SERVICIO DE SALUD METROPOLITANO
OCCIDENTE
PROTOCOLOS DE REFERENCIA-CONTRAREFERENCIA
ENFERMEDADES CARDIOVASCULARES DEL ADULTO
ARRITMIAS CARDIACAS
Código:
Edición: 1
Fecha elaboración:
16.11.11
Página 1 de 8
Vigencia: 16.11.12
1
1.- NOMBRE DE LA PATOLOGÍA:
- ARRITMIAS CARDIACAS
2.- OBJETIVOS:
2.1.- OBJETIVOS GENERAL:Establecer las condiciones de referencia y contrarreferencia
para la resolución de las ARRITMIAS CARDIACAS en el adulto y la coordinación en los
distintos niveles de la red asistencial.
2.2.- OBJETIVOS ESPECIFICOS
2.2.1.- Establecer el diagnóstico y el seguimiento del paciente adulto con arritmia cardiaca, a
través de la coordinación de la red, en sus diferentes niveles.
2.2.2.-Establecer la prioridad y las condiciones de traslado de aquellos pacientes que consultan
por una arritmia cardiaca principalmente en el nivel primario.
2.2.3.- Entregar una atención oportuna y de calidad a nivel primario y segundario a los
pacientes con este tipo de patologia.
3.- ALCANCE
Este protocolo está dirigido a todo el personal de la Atención Primaria y Hospitales que
integran la red del Servicio de Salud Metropolitano Occidente, para que otorguen atención de
salud a los pacientes adultos y se les entregue accesibilidad, oportunidad y calidad de
atención.
4.- RESPONSABLES DE LA EJECUCIÓN
4.1.- Médico de Atención Primaria: encargado del programa de medicina interna y médicos
que detecten este tipo de patología.
4.2.- Médico del nivel secundario: médico del servicio de urgencia, al cual será derivada esta
patología.
4.3.-Médico Internista del Centro de Atención de Especialidades: medico que recibe a los
pacientes derivados desde la atención primaria con sospecha o confirmación de una arritmia
cardiaca.
5.- DESCRIPCIÓN
5.1.- Definicion: La arritmia cardiaca es una anormalidad en la frecuencia, regularidad u
origen del impulso cardiaco, o una alteración en su conducción causando una secuencia
anormal de activación miocárdica.
SERVICIO DE SALUD METROPOLITANO
OCCIDENTE
PROTOCOLOS DE REFERENCIA-CONTRAREFERENCIA
ENFERMEDADES CARDIOVASCULARES DEL ADULTO
ARRITMIAS CARDIACAS
Código:
Edición: 1
Fecha elaboración:
16.11.11
Página 2 de 8
Vigencia: 16.11.12
2
Las arritmias pueden ser clasificadas segun:
A) Mecanismo:
1- Alteración de la formación del impulso
2- Alteración de la conducción del impulso
3- Arritmias mixtas
B) Frecuencia cardiaca:
1- Bradiarritmias
2- Taquiarritmias
C) Origen:
1- Supraventriculares
2- Ventriculares
D) Regularidad:
1- Regulares
2- Irregulares
El mecanismo más frecuente de producción de las arritmias es la REENTRADA
5.2.- GENERALIDADES:
El ECG de un paciente con un trastorno del ritmo y/o de la conducción debe ser interpretado
en un contexto general considerando el estado clínico del paciente en ese momento o sea su
patrón ventilatorio, oxigenación, FC, PA, nivel de consciencia, estado de la perfusión etc.
Habitualmente se emplean términos como sintomática e inestable para describir una arritmia,
este ultimo se refiere a la disfunción de órganos que genera o la ocurrencia inminente de un
PCR; se debe diferenciar cuando la arritmia es el evento primario o esta es secundaria a una
condición critica del paciente como por ejemplo en aquellos enfermos que producto de una
falla respiratoria severa e hipoxemia desarrollan hipotensión arterial y una bradicardia
extrema, donde el tratamiento de la bradicardia sin mejorar la hipoxemia no redundara en un
resultado favorable.
