UNIDAD DOS
CARBOHIDRATOS Y LIPIDOS DE
IMPORTANCIA FISIOLOGICA
Unidad II: CARBOHIDRATOS Y LÍPIDOS DE
IMPORTANCIA BIOLÓGICA
Temas:
• Clasificación de los carbohidratos y lípidos
• Estructura y función biológica de los
carbohidratos y lípidos en el organismo
• La glucosa: Importancia desde el punto de vista
biomédico
• Polisacáridos de origen animal y vegetal
• Importancia biomédica del colesterol
• Enfermedades producidas por alteraciones
estructurales de carbohidratos y lípidos
Por la complejidad de
sus moléculas
GLUCIDOS, HC, SACARIDOS
 Los glúcidos son la fuente de energía principal que utilizan
los seres vivos para realizar sus funciones vitales.(función
metabólica)
 También existen glúcidos con funciones estructurales (ej.
Celulosa, quitina).
 Están compuestos por átomos de C, H, O, unidos mediante
enlaces covalentes, en las proporciones 6:12:6 (al romperse
estos enlaces se genera mucha energía).
BIOMOLÉCULAS ORGÁNICAS
Nombre de origen griego que significa dulce, lo cual
representa una propiedad de muchos de estos
compuestos formados por largas cadenas de
carbono, a las cuales se le suman átomos de
hidrógeno y oxigeno.
Los glúcidos mas básicos son los monosacáridos
FORMULA: (CH2O)n
Esta formula, al desarrollarse
da monómeros, los que se
unen para dar formas mas
complejas como son los
polímeros
GLUCIDOS, HC, SACARIDOS
 pueden estar unidos covalentemente a otro tipo de
moléculas, formando glicolípidos, glicoproteínas (cuando el
componente proteico es mayoritario), proteoglicanos (cuando
el componente glicídico es mayoritario) y peptidoglicanos (en
la pared bacteriana).
BIOMOLÉCULAS ORGÁNICAS
 Representan en el organismo el combustible de uso
inmediato. La combustión de 1g de HC produce unas 4 Kcal.
Alto grado de reducción suficiente como para ser buenos
combustibles, y sus funciones oxigenadas (carbonilos y
alcoholes) permiten que interaccionen con el agua más
fácilmente que otras moléculas combustible como pueden ser
las grasas. Por este motivo se utilizan las grasas como fuente
energética de uso diferido y los HC como combustibles de uso
inmediato
 La degradación de los HC puede tener lugar en condiciones
anaerobias (fermentación) o aerobias (respiración).
FUNCIÓN ENERGÉTICA
• Los HC pueden unirse a lípidos o a proteínas de la superficie
de la célula, y representan una señal de reconocimiento en
superficie. Tanto las glicoproteínas como los glicolípidos de la
superficie externa celular sirven como señales de
reconocimiento para hormonas, anticuerpos, bacterias, virus
u otras células. Los HC son también los responsables
antigénicos de los grupos sanguíneos.
FUNCIÓN INFORMATIVA
• En muchos casos las proteínas se unen a una o varias
cadenas de oligosacáridos, que desempeñan varias
funciones:
• ayudan a su plegamiento correcto
• sirven como marcador para dirigirlas a su destino dentro de la
célula o para ser secretada
• evitan que la proteína sea digerida por proteasas
• aportan numerosas cargas negativas que aumentan la
solubilidad de las proteínas, ya que la repulsión entre cargas
evita su agregación.
FUNCIÓN INFORMATIVA
• Eliminar compuestos tóxicos que son muy poco solubles en
agua, y que tienden a acumularse en tejidos con un alto
contenido lipídico como el cerebro o el tejido adiposo
• compuestos que se producen en ciertas rutas metabólicas,
que hay que eliminar o neutralizar de la forma más rápida
posible (bilirrubina, hormonas esteroideas, etc.)
• compuestos producidos por otros organismos (los llamados
metabolitos secundarios: toxinas vegetales, antibióticos, etc.)
• compuestos de procedencia externa (xenobióticos:
fármacos, drogas, insecticidas, pesticidas, aditivos
alimentarios, etc.)
FUNCIÓN DE DETOXIFICACIÓN
conjugarlos con un derivado de la glucosa: el ácido
glucurónico PARA HACERLOS MAS SOLUBLES
FUNCIÓN DE REGULACIÓN
Regulan las funciones intestinales (fibra alimentaria). La fibra
alimentaria juega un papel importante en la regulación de la función
intestinal con los consiguientes efectos beneficiosos para la salud ya
que:
· Favorece el tránsito intestinal al absorber agua
· Aumenta el volumen de heces y las ablanda
· Disminuye la absorción de ciertas sustancias (como colesterol)
· Aumenta la sensación de saciedad
· Retarda el vaciado del estómago (fibra soluble)
· Disminuyen el pico de glucemia (niveles de glucosa en sangre) tras
las comidas en diabéticos
· Disminuye el riesgo de cáncer de colon y enfermedades
cardiovasculares.
ALDOSAS
Incapaces de hidrolizarse en CH
más simples
Heptosas
Alcoholes polihídricos
La sustitución de grupos funcionales aldeidos,
cetona o alcohol por otros como amino o
carboxilo
Alcohol reacciona con un ácido
(foforico): ribosa 5P; glucosa 6P
ALDOSAS
Incapaces de hidrolizarse en CH
más simples
Heptosas
Alcoholes polihídricos
La sustitución de grupos funcionales aldeidos,
cetona o alcohol por otros como amino o
carboxilo
Alcohol reacciona con un ácido
(foforico): ribosa 5P; glucosa 6P
# de C Nombre Fórmula Aldosas Cetosas
3 Triosa C3H6O3 Glicerosa o gliceraldehido Dihidroxiacetona
4 Tetrosa C4H8O4 Eritrosa Eritrulosa
5 Pentosa C5H10O5 Ribosa Ribulosa
6 Hexosa C6H12O6 Glucosa galactosa manosa Fructosa
7 Heptosa C7H14O7 Sedoheptulosa
9 Nanosa C9H18O9 Acido neuramínico o a. siálico
MONOSACARIDOS SEGÚN EL NÚMERO DE CARBONOS
• Oligosacaridos:
sacarosa
maltosa
CONDENSACION
AMIGDALINA
GLUCOSINOLATOS (TIOGLICÓSIDOS)
SINIGRINA
GLICÓSIDOS CARDIOTÓNICOS
GLICÓSIDOS ESTEROIDEOS
GLICÓSIDOS ESTEROIDEOS
- SAPONINAS
GLICÓSIDOS ESTEROIDEOS
- SAPONINAS
GLICÓSIDOS ESTEROIDEOS - SAPONINAS
Condensación de más de 10
monosacaridos
O glicanos
(C6(H2O)5)n
insulina
quitina
Condensación de más de 10
monosacaridos
O glicanos
(C6(H2O)5)n
insulina
quitina
Estructura de los carbohidratos y lípidos en el
organismo
Los CH son derivados aldehidicos o
cetónicos de los alcoholes polihídricos
O asimétricos
• El estudio de la estructura y las
propiedades físico-químicas de los
carbohidratos toma muy en cuenta los
monosacaridos
SIMPLES
 El grupo carbonilo puede ser aldehido o cetona
(depende de la posición)
 ALDEHIDO: carbono primario : aldosas
 CETONA: carbono secundario: cetosas
 Los monosacáridos son la principal fuente de energía
para el metabolismo
 Solubles en agua y en soluciones acuosas
MONOSACARIDOS
Azucares simples constituidos por una sola cadena
Grupo carbonilo y una cadena
carbonada polihidroxilada
en su nombre incluyen la
terminación osa
 Los monosacáridos son la principal fuente de energía
para el metabolismo
MONOSACARIDOS
 Solubles en agua y en soluciones acuosas
MONOSACARIDOS
 La polaridad de los enlaces determina su interacción
MONOSACARIDOS
 Grupos funcionales
MONOSACARIDOS
 Grupos funcionales
MONOSACARIDOS
Fórmula
desarrollada
 La información inicial química se dá primero como
C6(H2O)6 osea 6 carbonos hidratados de ahí el nombre de
carbohidratados
 Luego se comprueba que no son C hidratados la fórmula se represento
como C6(H2O)6
MONOSACARIDOS ESTRUCTURA
Mas adelante se comprobó que se
trataba de una molécula lineal con
diferentes funciones químicas
Más simple MOLECULA DE CADENA RECTA
1 CHO ALDEHIDO
2 CHOH
3 CHOH ALCOLES
4 CHOH SECUNDARIOS
5 CHOH
6 CHOH 1 ALCOHOL PRIMARIO
FORMULA LINEAL ALDOHEXOSA
MONOSACARIDOS ESTRUCTURA
HAWORTH REPRESENTO ESTA ESTRUCTURA EN PERSPECTIVA CON LOS
GRUPOS H Y OH COLOCADOS CONVENCIONALMENTE ARRIBA O ABAJO
DEL PLANO DEL ANILLO
 TERMODINAMICAMENTE FAVORECIDO E INFLUYE EN
OTRAS PROPIEDADES DIFERENTES A LAS DE ESTRUCTURA
EN CADENA RECTA
FORMULA CICLICA HEMIACETATO
MONOSACARIDOS ESTRUCTURA
LOS DE 6 ANILLO CONTIENEN UN ÁTOMO DE OXÍGENO QUE ESTÁN DE
HECHO EN FORMA DE UNA SILLA
ESTRUCTURA
CÍCLICA
MONOSACARIDOS ESTRUCTURA
REACCION ENTRE EL GRUPO
ALDEHIDO (CARBONULO DEL C1)Y
EL GRUPO HIDROXILO (ALCOHOL
DEL C5)
Estructuras cíclicas PIRANOSAS Y FURANOSAS
Las estructuras anulares estables de los monosacaridos son similares
a la estructura anulares del pirano o furano
Anillo de 6
elementos
ESTRUCTURA SIMILAR AL DEL PIRANO
ESTRUCTURA
CÍCLICA O
ANILLO
 SE FORMA UN PUENTE DE O ENTRE LOS CARBONOS 2 Y 5
SEMEJANDOSE AL FURANO OSEA ES UNA AZUCAR DE TIPO
FURANOSA
MONOSACARIDOS ESTRUCTURA
REACCION ENTRE EL GRUPO
ACETONICO (CARBONILO DEL C2)Y
EL GRUPO HIDROXILO (ALCOHOL
DEL C5)
FORMULA CICLICA
Anillo de 5
elementos
MONOSACARIDOS ESTRUCTURA
FORMULA CICLICA
Esta determinada por su relación espacial con el compuesto progenitor de la familia de los
CH , el azúcar de 3 C glicerosa
La presencia de C
asimétricos
confieren actividad
óptica
Lo que le permite
rotar hacia la
derecha o izquierda
Dextrorrotatorio
levorrotatorio
Los azúcares presentan variantes isoméricas:
Carbono asimétrico
La orientación se da en el carbono
adyacente al del C del alcohol terminal
primario
• La casi totalidad de los
monosacáridos presentes
en la Naturaleza
pertenece a la serie D. Los
monosacáridos de la
serie L son los isómeros
especulares de sus
homónimos de la serie D.
