1
Funciones Crecientes, Decrecientes y Constantes
Extremos Locales
Funciones Pares e Impares
2
Objetivos:Objetivos:
1.1. Determinar los intervalos en donde laDeterminar los intervalos en donde la
gráfica de una función es creciente,gráfica de una función es creciente,
decreciente o constante.decreciente o constante.
2.2. Definir y hallar extremos locales en laDefinir y hallar extremos locales en la
gráfica de una función.gráfica de una función.
3.3. Determinar los intervalos en donde laDeterminar los intervalos en donde la
función es positiva o es negativa.función es positiva o es negativa.
5. Determinar si una función es par,impar o5. Determinar si una función es par,impar o
ninguna.ninguna.
6.6. Determinar la simetría de una función
usando la gráfica.
3
Definiciones:Definiciones:
Una funciónUna función ff eses crecientecreciente en un intervalo abiertoen un intervalo abierto II sisi
siempre quesiempre que tenemos quetenemos que
para cualquier escogido depara cualquier escogido de xx11 yy xx22 enen I.I.
1 2x x<1 2( ) ( )f x f x<
Aclaración:Aclaración: Si nos movemos a la derecha sobreSi nos movemos a la derecha sobre
el eje deel eje de xx la gráfica de la función va subiendo.la gráfica de la función va subiendo.
Página Inicial
4
-7 -6 -5 -4 -3 -2 -1 1 2 3 4 5 6 7
-6
-5
-4
-3
-2
-1
1
2
3
4
5
6
x
f(x)
1x
( )1xf
2x
( )2xf
21 xx <
( ) ( )21 xfxf <
Ilustración de una función creciente
5
DefiniciónDefinición
Una funciónUna función ff eses decrecientedecreciente en un intervalo abiertoen un intervalo abierto I,I,
si para cualquier escogido desi para cualquier escogido de xx11 yy xx22 enen II, con, con xx11 << xx22,,
tenemos quetenemos que
ff((xx11) >) > ff((xx22).).
Aclaración:Aclaración: Si nos movemos a la derecha sobre el eje deSi nos movemos a la derecha sobre el eje de
x la gráfica de la función va bajando.x la gráfica de la función va bajando.
6
-7 -6 -5 -4 -3 -2 -1 1 2 3 4 5 6 7
-6
-5
-4
-3
-2
-1
1
2
3
4
5
6
x
f(x)
1x
( )1xf
2x
( )2xf
21 xx <
( ) ( )1 2f x f x>
Ilustración de una función decreciente
8
-7 -6 -5 -4 -3 -2 -1 1 2 3 4 5 6 7
-6
-5
-4
-3
-2
-1
1
2
3
4
5
6
x
f(x)
1x 2x
21 xx <
( ) ( )21 xfxf =
Ilustración de una función constante
9
-7 -6 -5 -4 -3 -2 -1 1 2 3 4 5 6 7
-6
-5
-4
-3
-2
-1
1
2
3
4
5
6
x
f(x)
Ejemplos:
Use las gráficas para encontrar los intervalosUse las gráficas para encontrar los intervalos
en donde la función esen donde la función es crecientecreciente,, decrecientedecreciente
oo constanteconstante..
[ )1,∞
Creciente en:
( )∞∞− ,
( ) .0≥xfDetermina los intervalos en dondeetermina los intervalos en donde