Las claves principales para el reconocimiento y el manejo de las arritmias en el adulto son:
a) En pacientes que cursan con bradicardia sintomática y/o signos evidentes de
inestabilidad (dolor precordial, alteraciones de consciencia, insuficiencia cardiaca,
hipotensión arterial, dificultad respiratoria etc), el tratamiento inicial debe ser la
atropina (clase IIa), sino responde a la atropina pueden ser usados agonistas B
adrenérgicos (dopamina, epinefrina, isoproterenol) en infusión continua o emplear un
Marcapaso transcutaneo (clase IIa) mientras el paciente es preparado para la
colocación de un Marcapaso transvenoso.
SERVICIO DE SALUD METROPOLITANO
OCCIDENTE
PROTOCOLOS DE REFERENCIA-CONTRAREFERENCIA
ENFERMEDADES CARDIOVASCULARES DEL ADULTO
ARRITMIAS CARDIACAS
Código:
Edición: 1
Fecha elaboración:
16.11.11
Página 3 de 8
Vigencia: 16.11.12
3
b) En pacientes que cursan con taquicardia sintomática y/o signos de evidentes de
inestabilidad (dolor precordial, alteraciones de consciencia, insuficiencia cardiaca,
hipotensión arterial, dificultad respiratoria etc) la cardioversión eléctrica es la primera
opción (clase I). En pacientes seleccionados con taquicardias de complejo angosto y
elementos de inestabilidad el uso de adenosina previo a la cardioversión puede ser una
alternativa razonable (clase IIb)
c) En pacientes que cursan con taquicardia sin inestabilidad independientemente de la
morfología del QRS, de la regularidad del ritmo el manejo debe ser con drogas por via
EV
6.- FUNDAMENTOS CLINICOS Y DE SOSPECHA
Todo paciente que concurra a la APS o SAPU con síntomas y signos sugerentes de una
arritmia cardiaca (palpitaciones, sudoración, alteraciones de la consciencia, etc) debe ser
manejado con la prioridad que corresponda según la presencia de elementos de inestabilidad o
disfuncion de órganos, ver anexos 1 y 2
7.- INDICACIONES DE EVALUACION, ESTUDIO Y/O MANEJO EN APS.
- A nivel de la APS, se debe mantener un alto índice de sospecha para pesquizar precozmente
arritmiasasintomáticas, algunas de ellas potencialmente graves y que habitualmente requieren
tratamiento.
- Todo paciente al que se le diagnostique una arritmia cardiaca que requiera estudio y
tratamiento deberá ser deberá ser derivado al CAE de referencia.
- Se debe realizar tratamiento médico inicial en APS y SAPU solo en aquellos pacientes
inestables, siendo derivados de inmediato por personal calificado al Servicio de Urgencias del
hospital más cercano.
8.- CRITERIOS DE REFERENCIA A LA ESPECIALIDAD
Alertas de derivación en pacientes con arritmias cardiacas:
- historia de sincope
- palpitaciones recurrentes
- mareos e inestabilidad para la marcha
- dificultad respiratoria y/o dolor precordial
- crisis convulsivas
- exacerbación de insuficiencia cardiaca
- alteración de la consciencia
- arritmias potencialmente graves (preexcitacion, arritmias ventriculares, bloqueos de alto
grado etc)
SERVICIO DE SALUD METROPOLITANO
OCCIDENTE
PROTOCOLOS DE REFERENCIA-CONTRAREFERENCIA
ENFERMEDADES CARDIOVASCULARES DEL ADULTO
ARRITMIAS CARDIACAS
Código:
Edición: 1
Fecha elaboración:
16.11.11
Página 4 de 8
Vigencia: 16.11.12
4
9.- DERIVACIONES DE PRIORIDAD
- Pacientes sintomáticos e inestables con evidente disfunción de órganos y/o PCR
inminente.
