CAPITULO V
GASES IDEALES Y REALES

5.1. GENERALIDADES
Por todos es conocido que la materia, esa sustancia que compone los cuerpos físicos, todo
aquello que constituye el universo, se presenta en tres estados o forma de agregación
fundamentales: Sólido, líquido y gaseoso. En estado sólido el agua se conoce como hielo,
en estado líquido se llama agua y en estado gaseoso como vapor de agua. Casi todas las
sustancias pueden existir en los tres estados. Las diferencias entre uno y otro estado se
puede notar por las propiedades físicas, como se muestra a continuación.
Tabla 5.1 Comparación de las propiedades físicas de tres sustancias*
Sustancia

Sólido (0°C)

Densidad
(g/mL)
Agua
Benceno
Tetracloruro
carbono

0.917
0.899
de 1.70 (-25°C)

V. molar
(mL/mol
)
19.6
86.9
90.5

Líquido (20°C)

Gas (100 °C)

Densidad
(g/mL)

V. molar
(mL/mol)

Densidad
(g/mL)

V. molar
(mL/mol)

0.998
0.876
1.59

18.0
89.2
96.8

0.000588
0.00255
0.00503

30600
30600
30600

* A Presión atmosférica

El estado gaseoso será el tema de este capítulo, ya que el estudio de este estado, el más
simple de los estados de la materia, puede conducirnos hacia alguno de los conceptos más
universalmente útiles de las ciencias Químicas. Se sabe que algunos de los sustratos y
productos del metabolismo son gases, como el oxígeno, gas carbónico, nitrógeno, e
hidrógeno; de ahí la importancia de estudiar algunas de sus propiedades.
Si tenemos en cuenta que el estado gaseoso es un estado disperso, de una de las formas de
agregación de la materia, lo que significa que sus moléculas están separadas unas de otras
por distancias mucho más grandes que el diámetro real de sus moléculas, lo cual significa
que existen unas propiedades macroscópicas (macros: grande; scopeo: ver), que describen
el comportamiento del sistema gaseoso. Esas propiedades son: el volumen (V), la presión
(P), la temperatura (T) y la cantidad de masa, que en este caso son las moles (n). Los gases
difieren de los otros estados en que no poseen volumen intrínseco, lo que significa que
ocupa todo el espacio cerrado donde se introduce.
Empezaremos por estudiar brevemente las propiedades macroscópicas, que también
llamaremos variables.

115
5.2 PRESIÓN
La razón por la cual los gases ejercen presión, es que éstos en una especie de bombardeo
continuo con movimiento browniano golpean las paredes del recipiente que los contienen.
La presión se define, clásicamente, como la fuerza (F) por unidad de área (A), luego la
presión de un gas es la fuerza que éste ejerce sobre el recipiente que lo contiene, dividida
por el área de superficie del recipiente:

P=

F
A

En el sistema internacional de unidades (SI) la unidad de presión es el Pascal (Pa) que se
define como: una fuerza de un newton (N) que actúa sobre una superficie de un metro
cuadrado (m2) y se expresa:

1 Pa =

1N
1m 2

que es equivalente a:
1 Pa =

kg m s -2
= kg m s -1
2
1m

Debido a que la presión de un Pa es muy pequeña, se suele usar el bar (1 bar = 105 Pa),
sobre todo para expresar presiones cercanas a la presión atmosférica. En años recientes se
ha usado la unidad de torr, donde 1 torr es igual a 1mm Hg.
La presión atmosférica se define como la presión que ejerce el aire sobre los cuerpos y
varia con respecto a la altura sobre el nivel del mar, ya que al aumentar ésta, la columna de
aire sobre los cuerpos, es menor, lo que hace que la presión disminuya. La presión
atmosférica normal es la que se mide a cero metros sobre el nivel del mar.
La presión atmosférica se midió en un aparato llamado barómetro de Torricelli, en honor
de Juan Evangelista Torricelli (1.608- 1.647), que ideó dicho aparato en el siglo XVII.
El barómetro de Torricelli (Figura 5.2a) consiste en un tubo de vidrio de aproximadamente
0,85 m de largo y sellado en un extremo, el cual se llena con mercurio y se invierte en un
recipiente abierto que contiene mercurio.

116
Al descender el mercurio por el tubo no se escapa totalmente, debido a la presión de la
atmósfera sobre la superficie del mercurio en el recipiente, la cual sostiene la columna de
mercurio en el tubo. Se considera que el espacio atrapado por el mercurio dentro del tubo
tiene un vacío casi perfecto por que el mercurio no es muy volátil a temperatura ambiente y
sólo una cantidad despreciable de mercurio gaseoso ocupa este espacio lo cual implica que
se desprecie la presión de éste sobre la superficie del mercurio en la columna. Esta presión
es igual a la presión atmosférica fuera del tubo y por encima del nivel de referencia. Las
medidas hechas a nivel del mar y a 273,15 K dan un promedio de 760 mm de Hg que son
equivalentes a una atmósfera.
Otras unidades en las cuales se expresa una atmósfera se dan en la Tabla 5.2
La presión de los gases se mide con un aparato llamado manómetro. El principio de una
clase de ellos es un tubo en forma de U lleno parcialmente con mercurio. Un extremo del
tubo se conecta con el recipiente que contiene el gas y el otro extremo se deja abierto a la
atmósfera, como se puede observar en las Figura 4.2 b) y c). El extremo conectado al
recipiente recibe los efectos de la presión del gas, manifestándose en una diferencia de
altura (h) entre los dos niveles de mercurio. Esta presión representa la presión manométrica

Figura 5.2 Barómetros y Manómetros

.

117
La presión absoluta del sistema, presión del gas, se define como la presión atmosférica más
la presión manométrica, cuando la presión del gas es mayor que la presión externa, es
decir,
Pgas = Ph + Patm
Ph = Pmanométrica
Y cuando la presión del gas es menor que la presión atmosférica externa,
Pgas = Patm - Ph
Debido a que la mayor parte de las medidas científicas están relacionadas con la presión
que ejerce una columna de fluido, es más conveniente medir la presión en términos de
altura (h) de dicha columna y se puede expresar en m, mm Hg o cm Hg o de cualquier otro
tipo de fluido o torr.

Tabla 5.2 Unidades de presión

_________________________________________________________
Unidades
Equivalentes
Factor de conversión
de presión
a 1 atm
a pascales (Pa)
________________________________________________________
Bar
1,01325
1 bar = 105
Atmósfera
1,000
1 atm = 1,01325x105
Milímetro de
mercurio
760
1mmHg =(13,5951)(9,80665)
Torr
760
1 torr = (1,01325x105/760)
Libra por pulgada cuadrada
14,689
1 psi = 6.8947572
Pulgada de
mercurio
29,9
1 pulg Hg = 3388,796
Pascal (Pa)
101.325
-_________________________________________________________

La presión debido a una columna de fluido es:
Presión = altura x densidad del fluido x aceleración de la gravedad.
P=hx ρ xg

118
Hay que tener en cuenta que la presión es independiente de la forma y diámetro de la
columna.
Ejemplo 5.1: Si la presión atmosférica normal, la que se mide a nivel del mar (cero m) y
273,15 K es 760 mm Hg y sabiendo que la densidad del Hg ( ρ ) es 13,5951 g cm-3, la
aceleración de la gravedad (g) 9,80665 m s-2, cuál es el valor de la presión en pascales? .

Solución: Se plantea el problema:
P=?
h = 760 mm Hg = 0,76 m Hg
ρ = 13,5951 g cm-3 = 13.595,1 kg m-3
g = 9,80665 m s-2
P = hρ g
Reemplazando los valores:
P = 0,76 m Hg x 13.595,1 kg m-3 x 9,80665 m s-2
= 101.325 kg m-1 s-2 = 101.325 Pa
A veces queremos expresar las presiones en alturas (h) de diferentes líquidos, para ello
tendremos en cuenta el siguiente principio: las alturas de diferentes líquidos que son
equivalentes a la misma presión, son inversamente proporcionales a las densidades de los
líquidos, es decir,
h1 ρ 1 = h2 ρ 2
de donde:

h2 = h1

ρ1
ρ2

donde los subíndices 1 y 2 indican los diferentes líquidos.
Ejemplo 5.2: Si para medir la presión atmosférica normal se usa un barómetro de agua, qué
altura marcaría la columna?.

Solución: Planteamiento del problema (el subíndice 1 es mercurio y el 2 agua).
h2 = ?
ρ 2 = 1 g cm-3 = 1.000 kg m-3 (densidad del agua)
h1 = 760 mm Hg = 0,76 m Hg
ρ 1 = 13,6 g cm-3 = 13,6 x 103 kg m-3 (densidad del Hg)
aplicando la ecuación : h2 = h1

ρ1
ρ2

119
h 2 = 0.76 m Hg x

13.6x10 3 kg m -3
= 10.34 m
1000 kg m -3

la columna del barómetro de agua marcaría una altura de 10,34 m .

5.3 TEMPERATURA

La temperatura es una propiedad de un sistema que representa la existencia de una
condición del equilibrio térmico que es independiente de la composición y tamaño del
sistema. Esta propiedad de un cuerpo es la misma que determina el flujo de calor hacia otro
cuerpo o de otros cuerpos hacia él.
Para expresar la temperatura existen varias escalas, las más usadas son la Celsius
(centígrada), Fahrenheit y Kelvin.
La escala Celsius fue propuesta por el científico sueco Anders Celsius (1701-1744),
empleando un instrumento llamado termómetro, que consiste en un tubo capilar cerrado y
al vacío, con un bulbo lleno de mercurio. Cuando el bulbo se introduce en un sistema que
se encuentra a una temperatura diferente, se establece un flujo de calor y el mercurio se
dilata o se contrae si el medio es de mayor o menor temperatura.
Para establecer su escala de temperatura Celsius fijó dos referencias arbitrarias. La
primera, el sistema en equilibrio liquido-sólido, en el cual coexisten el agua líquida y el
hielo, al cual le asignó el valor cero de temperatura y la segunda, el sistema en equilibrio
líquido-vapor, agua líquida y vapor de agua, al que le asignó el valor de 100. Como la
distancia entre los dos puntos la dividió en 100 partes ( de allí el nombre de escala
centígrada), cada una correspondió a un grado centígrado o grado Celsius.
En la escala Fahrenheit se empleó el mismo principio. Al punto de equilibrio líquidosolido se le asignó el valor de 32 y al equilibrio líquido vapor el valor de 212. La distancia
entre éstos dos punto se dividió en 180 partes, lo cual implica que cada parte sea
equivalente a un grado Fahrenheit.
Como el espacio, entre los dos sistemas, de la escala Celsius se dividió en 100° y la
Fahrenheit en 180°, se puede establecer que 100 °C = 180 °F, de donde:
1 °C =

180 ° F 9
= °F = 1.8 °F
100
5

y
120
1°F =

100 °C 5
= °C
180
9

como el punto de congelación del agua es 0° en la escala Celsius y 32 en la Fahrenheit, lo
que es equivalente a 0°C = 32 °F, se puede escribir :
°F =

