RESISTENCIA A LA INSULINA Y CAMBIOS
METABÓLICOS EN ADULTOS OBESOS
Es una alteración genética o adquirida de la respuesta tisular a la acción de la
 Insulina. En términos fisiológicos se refiere a una inadecuada captación de la
 glucosa dependiente de insulina por parte de los tejidos, en especial del hígado,
 músculo y tejido adiposo.


El riesgo de muerte súbita de los obesos es 3 veces mayor que el de los no
obesos, y es el doble para el desarrollo de insuficiencia cardíaca congestiva
(ICC), enfermedad cerebrovascular (ECV) y cardiopatía isquémica (CI),
mientras la posibilidad de desarrollar DM es 93 veces mayor cuando el índice
de masa corporal (IMC) pasa de 35. Algunos autores han encontrado que la
obesidad tiene una relación estrecha con la resistencia a la insulina (RI) y con
factores genéticos y ambientales probablemente comunes. La resistencia a la
insulina tiene efectos fisiopatogénicos importantes en el desarrollo de DM,
síndrome metabólico y la HTA.
Alteración en el Transporte de Glucosa
Es el mecanismo principal de resistencia a la insulina en pacientes diabéticos. Es una
alteración del transporte de glucosa que esta caracterizada por defectos de la expresión de
enzimas intracelulares y de la translocación del GLUT4 por deficiencias en la actividad del
receptor de insulina (RI), los sustratos del RI - Se han identificado cuatro SRI, pero los más
estudiados han sido el SRI-1 y el SRI-2, que son mas comunes, mientras que SRI- 3 está
restringido de tejido adiposo, y el SRI-4 a riñón y encéfalo - y la kinasa de fosfoinositol
trifosfato PI3-K.




Adipocinas y Sensibilidad insulínica
Las adipocinas son el conjunto de proteínas producidas por el tejido adiposo. Entre ellas
destacan la proteína estimuladora de acilación (ASP), TNF–a, IL–6, la resistina, la
leptina y la adiponectina, con influencia sobre la sensibilidad a la insulina, así como el
angiotensinógeno y el inhibidor del activador de plasminógeno (PAI–1) que tienen efecto
sobre la vascularización.
Se ha encontrado que la resistina circula en el suero y su nivel se eleva en la obesidad.
Su inmunoneutralización mejora la acción de la insulina y por lo tanto la glucosa
sanguínea en diabetes tipo 2. Por el contrario la administración de resistina altera la
tolerancia a la glucosa y la acción de la insulina normal, lo que permite considerar a la
resistina como un candidato para explicar el efecto antidiabético de las TZD y el
mecanismo por el que, el exceso de tejido adiposo causa resistencia a la insulina..
Objetivo: Estudiar la relación entre el grado de obesidad y la resistencia a la
insulina en sujetos obesos, así como posibles cambios en el metabolismo lipídico y
de compuestos nitrogenados.




Método: Se realizó un estudio observacional analítico con individuos adultos
preobesos y obesos de ambos sexos (entre 2006 y 2008). También fueron incluidos
sujetos supuestamente sanos. En total la muestra estuvo constituida por 214
individuos.

Criterios de inclusión: Pacientes que aceptaron participar en la investigación, y
pacientes con obesidad según el grado de la clasificación, con edades entre los 18 y
los 60 años, y que fueran normotensos.

Criterios de exclusión: Pacientes diabéticos y/o con enfermedades que produzcan
alteraciones metabólicas o endocrinas, pacientes con enfermedades invalidantes,
psiquiátricos, con insuficiencia renal crónica, y pacientes con obesidad grado IV,
extrema o mórbida, con un IMC mayor de 40.
RI= glucemia ayunas (mmol/L) x insulina ayunas (UI/mL)/22,5
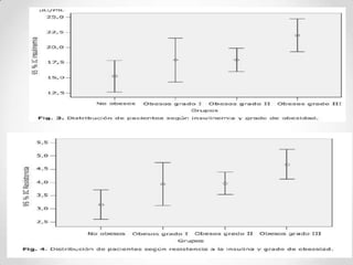
Fueron hallados coeficientes de correlación de Pearson significativos
entre la RI y el IMC (r= 0,238; p< 0,01), así como también entre la RI y
la circunferencia abdominal (r= 0,195; p< 0,01) y entre la RI y el ácido
úrico (r=.179; p< 0,01).