( ) 0f x en≥
10
-7 -6 -5 -4 -3 -2 -1 1 2 3 4 5 6 7
-6
-5
-4
-3
-2
-1
1
2
3
4
5
6
x
f(x)
(-6, -3)
(-4, 4)
(-1, 1)
(6, -3)(2, -3)
Creciente
Decreciente
Constante en
( )2,6
( )-4,2
( )-6,-4
11
-7 -6 -5 -4 -3 -2 -1 1 2 3 4 5 6 7
-6
-5
-4
-3
-2
-1
1
2
3
4
5
6
x
f(x)
( )3,3−
( )2, 5− ( )0,5
( )2,1 ( )4, 1
Creciente en:
( )5, 2− − ∪ ( )4, ∞
Decreciente en:
Constante en:
( )2,0− ∪ ( )2,4
( )0,2
( )5,0−
( ) .0≥xfDetermina los intervalos en dondeetermina los intervalos en donde [ )5,− ∞
12
Una función f tiene un máximo local (relativo) en
x = c si existe un intervalo abierto I que contiene a c
tal que, para todo x en I, f(x) < f(c).
Llamamos a f (c) el máximo local (relativo) de f en c.
Definiciones:Definiciones:
Una función f tiene un mínimo local (relativo) en
x = c si existe un intervalo abierto I que contiene a c
tal que f (x) > f (c) para todo x en I.
Llamamos a f (c) el mínimo local (relativo) de f en c.
Página Inicial
13
-7 -6 -5 -4 -3 -2 -1 1 2 3 4 5 6 7
-6
-5
-4
-3
-2
-1
1
2
3
4
5
6
f(x)
x
Ejemplo:Ejemplo:
Encuentra el máximo y/o mínimo local de la función.Encuentra el máximo y/o mínimo local de la función.
( )3, 2− −
Decreciente en:
( ), 3−∞ −
Creciente en:
( )3,− ∞
Punto mínimo
f no tiene punto
máximo local
Punto mínimo
( )3, 2− −
es el mínimo
local
2−
14
Ejemplos:
Para los siguientes ejercicios encuentra los
puntos extremos relativos( locales ) y
determina los intervalos en donde la función es
creciente o decreciente.
( ) 24
63)1 xxxf −=
( ) 3)2 += xxxf
( ) 2
3) 3 4 2f x x x= − −
( ) 3
4) 3f x x x= −
( ) ( ) ( )5) 2 3f x x x x= − +
( ) 3 2
6) 2 5 4 1f x x x x= − − −
( ) 2
7) 4f x x x= −
Solución
Solución
Solución
Solución
Solución
Solución
Solución
15
Ejemplos:
Para los siguientes ejercicios encuentra los
puntos extremos relativos( locales ) y
determina los intervalos en donde la función es
creciente o decreciente.
( ) 24
63)1 xxxf −=
Punto máximo relativo
es creciente en los intervalosf
-7 -6 -5 -4 -3 -2 -1 1 2 3 4 5 6 7
-6
-5
-4
-3
-2
-1
1
2
3
4
5
6
f(x)
x(0,0)
(1,- 3)(-1,- 3)
Puntos mínimos relativos
Punto máximo relativo
(0,0)
(-1,- 3) y (1,- 3)
es decreciente en los intervalosf
( ), 1−∞ − ∪ ( )1,0
( )1, 0− ∪ ( )∞,1
16
-7 -6 -5 -4 -3 -2 -1 1 2 3 4 5 6 7
-6
-5
-4
-3
-2
-1
1
2
3
4
5
6
f(x)
x
( ) 3)2 += xxxf
( )2,2 −− Punto mínimo
es creciente en el
intervalo
f
Punto mínimo relativo
No tiene punto máximo
relativo
es decreciente en el
intervalo
f
( )3, 2− −
( )2,− ∞
0<( ) en el intervalof x
( )3,0−
( )2, 2− −
Mínimo local
17
-7 -6 -5 -4 -3 -2 -1 1 2 3 4 5 6 7
-6
-5
-4
-3
-2
-1
1
2
3
4
5
6
f(x)
x
( ) 2
3) 3 4 2f x x x= − −
2 10
,
3 3
 