La figura inferior muestra la estructura de la D-
eritrosa (una D-aldotetrosa) y la de su
enantiómero, la L-eritrosa (una L-aldotetrosa).
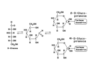
 EL C1 SE CONVIERTE EN NUEVO CENTRO DE ASIMETRIA
DANDO LUGAR A DOS ISOMEROS LLAMADOS ANOMEROS
EL a y B POR LO QUE SE LLAMA CARBONO ANOMERICO
MONOSACARIDOS ESTRUCTURA
FORMULA CICLICA
DX/A 34% . 66% PEQUEÑA PARTE
DE LA FORMA ALDEHIDICA LINEAL
Anomeros a y B
La estructura
anular de una
aldosa es un
hemiacetal=
aldehido y
grupo alcohol
 Isomeros que difieren como resultado de las variaciones
en la configuracion del OH y del H en los C 2,3,4
MONOSACARIDOS ESTRUCTURA
FORMULA CICLICA
Los epímeros más importantes de
la glucosa: manosa y galactosa por
C 2 y 4
EPIMEROS
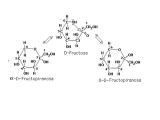
 La fructosa presenta la misma fórmula molecular que la
glucosa pero difiere en su fórmula estructural en la posicion
existe grupo cetopotencial el C anomérico de la fructosa y en
la 1 grupo aldehido potencial c anomérico de la glucosa
MONOSACARIDOS ESTRUCTURA
ISOMERISMO ALDOSACETOSAS
• Durante el metabolismo se queman para
producir energía, y liberan dióxido de carbono
(CO2) y agua (H2O). Los carbohidratos en la
dieta humana están sobre todo en forma de
almidones y diversos azúcares
SIMPLES
MONOSACARIDOS DE
IMPORTANCIA FISIOLOGICA
SE FORMAN COMO INTERMEDIARIOS METABOLICOS DE LA
GLUCOLIS Y POR LA VIA DE LAS PENTOSA FOSFATO
SEDOHEPTULOSA
Nucleotidos
AN
Coenzimas
• En la vía metabólica de degradación anaeróbica de la glucosa
(glucolisis) hay dos importantes intermediarios: el D-gliceraldehído
(aldotriosa) y la dihidroxiacetona (cetotriosa). Al igual que los
demás monosacáridos, estas dos triosas no aparecen como tales,
sino como sus ésteres fosfóricos.
TRIOSAS
AZUCAR FUENTE IMPORTANCIA BIOQUIMICA Y CLINICA
D.RIBOSA AN - INTERMEDIARIO MET Elememntos estructurales AN y coenzimas
eje--:ATP, NADP CO FLAVINAS
D-RIBULOSA INTERMEDIARIO METABOLIC VIA PENTOSA DE LOS FOSFATOS
D-ARABINOSA GOMA ARÁBICA CONSTITUYENTE GLUCOPROTEINAS
D-XILOSA GOMAS MADERA,
PROTEOGLUCANOS,
GLUCOSAMINOGLUCANO
CONSTITUYENTE DE LAS GLICOPROTEINAS
L.XILULOSA INTERMEDIARIO METABOLIC SE ELIMINA EN LA ORINA EN LA PENTOSURIA
ESENCIAL
LOS DESOXIAZUCARES TIENE UN ATOMO
DE OXIGENO MENOS
AZUCAR FUENTE IMPORTANCIA
BIOQUIMICA
IMPORTANCIA
CLINICA
D-GLUCOSA PRINCIPAL
COMBUSTIBLE PARA
LOS TEJIDOS
AZUCAR
SANGUINEA
DIABETES
HIPERGLICEMIA
D.FRUCTOSA ME4TAB FACIL YA
SEA POR VIA DE LA
GLUCOSA O DIREC
INTOLERANCIA
HIPOGLICEMIA
D-GALACTOSA INTOLERANCIA
CATARATAS
D-MANOSA
Completar cuadro de Bioquímima de Harper
• La D-glucosa es el monosacárido más abundante en la naturaleza. Se
encuentra como tal en el zumo de uva, en el suero sanguíneo y en el
medio extracelular. Forma parte de los polisacáridos, tanto de reserva
como estructurales, y constituye la base del metabolismo energético, ya
que todos los seres vivos son capaces de metabolizar la glucosa. En
nuestro organismo hay células (hematíes y neuronas), que sólo pueden
obtener energía a partir de la glucosa.
HEXOSAS
• La glicolisis es la principal ruta para el metabolismo de la
glucosa, y conduce a la producción del compuesto
intermediario acetil-CoA. Éste se oxida en el ciclo del ácido
cítrico, produciendo energía en forma de ATP. También es la vía
principal para el metabolismo de los otros azúcares simples de
la dieta, fructosa y galactosa. La capacidad de la ruta de la
glicolisis para funcionar con ausencia de oxígeno es de crucial
importancia fisiológica, ya que proporciona ATP y permite a los
músculos esqueléticos contraerse con extrema rapidez aun
cuando el aporte de oxígeno resulte insuficiente. Ciertos
tejidos, como el músculo esquelético, con una notable
capacidad glucolítica, pueden resistir la anoxia (falta de
oxígeno). Al contrario, el músculo cardiaco, con sus numerosas
mitocondrias y su abundante aporte de sangre, está adaptado a
una función aerobia. Tiene una capacidad glicolítica
relativamente pobre, por lo que resiste poco la anoxia.
• Oligosacaridos:
• CONDENSACION : G. HIDROXILO DE UN C
ANOMERICO O RESIDUO MONOSACARIDO Y
OTRO MONOSACARIDO O UNA AGLUCONA
HIDROXILO= E, O-GLUCOSIDICO=E.
ACETAL
AMINA= E. N-GLUCOSIDICO
METANOL, GLICEROL, ETEROL,
FENOL, O UNA BASE ADENINA
ACCION EN EL CORAZON (G. CARDIACOS) : DERIVADOS DE LA
DIGITAL Y DEL ESTROFANTO
OTROS A. ESTREPTOMICINA
• LAS HEXOSAMINAS SON COMPONENTES DE
GLUCOPROTEINAS GANGLIOSIDOS Y
GLUCOSAMINOGLUCANOS
D- GLUCOSAMINA: A. HIALURONICO
D-GALACTOSAMINA O CONDROSAMINA: ELEM CONDROITINA
D- MANOSAMINA
COMPUESTOS DE DOS RESIDUOS DE MONOSACARIDOS UNIDOS POR
ENLACES DE GLUCOSIDA
La caña de azúcar en América y la remolacha
azucarera en Europa, son las dos principales
fuentes de sacarosa.
ALMACENAMIENTO
ES UN HOMOPOLIMERO DE LA GLUCOSA QUE
FORMA UNA CADENA ALFA GLUCOSIDICA
DENOMINADA GLUCOSANO O GLUCANO
AMILOSA 13-20% ESTRUCTURA HELICOIDAL NO
RAMIFICADA
AMILOPECTINA 80-85% CADENAS
RAMIFICADA COMPUESTAS POR 24 A
30 RESIDUOS DE GLUCOSA
LA AMILOPECINA ES MAS RAMIFICADA CON
CADENAS DE 12 A 14 RESIDUOS DE
Adglucopiranosas con Ramificaciones mediante
enlaces a1 6 GLUCOSIDICOS
Otras fibras.
Pectinas - Ligninas - Resinas
Algas - Alginate - Carrageen - Raiz de Konjar -
Chitosan - Guar GUM
• Polisacáridos de reserva: La molécula proveedora
de energía para los seres vivos es la glucosa,
principalmente. Cuando esta no participa en el
metabolismo energético, es almacenada en forma
de un polisacárido que en las plantas se conoce con
el nombre de almidón, mientras que en los
animales se denomina glucógeno.
• Polisacáridos estructurales: Estos carbohidratos
participan en la formación de estructuras orgánicas,
entre los más importantes tenemos a la celulosa
que participa en la estructura de los tejidos de
sostén de los vegetales.
SEGÚN LA FUNCIÓN BIOLÓGICA, LOS
POLISACÁRIDOS SE CLASIFICAN EN DOS GRUPOS:
• Son los polisacaridos no almidonados o no
amilaceos
• Los lípidos son un extenso grupo de
biomoléculas cuya característica principal
es su insolubilidad en agua y solubilidad en
solventes orgánicos.
Aunque valga para definir una característica,
no vale esta afirmación para una definición
precisa de este grupo químico. Porque son
muchas las biomoléculas insolubles en agua
que no son lípidos (carbohidratos como la
quitina y la celulosa, o las escleroproteínas); y
hay lípidos, por el contrario, que interaccionan
fácilmente con el agua (gangliósidos).
• Unidos covalentemente con otras biomoléculas
como en el caso de los glicolípidos (presentes en
las membranas biológicas), las proteínas aciladas
(unidas a algún ácido graso) o las proteínas
preniladas (unidas a lípidos de tipo isoprenoide).
• También son numerosas las asociaciones no
covalentes de los lípidos con otras biomoléculas,
como en el caso de las lipoproteínas y de las
estructuras de membrana.
