Eicosanoides
Características
• Son fosfolípidos de membrana
• Prostaglandinas, leucotrienos, prostaciclina, tromboxanos,
epoxiácidos, lipoxinas, hemoxilinas.
• Moléculas de 20 carbonos. Se forman por tres vías: COX, LOX P-450
• Función: actúan como moduladores y mediadores de procesos
fisiológicos y patológicos.
• Se forman a partir de a.grasos: acido dihomo linoleico, acido
araquidónico, acido eicosapentanoico.
Ácido araquidónico
Estimulo a receptores de
membrana unidos a prote G
Activa
fosfolipasas y
eleva Ca+
COX-1 COX2 Citosólicas y LOX
Forman PGG2 y
PGH
Oxigenado por
enzimas:
Catalizan oxidación aa
a sus hidroperóxidos
Tromboxanos y prostaglandinas Leucotrienos, lipoxinas, hemoxilinas
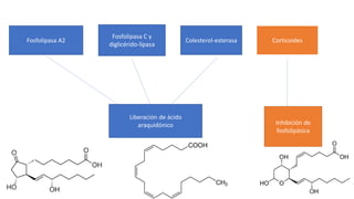
Fosfolipasa A2
Fosfolipasa C y
diglicérido-lipasa
Colesterol-esterasa Corticoides
Liberación de ácido
araquidónico Inhibición de
fosfolipásica
Ciclooxigenasa
COX1 COX2
Siempre presente en tejidos No esta normalmente en tejidos, es una resp inmune
Responde por estimulación hormonal Responde a estímulos de lesión tisular: IL, interferón,
TNF.
Interviene en procesos fisiológicos homeostáticos Se presenta en procesos patológicos
Actividad: 2-4 veces Actividad: 10-20 veces
Distribución: riñón, endotelio vascular, plaquetas,
mucosa gástrica, intestino.
Distribución: SNC, riñón, células epiteliales, sinoviales,
condrocitos, fibroblastos y macrófagos.
Glucocorticoides no inhiben actividad Glucocorticoides inhiben su actividad
Lipooxigenasa
• Incorpora el acido araquidónico a una molécula de O2.
• 5LOX, 12LOX, 15LOX.
• 5LOX 5HPETE Prote FLAP LTA LTC4, LTD4, LTE4
leucotrienos
• LTD4 y LTC broncoconstrictores involucrados en anafilaxia y asma.
• HPETE: 15-hidroperoxieicosatetraenoico
• FLAP: proteína activadora de 5LOX
• LTA: epóxido
p450
aa es oxigenado por epoxigenasas
Enzimas dependientes de NADPH con citocromo P450
Forma ácidos epocieicosatrienoicos EET
Control de reactividad vascular y transporte iónico en riñón
ISOPROSTANOS No requiere COX
Isoprostanos
Peroxidación
directa de aa
con radicales
libres
Formación
in situ
Relación con
entre lesión
tisular
Produce
radicales
libres
catabolismo
• Eicosanoides, prostaglandina, tromboxanos, leucotrienos actúan
dentro de células y los tejidos que los sintetizan. Pulmón.
PG2 95% se destruye en circulación pulmonar. Hidrolisis espontanea
PG1 única que escapa de esta eliminación pulmonar.
• Hay otros órganos que sintetizan: hígado, riñón, bazo, tejido adiposo
• Leucotrienos se convierten en derivados activos o inactivos.
Mecanismo de acción: receptores
• Prostanoides:
EP-PGE2
EP1
EP2
EP3
EP4
DP-PGD
FP-PGF
IP-PGI
TP-TXA
Estimula AMPc
Inositoltrifosfato-diaglicerol y
aumento de Ca
Función acopladora dependiente de prote G y función transductora de señales
• Leucotrienos:
• Receptores LTB4, LTC4,LTD4/LTE4
• Receptor Cist-LT1 median broncoconstricción, edema, hipersecreción
mucosa y quimiotaxis
• Receptor Cist-Lt2 localiza en endotelio, corazón, placenta, bazo. No hay
en pulmón
Funciones fisiopatológicas
• Influyen en la mayoría de las funciones del organismo, son
aumentados por procesos fisiológicos y no fisiológicos.