− ÷
 
2 4
3( ) 2
3
y x x= − −
24 4 4
3 3 2
9 3 9
y x x
   
+ = − + − ÷  ÷
   
2
10 2
3
3 3
y x
 
+ = − ÷
 
2
1 10 2
3 3 3
y x
   
+ = − ÷  ÷
   
24 4 4
2 3
3 3 9
y x x
 
+ + = − + ÷
 
Punto mínimo
es creciente en los intervalosf
es decreciente en los intervalosf
2
,
3
 
−∞ ÷
 
2
,
3
 
∞ ÷
 
Mínimo local
18
-7 -6 -5 -4 -3 -2 -1 1 2 3 4 5 6 7
-6
-5
-4
-3
-2
-1
1
2
3
4
5
6
f(x)
x
( ) 3
4) 3f x x x= −
( )2,1−
( )2-,1
Máximo relativo
Mínimo relativo
( ) ( ), 3 0, 3−∞ ∪
3
0 3x x= −
( )2
0 3x x= −
2
0 ; 3 0x x= − =
0 ; 3x x= = ±
( ) 0.f x <
Determina losetermina los
intervalos enintervalos en
dondedonde
19
-10 -9 -8 -7 -6 -5 -4 -3 -2 -1 1 2 3 4 5 6 7 8 9 10 11
-10
-9
-8
-7
-6
-5
-4
-3
-2
-1
1
2
3
4
5
6
7
8
9
( ) ( ) ( )5) 2 3f x x x x= − +
( )8.209,786.1−
( )4.061-,120.1
Punto máximo
relativo
Punto mínimo
relativo
Máximo relativo
8.209
( )8.209,786.1−
( )4.061-,120.1
es creciente en
los intervalos
f
es decreciente en
el intervalo
f
( )1.786,1.12−
( )1.12, ∞( ), 1.786− ∞ − ∪
20
-16-15-14-13-12-11-10-9-8-7-6-5-4-3-2-1 1 2 3 4 5 6 7 8 9 10111213141516
-15
-14
-13
-12
-11
-10
-9
-8
-7
-6
-5
-4
-3
-2
-1
1
2
3
4
5
6
7
8
9
10
11
12
13
14 f(x)
x
Máximo relativo
( ) 3 2
6) 2 5 4 1f x x x x= − − −
( )0.333, 0.296− −
( )2, 13−
Mínimo relativo
Punto máximo
relativo
Punto mínimo
relativo
( ).333, .296− −
( )2, 13−
es creciente en
los intervalos
f
es decreciente en
el intervalo
f
( )0.333,2−
( )2, ∞( ), 0.333− ∞ − ∪
21
-7 -6 -5 -4 -3 -2 -1 1 2 3 4 5 6 7
-6
-5
-4
-3
-2
-1
1
2
3
4
5
6
f(x)
x
-7 -6 -5 -4 -3 -2 -1 1 2 3 4 5 6 7
-6
-5
-4
-3
-2
-1
1
2
3
4
5
6
x
f(x)
( ) 2
7) 4f x x x= −
( )2, 4−
Punto mínimo relativo
( )0,0 ( )0,4
Interceptos en x
( ] [ ), 0 4,−∞ ∞U
( )4 0x x − =
0; 4 0x x= − =
( )
2
(2) 2 4(2)
4
f = −
= −
( ) .0≥xf
Determina losetermina los
intervalos enintervalos en
dondedonde
22
-7 -6 -5 -4 -3 -2 -1 1 2 3 4 5 6 7
-6
-5
-4
-3
-2
-1
1
2
3
4
5
6
x
f(x)
DefiniciónDefinición
Una funciónUna función f,f, eses parpar si para cada númerosi para cada número xx en elen el
dominio dedominio de ff el númeroel número -x-x también está en el dominio,también está en el dominio,
y se cumple quey se cumple que ( ) ( )f x f x− =
( ))(, xfx
xx−
( )f x( )f x−( ), ( )x f x− −