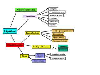
CLASIFICACION
SAPONIFICABLES INSAPONIFICABLES
Largas cadenas de
ácidos grasos
m. hidrocarbonadas
de 12-24 átomos de
carbono
No están
constituidos por
ácidos grasos
Acilgliceridos
Ceras
Fosfolipidos
Glucolipidos
Terpenos
Esteroides
SIMPLES COMPLEJOS
CLASIFICACION
SAPONIFICABLES
Acilgliceridos: son esteres de ácidos
grasos con glicerol.
 Monogliceridos: glicerol + 1
molécula de acido graso
 Digliceridos: glicerol + 2 moléculas
de acido graso.
 Trigliceridos: glicerol + 3 moléculas
de acido graso (+ abundantes):
Grasas (animales)
Aceites (vegetales).
LIPIDOS SIMPLES
ESTERES DE ACIDOS GRASOS CON
DIVERSOS ALCOHOLES
CLASIFICACION
SAPONIFICABLES
Ceras: son esteres de ácidos grasos
con una molécula de alcoho
MONOHIDRÍCO DE PESO
MOLECULRA ALTO .
 Son muy insolubles en agua.
 A temperatura ambiente son
sólidas.
CLASIFICACION
SAPONIFICABLES
Fosfolipidos: son esteres de ácidos grasos conALCOHOL (
glicerol o esfingosina) que presentan un grupo fosfato
(carácter anfipatico) o sea reciduo de aido fosfórico
adicinal a los acidos grasos y alcohol.
 Fosfogliceridos: acido graso + glicerol + fosfato
Es el principal constituyente de la bicapa lipidica
de la membrana citoplasmática de las células.
 Fosfoesfingolipidos: acido graso + esfingosina +
fosfato
Es el principal constituyente de las vainas de
mielina de los axones de las neuronas.
LIPIDOS COMPLEJOS
ESTERES DE ACIDOS GRASOS QUE
CONTIENEN GRUPOS ADICIONALES DE
ALCOHOL Y ACIDO GRASO
CLASIFICACION
SAPONIFICABLES
Son esteres de ácidos grasos y que presentan un
glucido o son lípidos con a. graso, esfingosina y CH
 Se localizan en las membranas citoplasmática
de las células nerviosas, donde actúan como
receptores.
 Cerebrosidos: acido graso + esfingosina +
monosacárido
 Gangliosidos: acido graso + esfingosina +
polisacárido
Glucolipidos o glucoesfingolipidos
CLASIFICACION
INSAPONIFICABLES
Terpenos:
 son lípidos derivados del isopreno (=metil
butadieno)
 Aceites esenciales, clorofila, vitaminas (A y E),
pigmentos (carotenoides),…
Esteroides:
 Son lípidos derivados del esterano
(=ciclopentanoperhidrofenantreno). 4 anillos
planos.
 Son moléculas anfipaticas.
 Colesterol, hormonas sexuales (andrógeno),
vitamina D,…
• SE PRESENTAN COMO:
ÉSTERES NO ESTERIFICADA
GRASAS Y ACEITES
NATURALES
A. GRASOS
LIBRES EN FORMA
QUE SE
TRANSPORTAN
EN EL PLASMA
Por lo general los ácidos grasos presentes en las grasas naturales consisten en
derivados de cadena lineal y contienen un numero par de átomos de carbono
La cadena puede estar
saturada o insaturada
Enlaces
dobles
Acidos grasos: designación
Nomenclatura sistemática: De acuerdo con los hidrocarburos que posee el mismo número
y disposición de los átomos de C , sustituyen la o final por la terminación OICO .
C1: carboxilico C23 y4 : C a, b y g y C metilo terminal : n u y w
Enlaces dobles: D9 (entre 9 y 10)
W9
A. Saturados :
 Anoico
 A. octanoico
A insaturados:
 Enoico
 A. octadecaenoico
Ácido butan-3-enoico
Ácido 3-metilbutanoico
Ácido 3-metilbutanoico
ácido 2-propilpentanoico
Ácido valproico
Ácido oleico cis-9-octadecenoico
Ácidos grasos: SATURADOS
Se visualizan tomando el acido acético(CH3-COOH) como el primer integrante de la serie
Se adiciona progresivamente CH2 entre la terminal CH3 y los grupos COOH
Ver cuadro acidos grasos saturados BH
ácido etanoico
Ácidos grasos: INSATURADOS
SE SUBDIVIDEN EN:
MONOINSATURADOS
POLIINSATURADOS
EICOSANOIDES
MONOETENOIDES
MONOENOICOS
1 ENLACE DOBLE
POLIETENOIDES
POLIENOICOS
20 MAS ENLACES DOBLES
Derivados de lo ag eicosa (20
C) polienoicos
Prostanoides leucotrienos LT:
prostaglandinasPG , prostaciclinas PGI y
tromboxanos TX
y lipoxinas LX
Ácidos grasos: INSATURADOS
EICOSANOIDES Derivados de lo ag eicosa (20
C) polienoicos
Prostanoides leucotrienos LT:
prostaglandinasPG , prostaciclinas PGI y
tromboxanos TX
y lipoxinas LX
Ácidos grasos: INSATURADOS
PROSTAGLANDINAS
HORMONAS LOCALES
FUNCIONES FISIOLOGICAS Y
FORMACOLOGICOAS
INVIVO SE SINTETIZAN POR
CICLIZACION DE LOS EICOSANOICOS
A. ARAQUIDONICO FORMANDO
ANILLO CICLOPENTANO
ANILLO CICLOPENTANO
ANILLO OXANO
Síntesis de las prostaglandinas y tromboxanos clínicamente relevantes a partir del ácido
araquidónico. Varios estímulos (e.g. epinefrina, trombina y bradicinina) activan a la fosfolipasa
A2 que hidroliza al ácido araquidónico en los fosfolípidos de membrana. Las prostaglandinas se
identifican como PG y los tromboxanos como TX. La prostaglandina PGI2 se llama también
prostaciclina. El sufijo 2 en cada molécula se refiere al numero de C=C que están presentes
Ácidos grasos: INSATURADOS
LEUCOTRIENOS Y
LIPOXINAS
FORMADO APARTIR DE LA VIA DE LA
LIPOOXIGENASA
CARACTERIZA 3 A 4 ENLACES DOBLES
CONJUGADOS RESPECTIVAMENTE
BRONCOCONSTRICCION
PROINFLAMATORIOS
Síntesis de las leucotrienos clínicamente relevantes a partir del ácido araquidónico. Varios
estímulos (e.g. epinefrina, trombina y bradicinina) activan a la fosfolipasa A2 que hidroliza al
ácido araquidónico en los fosfolípidos de membrana. Los leucotrienos se identifican como
LT. Los leucotrienos LTC4, LTD4, LTE4 y LTF4 se conocen como peptidoleucotrienos debido a la
presencia de aminoácidos. Los peptidoleucotrienos LTC4, LTD4 y LTE4 son componentes de la
sustancia lenta de anafilaxis. El sufijo 4 en cada molécula se refiere al numero de C=C que
están presentes.
Ácidos grasos: INSATURADOS
ENLACES DOBLES CIS
CALOR: enlaces rotan y acortan la
cadena o sea adelgazamiento de las
biomembranas
Los insaturados la isometria geométrica
depende de la orientación de los átomos o
grupos alrededor de los ejes de los enlaces
dobles lo que impide la rotación
Cuando las cadenas acilos
están en el mismo lado del
enlace(cis) o lados opuestos
(trans)
Casi todos los ag. insaturados de
cadena larga se presentan en la
naturaleza en la configuración cis
con las moléculas dobladas
120°en el enlace doble
Forma de L
Diversas configuraciones espaciales
Forma de U
Esto tiene una notable influencia en el
ordenamiento molecular en las
membranas así como la posición ocupada
por los ag. en moléculas más complejas
como los fosfolipidos
Ag. Trans se originan como
subproductos de la saturación
durante la hidrogenación o
solidificación de los aceites naturales
para fabricar margarinas.
Ingestión de grasa de rumiantes, en
la leche y sus derivados
Los enlaces dobles trans-
modifican estas
interrelaciones espaciales.
La margarina, aceites parcialmente hidrogenados, alimentos
procesados como masa para pizza, galletas, snaks, donas,
bizcochos, alfajores, pasteles, fritos envasados, algunos
cereales para el desayuno y helados
PROPIEDADES FISICAS Y FISIOLOGICAS
PUNTO DE FUSIÓN: aumenta con
longuitud y disminuye con
insaturación
Lipidos de membrana y lipidos de
almacenamiento
TRIACILGLICEROLES
• Son ésteres del alcohol glicerol y ácidos grasos
• Son la principal forma de almacenamiento de los ag.
• los monoacilgliceroles y diacilgliceroles en los que 1 o 2 ag. Se esterifican
con glicerol también se encuentran en los tejidos.
Los C1 Y C3 no son
idénticos las enzimas los
diferencias.