• Asociados a control y regulación: pa, equilibrio electrolítico, liberación
de renina, agregación plaquetaria, trabajo de parto. Fiebre, dolor,
inflamación, canecer de colon, ateroesclerosis, asma
Sistema/Aparato Características
s. Cardiovascular Vasodilata, permeabilidad vascular (PG2), inhibe
adhesión plaquetaria a endotelio vascular, antagoniza
tromboxano. En perinatal, abre conducto arterioso,
inhibe ciclooxigenasa.
PGF2α vasoconstricción. PGE2 baja pa y aumenta
flujo.
LTC4 LTD vasoconstrictor y bajan flujo
Plaquetas Trombocitos son estimulados por liberación de acido
araquidónico y formación de TXA2. PGI2 inhibe
mecanismo y evita trombos
Leucocitos Neutrófilos liberan eicosanoides y son un factor
quimiotáxico. Leucotrienos alteran permeabilidad
vascular. PGE2 inhibe proliferación celular, formación
leucotrienos y liberación de linfocinas.
Riñón Prostaglandinas aumentan flujo sanguíneo, diuresis y
natriuresis. PGE2 inhibe hormona antidiurética atenúa
reabsorción de H2O y Na, estimulan renina.
Leucotrienos dan vasoconstricción de vasos
S. Endocrino y reproductor PGE estimula liberación de GH, PRL, TSH, ACTH, FSH, LH.
PGE2 y PGF mantienen contracciones uterinas. El uso de
inhibidores COX prolonga gestación
S. Nervioso PGE2 aumentan temperatura, mediador del dolor. PGD2
induce sueño. LTB4 da efecto hiperalgésico
A. Gastrointestinal PGE2 contrae musc liso y relaja circular, mientras qué
las demás prostaglandinas y leucotrienos contraen
musc circular. Contracción dolorosa, diarrea, nausea,
vomito. PGE v. oral induce el aborto.
Disminuyen el volumen de secreción gástrica, acidez,
secreción de moco.
A. Respiratorio Prostaglandina y leucotrienos son potentes
broncoconstrictores , aumentan permeabilidad
vascular y vasoconstricción.
Leucotrienos actúan en Cist-LT1: broncoespasmo,
secreción mucosa, permeabilidad microvascular,
edema vías respiratorias y deterioro funcional pulm.
Inflamación Leucotrienos y prostaglandinas dan respuestas
proinflamatorias. Potencian efecto vasodilatador de
histamina y bradicinina, dolor y fiebre. Leucotrienos
aumentan permeabilidad vascular.
Indicación terapéutica: Eicosanoides
• Dinoprost: (PGE2)Vi o Vo. Inducir parto en casos de muerte
intrauterina. Segundo trimestre de gestación. Facilita trabajo de
parto, dilata cérvix. Vía vaginal en gel o supositorios. Puede causar
nausea, diarrea, hipotensión, cefalea, en dosis alta provoca rotura
uterina. Administración intravaginal junto con Misoprosol y
mifepristona es abortiva
• Misoprosol: (PGE1) previene de ulcera gastroduodenal en pacientes
con AINE e latas dosis, alivia dolor osteoartritis.
• Alprostadilo: (PGE1) infusión intravenosa. Mantiene abierto conducto
arterioso en niños, en espera de corrección quirúrgica de vasos
grandes.
• Epoprostenol: (PGE2) Inhibe agregación plaquetaria en hemodiálisis
cuando heparina esta contraindicada y en hipertensión pulmonar.
• Alprostadilo: (PGE1) inyección intracavernosa o inserción uretral.
Tratamiento para impotencia sin lesiones del cuerpo cavernoso o
sistema vascular
• Latanoprost : (PGF2) en glaucoma, disminuye presión intraocular.
Cuando otros fármacos estén contraindicados.
• Dazoxiben: inhibidor selectivo de tromboxano-sintetasa. Previene de
trombos, hiperactividad vascular. Aplicación clínica no tuvo resultados
esperados
• Daltroban: antagonista tromboxano, inhibe agregación plaquetaria y
aumenta tiempo de sangría. Estudios no dieron resultados para
angioplastia.
• Zileuton: inhibidor 5-LOX (bloquea leucotrienos) tratamiento para
asma, necesita 4 dosis diarias. Gran hepatotoxicidad
• Montelukast, zafirlukast: 1 o 2 tomas diarias, son antileucotrienos de
elección para tratamiento para asma, son menos hepatotóxicos.