Página Inicial
23
-7 -6 -5 -4 -3 -2 -1 1 2 3 4 5 6 7
-6
-5
-4
-3
-2
-1
1
2
3
4
5
6
x
f(x)
Definición
Una función f es impar si para cada número x en el
dominio de f , el número -x también está en el dominio
de f y se cumple que )()( xfxf −=−
( ))(, xfx
x
x−
( )f x
( )f x−
( ), ( )x f x− −
24
2
1. ( ) 3 4f x x= +
( )
2
( ) 3 4f x x− = − +
43 2
+= x
( )xf=
( ) par.esxf
Ejemplos:
Determina si la función es par, impar o ninguna.
25
2
2. ( ) 5 1f x x x= − +
( ) ( ) 15)(
2
+−−−=− xxxf
152
++= xx
( )xf≠
( ) no es par, ni es impar.f x
26
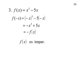
3
3. ( ) 5f x x x= −
( ) ( )xxxf −−−=− 5)(
3
xx 53
+−=
( )xf−=
( ) impar.esxf
27
2
4. ( ) 3 4 2f x x x= − −
=− )( xf ( ) ( ) 243
2
−−−− xx
243 2
−+= xx
( ) impar.esnopar;esnoxf
28
Teorema:Teorema:
Una función esUna función es parpar si y solo si su gráfica essi y solo si su gráfica es
simétricasimétrica con respecto alcon respecto al eje de yeje de y..
Una función esUna función es imparimpar si y solo si su gráfica essi y solo si su gráfica es
simétricasimétrica concon respecto al origen.respecto al origen.
29Ejemplo 1
Determina si las función es par, impar o ninguna.
La función es simétrica respecto al eje deLa función es simétrica respecto al eje de yy por lo tanto es par.por lo tanto es par.
-7 -6 -5 -4 -3 -2 -1 1 2 3 4 5 6 7
-6
-5
-4
-3
-2
-1
1
2
3
4
5
6
x
f(x)
30
-7 -6 -5 -4 -3 -2 -1 1 2 3 4 5 6 7
-6
-5
-4
-3
-2
-1
1
2
3
4
5
6
x
f(x)
(3, 3)(-3,3)
(-2,2) (2,2)
La función es simétrica respecto al eje deLa función es simétrica respecto al eje de yy por lo tanto es par.por lo tanto es par.
Ejemplo 2
Determina si la función es par, impar o ninguna.
31
La función es simétrica respecto al origen por lo tanto es impar.La función es simétrica respecto al origen por lo tanto es impar.
-7 -6 -5 -4 -3 -2 -1 1 2 3 4 5 6 7
-6
-5
-4
-3
-2
-1
1
2
3
4
5
6
x
f(x)
Ejemplo 3
Determina si la función es par, impar o ninguna.
32
La función no tiene simetría , por lo tanto no es par ni impar.La función no tiene simetría , por lo tanto no es par ni impar.
-7 -6 -5 -4 -3 -2 -1 1 2 3 4 5 6 7
-6
-5
-4
-3
-2
-1
1
2
3
4
5
6
x
f(x)
Ejemplo 4
Determina si la función es par, impar o ninguna.