Glicerolcinasa fosforila el
glicerol en el C3 :
3fosfato de glicerol
Fosfolípidos
Pueden considerarse derivados del AF
el fosfato se esterifica con el –OH de un
alcohol adecuado
Principal constituyente lipídico de la
membrana
Es importante como intermediario
en la síntesis de triacilgliceroles y
fosfogliceroles no en gran cantidad
en los tejidos
A. Fosfatídico y sus derivados
A. Fosfatídico y sus derivados
3-fosfatidilserina 3-fosfatidiletanolamina 3-fosfatidilcolina- lecitinas
3-fosfatidil inositol
Difosfatidilgliceroles cardiolipina
Fosfolipidos:Fosfatidilcolinas
Mas abundantes de la
membrana celular
Reserva corporal de colina
Transmisión nerviosa almacén de
grupos metilo lábiles
Agente activo de superficie eficaz
surfactante evita adherencia
Acetilcolina dipalmitoil
Fosfolípidos:fosfatidilinositol
Precursor de segundos
mensajeros
Inositol: estereoisomero mioinositol
El Diacilglicerol (DAG) y el Inositol 1,4,5 Trifosfato (IP3) constituyen junto con el AMPc y
el Ca+2 2do mensajeros en las rutas de transducción de señales
Fosfolípidos: cardiolipina
Principal lípido de la
membrana de las
mitocondrias
Fosfolípidos:plasmalógenos
10% de los l. en encéfalo y
músculo
Enlace enter envez del éster en Csn1
3-fosfatidiletanolamina
Radical alquilo alcohol no saturado
radicales que proceden de los alcanos
Fosfolípidos:esfingomielinas
Grandes cantidades
encefalo y tej nervioso
Al HIDROLIZARSE: ag. A
fosforico colina y
alcohol aminado
complejo (esfingosina)
glucoesfingolipidos
Glucolípidos- glucoesfingolipidos
Ampliamente distribuidos
en todos los tej corporales
(encefalo)
sulfogalactosilceramida
Se presenta en
grandes cantidades
en la mielina
Fosfolípidos:gangliósidos
Grandes cantidades tej
nervioso. Fusiones
receptoras
Complejos derivados
de glucosilceramida
(molec. A. siálico)
glucoesfingolipidos
Acido neurámico NeuAc
ESTEROIDES: COLESTEROL
PRECURSOR DE ESTEROIDES
Poseen nucleo cíclico
semejante fenantreno
ABC enlazado anillo
ciclopentano D
Núcleo esteroide
Si posee 1 o mas grupos hidroxilo y
no carbonilo o carboxilo es esterol
denominación termina en -ol
Conformacion de los
estereoisómeros
ESTEROIDES: COLESTEROL
Distribuido en todas las células
en particular s. nervioso
Membrana y lipoproteinas
plasmáticasCon frecuencia se presenta como éster del
colesterilo. Grupo hidroxilo de la posición 3
se esterifica con acido graso de cadena larga
ESTEROIDES: ergosterol
Precursor de la vit D
VEGETALES Y LEVADURAS
Irradiado con la luz ultravioleta adquiere
propiedades antirraquiticas apertura del
anillo B
POLIPRENOIDES
COMPARTE EL PRECURSOR DE
COLESTEROL SIN SER ESTEROIDE
A partir del isopreno
Ubiquinona: cadena
respiratoria de las
mitocondrias
Dolicol: sintesis
glucoproteinica Isoprenoides vegetales: hule,
alcanfor, vit liposolubles
A,D,E,K y b-caroteno (provit A)
Peroxidación lipídica
Deterioro de los alimentos y del
daño de los tej in vivo por
radicales libres (ROO, RO, OH)
Ca, enf. Inflamatorias,
aterosclerosis, envejecimineto
RL: Producido durante la
formación de peroxido a partir
de los ag.poliinsaturados Con
enlaces dobles interrumpidos
por metileno
Es una reacción en cadena que
proporciona suministro
continuo de RL los que inician
la peroxidacion subsecuente.
• Triglicéridos (grasas y aceites):
• Glicerol
• Ácidos grasos:
• · Saturados (AGS)
• Monoinsaturados (AGM)
• Poliinsaturados (AGP):
• AGP omega-3 (n-3)
• AGP omega-6 (n-6)
• Fosfolípidos (ej. Lecitina)
• Esteroles (ej. Colesterol)
• Se recomienda que el aporte calórico de la
ingesta total de grasa no supere el 30-35% de
la energía total consumida, que el de AGS,
AGP y AGM sea <10%, <7% y >13% de la
energía total, respectivamente
• Los lípidos se almacenan en triglicéridos que están formador por
glicerol y ácidos grasos.
• Otra función importante de los lípidos esta en la formación de
membranas biológicas, que pueden ser de dos tipos:
• membrana de Fosfolipidos
• membrana de esfingolipidos
• Los esfingolipidos son importantes en la formación de la membrana
de las células nerviosas (neuronas y glia) así como las envolturas de
mielina que regulan los axones.
• En el caso de la membrana plasmática de las células, los lípidos se
disponen formando una bicapa con las cabezas polares (hidrofilicas)
dirigidas al medio acuoso y con las colas (hidrófobas) de ácidos grasos
enfrentadas entre si.
• Los fosfolipidos y los esfingolipidos forman parte de las membranas
celulares animales y vegetales debido a su carácter anfipatico.
• Como lípido antipático, es un componente
estructural de membranas de la capa
exterior de lipoproteínas plasmáticas.
Además, las lipoproteínas transportan en la
circulación colesterol libre, donde
fácilmente se equilibra con el de otras
lipoproteínas y de las membranas.
• El éster de colesterilo es una forma de
almacenamiento de colesterol que se
encuentra en la mayor parte de los tejidos. Es
trasportado como cargamento en el centro
hidrófobo de las lipoproteínas. La LDL es
mediadora de la captación del colesterol y del
éster de colesterilo en muchos tejidos.
• El colesterol libre es removido de los tejidos
por las HDL y transportado al hígado para su
conversión en ácidos biliares en el proceso
conocido como trasporte inverso del
colesterol.
• Es un importante constituyente de los
cálculos biliares.
• Sin embargo, su principal función en los
procesos patológicos es como factor de la
génesis de la aterosclerosis de arterias
vitales, causando enfermedad
cerebrovascular, coronaria vascular
periférica. La aterosclerosis coronaria se
correlaciona con una alta proporción
plasmática LDL: HDL colesterol.
• El aumento de colesterol en sangre
aumenta la frecuencia de infarto de
miocardio, e infarto cerebral, que
disminuyen al disminuir el colesterol
sanguíneo. En concreto la responsable es la
fracción del colesterol de baja densidad
(LDL).
• El colesterol que se absorbe en el intestino proviene de
la dieta por un lado, y de la fabricación hepática y
transformación en ácidos biliares, por otro. Pasa a la
sangre en forma de partículas junto con fosfolípidos y
distintas proteínas, distinguiéndose partículas de
distintas densidades. Estas partículas transportan el
colesterol hasta los tejidos. La LDL es la principal
partícula que descarga el colesterol en las paredes de
las arterias, contribuyendo a la formación de las placas
de ateroma. La partícula de alta densidad o HDL, por el
contrario, transporta el colesterol desde los tejidos al
hígado, con un importante efecto protector de
aterosclerosis.. El colesterol alto multiplica el riesgo de
problemas cardiovasculares si se asocia a hipertensión,
tabaco, diabetes mellitus, obesidad, edad avanzada o
antecedentes familiares cardovasculares.
• Hipolipidemias.
• La disminución de lípidos en sangre suele
estar asociada a otras enfermedades como
el hipotiroidismo, la malnutrición,
malabsorción gastrointestinal o anemia, o
encontrase en el rango bajo de la
normalidad; no teniendo significación
clínica por sí misma.
• Otros trastornos raros del metabolismo de
los lípidos son la xantomatosis
cerebrotendinosa y la sitosterolemia.
• En la hipobetalipoproteinemia la LDL está
disminuida, no hay clínica; en la
abetalipoproteinemia o síndrome de
Bassen-Korzweig o acantocitosis, hay
retraso mental y heces grasas entre otros; y
en la enfermedad de Tangier o
analfalipoproteinemia hay descenso de
HDL, polineuropatía y depósitos de
colesterol en hígado y bazo
• ¿Qué son las enfermedades por almacenamiento
de lípidos?
• Las enfermedades por almacenamiento de lípidos,
o lipidosis, son un grupo de trastornos metabólicos
heredados en los cuales cantidades perjudiciales de
materiales grasos llamados lípidos se acumulan en
algunas de las células y tejidos del cuerpo. Las
personas con estos trastornos no producen
suficiente de una de las enzimas necesarias para
metabolizar los lípidos o producen enzimas que no
funcionan adecuadamente. Con el tiempo, este
almacenamiento excesivo de grasas puede causar
daño tisular y celular permanente, particularmente
en el cerebro, el sistema nervioso periférico, el
hígado, el bazo y la médula ósea.
• La enfermedad de Gaucher es la más común. Está causada por
una deficiencia de la enzima glucocerebrosidasa. Los síntomas
pueden ser agrandamiento del bazo y el hígado, disfunción
hepática, trastornos esqueléticos y lesiones óseas que pueden
causar dolor, complicaciones neurológicas graves, inflamación
de los ganglios linfáticos y (ocasionalmente) las articulaciones
adyacentes, abdomen distendido, una coloración pardusca en la
piel, anemia, bajo recuento plaquetario, y manchas
amarillentas en los ojos.
• La enfermedad de Niemann-Pick es
realmente un grupo de trastornos
recesivos autosómicos causados por
una acumulación de grasas y
colesterol en las células del hígado, el
bazo, la médula ósea, los pulmones y
en algunos pacientes, el cerebro. Las
complicaciones neurológicas pueden
incluir la ataxia, parálisis ocular,
degeneración cerebral, problemas de
aprendizaje, espasticidad, dificultades
para alimentarse y tragar, habla
incoherente, pérdida de tono
muscular, hipersensibilidad al tacto, y
nubosidad corneal. Un halo rojo-
cereza característico se desarrolla
alrededor del centro de la retina en el
50 por ciento de los pacientes.
• La enfermedad de Fabry, también conocida
como deficiencia de la alfa-galactosidasa-A,
causa una acumulación de material graso en el
sistema nervioso autónomo, los ojos, los
riñones, y el sistema cardiovascular. La
enfermedad de Fabry es la única enfermedad
por almacenamiento de lípidos ligado a X.
• La enfermedad de Farber, también conocida como
lipogranulomatosis de Farber o deficiencia de la
ceramidasa, describe aun grupo de trastornos
recesivos autosómicos raros que causan una
acumulación de material graso en las articulaciones,
los tejidos y el sistema nervioso central. El trastorno
afecta tanto a hombres como a mujeres.
• La enfermedad de Wolman, también conocida como deficiencia de la
lipasa ácida, es una grave enfermedad por almacenamiento de lípidos
que generalmente es fatal al año de vida. Este trastorno recesivo
autosómico está caracterizado por la acumulación de ésteres de
colesteril (normalmente una forma de transporte del colesterol) y
triglicéridos (una forma química en la cual existen grasas en el cuerpo)
que pueden acumularse significativamente y causar daño en las
células y los tejidos. Ambos sexos son afectados por este grave
trastorno. Los bebés son normales y activos en el nacimiento pero
rápidamente desarrollan deterioro mental progresivo, agrandamiento
del hígado y gran agrandamiento del bazo, abdomen distendido,
problemas gastrointestinales que incluyen esteatorrea (cantidades
excesivas de grasas en las heces), ictericia, anemia, vómitos, y
depósitos de calcio en las glándulas suprarrenales, haciendo que se
endurezcan.
