Para iniciarse en el estudio del álgebra, es

importante utilizar principios básicos de la
aritmética.
Saber sumar, restar, multiplicar, divididir,
potenciar y obtener raices cuadráticas; utilizar
los signos adecuadamente y comprender por lo
menos, los axiomas de las propiedades de los
números reales.
un numero lo escribimos......................... x
la suma de dos números..................................... a+b
el producto de tres números ...................................abc
el cociente de dos números .......................................x / y
Cada uno de los resultados de las
operaciones básicas de la aritmética,
tiene un nombre, con el cual sabemos
como escribirlo en una expresión
algebraica.
Definimos entonces
TERMINO, como la unidad más
pequeña de una expresión
algebraica. Y cada termino, consta
de un coeficiente, una literal y un
exponente.
Cuando sumamos dos o más
términos, cuidamos que estos
términos sean semejantes. Dos
terminos son semejantes, si tienen
la misma literal y el mismo
exponente.
Para realizar esta operación, es
básico conocer las leyes de los
exponentes. En este caso, para la
multiplicación los exponentes se
suman y los coeficientes se
multiplican.
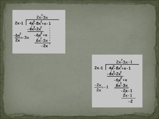
Ahora, una división algebráica es
similar a una división aritmética. El
único variante que hay entre la
operación aritmética y algebráica
es que la división algebráica
cuidamos el orden en que
colocamos cada uno los términos
asociados al cociente, a los
subproductos y al residuo.

Una vez que realizaste la
resta (el resultado en
negro), procedes a bajar
el siguiente término y
continuar con la división,
repitiendo los mismos
pasos hasta terminar tu
división.

Ahora, colocamos este
cociente intermedio sobre la
casita, sobre las x cuadradas,
en ese orden. Y multiplicamos
al divisor por este resultado. El
producto de la multiplicación
lo colocamos debajo del
polinomio dividendo,
cambiándole de signo y
realizamos la resta 
Fundamentos del algebra
Fundamentos del algebra
Fundamentos del algebra

Fundamentos del algebra

  • 2.
    Para iniciarse enel estudio del álgebra, es importante utilizar principios básicos de la aritmética. Saber sumar, restar, multiplicar, divididir, potenciar y obtener raices cuadráticas; utilizar los signos adecuadamente y comprender por lo menos, los axiomas de las propiedades de los números reales.
  • 3.
    un numero loescribimos......................... x la suma de dos números..................................... a+b el producto de tres números ...................................abc el cociente de dos números .......................................x / y
  • 4.
    Cada uno delos resultados de las operaciones básicas de la aritmética, tiene un nombre, con el cual sabemos como escribirlo en una expresión algebraica. Definimos entonces TERMINO, como la unidad más pequeña de una expresión algebraica. Y cada termino, consta de un coeficiente, una literal y un exponente.
  • 5.
    Cuando sumamos doso más términos, cuidamos que estos términos sean semejantes. Dos terminos son semejantes, si tienen la misma literal y el mismo exponente.
  • 6.
    Para realizar estaoperación, es básico conocer las leyes de los exponentes. En este caso, para la multiplicación los exponentes se suman y los coeficientes se multiplican.
  • 7.
    Ahora, una divisiónalgebráica es similar a una división aritmética. El único variante que hay entre la operación aritmética y algebráica es que la división algebráica cuidamos el orden en que colocamos cada uno los términos asociados al cociente, a los subproductos y al residuo. Una vez que realizaste la resta (el resultado en negro), procedes a bajar el siguiente término y continuar con la división, repitiendo los mismos pasos hasta terminar tu división. Ahora, colocamos este cociente intermedio sobre la casita, sobre las x cuadradas, en ese orden. Y multiplicamos al divisor por este resultado. El producto de la multiplicación lo colocamos debajo del polinomio dividendo, cambiándole de signo y realizamos la resta