10.- FLUJOS DE DERIVACION Y DOCUMENTACION REQUERIDA
10.1.- REFERENCIA DESDE LA APS
Hoja de Interconsulta ( u SIC Digital a través de Sistemas Integrados, Rayen u otro) desde la
APS o SAPU, emitida por el médico donde se especifique la condición clínica del enfermo,
sus signos vitales, el diagnostico y las maniobras e intervenciones terapéuticas que fueron
realizadas, debe adjuntarse el registro de ECG de 12 derivaciones, además si la condición
clínica del paciente lo amerita deberá ser trasladado hacia el centro de referencia por personal
calificado, así como dar aviso por vía telefónica al Servicio de Urgencia al cual esta siendo
derivado el paciente.
10.2.- CONTRA REFERENCIA DESDE LA ESPECIALIDAD:
Se enviará la hoja de Interconsulta con la respuesta entregada por la especialidad desde la
atención secundaria.
Podrán continuar su control en el centro primario los pacientes en que se certifique el
diagnóstico por el especialista y tengan un esquema de tratamiento establecido.
Para la contrareferencia del nivel secundario cabe mencionar, que se enviará posterior a
establecer:
1.- Diagnóstico de precisión efectuado con procedimientos de diagnósticos
2.- Esquema de terapia y seguimiento establecido.
En caso de estudio en la atención terciaria se deberá hospitalizar en UPC a aquellos pacientes
sintomáticos y/o inestables que requieren monitorización hasta ser gestionado su traslado al
centro de referencia para completar su estudio, por ejemplo estudios electrofisiológicos,
ecocardiogramas transesofágico, eco stress etc o para su tratamiento especifico como la
instalación de marcapaso definitivo, cardiodesfibriladores, ablación con radiofrecuencia etc
Estos pacientes deberán ser enviados con una Hoja de Interconsulta.
12.- BIBLIOGRAFIA:
- Neumar RW et al. Circulation, 2010 AHA Guidelines for CPR & ECC
13.- INDICADORES
- Nº de derivaciones que cumplen con protocolo, desde la Atención Primaria,
trimestralmente.
- Nº de IC con respuesta desde la atención secundaria a la Atención Primaria,
trimestralmente.
- Porcentaje de derivación oportuna semestral.
SERVICIO DE SALUD METROPOLITANO
OCCIDENTE
PROTOCOLOS DE REFERENCIA-CONTRAREFERENCIA
ENFERMEDADES CARDIOVASCULARES DEL ADULTO
ARRITMIAS CARDIACAS
Código:
Edición: 1
Fecha elaboración:
16.11.11
Página 5 de 8
Vigencia: 16.11.12
5
14.- ELABORACIÓN PROTOCOLO
Elaboración Equipo Representante Fecha Elaboración
Medicina Interna/Intensiva
Hospital de Talagante
Dr. Juan Carlos Marrero 16 / Noviembre / 2011
Revisión Dr. Carlos Almazán Arcil
Validación
Servicio de Salud Metropolitano
Occidente
SERVICIO DE SALUD METROPOLITANO
OCCIDENTE
PROTOCOLOS DE REFERENCIA-CONTRAREFERENCIA
ENFERMEDADES CARDIOVASCULARES DEL ADULTO
ARRITMIAS CARDIACAS
Código:
Edición: 1
Fecha elaboración:
16.11.11
Página 6 de 8
Vigencia: 16.11.12
6
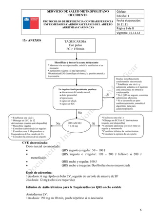
15.- ANEXOS
Si
No
No Si Si
CVE sincronizada:
Dosis inicial recomendada:
QRS angosto y regular: 50 – 100 J
QRS angosto e irregular: 120 – 200 J bifásico o 200 J
monofásico
QRS ancho y regular: 100 J
QRS ancho e irregular: Desfibrilación no sincronizada
Dosis de adenosina:
1era dosis: 6 mg rápido en bolo EV, seguido de un bolo de arrastre de SF
2da dosis: 12 mg (solo si es requerida)
Infusión de Antiarritmicos para la Taquicardia con QRS ancho estable
Amiodarona EV:
1era dosis: 150 mg en 10 min, puede repetirse si es necesario