¿´’p0´0¿piuoh

Lipidos y carbohidratos

  • 1.
    UNIDAD DOS CARBOHIDRATOS YLIPIDOS DE IMPORTANCIA FISIOLOGICA
  • 2.
    Unidad II: CARBOHIDRATOSY LÍPIDOS DE IMPORTANCIA BIOLÓGICA Temas: • Clasificación de los carbohidratos y lípidos • Estructura y función biológica de los carbohidratos y lípidos en el organismo • La glucosa: Importancia desde el punto de vista biomédico • Polisacáridos de origen animal y vegetal • Importancia biomédica del colesterol • Enfermedades producidas por alteraciones estructurales de carbohidratos y lípidos
  • 4.
    Por la complejidadde sus moléculas
  • 6.
    GLUCIDOS, HC, SACARIDOS Los glúcidos son la fuente de energía principal que utilizan los seres vivos para realizar sus funciones vitales.(función metabólica)  También existen glúcidos con funciones estructurales (ej. Celulosa, quitina).  Están compuestos por átomos de C, H, O, unidos mediante enlaces covalentes, en las proporciones 6:12:6 (al romperse estos enlaces se genera mucha energía). BIOMOLÉCULAS ORGÁNICAS Nombre de origen griego que significa dulce, lo cual representa una propiedad de muchos de estos compuestos formados por largas cadenas de carbono, a las cuales se le suman átomos de hidrógeno y oxigeno. Los glúcidos mas básicos son los monosacáridos FORMULA: (CH2O)n Esta formula, al desarrollarse da monómeros, los que se unen para dar formas mas complejas como son los polímeros
  • 7.
    GLUCIDOS, HC, SACARIDOS pueden estar unidos covalentemente a otro tipo de moléculas, formando glicolípidos, glicoproteínas (cuando el componente proteico es mayoritario), proteoglicanos (cuando el componente glicídico es mayoritario) y peptidoglicanos (en la pared bacteriana). BIOMOLÉCULAS ORGÁNICAS
  • 8.
     Representan enel organismo el combustible de uso inmediato. La combustión de 1g de HC produce unas 4 Kcal. Alto grado de reducción suficiente como para ser buenos combustibles, y sus funciones oxigenadas (carbonilos y alcoholes) permiten que interaccionen con el agua más fácilmente que otras moléculas combustible como pueden ser las grasas. Por este motivo se utilizan las grasas como fuente energética de uso diferido y los HC como combustibles de uso inmediato  La degradación de los HC puede tener lugar en condiciones anaerobias (fermentación) o aerobias (respiración). FUNCIÓN ENERGÉTICA
  • 10.
    • Los HCpueden unirse a lípidos o a proteínas de la superficie de la célula, y representan una señal de reconocimiento en superficie. Tanto las glicoproteínas como los glicolípidos de la superficie externa celular sirven como señales de reconocimiento para hormonas, anticuerpos, bacterias, virus u otras células. Los HC son también los responsables antigénicos de los grupos sanguíneos. FUNCIÓN INFORMATIVA
  • 11.
    • En muchoscasos las proteínas se unen a una o varias cadenas de oligosacáridos, que desempeñan varias funciones: • ayudan a su plegamiento correcto • sirven como marcador para dirigirlas a su destino dentro de la célula o para ser secretada • evitan que la proteína sea digerida por proteasas • aportan numerosas cargas negativas que aumentan la solubilidad de las proteínas, ya que la repulsión entre cargas evita su agregación. FUNCIÓN INFORMATIVA
  • 12.
    • Eliminar compuestostóxicos que son muy poco solubles en agua, y que tienden a acumularse en tejidos con un alto contenido lipídico como el cerebro o el tejido adiposo • compuestos que se producen en ciertas rutas metabólicas, que hay que eliminar o neutralizar de la forma más rápida posible (bilirrubina, hormonas esteroideas, etc.) • compuestos producidos por otros organismos (los llamados metabolitos secundarios: toxinas vegetales, antibióticos, etc.) • compuestos de procedencia externa (xenobióticos: fármacos, drogas, insecticidas, pesticidas, aditivos alimentarios, etc.) FUNCIÓN DE DETOXIFICACIÓN conjugarlos con un derivado de la glucosa: el ácido glucurónico PARA HACERLOS MAS SOLUBLES
  • 13.
    FUNCIÓN DE REGULACIÓN Regulanlas funciones intestinales (fibra alimentaria). La fibra alimentaria juega un papel importante en la regulación de la función intestinal con los consiguientes efectos beneficiosos para la salud ya que: · Favorece el tránsito intestinal al absorber agua · Aumenta el volumen de heces y las ablanda · Disminuye la absorción de ciertas sustancias (como colesterol) · Aumenta la sensación de saciedad · Retarda el vaciado del estómago (fibra soluble) · Disminuyen el pico de glucemia (niveles de glucosa en sangre) tras las comidas en diabéticos · Disminuye el riesgo de cáncer de colon y enfermedades cardiovasculares.
  • 14.
    ALDOSAS Incapaces de hidrolizarseen CH más simples Heptosas Alcoholes polihídricos La sustitución de grupos funcionales aldeidos, cetona o alcohol por otros como amino o carboxilo Alcohol reacciona con un ácido (foforico): ribosa 5P; glucosa 6P
  • 15.
    ALDOSAS Incapaces de hidrolizarseen CH más simples Heptosas Alcoholes polihídricos La sustitución de grupos funcionales aldeidos, cetona o alcohol por otros como amino o carboxilo Alcohol reacciona con un ácido (foforico): ribosa 5P; glucosa 6P
  • 18.
    # de CNombre Fórmula Aldosas Cetosas 3 Triosa C3H6O3 Glicerosa o gliceraldehido Dihidroxiacetona 4 Tetrosa C4H8O4 Eritrosa Eritrulosa 5 Pentosa C5H10O5 Ribosa Ribulosa 6 Hexosa C6H12O6 Glucosa galactosa manosa Fructosa 7 Heptosa C7H14O7 Sedoheptulosa 9 Nanosa C9H18O9 Acido neuramínico o a. siálico MONOSACARIDOS SEGÚN EL NÚMERO DE CARBONOS
  • 19.
  • 22.
  • 23.
  • 25.
  • 26.
  • 27.
  • 35.
    Condensación de másde 10 monosacaridos O glicanos (C6(H2O)5)n insulina quitina
  • 36.
    Condensación de másde 10 monosacaridos O glicanos (C6(H2O)5)n insulina quitina
  • 37.
    Estructura de loscarbohidratos y lípidos en el organismo
  • 38.
    Los CH sonderivados aldehidicos o cetónicos de los alcoholes polihídricos O asimétricos
  • 39.
    • El estudiode la estructura y las propiedades físico-químicas de los carbohidratos toma muy en cuenta los monosacaridos
  • 40.
    SIMPLES  El grupocarbonilo puede ser aldehido o cetona (depende de la posición)  ALDEHIDO: carbono primario : aldosas  CETONA: carbono secundario: cetosas  Los monosacáridos son la principal fuente de energía para el metabolismo  Solubles en agua y en soluciones acuosas MONOSACARIDOS Azucares simples constituidos por una sola cadena Grupo carbonilo y una cadena carbonada polihidroxilada en su nombre incluyen la terminación osa
  • 41.
     Los monosacáridosson la principal fuente de energía para el metabolismo MONOSACARIDOS
  • 42.
     Solubles enagua y en soluciones acuosas MONOSACARIDOS
  • 43.
     La polaridadde los enlaces determina su interacción MONOSACARIDOS
  • 44.
  • 45.
  • 47.
    Fórmula desarrollada  La informacióninicial química se dá primero como C6(H2O)6 osea 6 carbonos hidratados de ahí el nombre de carbohidratados  Luego se comprueba que no son C hidratados la fórmula se represento como C6(H2O)6 MONOSACARIDOS ESTRUCTURA Mas adelante se comprobó que se trataba de una molécula lineal con diferentes funciones químicas Más simple MOLECULA DE CADENA RECTA 1 CHO ALDEHIDO 2 CHOH 3 CHOH ALCOLES 4 CHOH SECUNDARIOS 5 CHOH 6 CHOH 1 ALCOHOL PRIMARIO FORMULA LINEAL ALDOHEXOSA
  • 48.
    MONOSACARIDOS ESTRUCTURA HAWORTH REPRESENTOESTA ESTRUCTURA EN PERSPECTIVA CON LOS GRUPOS H Y OH COLOCADOS CONVENCIONALMENTE ARRIBA O ABAJO DEL PLANO DEL ANILLO  TERMODINAMICAMENTE FAVORECIDO E INFLUYE EN OTRAS PROPIEDADES DIFERENTES A LAS DE ESTRUCTURA EN CADENA RECTA FORMULA CICLICA HEMIACETATO
  • 49.
    MONOSACARIDOS ESTRUCTURA LOS DE6 ANILLO CONTIENEN UN ÁTOMO DE OXÍGENO QUE ESTÁN DE HECHO EN FORMA DE UNA SILLA
  • 50.
    ESTRUCTURA CÍCLICA MONOSACARIDOS ESTRUCTURA REACCION ENTREEL GRUPO ALDEHIDO (CARBONULO DEL C1)Y EL GRUPO HIDROXILO (ALCOHOL DEL C5) Estructuras cíclicas PIRANOSAS Y FURANOSAS Las estructuras anulares estables de los monosacaridos son similares a la estructura anulares del pirano o furano Anillo de 6 elementos ESTRUCTURA SIMILAR AL DEL PIRANO
  • 52.