9
°C + 32
5

°C =

5
(°F - 32)
9

y despejando:

La escala Kelvin o de temperatura absoluta, fue propuesta por Lord Kelvin. Se conoce
también como temperatura termodinámica (T) y se define asignándole el valor exacto de
273,15 K el punto triple del agua y su unidad es el kelvin (K) que es la fracción 1/273,15 de
la temperatura termodinámica del punto triple del agua. Para convertir grados Celsius a
kelvin se emplea la siguiente ecuación:
K = °C + 273,15
Siempre hay que recordar que cuando la temperatura se usa en cálculos de gases se debe
emplear la escala absoluta o de kelvin. Generalmente se utiliza el factor de 273 con buenos
resultados. En la Tabla 5.3 se hace una comparación entre las escalas vistas.
Tabla 5.3 Comparación de las diferentes escalas
_________________________________________________________
Punto de comparación
Kelvin
Celsius
Fahrenheit
_________________________________________________________
Cero absoluto
0K
-273 °C
-460 °F

Punto de ebullición
del agua

373 K

100°C

212°F

Punto de congelación
del agua

273 K

0°C

32°F

Temperatura normal
Del cuerpo

310 K

20 °C

68 °F

Temperatura ambiente promedio
303 K
30 °C
86°F
_________________________________________________________
121
5.4 MASA

Clásicamente la masa se define como la cantidad de materia que posee un cuerpo.
Fundamentalmente se usan los términos de masa y peso como sinónimos, pero no hay que
olvidar que la masa es diferente del peso, ya que éste es la fuerza con que la gravedad atrae
la masa, así 1 gramo masa (g) pesa un gramo en la superficie de la tierra, pero en la luna su
peso es diferente aunque seguirá siendo un gramo-masa.
La cantidad de un gas se puede medir en unidades de masa, generalmente gramos. Según el
sistema de unidades SI, la cantidad de materia también se expresa en moles, que se calcula
dividiendo el peso del gas (m) por su peso molecular o peso fórmula (PM), así:
N=

m
PM

5.5 VOLUMEN

El volumen se define como el espacio ocupado por un cuerpo. Debido a que un gas llena
completamente el recipiente que lo contiene, el volumen del gas siempre será igual al de
recipiente. Su unidad internacional es el metro cúbico (m3), pero se usa el litro (L) o
decímetro cúbico (dm3) y su submúltiplo mL o cm3.

5.6 GASES IDEALES Y REALES

Cuando genéricamente nos referimos a un gas, estamos refiriéndonos a algo que
consideramos como gas perfecto o ideal, cuyo comportamiento está claramente definido
por las leyes de los gases ideales que describiremos más adelante. Los gases reales difieren
en algún aspecto de los gases ideales, pero inicialmente estudiaremos ese comportamiento y
después haremos énfasis en las desviaciones particulares con respecto al comportamiento
ideal.
Pero cual es la diferencia que existe entre los llamados gases perfectos o ideales y los
reales?. Veamos, en los ideales se considera que el volumen ocupado por las propias
moléculas es insignificante en comparación con el volumen total ocupado por el gas, bajo
todas las condiciones de temperatura y presión; además las atracciones intermoleculares,
conocidas como fuerzas de van der Waals, son insignificantes en todo momento. Para los
gases reales ambas características son apreciables y la magnitud de ellas dependerá de la
naturaleza, presión y temperatura. Lo anterior nos lleva a concluir que un gas ideal es
hipotético, ya que las moléculas de cualquier gas deben ocupar volumen (o sino no
existirían) y por consiguiente ejercen atracciones. Las condiciones de idealidad se dan
cuando los gases están a bajas presiones y altas temperaturas.

122
Las condiciones de los gases están afectados por las cuatro variables o propiedades
macroscópicas vistas anteriormente y ellas están involucradas en lo que llamamos leyes de
los gases perfectos o ideales que veremos a continuación.
5.7 GASES IDEALES O PERFECTOS

El comportamiento de estos gases fue estudiado por nuestros predecesores, los cuales,
enunciaron unas leyes que generalmente llevan sus nombres, entre ellas tenemos: a) la ley
de Boyle o Mariotte, b) ley de Charles-Gay Lussac, c) ley de las presiones parciales de
Dalton, d) ley de difusión de Graham, e) ley de Amagat, f) ley de los volúmenes de
combinación de Gay Lussac, g) ley general de los gases, h) ley combinada de los gases, i)
ley de Avogadro, etc.
5.7.1 LEY DE BOYLE O MARIOTTE

En 1.662 Robert Boyle, científico inglés, promulgó la relación matemática que existe entre
el volumen y la presión de una cantidad dada de gas a temperatura constante. Boyle encerró
una cantidad de aire en el extremo de un tubo en U empleando como fluido mercurio, como
lo muestra la Figura 4.4 En este experimento la presión que existe en el aire encerrado es
igual a la presión atmosférica más la presión ejercida por la altura (h) de la columna de
mercurio. Al verter más Hg al tubo se aumenta la presión sobre el gas se observa que el
volumen disminuye.
Boyle, en sus experimentos, descubrió que el producto del volumen por la presión, cuando
la masa y temperatura permanecen constante, es un valor aproximadamente constante.

En términos generales la ley de Boyle puede enunciarse así: El volumen ocupado por una
determinada masa de gas, cuando la temperatura se mantiene constante, es inversamente
proporcional a la presión que se ejerce sobre él.
Matemáticamente se expresa así:
1
P
si se introduce una constante de proporcionalidad k,
1
V=k
P
V α

y multiplicando medios por extremos,
PV = k
donde:
V = volumen ocupado por el gas
P = presión
123
k = constante de proporcionalidad, depende de la naturaleza del gas.

La ecuación anterior nos enseña que si en un punto dado la presión y el volumen son P1 y
V1 y en otro punto P2 y V2, si la masa y la temperatura se mantienen constante, se debe
cumplir:
P1V1 = k
P2V2 = k

Figura 5.4 Representación del experimento de Boyle

como k es igual para los dos puntos, entonces:
P1V1 = P2V2

124
Ejemplo 5.3: Un globo perfectamente elástico y de dos metros de diámetro, se soltó a nivel
del mar donde la presión es 101,32 kPa. Cual será su diámetro cuando haya subido a 3.050
m sobre el nivel del mar, suponiendo que la temperatura se mantiene constante y que la
4
presión a esa altura es 68,1 kPa? (el volumen de la esfera es π r3).
3
Solución: Planteamiento del problema:
D1 = 2 m
P1 = 101,32 kPa
D2 = ?
P2 = 68,1 kPa
4
V = π r3
3
T = constante
como la temperatura es constante podemos aplicar la ley de Boyle: P1V1 = P2V2 pero como
vemos no tenemos explícitamente los volúmenes. De las condiciones iniciales se puede
calcular V1:
4
π r3 donde r = D1/2 = 1 m ; reemplazando:
3
V1 = (4/3) x 3,1416 x 13 = 4,19 m3
conocido éste volumen se calcula V2:
V1 =

V2 =

P1 V1
P2

reemplazando:
V2 =

101.32 kPa x4.19 m 3
= 6.23 m 3
66.1 kPa

ahora reemplazamos éste valor en el volumen de la esfera para calcular el radio en el punto
dos:
r=

r=

3

3

3V
4π

3x6.23
= 1.142 m
4x3.1416

125
D = 2r = 2 x 1,142 m = 2.284 m
el diámetro del globo a 3.050 metros sobre el nivel del mar es 2.284 m.

Volumen (mL)

En los experimentos de los laboratorios se obtienen datos, como valores de P y V, que
probablemente tengan una dependencia. En estos casos se recomienda graficar, en un
sistema de coordenadas rectangulares, ya sea normal o logarítmico, la presión contra el
volumen (sin importar el orden de los ejes). Al unir los puntos se puede encontrar la
relación matemática entre las dos variables. Se ha comprobado que cuando la temperatura y
la masa son constantes, la curva generada por los datos es una hipérbola rectangular que
tiene los ejes coordenados como asíntotas. Al repetir el experimento a temperaturas
diferentes, se genera una familia de hipérbolas, una para cada temperatura, y como ésta es
constante para cada línea se llaman isotermas, como lo muestra la Figura 5.5.

45
40
35
30
25
20
15
10
5
0
0

20

40

60

Presión (Mpa)

Figura 5.5 Relación del volumen y la presión

126
45

Volumen (mL)

40
35
30
25
20
15
10
5
0
0

0.1

0.2

0.3

1/P (1/M pa)

Figura 5.6 Relación entre el volumen y el inverso de la presión

Si es difícil, usando la vista, determinar que tan cerca está cada curva experimental de una
hipérbola perfecta, se puede representar la presión como una función inversa del volumen,
es decir, graficar P contra 1/V, que debe dar una línea recta, en la cual es fácil determinar
que tan significativamente el gas obedece la ley de Boyle, así como se aprecia en la Figura
5.6.

Otra forma de poder sacar una conclusión acertada es representar gráficamente el producto
de la presión y el volumen como una función de la presión o del inverso del volumen, es
decir, PV contra P o PV contra 1/V. En este caso el resultado debe ser una línea recta de
pendiente cero, paralela al eje de las presiones o al mismo del volumen, como se aprecia en
la Figura 5.7.
Ejemplo 5.4: En un experimento con cierta cantidad de gas a temperatura constante se
obtuvieron los siguientes resultados:
Presión
(Mpa)
5.0
10.0
15.0
17.0
20.0
22.0
30.0

Volumen
(L)
40.0
20.0
13.3
11.8
10.0
9.10
6.70

127
40.0

5.00

Demostrar que el comportamiento del gas cumple la ley de Boyle, usando los tres métodos
descritos arriba.
Solución: Como cada método representa una gráfica, se deben calcular los puntos a
graficar y para ello construimos la tabla siguiente:

Presión
(Mpa)
5.0
10.0
15.0
17.0
20.0
22.0
30.0
40.0

Volumen
(L)
40.0
20.0
13.3
11.8
10.0
9.10
6.70
5.00

PxV
(Mpa L)
200
200
200
201
200
200
201
200

1/P
(Mpa-1)
0.20
0.10
0.067
0.059
0.050
0.045
0.033
0.025

Al graficar V contra P se obtiene la Figura 4.5
Al graficar P contra 1/V se obtiene la Figura 4.6
Al graficar PV contra P se obtiene la Figura 4.7.

