realizará el siguiente asiento: INGRESOS COBRADOS (ganados) POR ADELANTADO Son ganancias que han sido percibidas por adelantado y que corresponden al ejercicio próximo. La empresa “XX” S.A. cobró comisiones por adelantado en el mes de Noviembre (15/11) por $350 en efectivo, que corresponden a trabajos que se realizarán en el mes de enero del próximo año. 15/11 El asiento que se registro en Noviembre es el siguiente: 31/12 El asiento de ajuste que corresponde al 31 de diciembre es el siguiente: 31/01 En el próximo ejercicio la empresa deberá registrar la ganancia devengada correspondiente a las comisiones cobradas, el asiento es el siguiente: Caja (+A) a. Comisiones a Cobrar (-A) Por cobro de comisiones del ejercicio anterior. 180 180 Caja (+A) a. Comisiones Ganadas (+RP) Por cobro de comisiones en efectivo. 350 350 Comisiones Ganadas (-RP) a. Comisiones Cobradas por Adelantado (+P) Por comisiones cobradas en el mes de Noviembre (no devengadas) correspondientes a Enero del próximo ejercicio. 350 350 Comisiones Cobradas por adelantado (-P) a. Comisiones Ganadas (+RP) Por registrar las ganancias devengadas correspondientes al mes de Enero. 350 350
  • 41.
    41 MARICEL VAIROLETTI -SISTEMAS DE INFORMACIÓN CONTABLE Ejercitación: 1. Se encuentra pendiente de pago la factura de luz y teléfono por $456. Realiza el asiento de ajuste al 31/12 y el asiento en el momento que se efectúa el pago, en el próximo ejercicio el 31/01. 2. El 15 de diciembre se paga el alquiler correspondiente al mes de Enero del año siguiente por un importe de $600 en efectivo. Registraciones: 15/12, 31/12 y el 31/01. 3. La empresa debería haber percibido antes del cierre del ejercicio $670 en concepto de intereses; cobra este importe el 15/01 (siguiente ejercicio) en efectivo. 4. Se cobran en efectivo Fletes por $280 que corresponden a un servicio que se realizará el 20/01 del siguiente año. Registraciones: 02/12, 31/12 y el 20/01. 5. La empresa “ZZ” S.A. cierra su balance el 31/12. Ganó comisiones durante el mes de Diciembre que aun no ha cobrado por un importe de $368. Registraciones al 31/12 y 15/01 momento en que se cobran en efectivos dichas comisiones (próximo ejercicio) 6. La empresa cierra su balance el 31/12, el 5 de Noviembre registra el pago de alquileres por $800 que corresponden al cuatrimestre Noviembre, Diciembre, Enero y febrero, Registraciones: 5/11, ajuste el 31/12 y 28/02, del próximo ejercicio. 7. La empresa “MM” cierra su ejercicio económico el 30/06 a abonado el ¼ $720 en concepto de Seguro de incendio de su local que cubre el riesgo 12 meses. Registraciones: 1/04 el 30/06 (cierre del ejercicio) y el 31/03 del próximo ejercicio. 8. La empresa “NN” cobra Comisiones el 13/11 por un total de $3500, estas comisiones corresponden a tres meses, (Noviembre, Diciembre y Enero) El ejercicio cierra el 31/12. Registrar: el asiento del 13/11, el ajuste al 31/12 y el asiento correspondiente al próximo ejercicio el 31/01. 9. El 1/04 la empresa “WW” recibe en efectivo un total de $3000 en concepto de alquiler de los meses de Abril, Mayo y Junio. Cierra su ejercicio económico el 30/04. Registrar: el momento del cobro, el ajuste al 30/04 y el asiento del 1/06 del próximo ejercicio. 10. Al cierre del ejercicio (31/12) se encuentran impagos Impuestos por $569, en el siguiente ejercicio se efectúa el pago correspondiente (10/01) en efectivo. CUENTAS DEBE HABER
  • 42.
    42 MARICEL VAIROLETTI -SISTEMAS DE INFORMACIÓN CONTABLE CUENTAS DEBE HABER
  • 43.