Eicosanoides.pptx

  • 1.
  • 2.
    Características • Son fosfolípidosde membrana • Prostaglandinas, leucotrienos, prostaciclina, tromboxanos, epoxiácidos, lipoxinas, hemoxilinas. • Moléculas de 20 carbonos. Se forman por tres vías: COX, LOX P-450 • Función: actúan como moduladores y mediadores de procesos fisiológicos y patológicos. • Se forman a partir de a.grasos: acido dihomo linoleico, acido araquidónico, acido eicosapentanoico.
  • 3.
    Ácido araquidónico Estimulo areceptores de membrana unidos a prote G Activa fosfolipasas y eleva Ca+ COX-1 COX2 Citosólicas y LOX Forman PGG2 y PGH Oxigenado por enzimas: Catalizan oxidación aa a sus hidroperóxidos Tromboxanos y prostaglandinas Leucotrienos, lipoxinas, hemoxilinas
  • 4.
    Fosfolipasa A2 Fosfolipasa Cy diglicérido-lipasa Colesterol-esterasa Corticoides Liberación de ácido araquidónico Inhibición de fosfolipásica
  • 5.
    Ciclooxigenasa COX1 COX2 Siempre presenteen tejidos No esta normalmente en tejidos, es una resp inmune Responde por estimulación hormonal Responde a estímulos de lesión tisular: IL, interferón, TNF. Interviene en procesos fisiológicos homeostáticos Se presenta en procesos patológicos Actividad: 2-4 veces Actividad: 10-20 veces Distribución: riñón, endotelio vascular, plaquetas, mucosa gástrica, intestino. Distribución: SNC, riñón, células epiteliales, sinoviales, condrocitos, fibroblastos y macrófagos. Glucocorticoides no inhiben actividad Glucocorticoides inhiben su actividad
  • 6.
    Lipooxigenasa • Incorpora elacido araquidónico a una molécula de O2. • 5LOX, 12LOX, 15LOX. • 5LOX 5HPETE Prote FLAP LTA LTC4, LTD4, LTE4 leucotrienos • LTD4 y LTC broncoconstrictores involucrados en anafilaxia y asma. • HPETE: 15-hidroperoxieicosatetraenoico • FLAP: proteína activadora de 5LOX • LTA: epóxido
  • 7.
    p450 aa es oxigenadopor epoxigenasas Enzimas dependientes de NADPH con citocromo P450 Forma ácidos epocieicosatrienoicos EET Control de reactividad vascular y transporte iónico en riñón
  • 8.
    ISOPROSTANOS No requiereCOX Isoprostanos Peroxidación directa de aa con radicales libres Formación in situ Relación con entre lesión tisular Produce radicales libres
  • 9.
    catabolismo • Eicosanoides, prostaglandina,tromboxanos, leucotrienos actúan dentro de células y los tejidos que los sintetizan. Pulmón. PG2 95% se destruye en circulación pulmonar. Hidrolisis espontanea PG1 única que escapa de esta eliminación pulmonar. • Hay otros órganos que sintetizan: hígado, riñón, bazo, tejido adiposo • Leucotrienos se convierten en derivados activos o inactivos.
  • 10.
    Mecanismo de acción:receptores • Prostanoides: EP-PGE2 EP1 EP2 EP3 EP4 DP-PGD FP-PGF IP-PGI TP-TXA Estimula AMPc Inositoltrifosfato-diaglicerol y aumento de Ca Función acopladora dependiente de prote G y función transductora de señales
  • 11.
    • Leucotrienos: • ReceptoresLTB4, LTC4,LTD4/LTE4 • Receptor Cist-LT1 median broncoconstricción, edema, hipersecreción mucosa y quimiotaxis • Receptor Cist-Lt2 localiza en endotelio, corazón, placenta, bazo. No hay en pulmón
  • 12.
    Funciones fisiopatológicas • Influyenen la mayoría de las funciones del organismo, son aumentados por procesos fisiológicos y no fisiológicos. • Asociados a control y regulación: pa, equilibrio electrolítico, liberación de renina, agregación plaquetaria, trabajo de parto. Fiebre, dolor, inflamación, canecer de colon, ateroesclerosis, asma
  • 13.