201.2
PxV (Mpa mL)

201
200.8
200.6
200.4
200.2
200
199.8
0

10

20

30

40

50

Volumen (mL)

Figura 5.7 Relación entre PV y P ó V

128
Como se puede observar, a pesar de unas pequeñas desviaciones, el gas del experimento
cumple la ley de Boyle.

5.7.2 LEY DE CHARLES-GAY LUSSAC.

Se necesitó que pasaran más de 100 años, después de promulgada la ley de Boyle para que
se pudiera hallar una expresión matemática que relacionara el comportamiento de la
temperatura y el volumen de un gas cuando la masa y la presión se mantienen constante. A
pesar de que Boyle hizo algunas conjeturas al respecto, no llegó a una conclusión
definitiva. Jacques Charles en 1.787 y Joseph Gay-Lussac en 1.802, sentaron las bases de
la ley que hoy lleva sus nombres.
El principal problema radicó en el manejo del concepto de "temperatura" y su escala. Al
trabajar con la temperatura Celsius encontraron inconsistencia en los volúmenes y por lo
tanto no se pudo generalizar. Kelvin fue el que propuso la adopción de una nueva escala de
temperatura en la cual el gas perfecto o ideal ocupara un volumen cero, independiente de su
masa.
Cuando se grafica el volumen contra la temperatura Celsius y se extrapola hasta cortar el
eje de las temperaturas (Figura 4.8) se encuentra que todas ellas se interceptan en un punto
común, este punto corresponde a -273,15 °C en donde la grafica indica un volumen cero.
Si se toma una nueva escala de temperatura igual a grados celsius más 273.15, la cual se
reconoce como escala Kelvin o absoluta, es decir,
K = °C +273.15
A reemplazar el punto de corte, -273.15, queda que K = 0 que se conoce como el cero
absoluto y se observa una relación directa entre el volumen y la temperatura.
Con el anterior precedente se pudo enunciar la ley de Charles Gay-Lussac que dice:
Cuando la masa y la presión de un gas permanecen constante el volumen del gas es
directamente proporcional a la temperatura absoluta.

129
Figura 5.8 Relación del volumen con la temperatura

Matemáticamente se puede expresar así: V α T, introduciendo una constante de
proporcionalidad, k, se tiene:
V = kT
la ecuación anterior es una línea recta de la forma y = mx, equivalente a V = kT, donde k
es la pendiente de la recta y el punto de corte con el eje del volumen es cero, es decir, que
pasa por el origen; por lo tanto si tenemos una serie de datos y queremos saber si cumple la
ley de Charles graficamos volumen contra temperatura absoluta. Si es una línea recta que
pasa por el origen la cumple.
Ejemplo 5.4: Una muestra de un gas se estudió en el laboratorio y se obtuvieron los
resultados siguientes. Compruebe que se comporta como un gas perfecto.
Temperatura (K) Volumen (mL)
20.0
300
21.8
327
24.9
373
26.7
400
33.3
500
40.0
600
46.7
700

130
Solución: Sobre una plano de coordenadas cartesianas se grafica el volumen contra la
temperatura absoluta y se obtienen los resultados que muestra la Figura 3.8, lo cual
comprueba que si cumplen la ley de Charles-Gay Lussac.
5.7.3 LEY COMBINADA O COMPLETA DE LOS GASES

Debido a que normalmente los gases están sometidos a cambios simultáneos de presión,
volumen y temperatura, las leyes de Boyle y Charles se combinan para cuantificar esos
efectos como se muestra a continuación:
Supongamos que una cantidad cualquiera de gas está a una temperatura inicial (T1), presión
inicial (P1), volumen inicial (V1) y queremos saber que volumen final (V2) ocupará cuando
se lleva a una presión final (P2) y temperatura final (T2), es decir,
V1, P1, T1 ⇒
1er paso:
ley de Boyle

Vx, P2, T1 ⇒ V2, P2, T2
2° paso: ley
de Charles

En el primer paso de V1 a Vx, la temperatura se mantiene constante, luego según Boyle:
P1V1 = P2Vx
De donde:
Vx =

P1 V1
P2

En el segundo paso, de Vx a V2, la presión se mantiene constante, luego según Charles:

131
50

Volumen (mL)

45
40
35
30
25
20
300

500

700

900

Temperatura (K)

Figura 5.8 Relación del volumen con la temperatura de una muestra de gas.

V2 Vx
=
T2 T1

de donde :
Vx =

V2 T1
T2

como los dos volúmenes Vx son iguales, las ecuaciones también lo son:
P1 V1
VT
= 2 1
P2
T2

arreglando: P2V2T1 = P1V1T2.
Una forma nemotécnica de recordar esta ley es la siguiente: PaVaTi = PiViTa y
mentalmente se cambia la letra i por el número uno y la letra a por el número dos para
obtener:

132
P2V2T1 = P1V1T2
esta ecuación se puede resolver para cualquiera de sus componentes.
Ejemplo 5.6: Calcular la temperatura final de 5 moles de CO2 que inicialmente están a 300
K, 101,325 kPa y ocupan un volumen de 15 dm3 si se llevan a un volumen de 38 litros y
una presión de 200,0 kPa?.
Solución: Planteamiento del problema,
condiciones iniciales
condiciones finales
T1 = 300 K
T2 = ?
P1 = 101,325 kPa
V2 = 38 L
V1 = 15 dm3
P2 = 200,0 kPa
n = 5 moles
n = 5 moles

debemos recordar que 1 dm3 es equivalente a 1 litro, por lo tanto las unidades de volumen
son consistentes, ahora, como P2V2T1 = P1V1T2 de donde despejamos la temperatura final:
PVT
T2 = 2 2 1 reemplazando valores:
P1 V1
T2 =

200 kPa x 38 L x 300 K 1
= 1500.1K
101.325 kPa x 15 L

5.7.4 LEY DE AVOGADRO

Entre los años de 1811 y 1870, los científicos determinaron cuantos átomos eran necesarios
para obtener la masa atómica en gramos de los elementos, este número, conocido como el
número de Avogadro (N), en honor a Amadeo Avogadro por que condujo a ese
descubrimiento. Este número es un número de cosas o partes iguales llamado mol y es
equivalente a 6.0221367x1023 unidades y se puede dar en moléculas/mol, átomos/mol o
átomos/átomo-gramo.
Un mol de cualquier sustancia contiene 6,022x1023 moléculas (el número de Avogadro) y
como PV/T es constante para cualquier masa de gas perfecto, se deduce que volúmenes
iguales de cualquier gas a la misma temperatura y presión contienen el mismo número de
moléculas. Esto es lo que se conoce como la ley de Avogadro. Muchos experimentos han
demostrado que la hipótesis de Avogadro es exacta hasta ± 2%. Matemáticamente se
expresa así:
Vα n
Introduciendo una constante de proporcionalidad, k,
V = kn

133
así se llegó a comprobar que un mol de cualquier gas a 101,325 kPa y 273,15 K, ocupan un
volumen de 22,414 dm3 o litros, es decir, el volumen molar de un gas a una temperatura y
presión dadas es una constante específica independiente de la naturaleza del gas.. Las
anteriores condiciones son las que se conocen como condiciones normales (CN) o
temperatura y presión estándar (STP en inglés o PTE en español). Estos datos se deben
tener en cuenta para desarrollar muchos problemas de la química de gases. En la Tabla 5.5
se observan algunos datos de volúmenes normales calculados experimentalmente.
Tabla 5.5 Volúmenes molares normales y densidades de algunos gases a CN
Gas
Fórmula Peso molecular Volumen molar Densidad
(g/mol)
Normal (L/mol) (g/L)
0.090
H2
22.428
Hidrógeno
2.02
0.178
22.426
Helio
He
4.003
0.900
22.425
Neón
Ne
20.18
1.250
22.404
Nitrógeno
N2
28.01
1.429
22.394
Oxígeno
32.00
O2
1.784
22.393
Argón
39.95
Ar
1.977
22.256
Dióxido de carbono CO2
44.01
0.771
22.094
Amoníaco
17.03
NH3
3.214
22.063
Cloro
70.91
Cl2
22.414
Gas ideal

5.7.5 LEY DE LOS VOLUMENES DE COMBINACIÓN DE GAY-LUSSAC

Cuando en 1808, Joseph Luis Gay-Lussac (1778-1850) publicó los resultados de sus
experimentos con gases reaccionantes estableció que cuando se miden a temperatura y
presión constante, los volúmenes de los gases que se combinan o producen en una reacción
química puede expresarse en proporción de números enteros sencillos o pequeños. Estos
números enteros sencillos corresponden a los coeficientes estequiométricos de la reacción
así:
Ejemplo 5.7: Si se tiene la reacción:
H2(g) + Cl2(g) ⇒ 2HCl(g)
significa que: un volumen de hidrógeno más un volumen de cloro producen dos volúmenes
de cloruro de hidrógeno, o
10 L de H2(g) + 10 L de Cl2(g) ⇒ 20 L de HCl(g)
Hay que tener en cuenta que el volumen de los gases reaccionantes no tiene que ser igual al
volumen de los gases producidos. Como se estipuló, esta relación la da la estequiometría de
la reacción.

134
Ejemplo 5.8: En la reacción:
2CO(g) + O2(g) ⇒ 2CO2(g)
la relación es: 2 volúmenes de CO(g) más un volumen de O2(g) produce 2 volúmenes de
CO2(g) o:
6 L de CO(g) + 3 L de O2(g) ⇒ 6 L de CO2(g)
Ejemplo 5.9: Si se tiene la reacción,
2C2H6(g) + 7O2(g) ⇒ 4CO2(g) + 6H2O (g)
a) Qué volumen de oxígeno se necesita para la combustión completa de 20 litros de etano,
si todos los gases se miden a la misma temperatura y presión?
b) Qué volumen de dióxido de carbono se produce?
Solución: a) al analizar la estequiometría de la reacción se observa que dos volúmenes de
C2H6(g) necesitan 7 volúmenes de O2(g), lo que es equivalente a decir que 2 litros de
C2H6(g) necesitan 7 litros de oxígeno. Si hacemos una simple regla de tres encontraremos
el volumen de O2(g) necesario para quemar 20 litros de etano, así:

2 L de C2H6(g) ⇒ 7 L de O2(g)
20 L de C2H6(g)
?
? L de O2(g) =

20 L C 2 H 6 x 7 L O 2
= 70 L de O2
2 L C2 H 6

luego se necesitan 70 L de O2(g) para que 20 L de etano combustan completamente.
b) La estequiometría de la reacción también nos dice que 2 L de C2H6(g) producen 4 L de
CO2(g), luego con una regla de tres tenemos:
2 L de C2H6(g) ⇒ 4CO2(g)
20 L de C2H6(g)
?
? L de CO2(g) =

20 L C 2 H 6 x 4 L CO 2
= 40 L de CO2
2 L C2 H 6

5.7.6 LEY DEL GAS IDEAL O LEY GENERAL DE LOS GASES

Las leyes de los gases descritas en los apartados anteriores nos indican claramente que el
volumen de un gas, a temperatura y presión constante, varía directamente con el número de
135
moles, es decir, que dos moles de un gas ocuparan el doble del volumen que ocupa una sola
mol del mismo gas, pero teniendo en cuenta el principio de Avogadro, sección 5.7.4,
podemos concluir que el volumen que ocupan un mol de gas específico es exactamente
igual al volumen que ocuparían un mol de cualquier otro gas siempre y cuando se midan a
las mismas condiciones de temperatura y presión, es decir,
Vα n
La ley de Boyle nos enseña que V α 1/P y la de Charles que V α T, luego las tres
relaciones pueden combinarse para obtener una ecuación general que relacione el volumen,
la presión, la temperatura y el número de moles, así:
V α (n)(1/P)(T)
si introducimos una constante de proporcionalidad, que para nuestra conveniencia
llamaremos R, tenemos:
V = R(n)(1/P)(T)
que ordenando nos queda,
PV = nRT
que es la famosa ecuación que se conoce como ecuación de estado para los gases ideales,
debido que a temperatura y presiones ordinarias la mayoría de los gases se ajustan a ella.
Las condiciones en las cuales esta ley no se cumple, altas presiones y bajas temperaturas,
serán estudiadas más adelante.
Ahora analicemos la constante de proporcionalidad R. Esta es conocida con el nombre de
constante molal de los gases o constante universal de los gases. Su valor dependerá de
las unidades que se escojan para el volumen, presión, temperatura y moles. Veamos, de
la ecuación PV = nRT,
PV
R=
nT
como un mol de gas a condiciones normales, temperatura de 273,15 K y 101.325 Pa, ocupa
un volumen de 22,414 L, al reemplazar en la ecuación anterior,
R=

101.325 Pa x 22.414 L
Pa L
= 8314
1 mol x 273 K
mol K

con el procedimiento anterior se obtienen otros valores de R, algunos de los cuales se
muestran en la Tabla 5.6.