    ESTRUCTURA CÍCLICA O ANILLO  SEFORMA UN PUENTE DE O ENTRE LOS CARBONOS 2 Y 5 SEMEJANDOSE AL FURANO OSEA ES UNA AZUCAR DE TIPO FURANOSA MONOSACARIDOS ESTRUCTURA REACCION ENTRE EL GRUPO ACETONICO (CARBONILO DEL C2)Y EL GRUPO HIDROXILO (ALCOHOL DEL C5) FORMULA CICLICA Anillo de 5 elementos
  • 54.
  • 55.
    Esta determinada porsu relación espacial con el compuesto progenitor de la familia de los CH , el azúcar de 3 C glicerosa La presencia de C asimétricos confieren actividad óptica Lo que le permite rotar hacia la derecha o izquierda Dextrorrotatorio levorrotatorio Los azúcares presentan variantes isoméricas: Carbono asimétrico
  • 56.
    La orientación seda en el carbono adyacente al del C del alcohol terminal primario
  • 57.
    • La casitotalidad de los monosacáridos presentes en la Naturaleza pertenece a la serie D. Los monosacáridos de la serie L son los isómeros especulares de sus homónimos de la serie D. La figura inferior muestra la estructura de la D- eritrosa (una D-aldotetrosa) y la de su enantiómero, la L-eritrosa (una L-aldotetrosa).
  • 59.
     EL C1SE CONVIERTE EN NUEVO CENTRO DE ASIMETRIA DANDO LUGAR A DOS ISOMEROS LLAMADOS ANOMEROS EL a y B POR LO QUE SE LLAMA CARBONO ANOMERICO MONOSACARIDOS ESTRUCTURA FORMULA CICLICA DX/A 34% . 66% PEQUEÑA PARTE DE LA FORMA ALDEHIDICA LINEAL Anomeros a y B La estructura anular de una aldosa es un hemiacetal= aldehido y grupo alcohol
  • 60.
     Isomeros quedifieren como resultado de las variaciones en la configuracion del OH y del H en los C 2,3,4 MONOSACARIDOS ESTRUCTURA FORMULA CICLICA Los epímeros más importantes de la glucosa: manosa y galactosa por C 2 y 4 EPIMEROS
  • 62.
     La fructosapresenta la misma fórmula molecular que la glucosa pero difiere en su fórmula estructural en la posicion existe grupo cetopotencial el C anomérico de la fructosa y en la 1 grupo aldehido potencial c anomérico de la glucosa MONOSACARIDOS ESTRUCTURA ISOMERISMO ALDOSACETOSAS
  • 64.
    • Durante elmetabolismo se queman para producir energía, y liberan dióxido de carbono (CO2) y agua (H2O). Los carbohidratos en la dieta humana están sobre todo en forma de almidones y diversos azúcares
  • 66.
    SIMPLES MONOSACARIDOS DE IMPORTANCIA FISIOLOGICA SEFORMAN COMO INTERMEDIARIOS METABOLICOS DE LA GLUCOLIS Y POR LA VIA DE LAS PENTOSA FOSFATO SEDOHEPTULOSA Nucleotidos AN Coenzimas
  • 67.
    • En lavía metabólica de degradación anaeróbica de la glucosa (glucolisis) hay dos importantes intermediarios: el D-gliceraldehído (aldotriosa) y la dihidroxiacetona (cetotriosa). Al igual que los demás monosacáridos, estas dos triosas no aparecen como tales, sino como sus ésteres fosfóricos. TRIOSAS
  • 68.
    AZUCAR FUENTE IMPORTANCIABIOQUIMICA Y CLINICA D.RIBOSA AN - INTERMEDIARIO MET Elememntos estructurales AN y coenzimas eje--:ATP, NADP CO FLAVINAS D-RIBULOSA INTERMEDIARIO METABOLIC VIA PENTOSA DE LOS FOSFATOS D-ARABINOSA GOMA ARÁBICA CONSTITUYENTE GLUCOPROTEINAS D-XILOSA GOMAS MADERA, PROTEOGLUCANOS, GLUCOSAMINOGLUCANO CONSTITUYENTE DE LAS GLICOPROTEINAS L.XILULOSA INTERMEDIARIO METABOLIC SE ELIMINA EN LA ORINA EN LA PENTOSURIA ESENCIAL
  • 69.
    LOS DESOXIAZUCARES TIENEUN ATOMO DE OXIGENO MENOS
  • 70.
    AZUCAR FUENTE IMPORTANCIA BIOQUIMICA IMPORTANCIA CLINICA D-GLUCOSAPRINCIPAL COMBUSTIBLE PARA LOS TEJIDOS AZUCAR SANGUINEA DIABETES HIPERGLICEMIA D.FRUCTOSA ME4TAB FACIL YA SEA POR VIA DE LA GLUCOSA O DIREC INTOLERANCIA HIPOGLICEMIA D-GALACTOSA INTOLERANCIA CATARATAS D-MANOSA Completar cuadro de Bioquímima de Harper
  • 72.
    • La D-glucosaes el monosacárido más abundante en la naturaleza. Se encuentra como tal en el zumo de uva, en el suero sanguíneo y en el medio extracelular. Forma parte de los polisacáridos, tanto de reserva como estructurales, y constituye la base del metabolismo energético, ya que todos los seres vivos son capaces de metabolizar la glucosa. En nuestro organismo hay células (hematíes y neuronas), que sólo pueden obtener energía a partir de la glucosa. HEXOSAS
  • 76.
    • La glicolisises la principal ruta para el metabolismo de la glucosa, y conduce a la producción del compuesto intermediario acetil-CoA. Éste se oxida en el ciclo del ácido cítrico, produciendo energía en forma de ATP. También es la vía principal para el metabolismo de los otros azúcares simples de la dieta, fructosa y galactosa. La capacidad de la ruta de la glicolisis para funcionar con ausencia de oxígeno es de crucial importancia fisiológica, ya que proporciona ATP y permite a los músculos esqueléticos contraerse con extrema rapidez aun cuando el aporte de oxígeno resulte insuficiente. Ciertos tejidos, como el músculo esquelético, con una notable capacidad glucolítica, pueden resistir la anoxia (falta de oxígeno). Al contrario, el músculo cardiaco, con sus numerosas mitocondrias y su abundante aporte de sangre, está adaptado a una función aerobia. Tiene una capacidad glicolítica relativamente pobre, por lo que resiste poco la anoxia.
  • 83.
  • 84.
    • CONDENSACION :G. HIDROXILO DE UN C ANOMERICO O RESIDUO MONOSACARIDO Y OTRO MONOSACARIDO O UNA AGLUCONA HIDROXILO= E, O-GLUCOSIDICO=E. ACETAL AMINA= E. N-GLUCOSIDICO METANOL, GLICEROL, ETEROL, FENOL, O UNA BASE ADENINA ACCION EN EL CORAZON (G. CARDIACOS) : DERIVADOS DE LA DIGITAL Y DEL ESTROFANTO OTROS A. ESTREPTOMICINA
  • 85.
    • LAS HEXOSAMINASSON COMPONENTES DE GLUCOPROTEINAS GANGLIOSIDOS Y GLUCOSAMINOGLUCANOS D- GLUCOSAMINA: A. HIALURONICO D-GALACTOSAMINA O CONDROSAMINA: ELEM CONDROITINA D- MANOSAMINA
  • 87.
    COMPUESTOS DE DOSRESIDUOS DE MONOSACARIDOS UNIDOS POR ENLACES DE GLUCOSIDA
  • 88.
    La caña deazúcar en América y la remolacha azucarera en Europa, son las dos principales fuentes de sacarosa.
  • 95.
  • 97.
    ES UN HOMOPOLIMERODE LA GLUCOSA QUE FORMA UNA CADENA ALFA GLUCOSIDICA DENOMINADA GLUCOSANO O GLUCANO
  • 99.
    AMILOSA 13-20% ESTRUCTURAHELICOIDAL NO RAMIFICADA AMILOPECTINA 80-85% CADENAS RAMIFICADA COMPUESTAS POR 24 A 30 RESIDUOS DE GLUCOSA
  • 101.
    LA AMILOPECINA ESMAS RAMIFICADA CON CADENAS DE 12 A 14 RESIDUOS DE Adglucopiranosas con Ramificaciones mediante enlaces a1 6 GLUCOSIDICOS
  • 108.
    Otras fibras. Pectinas -Ligninas - Resinas Algas - Alginate - Carrageen - Raiz de Konjar - Chitosan - Guar GUM
  • 124.
    • Polisacáridos dereserva: La molécula proveedora de energía para los seres vivos es la glucosa, principalmente. Cuando esta no participa en el metabolismo energético, es almacenada en forma de un polisacárido que en las plantas se conoce con el nombre de almidón, mientras que en los animales se denomina glucógeno. • Polisacáridos estructurales: Estos carbohidratos participan en la formación de estructuras orgánicas, entre los más importantes tenemos a la celulosa que participa en la estructura de los tejidos de sostén de los vegetales. SEGÚN LA FUNCIÓN BIOLÓGICA, LOS POLISACÁRIDOS SE CLASIFICAN EN DOS GRUPOS:
  • 128.
    • Son lospolisacaridos no almidonados o no amilaceos
  • 140.
    • Los lípidosson un extenso grupo de biomoléculas cuya característica principal es su insolubilidad en agua y solubilidad en solventes orgánicos. Aunque valga para definir una característica, no vale esta afirmación para una definición precisa de este grupo químico. Porque son muchas las biomoléculas insolubles en agua que no son lípidos (carbohidratos como la quitina y la celulosa, o las escleroproteínas); y hay lípidos, por el contrario, que interaccionan fácilmente con el agua (gangliósidos).
  • 141.
    • Unidos covalentementecon otras biomoléculas como en el caso de los glicolípidos (presentes en las membranas biológicas), las proteínas aciladas (unidas a algún ácido graso) o las proteínas preniladas (unidas a lípidos de tipo isoprenoide). • También son numerosas las asociaciones no covalentes de los lípidos con otras biomoléculas, como en el caso de las lipoproteínas y de las estructuras de membrana.
  • 153.