Propiedades de Funciones - EMdH

  • 1.
    1 Funciones Crecientes, Decrecientesy Constantes Extremos Locales Funciones Pares e Impares
  • 2.
    2 Objetivos:Objetivos: 1.1. Determinar losintervalos en donde laDeterminar los intervalos en donde la gráfica de una función es creciente,gráfica de una función es creciente, decreciente o constante.decreciente o constante. 2.2. Definir y hallar extremos locales en laDefinir y hallar extremos locales en la gráfica de una función.gráfica de una función. 3.3. Determinar los intervalos en donde laDeterminar los intervalos en donde la función es positiva o es negativa.función es positiva o es negativa. 5. Determinar si una función es par,impar o5. Determinar si una función es par,impar o ninguna.ninguna. 6.6. Determinar la simetría de una función usando la gráfica.
  • 3.
    3 Definiciones:Definiciones: Una funciónUna funciónff eses crecientecreciente en un intervalo abiertoen un intervalo abierto II sisi siempre quesiempre que tenemos quetenemos que para cualquier escogido depara cualquier escogido de xx11 yy xx22 enen I.I. 1 2x x<1 2( ) ( )f x f x< Aclaración:Aclaración: Si nos movemos a la derecha sobreSi nos movemos a la derecha sobre el eje deel eje de xx la gráfica de la función va subiendo.la gráfica de la función va subiendo. Página Inicial
  • 4.
    4 -7 -6 -5-4 -3 -2 -1 1 2 3 4 5 6 7 -6 -5 -4 -3 -2 -1 1 2 3 4 5 6 x f(x) 1x ( )1xf 2x ( )2xf 21 xx < ( ) ( )21 xfxf < Ilustración de una función creciente
  • 5.
    5 DefiniciónDefinición Una funciónUna funciónff eses decrecientedecreciente en un intervalo abiertoen un intervalo abierto I,I, si para cualquier escogido desi para cualquier escogido de xx11 yy xx22 enen II, con, con xx11 << xx22,, tenemos quetenemos que ff((xx11) >) > ff((xx22).). Aclaración:Aclaración: Si nos movemos a la derecha sobre el eje deSi nos movemos a la derecha sobre el eje de x la gráfica de la función va bajando.x la gráfica de la función va bajando.
  • 6.
    6 -7 -6 -5-4 -3 -2 -1 1 2 3 4 5 6 7 -6 -5 -4 -3 -2 -1 1 2 3 4 5 6 x f(x) 1x ( )1xf 2x ( )2xf 21 xx < ( ) ( )1 2f x f x> Ilustración de una función decreciente
  • 7.
    8 -7 -6 -5-4 -3 -2 -1 1 2 3 4 5 6 7 -6 -5 -4 -3 -2 -1 1 2 3 4 5 6 x f(x) 1x 2x 21 xx < ( ) ( )21 xfxf = Ilustración de una función constante
  • 8.
    9 -7 -6 -5-4 -3 -2 -1 1 2 3 4 5 6 7 -6 -5 -4 -3 -2 -1 1 2 3 4 5 6 x f(x) Ejemplos: Use las gráficas para encontrar los intervalosUse las gráficas para encontrar los intervalos en donde la función esen donde la función es crecientecreciente,, decrecientedecreciente oo constanteconstante.. [ )1,∞ Creciente en: ( )∞∞− , ( ) .0≥xfDetermina los intervalos en dondeetermina los intervalos en donde ( ) 0f x en≥
  • 9.
    10 -7 -6 -5-4 -3 -2 -1 1 2 3 4 5 6 7 -6 -5 -4 -3 -2 -1 1 2 3 4 5 6 x f(x) (-6, -3) (-4, 4) (-1, 1) (6, -3)(2, -3) Creciente Decreciente Constante en ( )2,6 ( )-4,2 ( )-6,-4
  • 10.
    11 -7 -6 -5-4 -3 -2 -1 1 2 3 4 5 6 7 -6 -5 -4 -3 -2 -1 1 2 3 4 5 6 x f(x) ( )3,3− ( )2, 5− ( )0,5 ( )2,1 ( )4, 1 Creciente en: ( )5, 2− − ∪ ( )4, ∞ Decreciente en: Constante en: ( )2,0− ∪ ( )2,4 ( )0,2 ( )5,0− ( ) .0≥xfDetermina los intervalos en dondeetermina los intervalos en donde [ )5,− ∞
  • 11.