TAQUICARDIA
Con pulso
FC > 150/min
Identificar y tratar la causa subyacente
* Mantener via aerea permeable, asistir la ventilacion si es
necesario
* Suministre oxigeno (si hay hipoxemia)
*MonitorizarECG (identifique el ritmo), la presión arterial y
la oximetría
* Identifique y trate las causas reversibles
La taquiarritmia persistente produce:
alteraciones del estado mental,
dolor precordial
hipotensión
signos de shock
signos de ICC
Realice inmediatamente
cardioversión sincronizada
* Establezca una vía i.v y
administre sedantes si el paciente
está consciente; no retrase la
cardioversión
* Si el QRS es angosto, considere
administrar adenosina
* Si se desarrolla un paro
cardiorrespiratorio, consulte el
algorritmo para paro
cardiorespiratorio
* Establezca una vía i.v
* Obtenga un ECG de 12 derivaciones
(cuando este disponible)
* Considere adenosina solo si el ritmo es
regular y monomorfo
* Considere infusion de antiarritmicos
* Considere la opinion de un experto
QRS ANCHO
> 0.12 seg
* Establezca una vía i.v
* Obtenga un ECG de 12
derivaciones (cuando este disponible)
* Maniobras vagales
* Considere adenosina (si es regular)
* Considere usar B bloqueadores o
bloqueadores de los canales de Ca
* Considere la opinion de un experto
SERVICIO DE SALUD METROPOLITANO
OCCIDENTE
PROTOCOLOS DE REFERENCIA-CONTRAREFERENCIA
ENFERMEDADES CARDIOVASCULARES DEL ADULTO
ARRITMIAS CARDIACAS
Código:
Edición: 1
Fecha elaboración:
16.11.11
Página 7 de 8
Vigencia: 16.11.12
7
seguido por una infusión de un 1 mg/min por 6 horas
SERVICIO DE SALUD METROPOLITANO
OCCIDENTE
PROTOCOLOS DE REFERENCIA-CONTRAREFERENCIA
ENFERMEDADES CARDIOVASCULARES DEL ADULTO
ARRITMIAS CARDIACAS
Código:
Edición: 1
Fecha elaboración:
16.11.11
Página 8 de 8
Vigencia: 16.11.12
8
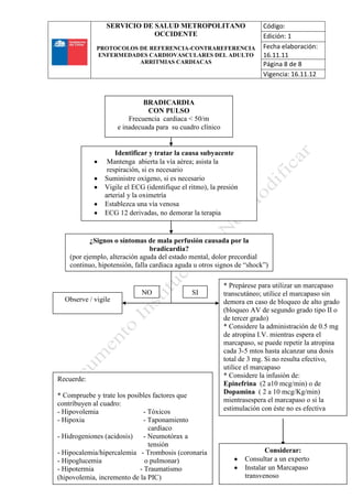
Identificar y tratar la causa subyacente
Mantenga abierta la vía aérea; asista la
respiración, si es necesario
Suministre oxígeno, si es necesario
Vigile el ECG (identifique el ritmo), la presión
arterial y la oximetría
Establezca una vía venosa
ECG 12 derivadas, no demorar la terapia
¿Signos o síntomas de mala perfusión causada por la
bradicardia?
(por ejemplo, alteración aguda del estado mental, dolor precordial
continuo, hipotensión, falla cardiaca aguda u otros signos de “shock”)
Observe / vigile
* Prepárese para utilizar un marcapaso
transcutáneo; utilice el marcapaso sin
demora en caso de bloqueo de alto grado
(bloqueo AV de segundo grado tipo II o
de tercer grado)
* Considere la administración de 0.5 mg
de atropina I.V. mientras espera el
marcapaso, se puede repetir la atropina
cada 3-5 mtos hasta alcanzar una dosis
total de 3 mg. Si no resulta efectivo,
utilice el marcapaso
* Considere la infusión de:
Epinefrina (2 a10 mcg/min) o de
Dopamina ( 2 a 10 mcg/Kg/min)
mientrasespera el marcapaso o si la
estimulación con éste no es efectiva
Considerar:
Consultar a un experto
Instalar un Marcapaso
transvenoso
Recuerde:
* Compruebe y trate los posibles factores que
contribuyen al cuadro:
- Hipovolemia - Tóxicos
- Hipoxia - Taponamiento
cardíaco
- Hidrogeniones (acidosis) - Neumotórax a
tensión
- Hipocalemia/hipercalemia - Trombosis (coronaria
- Hipoglucemia o pulmonar)
- Hipotermia - Traumatismo
(hipovolemia, incremento de la PIC)
NO SI
BRADICARDIA
CON PULSO
Frecuencia cardiaca < 50/m
e inadecuada para su cuadro clínico

Protocolo de arritmias

  • 1.