    Sistema/Aparato Características s. CardiovascularVasodilata, permeabilidad vascular (PG2), inhibe adhesión plaquetaria a endotelio vascular, antagoniza tromboxano. En perinatal, abre conducto arterioso, inhibe ciclooxigenasa. PGF2α vasoconstricción. PGE2 baja pa y aumenta flujo. LTC4 LTD vasoconstrictor y bajan flujo Plaquetas Trombocitos son estimulados por liberación de acido araquidónico y formación de TXA2. PGI2 inhibe mecanismo y evita trombos Leucocitos Neutrófilos liberan eicosanoides y son un factor quimiotáxico. Leucotrienos alteran permeabilidad vascular. PGE2 inhibe proliferación celular, formación leucotrienos y liberación de linfocinas.
  • 14.
    Riñón Prostaglandinas aumentanflujo sanguíneo, diuresis y natriuresis. PGE2 inhibe hormona antidiurética atenúa reabsorción de H2O y Na, estimulan renina. Leucotrienos dan vasoconstricción de vasos S. Endocrino y reproductor PGE estimula liberación de GH, PRL, TSH, ACTH, FSH, LH. PGE2 y PGF mantienen contracciones uterinas. El uso de inhibidores COX prolonga gestación S. Nervioso PGE2 aumentan temperatura, mediador del dolor. PGD2 induce sueño. LTB4 da efecto hiperalgésico
  • 15.
    A. Gastrointestinal PGE2contrae musc liso y relaja circular, mientras qué las demás prostaglandinas y leucotrienos contraen musc circular. Contracción dolorosa, diarrea, nausea, vomito. PGE v. oral induce el aborto. Disminuyen el volumen de secreción gástrica, acidez, secreción de moco. A. Respiratorio Prostaglandina y leucotrienos son potentes broncoconstrictores , aumentan permeabilidad vascular y vasoconstricción. Leucotrienos actúan en Cist-LT1: broncoespasmo, secreción mucosa, permeabilidad microvascular, edema vías respiratorias y deterioro funcional pulm. Inflamación Leucotrienos y prostaglandinas dan respuestas proinflamatorias. Potencian efecto vasodilatador de histamina y bradicinina, dolor y fiebre. Leucotrienos aumentan permeabilidad vascular.
  • 16.
    Indicación terapéutica: Eicosanoides •Dinoprost: (PGE2)Vi o Vo. Inducir parto en casos de muerte intrauterina. Segundo trimestre de gestación. Facilita trabajo de parto, dilata cérvix. Vía vaginal en gel o supositorios. Puede causar nausea, diarrea, hipotensión, cefalea, en dosis alta provoca rotura uterina. Administración intravaginal junto con Misoprosol y mifepristona es abortiva • Misoprosol: (PGE1) previene de ulcera gastroduodenal en pacientes con AINE e latas dosis, alivia dolor osteoartritis. • Alprostadilo: (PGE1) infusión intravenosa. Mantiene abierto conducto arterioso en niños, en espera de corrección quirúrgica de vasos grandes.
  • 17.
    • Epoprostenol: (PGE2)Inhibe agregación plaquetaria en hemodiálisis cuando heparina esta contraindicada y en hipertensión pulmonar. • Alprostadilo: (PGE1) inyección intracavernosa o inserción uretral. Tratamiento para impotencia sin lesiones del cuerpo cavernoso o sistema vascular • Latanoprost : (PGF2) en glaucoma, disminuye presión intraocular. Cuando otros fármacos estén contraindicados.
  • 18.
    • Dazoxiben: inhibidorselectivo de tromboxano-sintetasa. Previene de trombos, hiperactividad vascular. Aplicación clínica no tuvo resultados esperados • Daltroban: antagonista tromboxano, inhibe agregación plaquetaria y aumenta tiempo de sangría. Estudios no dieron resultados para angioplastia. • Zileuton: inhibidor 5-LOX (bloquea leucotrienos) tratamiento para asma, necesita 4 dosis diarias. Gran hepatotoxicidad • Montelukast, zafirlukast: 1 o 2 tomas diarias, son antileucotrienos de elección para tratamiento para asma, son menos hepatotóxicos.