    12 Una función ftiene un máximo local (relativo) en x = c si existe un intervalo abierto I que contiene a c tal que, para todo x en I, f(x) < f(c). Llamamos a f (c) el máximo local (relativo) de f en c. Definiciones:Definiciones: Una función f tiene un mínimo local (relativo) en x = c si existe un intervalo abierto I que contiene a c tal que f (x) > f (c) para todo x en I. Llamamos a f (c) el mínimo local (relativo) de f en c. Página Inicial
  • 12.
    13 -7 -6 -5-4 -3 -2 -1 1 2 3 4 5 6 7 -6 -5 -4 -3 -2 -1 1 2 3 4 5 6 f(x) x Ejemplo:Ejemplo: Encuentra el máximo y/o mínimo local de la función.Encuentra el máximo y/o mínimo local de la función. ( )3, 2− − Decreciente en: ( ), 3−∞ − Creciente en: ( )3,− ∞ Punto mínimo f no tiene punto máximo local Punto mínimo ( )3, 2− − es el mínimo local 2−
  • 13.
    14 Ejemplos: Para los siguientesejercicios encuentra los puntos extremos relativos( locales ) y determina los intervalos en donde la función es creciente o decreciente. ( ) 24 63)1 xxxf −= ( ) 3)2 += xxxf ( ) 2 3) 3 4 2f x x x= − − ( ) 3 4) 3f x x x= − ( ) ( ) ( )5) 2 3f x x x x= − + ( ) 3 2 6) 2 5 4 1f x x x x= − − − ( ) 2 7) 4f x x x= − Solución Solución Solución Solución Solución Solución Solución
  • 14.
    15 Ejemplos: Para los siguientesejercicios encuentra los puntos extremos relativos( locales ) y determina los intervalos en donde la función es creciente o decreciente. ( ) 24 63)1 xxxf −= Punto máximo relativo es creciente en los intervalosf -7 -6 -5 -4 -3 -2 -1 1 2 3 4 5 6 7 -6 -5 -4 -3 -2 -1 1 2 3 4 5 6 f(x) x(0,0) (1,- 3)(-1,- 3) Puntos mínimos relativos Punto máximo relativo (0,0) (-1,- 3) y (1,- 3) es decreciente en los intervalosf ( ), 1−∞ − ∪ ( )1,0 ( )1, 0− ∪ ( )∞,1
  • 15.
    16 -7 -6 -5-4 -3 -2 -1 1 2 3 4 5 6 7 -6 -5 -4 -3 -2 -1 1 2 3 4 5 6 f(x) x ( ) 3)2 += xxxf ( )2,2 −− Punto mínimo es creciente en el intervalo f Punto mínimo relativo No tiene punto máximo relativo es decreciente en el intervalo f ( )3, 2− − ( )2,− ∞ 0<( ) en el intervalof x ( )3,0− ( )2, 2− − Mínimo local
  • 16.
    17 -7 -6 -5-4 -3 -2 -1 1 2 3 4 5 6 7 -6 -5 -4 -3 -2 -1 1 2 3 4 5 6 f(x) x ( ) 2 3) 3 4 2f x x x= − − 2 10 , 3 3   − ÷   2 4 3( ) 2 3 y x x= − − 24 4 4 3 3 2 9 3 9 y x x     + = − + − ÷  ÷     2 10 2 3 3 3 y x   + = − ÷   2 1 10 2 3 3 3 y x     + = − ÷  ÷     24 4 4 2 3 3 3 9 y x x   + + = − + ÷   Punto mínimo es creciente en los intervalosf es decreciente en los intervalosf 2 , 3   −∞ ÷   2 , 3   ∞ ÷   Mínimo local
  • 17.
    18 -7 -6 -5-4 -3 -2 -1 1 2 3 4 5 6 7 -6 -5 -4 -3 -2 -1 1 2 3 4 5 6 f(x) x ( ) 3 4) 3f x x x= − ( )2,1− ( )2-,1 Máximo relativo Mínimo relativo ( ) ( ), 3 0, 3−∞ ∪ 3 0 3x x= − ( )2 0 3x x= − 2 0 ; 3 0x x= − = 0 ; 3x x= = ± ( ) 0.f x < Determina losetermina los intervalos enintervalos en dondedonde
  • 18.
    19 -10 -9 -8-7 -6 -5 -4 -3 -2 -1 1 2 3 4 5 6 7 8 9 10 11 -10 -9 -8 -7 -6 -5 -4 -3 -2 -1 1 2 3 4 5 6 7 8 9 ( ) ( ) ( )5) 2 3f x x x x= − + ( )8.209,786.1− ( )4.061-,120.1 Punto máximo relativo Punto mínimo relativo Máximo relativo 8.209 ( )8.209,786.1− ( )4.061-,120.1 es creciente en los intervalos f es decreciente en el intervalo f ( )1.786,1.12− ( )1.12, ∞( ), 1.786− ∞ − ∪
  • 19.