    43 MARICEL VAIROLETTI -SISTEMAS DE INFORMACIÓN CONTABLE CUENTAS DEBE HABER
  • 44.
    44 MARICEL VAIROLETTI -SISTEMAS DE INFORMACIÓN CONTABLE CUENTAS DEBE HABER
  • 45.
    45 MARICEL VAIROLETTI -SISTEMAS DE INFORMACIÓN CONTABLE CUENTAS DEBE HABER
  • 46.
    46 MARICEL VAIROLETTI -SISTEMAS DE INFORMACIÓN CONTABLE CUENTAS DEBE HABER
  • 47.
    47 MARICEL VAIROLETTI -SISTEMAS DE INFORMACIÓN CONTABLE ARQUEO DE CAJA INVENTARIO DE MERCADERÍAS DEPURACIÓN DE DEUDORES AMORTIZACIONES PENDIENTES DE: (2 asientos) POR ADELANTADO (3 asientos) Por ejemplo: 30 de noviembre de 2012 31 de diciembre de 2012 10 de enero de 2013 Faltante en Caja (Pérdida) Sobrante en Caja (Ganancia) Faltante en Mercaderías (Pérdida) Sobrante en Mercaderías (Ganancia) Deudores Incobrables (Pérdidas) Deudores Morosos (Activo) Deudores en Gestión (Activo) Amortizaciones (Pérdidas) se debita Amortizaciones Acumuladas xxxxxx (Reguladora de Activo) se acredita PAGO COBRO Cuenta de PÉRDIDA Cuenta de PASIVO (a pagar) Cuenta de GANANCIA Cuenta de ACTIVO (a cobrar) Pagado por adelantado ACTIVO Cobrado por adelantado PASIVO
  • 48.
    48 MARICEL VAIROLETTI -SISTEMAS DE INFORMACIÓN CONTABLE AJUSTES – Ejercitación 1 1. Amortizar los siguientes Bienes de Uso: Inmuebles $30000, Instalaciones $12000, Muebles y Útiles $5600, Rodados $15000. 2. Al cierre del ejercicio (31-12) todavía no se ha pagado la factura de gas por $153, se paga en efectivo el 10/01. 3. Se depura la cuenta Deudores: en juicio $1200, demorados en su pago $780 y los que suponemos no pagaran $530. 4. El ejercicio cierra el 31/07 y encontramos que nos deben el alquiler de julio por $450. Dicho alquiler se cobra con un cheque Banco Nación el 5/08. 5. El 1/11 se paga el seguro del cuatrimestre Noviembre, Diciembre, Enero y Febrero por un total de $1536. El ejercicio cierra el 31/12. 6. El 5/06 se cobran Comisiones por trabajos que deberán realizarse el 5/07 por $380. El ejercicio cierra el 30/06. 7. El ejercicio cierra el 31/12 y se encuentran impagos los sueldos pertenecientes a Diciembre por un importe de $3780. los mismos se hacen efectivos el 5/01. 8. Al finalizar el ejercicio el 31/07 encontramos que aún no se ha pagado Comisiones de $575. Se pagan el 15/09, debido al retraso nos cobran $30 de interés. Se paga todo en efectivo. 9. El 20 de Diciembre se cobran alquileres con cheque Banco Provincia de córdoba, correspondientes al trimestre Enero, febrero, Marzo de $330 por mes. El ejercicio cierra el 31/12. 10. Realiza una lista de todas las cuentas que pertenezcan al tema “Ajustes” y clasifícalas. CUENTAS DEBE HABER
  • 49.
    49 MARICEL VAIROLETTI -SISTEMAS DE INFORMACIÓN CONTABLE
  • 50.
    50 MARICEL VAIROLETTI -SISTEMAS DE INFORMACIÓN CONTABLE AJUSTES – Ejercitación 2 1. El 17.12 se paga un flete por $370, servicio que se levará a cabo el 25.01. El ejercicio cierra el 31.12 2. Al cierre del ejercicio el 31.12 se encuentran pendientes de pago los impuestos del mes de Diciembre por $638, se pagan el día 22.01 en efectivo. 3. Al cierra el ejercicio el 31.12 se encuentra pendiente de cobro el alquiler de Diciembre por $480, se cobra el 17.01 con un cheque de Banco Suquía. 4. Inventario de Mercaderías. Saldo Contable: $47300 - Saldo Real: $ 47700. 5. Arqueo de Caja. Saldo Contable: $63210 – Saldo Real: $62310 6. Amortizar Bienes de Uso: Rodados $39200 (20%) Instalaciones $37900 (10%) Inmuebles $152300 (2%) 7. Depuración de Deudores: Los que ya no pagarán $700 y los atrasados en el pago $500. CUENTAS DEBE HABER
  • 51.