    CLASIFICACION SAPONIFICABLES INSAPONIFICABLES Largas cadenasde ácidos grasos m. hidrocarbonadas de 12-24 átomos de carbono No están constituidos por ácidos grasos Acilgliceridos Ceras Fosfolipidos Glucolipidos Terpenos Esteroides SIMPLES COMPLEJOS
  • 154.
    CLASIFICACION SAPONIFICABLES Acilgliceridos: son esteresde ácidos grasos con glicerol.  Monogliceridos: glicerol + 1 molécula de acido graso  Digliceridos: glicerol + 2 moléculas de acido graso.  Trigliceridos: glicerol + 3 moléculas de acido graso (+ abundantes): Grasas (animales) Aceites (vegetales). LIPIDOS SIMPLES ESTERES DE ACIDOS GRASOS CON DIVERSOS ALCOHOLES
  • 155.
    CLASIFICACION SAPONIFICABLES Ceras: son esteresde ácidos grasos con una molécula de alcoho MONOHIDRÍCO DE PESO MOLECULRA ALTO .  Son muy insolubles en agua.  A temperatura ambiente son sólidas.
  • 156.
    CLASIFICACION SAPONIFICABLES Fosfolipidos: son esteresde ácidos grasos conALCOHOL ( glicerol o esfingosina) que presentan un grupo fosfato (carácter anfipatico) o sea reciduo de aido fosfórico adicinal a los acidos grasos y alcohol.  Fosfogliceridos: acido graso + glicerol + fosfato Es el principal constituyente de la bicapa lipidica de la membrana citoplasmática de las células.  Fosfoesfingolipidos: acido graso + esfingosina + fosfato Es el principal constituyente de las vainas de mielina de los axones de las neuronas. LIPIDOS COMPLEJOS ESTERES DE ACIDOS GRASOS QUE CONTIENEN GRUPOS ADICIONALES DE ALCOHOL Y ACIDO GRASO
  • 157.
    CLASIFICACION SAPONIFICABLES Son esteres deácidos grasos y que presentan un glucido o son lípidos con a. graso, esfingosina y CH  Se localizan en las membranas citoplasmática de las células nerviosas, donde actúan como receptores.  Cerebrosidos: acido graso + esfingosina + monosacárido  Gangliosidos: acido graso + esfingosina + polisacárido Glucolipidos o glucoesfingolipidos
  • 158.
    CLASIFICACION INSAPONIFICABLES Terpenos:  son lípidosderivados del isopreno (=metil butadieno)  Aceites esenciales, clorofila, vitaminas (A y E), pigmentos (carotenoides),… Esteroides:  Son lípidos derivados del esterano (=ciclopentanoperhidrofenantreno). 4 anillos planos.  Son moléculas anfipaticas.  Colesterol, hormonas sexuales (andrógeno), vitamina D,…
  • 160.
    • SE PRESENTANCOMO: ÉSTERES NO ESTERIFICADA GRASAS Y ACEITES NATURALES A. GRASOS LIBRES EN FORMA QUE SE TRANSPORTAN EN EL PLASMA Por lo general los ácidos grasos presentes en las grasas naturales consisten en derivados de cadena lineal y contienen un numero par de átomos de carbono La cadena puede estar saturada o insaturada Enlaces dobles
  • 161.
    Acidos grasos: designación Nomenclaturasistemática: De acuerdo con los hidrocarburos que posee el mismo número y disposición de los átomos de C , sustituyen la o final por la terminación OICO . C1: carboxilico C23 y4 : C a, b y g y C metilo terminal : n u y w Enlaces dobles: D9 (entre 9 y 10) W9 A. Saturados :  Anoico  A. octanoico A insaturados:  Enoico  A. octadecaenoico Ácido butan-3-enoico Ácido 3-metilbutanoico Ácido 3-metilbutanoico ácido 2-propilpentanoico Ácido valproico Ácido oleico cis-9-octadecenoico
  • 163.
    Ácidos grasos: SATURADOS Sevisualizan tomando el acido acético(CH3-COOH) como el primer integrante de la serie Se adiciona progresivamente CH2 entre la terminal CH3 y los grupos COOH Ver cuadro acidos grasos saturados BH ácido etanoico
  • 164.
    Ácidos grasos: INSATURADOS SESUBDIVIDEN EN: MONOINSATURADOS POLIINSATURADOS EICOSANOIDES MONOETENOIDES MONOENOICOS 1 ENLACE DOBLE POLIETENOIDES POLIENOICOS 20 MAS ENLACES DOBLES Derivados de lo ag eicosa (20 C) polienoicos Prostanoides leucotrienos LT: prostaglandinasPG , prostaciclinas PGI y tromboxanos TX y lipoxinas LX
  • 165.
    Ácidos grasos: INSATURADOS EICOSANOIDESDerivados de lo ag eicosa (20 C) polienoicos Prostanoides leucotrienos LT: prostaglandinasPG , prostaciclinas PGI y tromboxanos TX y lipoxinas LX
  • 166.
    Ácidos grasos: INSATURADOS PROSTAGLANDINAS HORMONASLOCALES FUNCIONES FISIOLOGICAS Y FORMACOLOGICOAS INVIVO SE SINTETIZAN POR CICLIZACION DE LOS EICOSANOICOS A. ARAQUIDONICO FORMANDO ANILLO CICLOPENTANO ANILLO CICLOPENTANO ANILLO OXANO
  • 167.
    Síntesis de lasprostaglandinas y tromboxanos clínicamente relevantes a partir del ácido araquidónico. Varios estímulos (e.g. epinefrina, trombina y bradicinina) activan a la fosfolipasa A2 que hidroliza al ácido araquidónico en los fosfolípidos de membrana. Las prostaglandinas se identifican como PG y los tromboxanos como TX. La prostaglandina PGI2 se llama también prostaciclina. El sufijo 2 en cada molécula se refiere al numero de C=C que están presentes
  • 168.
    Ácidos grasos: INSATURADOS LEUCOTRIENOSY LIPOXINAS FORMADO APARTIR DE LA VIA DE LA LIPOOXIGENASA CARACTERIZA 3 A 4 ENLACES DOBLES CONJUGADOS RESPECTIVAMENTE BRONCOCONSTRICCION PROINFLAMATORIOS
  • 169.
    Síntesis de lasleucotrienos clínicamente relevantes a partir del ácido araquidónico. Varios estímulos (e.g. epinefrina, trombina y bradicinina) activan a la fosfolipasa A2 que hidroliza al ácido araquidónico en los fosfolípidos de membrana. Los leucotrienos se identifican como LT. Los leucotrienos LTC4, LTD4, LTE4 y LTF4 se conocen como peptidoleucotrienos debido a la presencia de aminoácidos. Los peptidoleucotrienos LTC4, LTD4 y LTE4 son componentes de la sustancia lenta de anafilaxis. El sufijo 4 en cada molécula se refiere al numero de C=C que están presentes.
  • 174.
    Ácidos grasos: INSATURADOS ENLACESDOBLES CIS CALOR: enlaces rotan y acortan la cadena o sea adelgazamiento de las biomembranas Los insaturados la isometria geométrica depende de la orientación de los átomos o grupos alrededor de los ejes de los enlaces dobles lo que impide la rotación Cuando las cadenas acilos están en el mismo lado del enlace(cis) o lados opuestos (trans)
  • 175.
    Casi todos losag. insaturados de cadena larga se presentan en la naturaleza en la configuración cis con las moléculas dobladas 120°en el enlace doble Forma de L Diversas configuraciones espaciales Forma de U Esto tiene una notable influencia en el ordenamiento molecular en las membranas así como la posición ocupada por los ag. en moléculas más complejas como los fosfolipidos
  • 176.
    Ag. Trans seoriginan como subproductos de la saturación durante la hidrogenación o solidificación de los aceites naturales para fabricar margarinas. Ingestión de grasa de rumiantes, en la leche y sus derivados Los enlaces dobles trans- modifican estas interrelaciones espaciales. La margarina, aceites parcialmente hidrogenados, alimentos procesados como masa para pizza, galletas, snaks, donas, bizcochos, alfajores, pasteles, fritos envasados, algunos cereales para el desayuno y helados
  • 177.
    PROPIEDADES FISICAS YFISIOLOGICAS PUNTO DE FUSIÓN: aumenta con longuitud y disminuye con insaturación Lipidos de membrana y lipidos de almacenamiento
  • 178.
    TRIACILGLICEROLES • Son ésteresdel alcohol glicerol y ácidos grasos • Son la principal forma de almacenamiento de los ag. • los monoacilgliceroles y diacilgliceroles en los que 1 o 2 ag. Se esterifican con glicerol también se encuentran en los tejidos. Los C1 Y C3 no son idénticos las enzimas los diferencias. Glicerolcinasa fosforila el glicerol en el C3 : 3fosfato de glicerol
  • 179.
    Fosfolípidos Pueden considerarse derivadosdel AF el fosfato se esterifica con el –OH de un alcohol adecuado Principal constituyente lipídico de la membrana Es importante como intermediario en la síntesis de triacilgliceroles y fosfogliceroles no en gran cantidad en los tejidos
  • 180.
    A. Fosfatídico ysus derivados
  • 181.
    A. Fosfatídico ysus derivados 3-fosfatidilserina 3-fosfatidiletanolamina 3-fosfatidilcolina- lecitinas 3-fosfatidil inositol Difosfatidilgliceroles cardiolipina
  • 182.
    Fosfolipidos:Fosfatidilcolinas Mas abundantes dela membrana celular Reserva corporal de colina Transmisión nerviosa almacén de grupos metilo lábiles Agente activo de superficie eficaz surfactante evita adherencia Acetilcolina dipalmitoil
  • 183.
    Fosfolípidos:fosfatidilinositol Precursor de segundos mensajeros Inositol:estereoisomero mioinositol El Diacilglicerol (DAG) y el Inositol 1,4,5 Trifosfato (IP3) constituyen junto con el AMPc y el Ca+2 2do mensajeros en las rutas de transducción de señales
  • 184.
    Fosfolípidos: cardiolipina Principal lípidode la membrana de las mitocondrias
  • 185.
    Fosfolípidos:plasmalógenos 10% de losl. en encéfalo y músculo Enlace enter envez del éster en Csn1 3-fosfatidiletanolamina Radical alquilo alcohol no saturado radicales que proceden de los alcanos
  • 186.
