Incrustar presentación
Descargado 34 veces











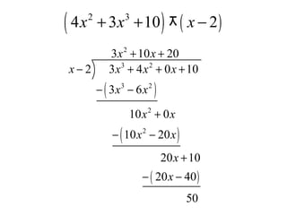
Este documento describe métodos para dividir polinomios, incluyendo división larga, división sintética y sustitución sintética. Explica cómo utilizar división sintética para dividir polinomios y binomios lineales, y cómo aplicar el teorema del residuo. También proporciona ejemplos de cómo usar sustitución sintética para evaluar polinomios para valores dados.