    51 MARICEL VAIROLETTI -SISTEMAS DE INFORMACIÓN CONTABLE
  • 52.
    52 MARICEL VAIROLETTI -SISTEMAS DE INFORMACIÓN CONTABLE
  • 53.
    53 MARICEL VAIROLETTI -SISTEMAS DE INFORMACIÓN CONTABLE AJUSTES – Ejercitación 3 – Planilla de Balance 12 Columnas Nº CUENTAS SUMAS DEBE HABER 1 Mercaderías 23300 2 Caja 1782 698 3 Bco Pcia de Cba c/c 15378 6978 4 Alquileres Cobrad. 1560 5 Inmuebles 45700 6 Deudores p/ Venta 9792 5400 7 Ventas 28700 8 Proveedores 5300 12900 9 Rodados 23800 10 Muebles y útiles 7230 11 Intereses perdidos 945 12 Capital 76991 CUENTAS DEBE HABER Inventario al 31-12 1. Arqueo de Caja $ 984 2. De los Alquileres Cobrados el 12% corresponden al próximo ejercicio. 3. De los Intereses Perdidos el 2% corresponde al próximo ejercicio. 4. Deudores Incobrables: $890 5. Amortizar Bienes de uso
  • 54.
    54 MARICEL VAIROLETTI -SISTEMAS DE INFORMACIÓN CONTABLE
  • 55.
    55 MARICEL VAIROLETTI -SISTEMAS DE INFORMACIÓN CONTABLE
  • 56.
    56 MARICEL VAIROLETTI -SISTEMAS DE INFORMACIÓN CONTABLE AJUSTES – Ejercitación 4 – Planilla de Balance 12 Columnas Nº CUENTAS SUMAS DEBE HABER 1 Caja 128000 35000 2 Mercaderías 92000 3 Maquinarias 155000 60000 4 Fletes y Acarreos 77000 5 Gastos Generales 2300 6 Descuentos obten 8000 7 Deudores por vent 68000 12000 8 Banco Nación c/c 59000 28000 9 Proveedores 25000 42000 10 Ventas 178000 11 Sueldos y Jornales 2100 12 Capital 245400 CUENTAS DEBE HABER Inventario al 31-12 1. Inventario de Mercaderías $91400 2. Se encuentran impagos sueldos por $2300 que se harán efectivos el 5/01 (Próximo ejercicio) 3. De los Fletes y Acarreos por $7000, el servicio se realizará el 15/01. 4. Depuración de Deudores: Morosos $1000, Incobrables $300. 5. Amortizar Bienes de Uso 6. Los gastos de luz y teléfono son altos éste mes por lo que se decide sacarlos de Gastos generales y abrir la cuenta correspondiente para tener más control sobre dicho gasto, $1100.
  • 57.
    57 MARICEL VAIROLETTI -SISTEMAS DE INFORMACIÓN CONTABLE
  • 58.
    58 MARICEL VAIROLETTI -SISTEMAS DE INFORMACIÓN CONTABLE
  • 59.