Endocrinologia 1

  • 1.
    RESISTENCIA A LAINSULINA Y CAMBIOS METABÓLICOS EN ADULTOS OBESOS
  • 3.
    Es una alteracióngenética o adquirida de la respuesta tisular a la acción de la Insulina. En términos fisiológicos se refiere a una inadecuada captación de la glucosa dependiente de insulina por parte de los tejidos, en especial del hígado, músculo y tejido adiposo. El riesgo de muerte súbita de los obesos es 3 veces mayor que el de los no obesos, y es el doble para el desarrollo de insuficiencia cardíaca congestiva (ICC), enfermedad cerebrovascular (ECV) y cardiopatía isquémica (CI), mientras la posibilidad de desarrollar DM es 93 veces mayor cuando el índice de masa corporal (IMC) pasa de 35. Algunos autores han encontrado que la obesidad tiene una relación estrecha con la resistencia a la insulina (RI) y con factores genéticos y ambientales probablemente comunes. La resistencia a la insulina tiene efectos fisiopatogénicos importantes en el desarrollo de DM, síndrome metabólico y la HTA.
  • 4.
    Alteración en elTransporte de Glucosa Es el mecanismo principal de resistencia a la insulina en pacientes diabéticos. Es una alteración del transporte de glucosa que esta caracterizada por defectos de la expresión de enzimas intracelulares y de la translocación del GLUT4 por deficiencias en la actividad del receptor de insulina (RI), los sustratos del RI - Se han identificado cuatro SRI, pero los más estudiados han sido el SRI-1 y el SRI-2, que son mas comunes, mientras que SRI- 3 está restringido de tejido adiposo, y el SRI-4 a riñón y encéfalo - y la kinasa de fosfoinositol trifosfato PI3-K. Adipocinas y Sensibilidad insulínica Las adipocinas son el conjunto de proteínas producidas por el tejido adiposo. Entre ellas destacan la proteína estimuladora de acilación (ASP), TNF–a, IL–6, la resistina, la leptina y la adiponectina, con influencia sobre la sensibilidad a la insulina, así como el angiotensinógeno y el inhibidor del activador de plasminógeno (PAI–1) que tienen efecto sobre la vascularización. Se ha encontrado que la resistina circula en el suero y su nivel se eleva en la obesidad. Su inmunoneutralización mejora la acción de la insulina y por lo tanto la glucosa sanguínea en diabetes tipo 2. Por el contrario la administración de resistina altera la tolerancia a la glucosa y la acción de la insulina normal, lo que permite considerar a la resistina como un candidato para explicar el efecto antidiabético de las TZD y el mecanismo por el que, el exceso de tejido adiposo causa resistencia a la insulina..
  • 5.
    Objetivo: Estudiar larelación entre el grado de obesidad y la resistencia a la insulina en sujetos obesos, así como posibles cambios en el metabolismo lipídico y de compuestos nitrogenados. Método: Se realizó un estudio observacional analítico con individuos adultos preobesos y obesos de ambos sexos (entre 2006 y 2008). También fueron incluidos sujetos supuestamente sanos. En total la muestra estuvo constituida por 214 individuos. Criterios de inclusión: Pacientes que aceptaron participar en la investigación, y pacientes con obesidad según el grado de la clasificación, con edades entre los 18 y los 60 años, y que fueran normotensos. Criterios de exclusión: Pacientes diabéticos y/o con enfermedades que produzcan alteraciones metabólicas o endocrinas, pacientes con enfermedades invalidantes, psiquiátricos, con insuficiencia renal crónica, y pacientes con obesidad grado IV, extrema o mórbida, con un IMC mayor de 40.
  • 6.
    RI= glucemia ayunas(mmol/L) x insulina ayunas (UI/mL)/22,5
  • 10.
    Fueron hallados coeficientesde correlación de Pearson significativos entre la RI y el IMC (r= 0,238; p< 0,01), así como también entre la RI y la circunferencia abdominal (r= 0,195; p< 0,01) y entre la RI y el ácido úrico (r=.179; p< 0,01).