    Fosfolípidos:esfingomielinas Grandes cantidades encefalo ytej nervioso Al HIDROLIZARSE: ag. A fosforico colina y alcohol aminado complejo (esfingosina) glucoesfingolipidos
  • 187.
    Glucolípidos- glucoesfingolipidos Ampliamente distribuidos entodos los tej corporales (encefalo) sulfogalactosilceramida Se presenta en grandes cantidades en la mielina
  • 188.
    Fosfolípidos:gangliósidos Grandes cantidades tej nervioso.Fusiones receptoras Complejos derivados de glucosilceramida (molec. A. siálico) glucoesfingolipidos Acido neurámico NeuAc
  • 189.
    ESTEROIDES: COLESTEROL PRECURSOR DEESTEROIDES Poseen nucleo cíclico semejante fenantreno ABC enlazado anillo ciclopentano D Núcleo esteroide Si posee 1 o mas grupos hidroxilo y no carbonilo o carboxilo es esterol denominación termina en -ol Conformacion de los estereoisómeros
  • 190.
    ESTEROIDES: COLESTEROL Distribuido entodas las células en particular s. nervioso Membrana y lipoproteinas plasmáticasCon frecuencia se presenta como éster del colesterilo. Grupo hidroxilo de la posición 3 se esterifica con acido graso de cadena larga
  • 191.
    ESTEROIDES: ergosterol Precursor dela vit D VEGETALES Y LEVADURAS Irradiado con la luz ultravioleta adquiere propiedades antirraquiticas apertura del anillo B
  • 192.
    POLIPRENOIDES COMPARTE EL PRECURSORDE COLESTEROL SIN SER ESTEROIDE A partir del isopreno Ubiquinona: cadena respiratoria de las mitocondrias Dolicol: sintesis glucoproteinica Isoprenoides vegetales: hule, alcanfor, vit liposolubles A,D,E,K y b-caroteno (provit A)
  • 193.
    Peroxidación lipídica Deterioro delos alimentos y del daño de los tej in vivo por radicales libres (ROO, RO, OH) Ca, enf. Inflamatorias, aterosclerosis, envejecimineto RL: Producido durante la formación de peroxido a partir de los ag.poliinsaturados Con enlaces dobles interrumpidos por metileno Es una reacción en cadena que proporciona suministro continuo de RL los que inician la peroxidacion subsecuente.
  • 194.
    • Triglicéridos (grasasy aceites): • Glicerol • Ácidos grasos: • · Saturados (AGS) • Monoinsaturados (AGM) • Poliinsaturados (AGP): • AGP omega-3 (n-3) • AGP omega-6 (n-6) • Fosfolípidos (ej. Lecitina) • Esteroles (ej. Colesterol)
  • 195.
    • Se recomiendaque el aporte calórico de la ingesta total de grasa no supere el 30-35% de la energía total consumida, que el de AGS, AGP y AGM sea <10%, <7% y >13% de la energía total, respectivamente
  • 196.
    • Los lípidosse almacenan en triglicéridos que están formador por glicerol y ácidos grasos. • Otra función importante de los lípidos esta en la formación de membranas biológicas, que pueden ser de dos tipos: • membrana de Fosfolipidos • membrana de esfingolipidos • Los esfingolipidos son importantes en la formación de la membrana de las células nerviosas (neuronas y glia) así como las envolturas de mielina que regulan los axones. • En el caso de la membrana plasmática de las células, los lípidos se disponen formando una bicapa con las cabezas polares (hidrofilicas) dirigidas al medio acuoso y con las colas (hidrófobas) de ácidos grasos enfrentadas entre si. • Los fosfolipidos y los esfingolipidos forman parte de las membranas celulares animales y vegetales debido a su carácter anfipatico.
  • 197.
    • Como lípidoantipático, es un componente estructural de membranas de la capa exterior de lipoproteínas plasmáticas. Además, las lipoproteínas transportan en la circulación colesterol libre, donde fácilmente se equilibra con el de otras lipoproteínas y de las membranas.
  • 198.
    • El ésterde colesterilo es una forma de almacenamiento de colesterol que se encuentra en la mayor parte de los tejidos. Es trasportado como cargamento en el centro hidrófobo de las lipoproteínas. La LDL es mediadora de la captación del colesterol y del éster de colesterilo en muchos tejidos. • El colesterol libre es removido de los tejidos por las HDL y transportado al hígado para su conversión en ácidos biliares en el proceso conocido como trasporte inverso del colesterol.
  • 199.
    • Es unimportante constituyente de los cálculos biliares. • Sin embargo, su principal función en los procesos patológicos es como factor de la génesis de la aterosclerosis de arterias vitales, causando enfermedad cerebrovascular, coronaria vascular periférica. La aterosclerosis coronaria se correlaciona con una alta proporción plasmática LDL: HDL colesterol.
  • 205.
    • El aumentode colesterol en sangre aumenta la frecuencia de infarto de miocardio, e infarto cerebral, que disminuyen al disminuir el colesterol sanguíneo. En concreto la responsable es la fracción del colesterol de baja densidad (LDL).
  • 207.
    • El colesterolque se absorbe en el intestino proviene de la dieta por un lado, y de la fabricación hepática y transformación en ácidos biliares, por otro. Pasa a la sangre en forma de partículas junto con fosfolípidos y distintas proteínas, distinguiéndose partículas de distintas densidades. Estas partículas transportan el colesterol hasta los tejidos. La LDL es la principal partícula que descarga el colesterol en las paredes de las arterias, contribuyendo a la formación de las placas de ateroma. La partícula de alta densidad o HDL, por el contrario, transporta el colesterol desde los tejidos al hígado, con un importante efecto protector de aterosclerosis.. El colesterol alto multiplica el riesgo de problemas cardiovasculares si se asocia a hipertensión, tabaco, diabetes mellitus, obesidad, edad avanzada o antecedentes familiares cardovasculares.
  • 208.
    • Hipolipidemias. • Ladisminución de lípidos en sangre suele estar asociada a otras enfermedades como el hipotiroidismo, la malnutrición, malabsorción gastrointestinal o anemia, o encontrase en el rango bajo de la normalidad; no teniendo significación clínica por sí misma. • Otros trastornos raros del metabolismo de los lípidos son la xantomatosis cerebrotendinosa y la sitosterolemia.
  • 209.
    • En lahipobetalipoproteinemia la LDL está disminuida, no hay clínica; en la abetalipoproteinemia o síndrome de Bassen-Korzweig o acantocitosis, hay retraso mental y heces grasas entre otros; y en la enfermedad de Tangier o analfalipoproteinemia hay descenso de HDL, polineuropatía y depósitos de colesterol en hígado y bazo
  • 210.
    • ¿Qué sonlas enfermedades por almacenamiento de lípidos? • Las enfermedades por almacenamiento de lípidos, o lipidosis, son un grupo de trastornos metabólicos heredados en los cuales cantidades perjudiciales de materiales grasos llamados lípidos se acumulan en algunas de las células y tejidos del cuerpo. Las personas con estos trastornos no producen suficiente de una de las enzimas necesarias para metabolizar los lípidos o producen enzimas que no funcionan adecuadamente. Con el tiempo, este almacenamiento excesivo de grasas puede causar daño tisular y celular permanente, particularmente en el cerebro, el sistema nervioso periférico, el hígado, el bazo y la médula ósea.
  • 211.
    • La enfermedadde Gaucher es la más común. Está causada por una deficiencia de la enzima glucocerebrosidasa. Los síntomas pueden ser agrandamiento del bazo y el hígado, disfunción hepática, trastornos esqueléticos y lesiones óseas que pueden causar dolor, complicaciones neurológicas graves, inflamación de los ganglios linfáticos y (ocasionalmente) las articulaciones adyacentes, abdomen distendido, una coloración pardusca en la piel, anemia, bajo recuento plaquetario, y manchas amarillentas en los ojos.
  • 212.
    • La enfermedadde Niemann-Pick es realmente un grupo de trastornos recesivos autosómicos causados por una acumulación de grasas y colesterol en las células del hígado, el bazo, la médula ósea, los pulmones y en algunos pacientes, el cerebro. Las complicaciones neurológicas pueden incluir la ataxia, parálisis ocular, degeneración cerebral, problemas de aprendizaje, espasticidad, dificultades para alimentarse y tragar, habla incoherente, pérdida de tono muscular, hipersensibilidad al tacto, y nubosidad corneal. Un halo rojo- cereza característico se desarrolla alrededor del centro de la retina en el 50 por ciento de los pacientes.
  • 213.
    • La enfermedadde Fabry, también conocida como deficiencia de la alfa-galactosidasa-A, causa una acumulación de material graso en el sistema nervioso autónomo, los ojos, los riñones, y el sistema cardiovascular. La enfermedad de Fabry es la única enfermedad por almacenamiento de lípidos ligado a X.
  • 214.
    • La enfermedadde Farber, también conocida como lipogranulomatosis de Farber o deficiencia de la ceramidasa, describe aun grupo de trastornos recesivos autosómicos raros que causan una acumulación de material graso en las articulaciones, los tejidos y el sistema nervioso central. El trastorno afecta tanto a hombres como a mujeres.
  • 215.
    • La enfermedadde Wolman, también conocida como deficiencia de la lipasa ácida, es una grave enfermedad por almacenamiento de lípidos que generalmente es fatal al año de vida. Este trastorno recesivo autosómico está caracterizado por la acumulación de ésteres de colesteril (normalmente una forma de transporte del colesterol) y triglicéridos (una forma química en la cual existen grasas en el cuerpo) que pueden acumularse significativamente y causar daño en las células y los tejidos. Ambos sexos son afectados por este grave trastorno. Los bebés son normales y activos en el nacimiento pero rápidamente desarrollan deterioro mental progresivo, agrandamiento del hígado y gran agrandamiento del bazo, abdomen distendido, problemas gastrointestinales que incluyen esteatorrea (cantidades excesivas de grasas en las heces), ictericia, anemia, vómitos, y depósitos de calcio en las glándulas suprarrenales, haciendo que se endurezcan.
  • 216.