    59 MARICEL VAIROLETTI -SISTEMAS DE INFORMACIÓN CONTABLE MONEDA EXTRANJERA Las distintas monedas extranjeras que se utilizan en las operaciones de compraventa de bienes se pueden adquirir en instituciones bancarias y casas de cambio a la cotización del día. Cotización: se llama cotización a la suma de dinero que ha de entregarse en moneda nacional por moneda extranjera. La cotización podrá ser: a) A la Par: Cuando la moneda extranjera es igual a la moneda nacional Ej: 1 dólar = $1 b) Sobre la Par: Cuando la moneda extranjera es mayor a la moneda nacional Ej: 1 dólar = $5,20 c) Bajo la Par: Cuando la moneda extranjera es menor a la moneda nacional Ej: 1 dólar = $0,90 Existen dos tipos de cotización (cambio) para una moneda extranjera (Divisa): a) Tipo de Cambio Comprador: es el que pagan los bancos y casas de cambio b) Tipo de Cambio Vendedor: es el valor al que venden los bancos o casas de cambio. Cuentas: Moneda Extranjera: Patrimonial de Activo Resultado Positivo por Venta de Moneda Extranjera: de Resultado Ganancias Resultado Negativo por Venta de Moneda Extranjera: de Resultado Perdidas EJEMPLO: COMPRA DE MONEDA EXTRANJERA: (uso tipo Vendedor) Tipo comprador: $2,80 Tipo Vendedor: $3,10  El 25/08 se compra en el Banco Francés u$s500 dólares abonando en efectivo Moneda extrajera (+A) 1.550 a.Caja (3,10x500) 1.550 VENTA DE MONEDA EXTRANJERA: (uso tipo comprador) Tipo comprador: $2,70 Tipo Vendedor: $3,00  El 10/09 se vende en Banco Galicia u$s200 dólares de los comprados el 25/08 1. Multiplico cantidad de dólares por el tipo comprador: 200x2,70=540 2. Multiplico la cantidad de dólares que vendo por el precio que los compré: 200x3,10=620 3. Resto 620-540=80 (como los pagué más caro de lo que los vendí tengo una perdida) Caja (+A) (200dól x $2,70) 540 Rdo Negativo Venta Moneda Extranjera ($620-$540) 80 a.Moneda Extranjera (-A) (200dól x $3,10) 620 EJERCITACIÓN 1 1. 30/03 se compran 5000 dólares en efvo cotización Tipo Comprador $4,58 – Tipo Vendedor $4,75 2. 30/04 Se venden en el Banco Nación Arg 3000 dólares, el importe resultante de la venta se deposita en cta cte. Cotización Tipo Comprador $4,68 – Tipo Vendedor $4,88 3. 8/05 se compran 900 dól con ch/ Bco Nación Arg. Tipo Comprador $4,54 – Tipo Vendedor $4,72 4. 21/05 se venden 500 dól en efvo Tipo Comprador $4,86 – Tipo Vendedor $5,12 5. 18/06 se venden 100 dól en efvo Tipo Comprador $5,35 – Tipo Vendedor $5,62
  • 60.
    60 MARICEL VAIROLETTI -SISTEMAS DE INFORMACIÓN CONTABLE CUENTAS DEBE HABER
  • 61.
    61 MARICEL VAIROLETTI -SISTEMAS DE INFORMACIÓN CONTABLE EJERCITACIÓN 2 1. 17/03 se compran 8300 dól en efvo cotización Tipo Comprador $4,65 – Tipo Vendedor $4,70 2. 20/03 se compran 7700 dól Tipo Comprador $4,69 – Tipo Vendedor $4,75 3. 10/04 se vende 8400 dól en efvo Tipo Comprador $4,89 – Tipo Vendedor $4,98 4. 20/04 compra 6000 dól en efvo Tipo Comprador $4,67 – Tipo Vendedor $4,91 5. 12/05 vende 1500 dól Tipo Comprador $4,67 – Tipo Vendedor $4,91 CUENTAS DEBE HABER
  • 62.
    62 MARICEL VAIROLETTI -SISTEMAS DE INFORMACIÓN CONTABLE FONDO FIJO El Fondo Fijo es una pequeña disponibilidad de dinero para atender gastos menores. Muchas empresas para lograr un mayor manejo de sus fondos realizan lo siguiente: a) La totalidad de lo recaudado diariamente lo depositan en cta cte bancaria b) Los pagos los realizan con cheques de su propia cuenta c) Para los pequeños gastos constituyen un fondo fijo Constitución del Fondo Fijo:  El 4 de julio se constituye un fondo fijo de $400, librando un cheque de nuestra cuenta corriente de Banco Nación Fondo Fijo (+A) 400 a.Banco Nación c/c (-A) 400  El 15 de julio los gastos abonados con el Fondo Fijo son os siguientes: Viáticos $220, Gastos de Librería $80 Viáticos (+RN) 220 Gastos generales (+RN) 80 a.Fondo Fijo 300  El 15 de julio reponemos el Fondo Fijo con un cheque de nuestra firma Fondo Fijo (+A) 300 a.Banco Nación c/c (-A) 300 Ejercicios: 1. 26/07 Se constituyen un Fondo Fijo por $300 con cheque bco Nación 2. 28/07Se rinden los gastos de Fondo Fijo siendo la siguiente: factura de Telecom $90, factura por comisiones $20. 3. 28/07 Reponer Fondo Fijo CUENTAS DEBE HABER
  • 63.