136
Cuando se utiliza la ecuación general de los gases hay que tener mucho cuidado con las
unidades, pues éstas deben ser consistentes con el valor de R. En química generalmente se
trabajaba con R = 0.082 atm L K-1 mol-1, debido a que las unidades se expresaba así: el
volumen en litros, temperatura en Kelvin, presión en atmósfera, pero es conveniente que
nos vamos familiarizando con el valor que corresponde al sistema internacional de unidades
(SI) 8314 Pa L mol-1 K-1.

Ejemplo 5.10 Calcular el volumen que ocupan 2.3 moles de un gas ideal si ejerce una
presión de 45.36 kPa a una temperatura de 30°C.
Solución: planteamiento del problema. Se debe tener en cuenta que la temperatura debe
estar en grados K, luego necesariamente los °C se deben llevar a K = °C + 273.

V=?
N = 2.3
P = 45.36 kPa
T = 30°C = 303 K
Ahora usamos la ecuación PV = nRT, de la cual despejamos V,
V=

nRT 2.3 mol x 8.314 kPa L mol -1 K -1 x 303 K
=
= 127.7 L
P
45.36 kPa

5.7.7 DENSIDAD Y PESOS MOLECULARES DE LOS GASES

Una aplicación importante que se le da a la ecuación PV = nRT, a más de los tradicionales
cálculos de n, P, T y V, es la de conseguir los pesos moleculares de las sustancias gaseosas.
Para ello se sigue el siguiente procedimiento:
Como PV = nRT, pero n = m/M, donde m es la masa o peso del gas y M es su peso
molecular, entonces reemplazando,
PV = (m/M)RT
y reordenando:
M=

mRT
PV

137
Tabla 5.6 Valores de la constante universal R*
________________________________________________________

Escala
Unidades Unid.
Unid. Unid.
R
temp.
presión
vol.
peso energía
_________________________________________________________
Kelvin
Pa
m3
g-mol Pa-m3 8,31441
Pa
L
g-mol Pa-L 8.314,41
Pa
dm3
g-mol Pa-dm3 8.314,41
kPa
L
g-mol kPa-L 8,31441
bar
L
g-mol bar-L 0,08314
3
bar
dm
g-mol bar-L 0,08314
...
...
g-mol calorías 1,9872
...
...
g-mol joules(abs) 8,3144
...
...
g-mol joules(int) 8,3130
...
...
g-mol ergios
8,314x107
atm
cm3
g-mol atm-cm3 82,057
atm
L
g-mol atm-L 0,08205
mm Hg
L
g-mol mm Hg L 62,361
kg/cm3
L
g-mol kg/(cm2)(L) 0,08478
atm
pie3
lb-mol atm-pie3 1,314
3
mm Hg
pie
lb-mol mmHg-pie3 998,9
Rankine
...
...
lb-mol u.c.c. 1,9872
...
...
lb-mol B.t.u. 1,9872
...
...
lb-mol hp-h 0,0007805
...
...
lb-mol kw-h 0,0005819
3
atm
pie
lb-mol atm-pie3 0,7302
pulg Hg
pie3
lb-mol pulg hg-pie3 21,85
3
mm Hg
pie
lb-mol mmHg-pie3 555,0
lb/pulg2
pie3
lb-mol (lb)(p3)/pl2 10,73
2
3
lb/pie
pie
lb-mol pie-lb 1545,0
____________________________________________________________________
*

PERRY H., Robert y CHILTON H., Cecil. (Editores ). Biblioteca del ingeniero químico. 5ed. 2ed. en
español. México, McGraw-Hill, 1983. V1, pp. 1-27 , 3-56:3-57. Actualización de los autores.

bajo esas condiciones, basta con conocer el peso del gas m, la presión, la temperatura y el
volumen que ocupa para obtener el peso molecular.
Otra forma de expresar la ecuación M =
densidad ρ . Sabemos que ρ =

mRT
es transformándola en función de la
PV

m
, de donde al reemplazar:
V
138
mRT
VP

M=

o

M=

ρRT
P

de donde:

ρ =

MP
RT

Las ecuaciones anteriores son muy usadas en el laboratorio para hallar los pesos
moleculares y densidades de los gases.
Ejemplo 5.11. Una muestra de 0.205 g de un compuesto gaseoso puro ocupa 110 mL a
100°C y 101325 Pa. ¿Cuál es el peso molecular de la muestra?.
Solución. Como se trata de un problema de gases, nuestra primera intención es ver como la
fórmula PV = nRT, está involucrada. Observamos que tenemos P, V, R y T; luego debemos
masa
y de allí despejar M, peso
despejar n, número de moles para relacionarla con n =
M
molecular.

Datos: P = 101325 Pa; T = 100°C +273 = 373 K; V = 110 mL = 0.110 L y la constante de
los gases, R = 8314 Pa L mol-1 K-1;
PV
101325 Pa x 0.110 L
n=
=
= 3.59x10 -3 moles
RT 8314 Pa L mol -1 K -1 x 373 K
Ahora de: n =

masa
masa
, tenemos: M =
, reemplazando:
M
n
M=

0.205 g
= 57.04 g mol -1
-3
3.59 x 10 mol

La forma de calcular pesos moleculares de gases, según el ejemplo anterior, se puede
aplicar a líquidos volátiles, como se hace en el método de Dumas para calcular pesos
moleculares de líquidos. El método consiste en hacer una montaje como el de la Figura 5.9,
en la cual una muestra de un líquido volátil se introduce en un balón de 100 mL
previamente pesado, se tapa la boca del balón con papel aluminio y se hace un pequeño
orificio con la punta de un lápiz; el balón se introduce en un baño de agua hirviendo, el
líquido se deja evaporar, el exceso de vapor se escapa por el orificio. Cuando la última gota
de líquido se evapora el balón se llena de llena completamente con vapor (gas) del líquido
volátil a la temperatura de ebullición del agua de la ciudad donde nos encontremos. Luego
el balón se retira, se deja enfriar y se pesa nuevamente. El enfriamiento rápido condensa el
139
vapor que llenaba el matraz a la temperatura de ebullición del agua. La diferencia del peso
del balón con el condensado y vacío corresponde a la masa del líquido condensado que es
la misma masa del vapor que llenó el balón a la temperatura de ebullición del agua y la
presión atmosférica del sitio donde se efectuó la determinación.
La razón fundamental por la que podemos aplicar la ley de los gases es que, a pesar de la
sustancia es un líquido, a la temperatura de ebullición del agua, es un gas. Si se quiere
determinar el peso molecular de un líquido que ebulla a una temperatura mayor que la del
agua, hay que buscar otro que sea de mayor temperatura que la del líquido a examinar para
el baño.

Figura 5.9 Montaje para determinar el peso molecular de un líquido volátil

Ejemplo 5.12. En la ciudad de Quibdó (Chocó) se determinó el peso molecular de un
líquido volátil por el método de Dumas. Los datos que se obtuvieron fueron: Peso del balón
vacío 420.00 g; peso del balón con el condensado 420.28 g; temperatura de ebullición del
agua 98°C, volumen del balón 112 mL. ¿Cuál es el peso molecular del líquido?.

140
Solución. El problema es similar al Ejemplo 5.8. La diferencia está que de la información
dada debemos sacar los datos necesarios para usar las mismas ecuaciones. En este caso no
se establece el valor de la presión atmosférica pero como sabemos que el agua ebulle
cuando su presión de vapor es igual a la presión atmosférica, vamos a una tabla de
presiones de vapor y leemos la presión que corresponda a 98°C (371 K) que es 94.2949
kPa. La masa del vapor se toma de la diferencia de peso entre el balón lleno y vacío: 420.28
– 420.00 = 0.280 g. En resumen:

Datos: P = 94.295 kPa; T = 98°C +273 = 371 K; V = 112 mL = 0.120 L, masa de vapor =
0.280 g y la constante de los gases, R = 8.314 kPa L mol-1 K-1;
Calculamos la moles de vapor:

n=

Ahora de: n =

M=

PV
94.295kPa x 0.120 L
=
= 3.67x10 -3 moles
-1
-1
RT 8.314 kPa L mol K x 371 K

masa
masa
, tenemos: M =
, reemplazando:
M
n

0.280 g
= 76.32 g mol -1
-3
3.67 x 10 mol

Luego el peso molecular del líquido volátil es 76.32 g mol-1.
Ejemplo 5.13. Experimentalmente por el método de Victor Meyer se determinó la densidad
de un gas desconocido y dio 1,70 g L-1. Cuando se efectuó el experimento la temperatura
era 305 K y la presión 91,192 kPa. Cual es el peso molecular del gas?
Solución: Podemos utilizar la fórmula directa por que conocemos los valores.
planteamiento del problema,
ρ = 1,7 g L-1
T = 305 K
P = 91,192 kPa
M=?
Aplicamos la ecuación: M =

ρRT

, luego reemplazando valores,
P
1.7 g L-1 8.314 kPa L mol -1 K -1 x 305 K
= 42.27 g mol -1
M=
91.192 kPa

141
5.7.8 MEZCLAS DE GASES: LEY DE DALTON DE LAS PRESIONES
PARCIALES

Generalmente en química no se trabaja con gases individuales sino con mezclas de ellos.
Uno de los primeros investigadores que estudió sistemas gaseosos de varios componentes
fue John Dalton (1766-1884), lo cual lo llevó a enunciar, EN 1881, la ley que lleva su
nombre, a temperatura constante la presión ejercida por una mezcla de gases, siempre y
cuando estos no reaccionen, en un volumen definido es igual a la suma de las presiones
parciales de cada gas.
La presión parcial de un gas, en una mezcla de gases, es la presión que aquel ejercería si él
solo ocupase el volumen total. Para comprender mejor consideremos dos balones de un L,
uno lleno con helio a la presión de 152 mm Hg (unidad no SI) y el otro lleno con hidrógeno
a la misma temperatura. Supongamos que todo el helio se pasa al otro balón forzándolo
introduciendo aceite. Después que los gases se han mezclado en un balón, cada gas ocupa
un volumen de un litro, por lo tanto, cada uno ejerce la misma presión como si estuviera
solo. En este caso la presión total ejercida por la mezcla de gases es la suma de las dos
presiones parciales: 152 + 608 = 760 mm Hg. Es bueno aclarar que si el volumen final no
es un L, la presión de cada gas, en la mezcla, es diferente a la inicial.