    SERVICIO DE SALUDMETROPOLITANO OCCIDENTE PROTOCOLOS DE REFERENCIA-CONTRAREFERENCIA ENFERMEDADES CARDIOVASCULARES DEL ADULTO ARRITMIAS CARDIACAS Código: Edición: 1 Fecha elaboración: 16.11.11 Página 1 de 8 Vigencia: 16.11.12 1 1.- NOMBRE DE LA PATOLOGÍA: - ARRITMIAS CARDIACAS 2.- OBJETIVOS: 2.1.- OBJETIVOS GENERAL:Establecer las condiciones de referencia y contrarreferencia para la resolución de las ARRITMIAS CARDIACAS en el adulto y la coordinación en los distintos niveles de la red asistencial. 2.2.- OBJETIVOS ESPECIFICOS 2.2.1.- Establecer el diagnóstico y el seguimiento del paciente adulto con arritmia cardiaca, a través de la coordinación de la red, en sus diferentes niveles. 2.2.2.-Establecer la prioridad y las condiciones de traslado de aquellos pacientes que consultan por una arritmia cardiaca principalmente en el nivel primario. 2.2.3.- Entregar una atención oportuna y de calidad a nivel primario y segundario a los pacientes con este tipo de patologia. 3.- ALCANCE Este protocolo está dirigido a todo el personal de la Atención Primaria y Hospitales que integran la red del Servicio de Salud Metropolitano Occidente, para que otorguen atención de salud a los pacientes adultos y se les entregue accesibilidad, oportunidad y calidad de atención. 4.- RESPONSABLES DE LA EJECUCIÓN 4.1.- Médico de Atención Primaria: encargado del programa de medicina interna y médicos que detecten este tipo de patología. 4.2.- Médico del nivel secundario: médico del servicio de urgencia, al cual será derivada esta patología. 4.3.-Médico Internista del Centro de Atención de Especialidades: medico que recibe a los pacientes derivados desde la atención primaria con sospecha o confirmación de una arritmia cardiaca. 5.- DESCRIPCIÓN 5.1.- Definicion: La arritmia cardiaca es una anormalidad en la frecuencia, regularidad u origen del impulso cardiaco, o una alteración en su conducción causando una secuencia anormal de activación miocárdica.
  • 2.
    SERVICIO DE SALUDMETROPOLITANO OCCIDENTE PROTOCOLOS DE REFERENCIA-CONTRAREFERENCIA ENFERMEDADES CARDIOVASCULARES DEL ADULTO ARRITMIAS CARDIACAS Código: Edición: 1 Fecha elaboración: 16.11.11 Página 2 de 8 Vigencia: 16.11.12 2 Las arritmias pueden ser clasificadas segun: A) Mecanismo: 1- Alteración de la formación del impulso 2- Alteración de la conducción del impulso 3- Arritmias mixtas B) Frecuencia cardiaca: 1- Bradiarritmias 2- Taquiarritmias C) Origen: 1- Supraventriculares 2- Ventriculares D) Regularidad: 1- Regulares 2- Irregulares El mecanismo más frecuente de producción de las arritmias es la REENTRADA 5.2.- GENERALIDADES: El ECG de un paciente con un trastorno del ritmo y/o de la conducción debe ser interpretado en un contexto general considerando el estado clínico del paciente en ese momento o sea su patrón ventilatorio, oxigenación, FC, PA, nivel de consciencia, estado de la perfusión etc. Habitualmente se emplean términos como sintomática e inestable para describir una arritmia, este ultimo se refiere a la disfunción de órganos que genera o la ocurrencia inminente de un PCR; se debe diferenciar cuando la arritmia es el evento primario o esta es secundaria a una condición critica del paciente como por ejemplo en aquellos enfermos que producto de una falla respiratoria severa e hipoxemia desarrollan hipotensión arterial y una bradicardia extrema, donde el tratamiento de la bradicardia sin mejorar la hipoxemia no redundara en un resultado favorable. Las claves principales para el reconocimiento y el manejo de las arritmias en el adulto son: a) En pacientes que cursan con bradicardia sintomática y/o signos evidentes de inestabilidad (dolor precordial, alteraciones de consciencia, insuficiencia cardiaca, hipotensión arterial, dificultad respiratoria etc), el tratamiento inicial debe ser la atropina (clase IIa), sino responde a la atropina pueden ser usados agonistas B adrenérgicos (dopamina, epinefrina, isoproterenol) en infusión continua o emplear un Marcapaso transcutaneo (clase IIa) mientras el paciente es preparado para la colocación de un Marcapaso transvenoso.