    63 MARICEL VAIROLETTI -SISTEMAS DE INFORMACIÓN CONTABLE CAJA DE AHORRO BANCARIA La característica de estos depósitos es que se encuentran disponibles cuando el cliente los solicite y otorgan un módico interés. La cantidad de extracciones generalmente son de 5 extracciones mensuales. Para retirar el dinero se puede ir personalmente a la ventanilla del banco o con la tarjeta de débito en un cajero automático. Ejercicios: 1. 10/09 depositamos en caja de ahorro bco nación $2000 en efvo 2. 15/09 se extrae en efvo $500 de la caja de ahorro del bco nación 3. 20/09 depositamos en caja de ahorro del bco nación $1800, $300 en efvo y el resto con cheque 4. 24/09 extraemos a través del cajero automático de la caja de ahorro bco nación $600 en efvo 5. El bco nación nos acredita en caja de ahorro $45 por intereses. 6. Nos debitan de la caja de ahorro bco nación $30 en concepto de gtos de mantenimientos. CUENTAS DEBE HABER
  • 64.
    64 MARICEL VAIROLETTI -SISTEMAS DE INFORMACIÓN CONTABLE Libro Diario – Mayor – Balance 12 columnas - Ajustes - Estado de Situación Patrimonial 1. 6/04 inicia la actividad comercial la empresa Zeta con efvo $34000 y mercaderías $27400 2. 7/04 Duplicado Factura RI por $15000, 50% en efvo al que le realizo un 10% de descuento, el resto con un documento a 30 días con el 4% de interés 3. 7/04 Registrar el CMV de la operación anterior siendo el mismo un 60% del importe de la venta. 4. 8/04 Original Nota de Crédito Bancaria por el importe recibido en efvo en la op. 2 (Banco Suquía) 5. 9/04 Original Factura de Teléfono $130 en efvo 6. 10/04 Original Factura por $32000 en cta cte comercial 7. 10/04 el CMV es el 55% de la venta 8. 19/04 Original Factura: por $12000, entrega un pagaré de $7000 en el que se le incluye un 8% de interés, el saldo restante en efvo. 9. 21/04 Duplicado Recibo por el importe de la op. 6 10. 24/04 Duplicado Recibo por comisiones con cheque Banco Río $350 (con IVA) 11. 30/04 Posición mensual (IVA) (Diario – Mayor – Sumas y Saldos) Ajustes: 1. 30/04 Saldo de Caja $65000 2. 30/04 Se encuentran deudores incobrables por $700 3. 30/04 Se encuentran impagos Gastos Generales por $50 (Diario – Mayor – Balance en Ajustes y Saldos Ajustados) CUENTAS DEBE HABER
  • 65.
    65 MARICEL VAIROLETTI -SISTEMAS DE INFORMACIÓN CONTABLE
  • 66.
    66 MARICEL VAIROLETTI -SISTEMAS DE INFORMACIÓN CONTABLE Fecha Cuentas DEBE HABER SALDO DEUDOR SALDO ACREEDOR
  • 67.
    67 MARICEL VAIROLETTI -SISTEMAS DE INFORMACIÓN CONTABLE
  • 68.
    68 MARICEL VAIROLETTI -SISTEMAS DE INFORMACIÓN CONTABLE
  • 69.
    69 MARICEL VAIROLETTI -SISTEMAS DE INFORMACIÓN CONTABLE ESTADO DE SITUACIÓN PATRIMONIAL Y ESTADO DE RESULTADO