Matemáticamente la ley de Dalton se puede demostrar así: si en un recipiente hay 1, 2, 3,
..., i gases, entonces,
PT = P1 + P2 + ... + Pi
es decir que,
como Pi =

PT =

Pi

n i RT
, reemplazando:
V

PT =

como

∑

n RT
n1 RT n 2 RT
+
+ .... + i
V
V
V

RT
es constante para todos y
V

nT = n1 + n2 + ... + ni =

∑

PT = (n1 + n2 + ... + ni)(

PT = nT

ni

RT
)
V

RT
V

142
si dividimos :
Pi =

n i RT
V

PT = nT

equivalente a:

RT
V

n
Pi
= i
PT n T

pero:

ni
= Xi
nT

que es conocido como la fracción molar, luego
Pi = Xi PT
ahora recordemos que siempre la suma de las fracciones molares debe ser igual a uno,
luego:
X1 + X2 + ... + Xi = 1
Ejemplo 5.14: Una mezcla de 0.18 g de dióxido de azufre, SO2 , (M = 64 g/mol) y 1.2 g de
dióxido de nitrógeno, NO2, (M = 46 g/mol) se encuentran a una presión total de 100.0 kPa.
Calcular las presiones parciales y las fracciones molares de cada gas.
Solución: Planteamiento del problema,
mSO2 = 0.800 g
MSO2 = 64 g/mol
mNO2 = 1,2 g
MNO2 = 46 g/mol
PT = 100.0 kPa
Pi = ?
Xi = ?
mi
Mi
nSO2 = 0,800 g/64 g mol-1 = 0.0125
nNO2 = 1,2 g/46 g mol-1 = 0.0261
el número de moles totales es:
nT = 0.0125 + 0.0261 = 0,0386
n
y las fracciones molares, Xi = i
nT

Ahora calculamos las moles de cada gas, ni =

143
XSO2 =

0.0125
= 0.324
0.0386

XNO2 =

0.0261
= 0.676
0.0386

aplicando : Pi = Xi PT
PSO2 = 0,324 x 100,0 kPa = 32,4 kPa
PNO2 = 0,676 x 100,0 kPa = 67,6 kPa
Cuando se obtiene un gas en el laboratorio es normal que éste sea recogido sobre agua
como lo muestra la Figura 5.11, al abrirse paso arrastra algunas moléculas de agua, lo cual
hace que el gas quede "húmedo". Esto implica que la presión total sea la suma de los
aportes de cada gas: Uno del gas seco y otro del vapor de agua. Cada uno aporta una
presión parcial, luego:

Pgas húmedo = Pgas seco + Pvapor de agua
despejando:
Pgas seco = Pgas húmedo - Pvapor de agua
.

Figura 5.11 Recolección de un gas sobre agua

144
La presión de vapor de agua, a diferentes temperaturas se encuentra en la Tabla 5.7. Los
conceptos anteriores son otra contribución de la ley de Dalton de las presiones parciales.
Ejemplo 5.15: El gas hidrógeno se produce por la reacción del ácido clorhídrico sobre zinc
metálico de acuerdo a la siguiente reacción:
2HCl(ac) + Zn(s) ⇒ ZnCl2(ac) + H2(g)
El gas se recoge sobre agua. Si se recolectaron 260 mL de gas a 32°C y 180 kPa de presión
total. ¿Cuántos gramos de hidrógeno se colectaron?
Solución. Este problema es típico de gas húmedo, luego hay que conocer primero la
presión del gas seco restando de la presión total la presión de vapor de agua a 32°C, que es
4.7546 kPa, (de la Tabla 4.7),para con la ayuda de la ecuación general de los gases ideales
calcular el número de moles y de aquí los gramos por que conocemos el peso molecular.

Datos: PT = 180 kPa; V = 260 mL = 0.260 L; T = 32°C +273 = 305 K; M = 2 g mol-1; Pv =
4.7546 kPa, así:

.
Tabla 5.7 Presión de vapor de agua líquida desde 273 K a 373 K*
____________________________________________________________________
Temp.
Pres. de vapor
Temp.
Pres. de vapor
K
kPa
K
kPa
____________________________________________________________________

273
274
275
276
277
278
279
280
281
282
283
284
285
286
287
288
289

0,6104831
0,656746
0,7058086
0,7579376
0,8133997
0,8723283
0,9349898
1,001651
1,072578
1,147772
1,227766
1,312425
1,402285
1,497343
1,598135
1,704926
1,817717

321
322
323
324
325
326
327
328
329
330
331
332
333
334
335
336
337

11,16041
11,73503
12,33365
12,95893
13,61088
14,29216
15,0001
15,73737
16,50531
17,30791
18,14251
19,01177
19,9157
20,85562
21,8342
22,84879
23,90603
145
290
291
292
293
294
295
296
297
298
299
300
301
302
303
304
305
306
307
308
309
310
311

1,937174
2,06343
2,196753
2,337808
2,486462
2,643383
2,808836
2,983355
3,167206
3,360924
3,564907
3,779556
4,005404
4,242851
4,492297
4,754675
5,030119
5,319295
5,62287
5,941245
6,275084
6,625055

338
339
340
341
342
343
344
345
346
347
348
349
350
351
352
353
354
355
356
357
358
359

25,00327
26,14318
27,32575
28,55365
29,82821
29,82421
32,51732
33,94387
35,42376
36,95696
38,5435
40,18336
41,87656
43,63641
45,46292
47,34277
49,28928
51,31578
53,40894
55,56876
57,80858
60,11506

Continuación TABLA 5.5
________________________________________________________________
Temp.
Pres. de vapor
Temp.
Pres. de vapor
K
kPa
K
kPa
________________________________________________________________
312
6,691692
360
62,48819
313
7,375926
361
64,94132
314
7,778027
362
67,47445
315
8,199326
363
70,09557
316
8,63929
364
72,79735
317
9,100585
365
75,59245
318
9,583211
366
78,47354
319
10,08584
367
81,44663
320
10,61246
368
84,51305
369
87,67545
372
97,75729
370
90,93519
373
101,325
371
94,29491
374
105,00069
________________________________________________________________
PERRY H., Robert y CHILTON H., Cecil. (Editores ). Biblioteca del ingeniero químico. 5ed. 2ed. en
español. México, McGraw-Hill, 1983. V1, pp. 1-27 , 3- 56:3-57. Conversión a SI por los autores.

146
PH2 seco = Pgas húmedo - Pvapor de agua = 180 kPa – 4.746 = 175.25 Kpa
PV
, reemplazando:
Como n =
RT

n=

PV
175.25kPa x 0.260 L
=
= 0.01797x10 -2 moles
-1
-1
RT 8.314 kPa L mol K x 305 K

como n =

masa
, de aquí: masa de H2 = nM, reemplazando:
M

masa de H2 = 0.01797x10-2 x 2 g mol-1 = 3.59x10-4 g de H2
Ejemplo 5.16: El oxígeno se produce por descomposición térmica del clorato de potasio,
KClO3 . Si la práctica se realiza a 303 K y 99,0 kPa, a) Cuál es el volumen de O2 si se
recogieron cinco moles? b) cuál es la fracción molar del O2?
Solución: El problema es de la misma forma que el ejercicio anterior, solo que aquí se
pregunta por le volumen pero se dan las moles. Planteamiento del problema
gas: O2
T = 303 K
Patm = 99,0 kPa
n=5
a) VO2 = ?
b) XO2 = ?
De la Tabla 5.7 leemos la presión de vapor, Pv, del agua a 303 K y es 4,24 kPa, aplicando:
PO2(seco) = Patm - Pv
PO2(seco) = 99,0 kPa - 4,24 kPa = 94,76 kPa
como PV = nRT, entonces, V =

nRT
, reemplazando,
P

5x8.314 kPa L mol -1 K -1 x 303 K
VO2 =
= 132.92 L
94.76 kPa

b) Como XO2 =

PO O2
PT

reemplazando:

XO2 =

94.76 kPa
= 0.96
99.00 kPa
147
5.7.9 LEY DE AMAGAT DE LOS VOLUMENES PARCIALES

Así como Dalton trabajó con las presiones parciales, Amagat realizó estudios con los
volúmenes parciales y enunció la ley que lleva su nombre: En una mezcla cualquiera de
gases el volumen total puede ser considerado como la suma de los volúmenes parciales de
los constituyentes de la mezcla, así:

es decir:

VT = V1 + V2 + ... + Vi
VT = ∑ Vi

donde Vi son los volúmenes parciales que se definen como aquel que ocuparía un gas si el
solo estuviese presente a la misma temperatura y a la presión total de la mezcla.
Si Xi son las fracciones molares, de modo similar que con la ley de Dalton,
Vi = XiVT

5.7.10 LEY DE EFUSIÓN DE GRAHAM

A veces nos preguntamos porqué, cuando estamos en la sala de casa, percibimos el
agradable olor de los alimentos en proceso de cocción que vienen de la cocina o por qué,
también los malos olores llegan a nosotros. Pues bien la explicación está en la teoría
cinética de los gases la cual nos dice que las moléculas están en movimiento caótico
constante y en cualquier momento un grupo grande de moléculas de una sustancia se
esparcen y sale para ocupar un espacio cada vez mayor.

Se entiende por difusión el fenómeno mediante el cual las moléculas de varios fluidos
situados en un mismo recinto tienden a formar una mezcla homogénea o es el proceso
mediante el cual un gas se esparce fuera a través de otro para ocupar el espacio
uniformemente. La Figura 4.12 muestra la difusión del amoníaco a través del aire, a medida
que difunde, la tira indicadora cambia de color.
La efusión es el proceso en el cual un gas fluye a través de un pequeño orificio en un
recipiente. Este fenómeno fue estudiado entre 1828 y 1833 por Thomas Graham (18051869), quien enunció la siguiente ley que lleva su nombre: A temperatura y presión
constantes las velocidades de efusión de diferentes gases varía inversamente con la raíz
cuadrada de sus densidades ( ρ ) o pesos moleculares (M),Matemáticamente:
1
Velocidad de efusión de las moléculas α
ó
M

148
Velocidad de efusión de las moléculas α

1

ρ

así: si llamamos U1 y U2 las velocidades de efusión de dos gases y por ρ 1 y ρ 2 a sus
respectivas densidades, la ley de Graham nos dice:

ρ2

U1
=
U2
U1
=
U2

o

ρ1
M2
M1

Es fácil demostrar que cuando se conocen los tiempos de difusión (efusión) de un gas se
puede emplear la siguiente expresión,

t2
=
t1

M2
M1

donde t1 es el tiempo de efusión del gas uno y t2 el tiempo de efusión del gas dos.
Ejemplo 5.17: Calcular la relación de las velocidades de efusión del hidrógeno y el
nitrógeno cuando efunden por un mismo orificio a las mismas condiciones.