    20 -16-15-14-13-12-11-10-9-8-7-6-5-4-3-2-1 1 23 4 5 6 7 8 9 10111213141516 -15 -14 -13 -12 -11 -10 -9 -8 -7 -6 -5 -4 -3 -2 -1 1 2 3 4 5 6 7 8 9 10 11 12 13 14 f(x) x Máximo relativo ( ) 3 2 6) 2 5 4 1f x x x x= − − − ( )0.333, 0.296− − ( )2, 13− Mínimo relativo Punto máximo relativo Punto mínimo relativo ( ).333, .296− − ( )2, 13− es creciente en los intervalos f es decreciente en el intervalo f ( )0.333,2− ( )2, ∞( ), 0.333− ∞ − ∪
  • 20.
    21 -7 -6 -5-4 -3 -2 -1 1 2 3 4 5 6 7 -6 -5 -4 -3 -2 -1 1 2 3 4 5 6 f(x) x -7 -6 -5 -4 -3 -2 -1 1 2 3 4 5 6 7 -6 -5 -4 -3 -2 -1 1 2 3 4 5 6 x f(x) ( ) 2 7) 4f x x x= − ( )2, 4− Punto mínimo relativo ( )0,0 ( )0,4 Interceptos en x ( ] [ ), 0 4,−∞ ∞U ( )4 0x x − = 0; 4 0x x= − = ( ) 2 (2) 2 4(2) 4 f = − = − ( ) .0≥xf Determina losetermina los intervalos enintervalos en dondedonde
  • 21.
    22 -7 -6 -5-4 -3 -2 -1 1 2 3 4 5 6 7 -6 -5 -4 -3 -2 -1 1 2 3 4 5 6 x f(x) DefiniciónDefinición Una funciónUna función f,f, eses parpar si para cada númerosi para cada número xx en elen el dominio dedominio de ff el númeroel número -x-x también está en el dominio,también está en el dominio, y se cumple quey se cumple que ( ) ( )f x f x− = ( ))(, xfx xx− ( )f x( )f x−( ), ( )x f x− − Página Inicial
  • 22.
    23 -7 -6 -5-4 -3 -2 -1 1 2 3 4 5 6 7 -6 -5 -4 -3 -2 -1 1 2 3 4 5 6 x f(x) Definición Una función f es impar si para cada número x en el dominio de f , el número -x también está en el dominio de f y se cumple que )()( xfxf −=− ( ))(, xfx x x− ( )f x ( )f x− ( ), ( )x f x− −
  • 23.
    24 2 1. ( )3 4f x x= + ( ) 2 ( ) 3 4f x x− = − + 43 2 += x ( )xf= ( ) par.esxf Ejemplos: Determina si la función es par, impar o ninguna.
  • 24.
    25 2 2. ( )5 1f x x x= − + ( ) ( ) 15)( 2 +−−−=− xxxf 152 ++= xx ( )xf≠ ( ) no es par, ni es impar.f x
  • 25.
    26 3 3. ( )5f x x x= − ( ) ( )xxxf −−−=− 5)( 3 xx 53 +−= ( )xf−= ( ) impar.esxf
  • 26.
    27 2 4. ( )3 4 2f x x x= − − =− )( xf ( ) ( ) 243 2 −−−− xx 243 2 −+= xx ( ) impar.esnopar;esnoxf
  • 27.
    28 Teorema:Teorema: Una función esUnafunción es parpar si y solo si su gráfica essi y solo si su gráfica es simétricasimétrica con respecto alcon respecto al eje de yeje de y.. Una función esUna función es imparimpar si y solo si su gráfica essi y solo si su gráfica es simétricasimétrica concon respecto al origen.respecto al origen.
  • 28.
    29Ejemplo 1 Determina silas función es par, impar o ninguna. La función es simétrica respecto al eje deLa función es simétrica respecto al eje de yy por lo tanto es par.por lo tanto es par. -7 -6 -5 -4 -3 -2 -1 1 2 3 4 5 6 7 -6 -5 -4 -3 -2 -1 1 2 3 4 5 6 x f(x)
  • 29.
    30 -7 -6 -5-4 -3 -2 -1 1 2 3 4 5 6 7 -6 -5 -4 -3 -2 -1 1 2 3 4 5 6 x f(x) (3, 3)(-3,3) (-2,2) (2,2) La función es simétrica respecto al eje deLa función es simétrica respecto al eje de yy por lo tanto es par.por lo tanto es par. Ejemplo 2 Determina si la función es par, impar o ninguna.
  • 30.
    31 La función essimétrica respecto al origen por lo tanto es impar.La función es simétrica respecto al origen por lo tanto es impar. -7 -6 -5 -4 -3 -2 -1 1 2 3 4 5 6 7 -6 -5 -4 -3 -2 -1 1 2 3 4 5 6 x f(x) Ejemplo 3 Determina si la función es par, impar o ninguna.
  • 31.
    32 La función notiene simetría , por lo tanto no es par ni impar.La función no tiene simetría , por lo tanto no es par ni impar. -7 -6 -5 -4 -3 -2 -1 1 2 3 4 5 6 7 -6 -5 -4 -3 -2 -1 1 2 3 4 5 6 x f(x) Ejemplo 4 Determina si la función es par, impar o ninguna.