  • 3.
    SERVICIO DE SALUDMETROPOLITANO OCCIDENTE PROTOCOLOS DE REFERENCIA-CONTRAREFERENCIA ENFERMEDADES CARDIOVASCULARES DEL ADULTO ARRITMIAS CARDIACAS Código: Edición: 1 Fecha elaboración: 16.11.11 Página 3 de 8 Vigencia: 16.11.12 3 b) En pacientes que cursan con taquicardia sintomática y/o signos de evidentes de inestabilidad (dolor precordial, alteraciones de consciencia, insuficiencia cardiaca, hipotensión arterial, dificultad respiratoria etc) la cardioversión eléctrica es la primera opción (clase I). En pacientes seleccionados con taquicardias de complejo angosto y elementos de inestabilidad el uso de adenosina previo a la cardioversión puede ser una alternativa razonable (clase IIb) c) En pacientes que cursan con taquicardia sin inestabilidad independientemente de la morfología del QRS, de la regularidad del ritmo el manejo debe ser con drogas por via EV 6.- FUNDAMENTOS CLINICOS Y DE SOSPECHA Todo paciente que concurra a la APS o SAPU con síntomas y signos sugerentes de una arritmia cardiaca (palpitaciones, sudoración, alteraciones de la consciencia, etc) debe ser manejado con la prioridad que corresponda según la presencia de elementos de inestabilidad o disfuncion de órganos, ver anexos 1 y 2 7.- INDICACIONES DE EVALUACION, ESTUDIO Y/O MANEJO EN APS. - A nivel de la APS, se debe mantener un alto índice de sospecha para pesquizar precozmente arritmiasasintomáticas, algunas de ellas potencialmente graves y que habitualmente requieren tratamiento. - Todo paciente al que se le diagnostique una arritmia cardiaca que requiera estudio y tratamiento deberá ser deberá ser derivado al CAE de referencia. - Se debe realizar tratamiento médico inicial en APS y SAPU solo en aquellos pacientes inestables, siendo derivados de inmediato por personal calificado al Servicio de Urgencias del hospital más cercano. 8.- CRITERIOS DE REFERENCIA A LA ESPECIALIDAD Alertas de derivación en pacientes con arritmias cardiacas: - historia de sincope - palpitaciones recurrentes - mareos e inestabilidad para la marcha - dificultad respiratoria y/o dolor precordial - crisis convulsivas - exacerbación de insuficiencia cardiaca - alteración de la consciencia - arritmias potencialmente graves (preexcitacion, arritmias ventriculares, bloqueos de alto grado etc)
  • 4.