Solución. Como se trata de comparar las dos velocidades y se conocen los pesos
moleculares de los gases, H2= 2.0 g mol-1; N2 = 28.0 g mol-1, simplemente reemplazamos
en esta ecuación:

M2
U1
=
U2
M1
Aplicando:
U1
28
=
= 3.7
U2
2
es decir, la relación entre la velocidad de efusión (difusión) del H2 y la del N2 es 3,7.
Ejemplo 5.18: Otra experiencia sencilla y muy común en algunos textos es la siguiente: Los
compuestos gaseosos amoníaco (NH3) y ácido clorhídrico (HCl), al reaccionar producen
unos vapores blancos de cloruro de amonio (NH4Cl). Al tomar un tubo de vidrio de un
149
metro de longitud y colocar simultáneamente en un extremo amoníaco y en el otro ácido
clorhídrico, al difundir los gases y encontrarse reaccionan y producen cloruro de amonio.
Se nota por que se forma una especie de nubes blancas.

Experimentalmente se encuentra que la zona de reacción se ubica a 60 cm de la entrada del
amoníaco, lo cual indica que las moléculas de amoníaco se desplazan más rápidamente que
las del ácido, y es lógico por que el peso molecular del primero es 17 g mol-1 y del segundo
M2
U
36,5 g mol-1. Al aplicar la ecuación 1 =
encontramos,
U2
M1
U NH3
36.5
=
= 1.46
U HCl
17
Es decir, la velocidad de difusión del amoniaco es 1.46 veces mayor que la del HCl.

reemplazando,

Ejemplo 5.19: el tiempo necesario para que cierto volumen de N2 efunda por un orificio es
de 35 segundos. Calcular el peso molecular de un gas que necesita 50 s para efundir por el
mismo orificio bajo condiciones idénticas.
Solución: Aquí, como nos dan los tiempos, se debe utilizar la ecuación

t2
=
t1

M2
M1

Planteamiento del problema,
tN2 = 35 s
MN2 = 28 g/mol
Mx = ?
tx = 50 s
despejando para el peso molecular:

Mx =

M N2 x t x
t N2

reemplazando,
Mx =

28 x 50 s
= 7.56
35 s

Elevando ambos lados al cuadrado:
Mx = (7.56)2 = 57,14 g mol-1
5.7.11 LA TEORÍA CINÉTICA DE LOS GASES

150
En 1.738 Bernoulli y en años posteriores Clausius, Masxwell, Boltzmann, van der Waals y
Jeans, enunciaron y mejoraron lo que hoy se conoce como teoría cinética de los gases, la
cual estudia el comportamiento de los gases de una manera teórica en base de una
descripción postulada de un gas y algunos supuestos.
Los postulados fundamentales de esta teoría son:
1. Se considera que los gases están constituidos por diminutas partículas discretas llamadas
moléculas de igual masa y tamaño en un mismo gas, pero diferentes para gases distintos.
2. Las moléculas de un recipiente se hallan en movimiento caótico sin cesar, durante el cual
chocan entre sí o con las paredes del recipiente donde se encuentran.
3. El bombardeo de las paredes del recipiente origina una presión, es decir, una fuerza por
unidad de área, promedio de las colisiones de las moléculas.
4. Las colisiones de las moléculas son elásticas, es decir, mientras no varíe con el tiempo la
presión del gas de un recipiente, a cualquier temperatura y presión no se produce pérdida de
energía por fricción.
5. La temperatura absoluta es una cantidad proporcional al promedio de la energía cinética
de todas las moléculas de un sistema.
6. A presiones relativamente bajas la distancia promedio entre las moléculas es grande en
comparación con sus diámetros, y de ahí que las fuerzas de atracción, que dependen de la
separación molecular, se consideran despreciables.
7. Finalmente, como las moléculas son pequeñas, en comparación con la distancia entre
ellas, su volumen se considera despreciable con relación al total, es decir, la mayor parte
del volumen ocupado por un gas es espacio vacío.
Algunas leyes (relaciones) de los gases se pueden interpretar con los anteriores postulados.
Veamos:

RELACION:
PRESION-VOLUMEN (INVERSA)
Si se disminuye el volumen del recipiente que contiene el gas. sus moléculas recorrerán
menos espacio entre cada choque: ésto se traduce en un mayor número de choques por
unidad de tiempo. lo que da como resultado una mayor presión.
RELACIÓN:
VOLUMEN-TEMPERATURA (DIRECTA)
Al aumentar la temperatura. aumenta la energía cinética de las moléculas: ésto trae como
consecuencia que la fuerza ejercida en el momento del choque sea mayor, así como
también el número de choques por unidad de tiempo. Si las paredes del recipiente son

151
elásticas (globo de caucho). cederán ante el empuje de las moléculas y el volumen del
recipiente (globo) aumentara.

RELACION:
PRESION-TEMPERATURA (DIRECTA)
Al aumentar la temperatura. aumenta la energía cinética de las moléculas, lo que lleva a que
ejerzan una mayor fuerza al chocar con las paredes del recipiente. Igualmente. aumenta la
velocidad de las moléculas lo que implica un mayor número de choques por unidad de
tiempo. Si las paredes del recipiente son rígidas, el efecto neto será una mayor fuerza sobre
las paredes y por tanto una mayor presión.
RELACIÓN:
VOLUMEN-MASA (DIRECTA)
Al aumentar la masa, aumenta el número de moléculas y por tanto el número de
choques contra las paredes del recipiente. Si las paredes son elásticas, cederán ante el
mayor empuje de las moléculas y el volumen aumentará.
RELACIÓN:
MASA-PRESIÓN (DIRECTA)
Al aumentar la masa, el número de moléculas aumenta y, por consiguiente, el número de
choques contra las paredes del recipiente también aumenta. Si las paredes del recipiente son
rígidas, no ceden ante el empuje de las moléculas y el efecto neto será un aumento de la
presión.

5.8 GASES REALES

Al principio de este capítulo establecimos las diferencias entre lo que se puede considerar
un gas ideal o perfecto y un gas real o imperfecto, pues bien en esta sección mostraremos la
parte matemática que corrobora dichas diferencias.

5.8.1 FACTOR DE COMPRESIBILIDAD, PUNTOS CRÍTICOS Y CONDICIONES
REDUCIDAS

La ecuación de estado del gas ideal, PV = nRT es una representación exacta de la conducta
de los gases solo cuando ellos están a presiones bajas y a temperaturas superiores a sus
puntos de condensación. Podemos decir que aquella ecuación es una aproximación a
ecuaciones de estado más exactas, que deben ser empleadas cuando los gases están a
temperaturas bajas y presiones altas; estas ecuaciones son matemáticamente más
complicadas y por lo tanto más difíciles de usar, pero ellas nos dicen mucho a cerca de las
fuerzas que ejercen mutuamente las moléculas.
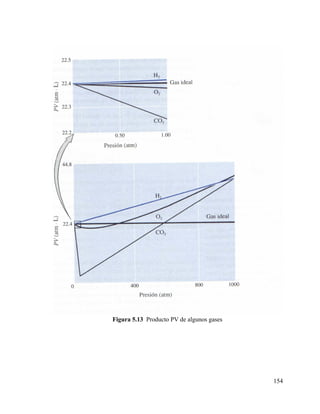
Pero qué tanto la ley general se desvía de la realidad?. Para responder a ésta pregunta los
científicos usaron la ley de Boyle, como ella predice que PV = constante, lo cual indica que
PV = nRT también debe ser igual a una constante, por lo tanto siempre que la temperatura

152
se mantenga constante, el producto PV debe serlo y un gráfico de PV contra P debe ser una
línea recta paralela al eje de las presiones.
Cuando a 273,15 K y diferentes presiones se construyó la Figura 5.13 para varios gases se
observa claramente la incongruencia de la ley general. Las conclusiones de cómo se
comporta cada gas con respecto al producto PV son inherentes.
Para ajustar el comportamiento ideal a el real de los gases, se introdujo el concepto de
factor de compresibilidad, Z, que se define como:
PV
Z=
nRT
De donde: PV = ZnRT
Al representar gráficamente el factor de compresibilidad, Z, en función de la presión, para
un gas ideal, siempre se obtendrá una línea recta en Z = 1, paralela al eje de las presiones.
Para gases reales, como se muestran en las Figuras 5.14 y 5.15, éste valor puede ser menor
o mayor que uno, dependiendo de la naturaleza del gas, la presión y la temperatura.
El uso de los factores de compresibilidad se mostrará a continuación:
Ejemplo 5.20: Calcular el volumen de un mol de metano a una presión de 60 795 kPa y
873 K, compare su respuesta con el volumen ideal.
Solución: Planteamiento del problema,
V=?
n=1
P = 60 795 kPa
T = 873 K
R = 8.314 kPa l mol-1 K-1
b) Videal = ?

153
Figura 5.13 Producto PV de algunos gases

154
Figura 5.14 Z como función de la presión para un mol de gas a 300 K

155
Figura 5.15 Z como factor de la presión para un mol de N2

a) con el valor de la presión de 60 795 kPa y la temperatura de 873 K, se obtiene el factor
de compresibilidad para el metano de gráficas parecidas a las anteriores, Z = 1.23, como
V=

ZnRT
, reemplazando valores:
P
V=

1.23 x 1 mol x 8.314 kPa L mol -1 K -1 x 873 K
= 0.147 L ,
60 795

nRT
, reemplazando:
P
1 mol x 8.314 kPa L mol -1 K -1 x 873 K
V=
= 0.119 L ,
60 795

b) para el volumen idea V =

156
luego Δ V = 0,147 - 0,119 = 0,028 L.
El punto crítico de un gas está determinado por la situación en la cual, por encima de él, es
imposible licuar (condensar) un gas, así: Para cada gas existe una temperatura, arriba de la
cual, no importando que tan grande sea la presión aplicada, es imposible ser licuado, esa
temperatura se llama temperatura crítica Tc. La presión necesaria para licuar el gas a Tc
se llama presión crítica Pc. El volumen del gas a la Pc y Tc es el volumen crítico Vc. El
estado del gas a Pc, Tc y Vc es lo que se denomina punto crítico y sus valores son las
constantes críticas del gas. En la Tabla 5.8, se dan las constantes críticas de diversos
gases.
Las relaciones P, V y T, con los valores críticos Pc, Vc y Tc, respectivamente, reciben el
nombre de presión, volumen y temperatura reducidos. Matemáticamente son:
PR = P/Pc, VR = V/Vc, TR =T/Tc
En 1.881, van der Waals señaló que, como una aproximación bastante acertada a presiones
moderadas, todos los gases siguen la misma ecuación de estado en términos de las variables
reducidas, PR, TR y VR siendo VR=F(PR, TR), donde F podría ser la misma función para
todos
Tabla 5.8 Datos del punto crítico y constante de van der Waals*
_________________________________________________________
Fórmula
Tc
Pc
106Vc
103a
106b
(K) (Mpa) (m3mol-1)
(m6Pa mol-2)
(m3mol-1)
_________________________________________________________
He
5,3
0,229 61,6
3,45
23,7
H2
3,33 1,30
69,7
24,7
26,6
N2
126,1
3,39
90,0
141,0
39,1
CO
134,0
3,51
90,0
151,0
39,9
O2
154,3
5,04
74,4
138,0
31,8
C2H4
282,9
5,16 127,5
453,0
57,1
CO2
304,2
7,38
94,2
364,0
42,7
NH3
405,6 11,37
72,0
422,0
37,1
H2O
647,2 22,06
55,44
553,0
30,5
Hg
1735,0 105,0
40,1
820,0
17,0
_________________________________________________________
* MOORE, Walter J. Fisicoquímica básica. México, Prentic -Hall,1986. pp. 11-34

los gases estudiados. Llamó a esta regla principios de estados correspondientes. Si ésta
regla fuera exacta, la relación crítica PcVc/nRTc sería la misma para todos los gases, aunque
en la realidad varía un poco. El principio de estado correspondiente es muy importante, ya
que muestra que la desviación de un gas experimental respecto del ideal no se determina

