POTENCIAS
2º ESO
Definición de potencia:
𝑎 𝑏
es el producto de a por sí
misma b veces. Se lee “a elevado a
b”.
25
es el producto de 2 por sí mismo 5
veces: 2 · 2 · 2 · 2 · 2 = 32
CASOS PARTICULARES:
𝑎1
= 𝑎
𝑎0
= 1
00 = 𝑛𝑜 𝑒𝑥𝑖𝑠𝑡𝑒 01
= 0
10
= 1
0 𝑎 = 0
¿Qué pasa si la base es negativa?
Miraremos si el exponente es:
• PAR:
• IMPAR:
El resultado será POSITIVO
El resultado será NEGATIVO
−2 2 = +4
−2 3
= −8
¡MUCHA ATENCIÓN! ¿Qué diferencia hay?
−3 2
−32
La base es negativa (-3)
y el exponente es par,
el resultado será
positivo
La base es positiva 3 y el
exponente nos da igual
cómo sea, el – se copia
= 9
= −9
EJEMPLOS:
25
=
(−2)5=
34
=
(−1)6
=
(−1)37=
(−3)4
=
15 =
(−1)5
=
(−2)2
=
(−5)0
=
32
−32
81
1
−1
81
1
−1
4
1
−24
=
(−1)3=
−34
=
(−1)7
=
(−1)2=
(−3)3
=
10
=
(−1)1
=
(−2)3
=
(−5)0
=
−16
−1
−81
−1
1
−27
1
−1
−8
1
−25
(−2)5
−24
= − 32
= −32
= −16
−15
(−1)5
04
= − 1
= −1
= 0
(−2)4
−14
(−1)4
= 16
= −1
= 1
− −3 =
−33
=
− 3 3
=
3
−27
−27
−3 3
=
− −33
=
30
=
−27
27
1
− −30
=
− −3 0
=
−33
=
1
−1
−27
−30
=
− 3 0
=
−3 0
=
−1
−1
1
− 3 2
=
−3 2
=
− 33
=
−9
9
−27
Potencias con exponente
negativo
𝑎−𝑛
=
1
𝑎 𝑛
1
𝑎−𝑛
= 𝑎+𝑛
−
1
27
2−4
=
1
16
−1−4
=−1
(−1)−4=1
−3−1
= −
1
3
−3−3
=
−3 −3
=
1
−3 3
=
=
1
−27
1.Expresa estas potencias como
potencias de exponente positivo:
3−4
=
108
1210
9−5 =
1
34
1
10−8
=
1
12−10
=
1
95
2. Halla el valor de las siguientes
potencias:
2−4
=
−1
2
−10
=
1
24
=
1
16
2
−1
10
= 210
= 1024
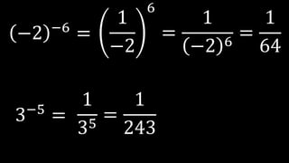
3−5
=
−2 −6
=
1
35
=
1
243
1
−2
6
=
1
−2 6
=
1
64
PROPIEDADES DE LAS
POTENCIAS
PRODUCTO DE POTENCIAS DE LA MISMA BASE
𝑎 𝑛
· 𝑎 𝑚
= 𝑎 𝑛+𝑚
DIVISIÓN DE POTENCIAS DE LA MISMA BASE
𝑎 𝑛
: 𝑎 𝑚
= 𝑎 𝑛−𝑚
POTENCIA DE UNA POTENCIA
𝑎 𝑛 𝑚 = 𝑎 𝑛·𝑚
PRODUCTO DE POTENCIAS CON EL MISMO EXPONENTE:
𝑎 𝑛
· 𝑏 𝑛
= 𝑎 · 𝑏 𝑛
DIVISIÓN DE POTENCIAS CON EL MISMO EXPONENTE:
𝑎 𝑛
: 𝑏 𝑛
= 𝑎: 𝑏 𝑛
3. Reduce a una sola potencia los
siguientes productos:
4−2 · 47 · 45 =
2
3
3
·
2
3
−4
=
410
2
3
−1
=
3
2
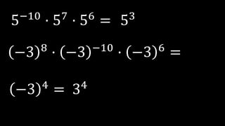
5−10
· 57
· 56
=
−3 8 · −3 −10 · −3 6 =
53
−3 4
= 34
4. Reduce a una sola potencia los
siguientes cocientes:
127
: 125
=
−7 −20: −7 4 =
122
−7 −24
46: 4−9 = 46−(−9)
= 415
5−8
: 5−10
= 5−8−(−10)
= 52
5. Reduce a una sola potencia las
siguientes expresiones:
4−3 −2 −5 = 4−30
=
1
430
32 −1 −4 = 38
10−4 −3 2
= 1024
REDUCE A UNA ÚNICA POTENCIA:
63
· 6 · 65
=
−7 9
: −7 5
=
−2 4 3
=
−2 9
: −2 4
· −2 2
=
69
−7 4
=
−2 12
=
74
212
−2 9
: −2 5 2
= −2 9
: −2 10
=
−2 −1
= −
1
2
205: −4 5 =
129: −3 9 · −4 9 =
20: −4 5
=
−5 5
= −55
= −3125
129: 129 =
120
= 1
−5 9
· 208
: −4 8
=
63 2
· −7 5
· −7 =
57 4
· 54 3
=
−5 9 · −5 8 = −5 17
66
· −7 6
= −42 6
=426
528+12
= 540
−5 8
: −5 4
· −5 =
85 4
: −2 12
· −4 12
=
𝑎5 3: 𝑎7 2 =
−5 4
· −5 =
−5 5
=
820: 812 = 88
𝑎15: 𝑎14 = 𝑎1 = 𝑎
−55
=−3125
25
· 8 · 27
· 16 =
32 3
· 27 · 94
=
25
· 23
· 27
· 24
=
219
36
· 33
· 32 4
=
36
· 33
· 38
= 317
315: 813 =
𝑚3
· 𝑚 2
: 𝑚2 4
=
−10 20: −2 9 · 59 2 =
315: 34 3 =315: 312 =
33
= 27
𝑚4 2: 𝑚8 =
𝑚8
: 𝑚8
= 𝑚0 = 1
1020
: −10 9 2
=1020
: −10 18
=
1020
: 1018
= 102
=100
−3 5
· −2 5 3
· 64 2
=
𝑎3
· 𝑎4 2
: 𝑎15
: 𝑎13 2
=
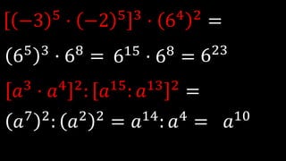
65 3 · 68 = 615 · 68 = 623
𝑎7 2
: 𝑎2 2
= 𝑎14
: 𝑎4
= 𝑎10

Potencias 2º