    SERVICIO DE SALUDMETROPOLITANO OCCIDENTE PROTOCOLOS DE REFERENCIA-CONTRAREFERENCIA ENFERMEDADES CARDIOVASCULARES DEL ADULTO ARRITMIAS CARDIACAS Código: Edición: 1 Fecha elaboración: 16.11.11 Página 4 de 8 Vigencia: 16.11.12 4 9.- DERIVACIONES DE PRIORIDAD - Pacientes sintomáticos e inestables con evidente disfunción de órganos y/o PCR inminente. 10.- FLUJOS DE DERIVACION Y DOCUMENTACION REQUERIDA 10.1.- REFERENCIA DESDE LA APS Hoja de Interconsulta ( u SIC Digital a través de Sistemas Integrados, Rayen u otro) desde la APS o SAPU, emitida por el médico donde se especifique la condición clínica del enfermo, sus signos vitales, el diagnostico y las maniobras e intervenciones terapéuticas que fueron realizadas, debe adjuntarse el registro de ECG de 12 derivaciones, además si la condición clínica del paciente lo amerita deberá ser trasladado hacia el centro de referencia por personal calificado, así como dar aviso por vía telefónica al Servicio de Urgencia al cual esta siendo derivado el paciente. 10.2.- CONTRA REFERENCIA DESDE LA ESPECIALIDAD: Se enviará la hoja de Interconsulta con la respuesta entregada por la especialidad desde la atención secundaria. Podrán continuar su control en el centro primario los pacientes en que se certifique el diagnóstico por el especialista y tengan un esquema de tratamiento establecido. Para la contrareferencia del nivel secundario cabe mencionar, que se enviará posterior a establecer: 1.- Diagnóstico de precisión efectuado con procedimientos de diagnósticos 2.- Esquema de terapia y seguimiento establecido. En caso de estudio en la atención terciaria se deberá hospitalizar en UPC a aquellos pacientes sintomáticos y/o inestables que requieren monitorización hasta ser gestionado su traslado al centro de referencia para completar su estudio, por ejemplo estudios electrofisiológicos, ecocardiogramas transesofágico, eco stress etc o para su tratamiento especifico como la instalación de marcapaso definitivo, cardiodesfibriladores, ablación con radiofrecuencia etc Estos pacientes deberán ser enviados con una Hoja de Interconsulta. 12.- BIBLIOGRAFIA: - Neumar RW et al. Circulation, 2010 AHA Guidelines for CPR & ECC 13.- INDICADORES - Nº de derivaciones que cumplen con protocolo, desde la Atención Primaria, trimestralmente. - Nº de IC con respuesta desde la atención secundaria a la Atención Primaria, trimestralmente. - Porcentaje de derivación oportuna semestral.
  • 5.
    SERVICIO DE SALUDMETROPOLITANO OCCIDENTE PROTOCOLOS DE REFERENCIA-CONTRAREFERENCIA ENFERMEDADES CARDIOVASCULARES DEL ADULTO ARRITMIAS CARDIACAS Código: Edición: 1 Fecha elaboración: 16.11.11 Página 5 de 8 Vigencia: 16.11.12 5 14.- ELABORACIÓN PROTOCOLO Elaboración Equipo Representante Fecha Elaboración Medicina Interna/Intensiva Hospital de Talagante Dr. Juan Carlos Marrero 16 / Noviembre / 2011 Revisión Dr. Carlos Almazán Arcil Validación Servicio de Salud Metropolitano Occidente
  • 6.