157
con los valores absolutos de P, V, T, si no con los valores reducidos PR, TR y VR , en los
cuales se toma en cuenta la naturaleza del gas.
Los Ingenieros Químicos, a quienes interesan las propiedades de los gases a presiones
elevadas, han preparado gráficas para mostrar la variación del factor Z con la presión y la
temperatura; y han encontrado en óptima aproximación que Z parece ser una función
universal de las variables reducidas PR y TR,
Z = F(PR, TR)
En la Figura 5.16, se ilustra éste comportamiento para un número de gases diferentes,
donde Z se grafica a varias temperaturas reducidas, contra la presión reducida. Con éstas
presiones moderadas, el ajuste tiene un error cercano al 1%. Estas gráficas ilustran la ley de
estados correspondientes.
Ejemplo 5.21: El xenón tiene una Tc = 289,7 K , Pc = 5,88 MPa. Calcular el volumen de un
mol de xenón a una presión de 12,47 MPa y 320 K. Comparar éste volumen con el valor
del gas ideal.
Solución: Planteamiento del problema,
Tc = 289,7 K
Pc = 5,88 MPa.
V=?
P = 12,47 MPa
T = 320 K
R = 8,314 L kPa mol-1 K-1
con los valores de Tc = 289,7 K , Pc = 5,88 MPa, vamos a la Figura 5.16 y leemos Z para el
ZnRT
, los valores:
Xe, que es 0,42, reemplazando en V =
P
V=

0.42 x 1 mol x 8.314 kPa L mol -1 K -1 x 320 K
= 8.96x10 -2 L ,
12 470 kPa

Para el gas ideal, V = 21,33 x 10-2 L.

158
Figura 5.16 Factor de compresibilidad en función de la variables reducidas de
estado [Goug-Jen Su, Ind. Eng. Cheem, 38, 803 (1.946)]
5.8.2 ECUACIÓN DE VAN DER WAALS

Se han propuesto muchas ecuaciones de estado para describir el comportamiento de los
gases no ideales. La más famosa y quizá la más ampliamente usada es la de J. D. van der
Waals (1837-1923) quien en 1.873 estudió el problema para obtener una ecuación de estado
para gases no ideales. Ideó un modelo teórico-cinético para un gas imperfecto en el que se
modificaron los dos postulados básicos del modelo del gas ideal.

159
En lugar de tratar las moléculas del gas como partículas puntuales con masa, las trató como
esferas rígidas Y en vez de decir que no habría fuerzas entre las moléculas, supuso que
éstas ejercían fuerzas de atracción entre ellas, lo que conduce a la condensación en
condiciones apropiadas de T y P. La ecuación que propuso es:
2
⎡
⎛n⎞
⎢ P+a⎜ ⎟
⎝V⎠
⎢
⎣

⎤
⎥ (V nb) = nRT
⎥
⎦

La ecuación difiere de la ecuación de los gases ideales por la presencia de dos términos de
corrección; uno corrige el volumen, el otro modifica la presión. El término nb en la
expresión (V – nb) es una corrección por el volumen finito de las moléculas de gas; la
constante de van der Waals, b, diferente para cada gas, tiene unidades de L mol-1. Es una
medida del volumen real ocupado por las moléculas del gas. Los valores de b de varios
gases se aparecen en la Tabla 4.8. Se observa que b se incrementa al aumentar la masa de
la molécula o la complejidad de su estructura.
La corrección a la presión toma en consideración las fuerzas de atracción entre las
moléculas. Consta de una constante a diferente para cada gas, que multiplica la cantidad
(n/V)2. Las unidades de a son L2 Pa mol-2. La magnitud de a refleja la fuerza con que se
atraen entre si las moléculas de un gas. Se observa que a se incrementa con el peso
molecular o la complejidad de la estructura.
Generalmente se utilizan los datos del punto crítico para determinar valores aproximados de
las constantes de van der Waals, utilizando las siguientes ecuaciones:
a=

2
27 R 2 T c
64 Pc

b = RTc
8 Pc
Ejemplo 5.22: Calcular la presión, usando la ecuación de van der Waals, a la cual se
encuentran cinco moles de CO que ocupan un volumen de 10 litros a 305 K.
Solución: planteamiento del problema,
P = ? (ec. van der Waals)
n = 5 gas CO
V = 10 l
T = 305 K
De la Tabla 4.8 tomamos los valores de las constantes a y b;
a = 151x10-3 m6 Pa mol-2 = 151 kPa l2 mol-2
160
b = 39,9x10-6 m3 mol-1 = 0.0399 l mol-1
Despejando P de la ecuación de van der Waals:
nRT ⎛ n ⎞
P=
a⎜
⎟
V nb ⎝ V ⎠

2

y reemplazando valores,

= 1255.87 kPa

P=

5 x 8,314 x 305
⎛ 5 ⎞
151⎜
⎟
10 5 x 0.0398
⎝ 10 ⎠

2

La ecuación de van der Waals es explícita para la presión, como lo demostró el anterior
ejemplo, pero cuando se trata del volumen la situación se complica por que al despejarlo
queda una función polinómica de tercer grado, así:
PV3 - n(bP + RT)V2+ n2aV - n3ab = 0

5.8.3 ECUACIÓN DE BERTHELOT

Otra ecuación de estado que estudia los gases reales es la ecuación de Berthelot, pero como
a presiones altas esta ecuación es demasiado compleja, por eso a presiones bajas se usa la
siguiente;
⎡
9 P Tc
PV = nRT ⎢1 +
⎣ 128 Pc T

2
⎛ 6 T c ⎞⎤
1 2 ⎟⎥
⎜
⎝ T ⎠⎦

y para calcular los pesos moleculares de los gases o la densidad, de una forma más exacta
que la ley de los gases ideales, se transforma en,
M=

ρ RT ⎡
P

2
9 P T c ⎛ 6 T c ⎞⎤
⎜1 2 ⎟⎥
⎢1 +
⎣ 128 Pc T ⎝ T ⎠⎦

donde todas las variables son las mismas que hemos vistos anteriormente.

161
5.9 ESTEQUIOMETRÍA DE GASES

Es usual que los gases participan en algunas reacciones químicas como reactivo o producto
y es necesario que sepamos cuantificar esa participación, para ello podemos utilizar la ley
de los volúmenes de combinación de Gay Lussac o la ecuación general de los gases PV =
nRT. La estequiometría de la reacción nos dará parte de la información que se requiere. A
continuación se ilustrará con ejemplo.
Ejemplo 5.23 Los automóviles modernos se venden equipado con bolsas de aire que se
inflan, en menos de 20 centésimas de segundo, cuando hay una colisión. Muchas de esas
bolsas son infladas con nitrógeno, N2 ( M = 28 g mol-1), mediante la acción de la azida de
sodio, NaN3 (M = 65.01 g mol-1), y óxido de hierro(III), Fe2O3, la cual se inicia con una
chispa. La reacción es:
6NaN3(s) + Fe2O3(s) ⇒ 3NaO2(s) + 2Fe(s) + 9N2(g)
Si la bolsa se llena con 90 L, ¿Cuántos gramos de azida se requieren para proporcionar ese
volumen de N2 a 30°C y 95,0 kPa?
Solución. En primera instancia hay conocer el número de moles de N2 que se necesitan
para llenar la bolsa y por la estequiometría de la reacción calcular los gramos de azida que
los proporcionan.

Los datos son:
P = 95.0 kPa
T = 30°C = 303 K
R= 8.314 kPa L mol-1
V = 90 L
Con PV = nRT calculamos el numero de moles de N2 que bajo esas condiciones
proporcionan 90 L. Como:

n=
Reemplazando: n =

PV
RT

95.0 kPa x 90.0 L
= 3.39 moles de N 2
8.314 kPa L mol -1 K -1 x 303 K

La estequiometría de la reacción nos dice que seis mole de NaN3(s) proporciona nueve
moles N2(g), entonces, 3.39 moles de N2, cuantas moles de NaN3 necesitarán?. Una regla
de tres nos soluciona :
Si 6 moles de NaN3(s) ⇒ 9 moles de N2(g)
3.39 moles de N2(g)
X moles de NaN3(s)
162
6 moles NaN 3 x 3.39 moles de N 2
= 2.26 moles de NaN 3
9 moles de N 2
masa
y como el peso molecular de la azida es 65.01 g;
Que se lleva a gramos con n =
M
entonces:

Moles de NaN3(s) =

Gramos de NaN3(s) = nM = 2.26 moles de NaN3 x 65.01 g mol-1 = 146.9 g de NaN3(s).
Ejemplo 5.24 Cuantos litros de cloro gaseoso, Cl2 (M = 71.0 g mol-1) se pueden obtener a
35°C y 101.3 kPa a partir de 80.5 g de ácido clorhídrico (M = 36.5 g mol-1), de acuerdo con
la ecuación siguiente:
2KmnO4(s) + 16HCl(ac) ⇒ 8H2O(l) + 2KCl(ac) + 2MnCl2(ac) + 5Cl2(g)
Solución. En este caso necesitamos saber cuantas moles de Cl2 producen los 80.5 g de HCl
para aplicar la ecuación general de los gases PV = nRT. La estequiometría de la reacción
nos ayuda por que nos dice que 16 moles de HCl producen 5 moles de Cl2.