    SERVICIO DE SALUDMETROPOLITANO OCCIDENTE PROTOCOLOS DE REFERENCIA-CONTRAREFERENCIA ENFERMEDADES CARDIOVASCULARES DEL ADULTO ARRITMIAS CARDIACAS Código: Edición: 1 Fecha elaboración: 16.11.11 Página 6 de 8 Vigencia: 16.11.12 6 15.- ANEXOS Si No No Si Si CVE sincronizada: Dosis inicial recomendada: QRS angosto y regular: 50 – 100 J QRS angosto e irregular: 120 – 200 J bifásico o 200 J monofásico QRS ancho y regular: 100 J QRS ancho e irregular: Desfibrilación no sincronizada Dosis de adenosina: 1era dosis: 6 mg rápido en bolo EV, seguido de un bolo de arrastre de SF 2da dosis: 12 mg (solo si es requerida) Infusión de Antiarritmicos para la Taquicardia con QRS ancho estable Amiodarona EV: 1era dosis: 150 mg en 10 min, puede repetirse si es necesario TAQUICARDIA Con pulso FC > 150/min Identificar y tratar la causa subyacente * Mantener via aerea permeable, asistir la ventilacion si es necesario * Suministre oxigeno (si hay hipoxemia) *MonitorizarECG (identifique el ritmo), la presión arterial y la oximetría * Identifique y trate las causas reversibles La taquiarritmia persistente produce: alteraciones del estado mental, dolor precordial hipotensión signos de shock signos de ICC Realice inmediatamente cardioversión sincronizada * Establezca una vía i.v y administre sedantes si el paciente está consciente; no retrase la cardioversión * Si el QRS es angosto, considere administrar adenosina * Si se desarrolla un paro cardiorrespiratorio, consulte el algorritmo para paro cardiorespiratorio * Establezca una vía i.v * Obtenga un ECG de 12 derivaciones (cuando este disponible) * Considere adenosina solo si el ritmo es regular y monomorfo * Considere infusion de antiarritmicos * Considere la opinion de un experto QRS ANCHO > 0.12 seg * Establezca una vía i.v * Obtenga un ECG de 12 derivaciones (cuando este disponible) * Maniobras vagales * Considere adenosina (si es regular) * Considere usar B bloqueadores o bloqueadores de los canales de Ca * Considere la opinion de un experto
  • 7.
    SERVICIO DE SALUDMETROPOLITANO OCCIDENTE PROTOCOLOS DE REFERENCIA-CONTRAREFERENCIA ENFERMEDADES CARDIOVASCULARES DEL ADULTO ARRITMIAS CARDIACAS Código: Edición: 1 Fecha elaboración: 16.11.11 Página 7 de 8 Vigencia: 16.11.12 7 seguido por una infusión de un 1 mg/min por 6 horas
  • 8.
    SERVICIO DE SALUDMETROPOLITANO OCCIDENTE PROTOCOLOS DE REFERENCIA-CONTRAREFERENCIA ENFERMEDADES CARDIOVASCULARES DEL ADULTO ARRITMIAS CARDIACAS Código: Edición: 1 Fecha elaboración: 16.11.11 Página 8 de 8 Vigencia: 16.11.12 8 Identificar y tratar la causa subyacente Mantenga abierta la vía aérea; asista la respiración, si es necesario Suministre oxígeno, si es necesario Vigile el ECG (identifique el ritmo), la presión arterial y la oximetría Establezca una vía venosa ECG 12 derivadas, no demorar la terapia ¿Signos o síntomas de mala perfusión causada por la bradicardia? (por ejemplo, alteración aguda del estado mental, dolor precordial continuo, hipotensión, falla cardiaca aguda u otros signos de “shock”) Observe / vigile * Prepárese para utilizar un marcapaso transcutáneo; utilice el marcapaso sin demora en caso de bloqueo de alto grado (bloqueo AV de segundo grado tipo II o de tercer grado) * Considere la administración de 0.5 mg de atropina I.V. mientras espera el marcapaso, se puede repetir la atropina cada 3-5 mtos hasta alcanzar una dosis total de 3 mg. Si no resulta efectivo, utilice el marcapaso * Considere la infusión de: Epinefrina (2 a10 mcg/min) o de Dopamina ( 2 a 10 mcg/Kg/min) mientrasespera el marcapaso o si la estimulación con éste no es efectiva Considerar: Consultar a un experto Instalar un Marcapaso transvenoso Recuerde: * Compruebe y trate los posibles factores que contribuyen al cuadro: - Hipovolemia - Tóxicos - Hipoxia - Taponamiento cardíaco - Hidrogeniones (acidosis) - Neumotórax a tensión - Hipocalemia/hipercalemia - Trombosis (coronaria - Hipoglucemia o pulmonar) - Hipotermia - Traumatismo (hipovolemia, incremento de la PIC) NO SI BRADICARDIA CON PULSO Frecuencia cardiaca < 50/m e inadecuada para su cuadro clínico