Los datos son:
P = 101.3 kPa
T = 35°C = 308 K
R= 8.314 kPa L mol-1
g de HCl = 80.5
M = 36.5 g mol-1
80.5 g
=
36.5 g mol -1
2.205 moles de HCl y como la estequiometría de la reacción nos dice que 16 moles de HCl
producen 5 moles de Cl2, cuantas moles de Cl2 se producirán?. Una regla de tres nos
soluciona :
Los gramos de HCl los llevamos a moles dividiendo por su peso molecular,

Si 16 moles de HCl ⇒ 5 moles de Cl2
2.205 moles de HCl
X moles de Cl2
Moles de Cl2(g) =

2.205 moles HCl x 5 moles de Cl 2
= 0.698 moles Cl 2
16 moles de HCl

Con PV = nRT calculamos el volumen de Cl2 que bajo esas condiciones se producen.
Como:
V=

nRT
P
163
Reemplazando: V =

0.698 moles x8.314 kPa mol -1 K -1 x 308 K
= 17.64 L de Cl 2
101.3 kPa

5.10 PROBLEMAS ILUSTRATIVOS

5.25 Se está diseñando un submarino para bajar al lugar más profundo en el océano, el paso
de las islas marianas, a 11 022 m , cual es la presión mínima de diseño para llegar allá ?.
Suponga densidad constante de 1.05 g cm-3.

Solución: Planteamiento del problema,
h = 11.022 m
ρ = 1,05 g cm-3 = 1,05x103 kg m-3
P=?
g = 9,81 m s-2
hay que calcular la presión que ejercería la columna de agua h de 11 022 m; como P =
h ρ g, reemplazando,
P = 11 022 m x 1.05x103 kg m-3 x 9.81 m s-2
= 113.42 MPa
= 1120 atm
el submarino debe resistir una presión de por lo menos 113,42 MPa equivalentes a 1120
atm.
5.26 La presión de un gas ideal en función de la altura h por encima del nivel del mar,
suponiendo temperatura constante, está dada por la ecuación,
P = Poe-(Mgh/RT)
donde Po es la presión a nivel del mar para las condiciones dadas, g es la aceleración de la
gravedad = 9.80665 m s-2, m el peso molecular. Cual será la presión a una altura de 2300 m
para 1 mol de O2 que inicialmente está a CN ?.
Solución: Planteamiento del problema:
P = Poe-(Mgh/RT)
g = 9.80665 m s-2
P=?
h = 2300 m
n = 1 mol
M = 0.032 kg mol-1
T = 273,15 K
164
V = 22,414 l
Po = 101,32 kPa
en caso de que no sea a CN, Po = nRT/V
reemplazando en la ecuación P = Poe-(Mgh/RT)
P = 101.32 kPa exp[(-0.032 kg mol-1 x 9.80665 m s-2 x2300 m) /(8.314 kPa x 273.15 K) ]

= 101.32 kPa exp(-0.3176)
= 101.32 kPa x 0.728
= 73.75 kPa
5.27 Un tanque de acero de 10 L se diseñó para resistir una presión de 658.6 kPa. Si
contiene un gas a 304 kPa y 298 K y se arroja a un horno a 673 K, suponiendo que el acero
no se dilata por la acción del calor, diga si el tanque explotará.
Solución: Aquí se comparará la presión de diseño con la presión a la que se somete según
las condiciones. Planteamiento del problema,
V1 = 10 L
Pmax = 658.6 kPa
P1 = 304 kPa
T1 = 298 K
T2 = 673 K
V2 = 10 L
P2 = ?
como el tanque no se dilata el volumen final es el mismo, el caso es de la ley combinada
de los gases, V2P2T1 = V1P1T2, que con volumen constante y despejando P2, queda:

P2 =

P2 =

P1 T2
T1

reemplazando valores,

304 kPa x 673 K
= 686.5 kPa
298 K

165
como la presión final calculada, 686.5 kPa, es mayor que la presión de diseño, 658.6 kPa, el
tanque explotará.
5.29 El O2(g) se produce por descomposición del KClO3. Otro producto de la reacción es
KCl. Cuando 10 g de KClO3 se descomponen a 303 K y 90 kPa, qué volumen de O2 se
recogen?
Solución: Primero que todo hay que conocer la ecuación química que sigue la reacción.
La reacción es KClO3 ⇒ O2 + KCl que balanceándola queda,
2 KClO3 ⇒ 3O2 + 2KCl
m = 10 g
T = 303 K
P = 90 kPa
se consigue el peso molecular del KClO3, M = 122.6
moles de KClO3 que reaccionan, n = 10/122.6 = 0.082.
como dos moles de KClO3 producen 3 moles de O2, entonces 0.082 moles de KClO3
producirán: 3 x 0.082/2 = 0.122 moles de O2, luego aplicando V = nRT/P tenemos,

V=

0.122 moles x 8.314 kPa L mol -1 K -1 x 300 K
= 3.42 L
90 kPa

166
5.30 Se ha encontrado 0.896 g de un compuesto gaseoso que contiene solamente N2 y O2
ocupa 0.524 L a una presión de 97.33 kPa a una temperatura de 301 K, cuál es el peso
molecular del gas y su fórmula molecular?
Solución: Planteamiento del problema,
m = 0.896 g (N2 y O2)
V = 0.524 L
P = 97.33 kPa
T = 301 K
M=?
fórmula = ?
primero hallamos las moles: n = PV/RT, reemplazando,

n=

97.33 kPa x 0.524 L
= 0.0204
8.314 kPa mol -1 K -1 x 301 K

Como M = m/n , entonces:
M=

0.896
= 43.99 g mol -1
0.0204

como el peso atómico del N es 14 y el del O es 16, se busca una combinación de ellos que
de aproximadamente 43,99 g mol-1 y esa es 2 átomos de N y 1 de O, luego la fórmula es
N2O.
5.31 En una vasija de 8 L se introducen 2 L de N2, 5 L de CO2 y 3 L de H2. Antes de
mezclarse cada gas ejercía una presión de 101.32 kPa, si la temperatura es constante
calcular a) la presión parcial de cada gas, b) el peso molecular medio de la mezcla y c) el
porcentaje en peso de cada gas.
Solución: Planteamiento del problema,
Vt = 8 L
VN2 = 2 L ( M = 28 g/mol)
VCO2 = 5 L (M = 44 g/mol)
VH2 = 3 L (M = 2 g/mol)
P = 101.32 kPa
T = constante
a) Pi = ?
_

b) M = ?
c) %i = ?
a) Primero vamos a calcular las Pi de cada gas con:
167
P2 =

V1 P2
V2

para el N2: V1 = 2 L P1 = 101.32 kPa
V2 = 8 L P2 = ?
P2 =

2 L x 101.3 kPa
= 25.33 kPa
8L

PN2 = 25.33 kPa
de la misma forma se calcula para los otros gases:
PCO2 = 63.32 kPa
PH2 = 38.00 kPa
b) para calcular el peso molecular promedio debemos conocer las fracciones molares:
Xi =

Pi
, como PT = 126.65 kPa, luego aplicando para cada componente:
PT

XN2

25.33
= 0.20
126.5

XCO2 =

XH2 =

_

como M =

∑

63.32
= 0.50
126.65

38.00
= 0.30
126.65

XiMi, entonces,

_

M = 0.20 x 28 + 0.50 x 0.44 + 0.30 x 2 = 28.2
c) como los % en peso son relativos, podemos suponer que hay una mol de la mezcla, pues
la proporción con respecto a la fracción molar es la misma, luego, mN2 = 0.20 x 28 = 5.6
mCO2 = 0.50 x 44 = 22
mH2 = 0.30 x 2 = 0,6
∑ m i = 5.6 + 22 + 0.6 = 28,2
168
%Peso(N2) = 5,6 x 100/28,2 = 19,86
%Peso(CO2) = 22 x 100/28,2 = 78,01
%Peso(H2) = 0,6 x 100/28,2 = 2,3
5.32 Sabiendo que :

U1
=
U2

M2
M1

demostrar que

t2
=
t1

M2
M1

donde U es la velocidad y t tiempo de efusión de un gas.
Solución:
Tenemos:

pero U =

U1
=
U2

M2
M1

(1)

e
. Para cada gas tenemos:
t
U1 =

U2 =

e1
.
t1

(2)

e2
. (3)
t2

reemplazando (2) y (3) en (1):

e1 / t 1
=
e2 / t2

M2

e1 t 2
=
e 2 t1

M2

M1

(4)

de donde:
M1

(5)

169
como las distancias son iguales, e1 = e2, entonces:
M2
t2
=
t1
M1
que era lo que queríamos demostrar.

170
5.12 PROBLEMAS PROPUESTOS

5.1
La compresibilidad, que es el cambio de volumen una sustancia en respuesta a un
cambio en la presión, mucho mayor para los gases que para los líquidos o os sólidos.
Explique la causa.
5.2 La densidad del vapor de agua a 1000C y 101325 Pa de presión es 0.59 g/L, en tanto
que el agua líquida, bajo las mismas condiciones, tiene una densidad de 0.99 g/mL.
Explique desde un punto de vista molecular por qué el vapor y el líquido difieren tanto en
sus densidades.
5.3 Explique por qué la altura del mercurio en un manómetro es independiente del diámetro
de la columna.
5.4 a)¿Qué tan alta debe ser una columna de agua para ejercer una presión igual a la de una
columna de mercurio que tiene 760 mm de alto? b) ¿Cuál es la presión sobre el cuerpo de
un buzo que está a 45 m bajo la superficie del agua?
5.5
Realice las conversiones siguientes: a)0.950atm a kPa; b) 735 mm Hg a atm; e) 670
mm Hg a torr. d) 1.03 atm a mm Hg.
5.6
Lleve a cabo las conversiones siguientes: a) 100.8 kPa a atm;b)0.43º atm a mm Hg;
e) 745 torr a mm Hg; .d)23.0 mm Hg a atm.
5.7
a)Si se informa que el clima en Chicago es 890F con una presión barométrica de
29.32 puIg. Hg, ¿cuál es la temperatura en grados celsius y la presión en kilopascales? b)Si
el informe del clima para Montreal dice que la temperatura es l50C y la presión barométrica
es 99.8 kPa,. ¿cuál es la temperatura en grados Fahrenheit y cuál la presión en pulgadas de
mercurio?
5.8
a)En Titán, el mayor de los satélites de Saturno, la presión atmosférica es 1.6 veces
mayor que la atmósfera terrestre. ¿cuál es la presión atmosférica en Titán en kilopascales?
b) En Venus, la presión atmosférica en la superficie es aproximadamente de 90 atmósferas
terrestres. ¿Cuál es la presión atmosférica venusina en Kilopascales?
5.9
La aguja de un fonógrafo que descansa sobre un disco tiene una masa efectiva de
2.5 g. El área de la aguja que hace contacto con el disco es 2.7 x 10-2 mm2. ¿Qué presión,
en pascales, ejerce la aguja sobre el disco?
5.10 Suponga que una mujer que pesa 75 kg y calza zapatos de tacón alto, pone
momentáneamente todo su peso sobre el tacón de un zapato. Si el área del tacón es 1.2 cm2
calcule la presión ejercida sobre la superficie en la que está parada, en kilopascales.

171
5.11 Un manómetro de tubo abierto que contiene mercurio está conectado a un recipiente
con gas. ¿Cuál es la presión del gas confinado en mm de Hg en cada una de las situaciones
siguientes: a) El mercurio en la rama conectada al gas es 4.5 cm superior a la rama abierta a
la presión atmosférica, que es 96765.4 Pa b) El mercurio de la rama conectada al gas está
3.8 cm abajo del mercurio en la rama abierta a la atmósfera; la presión atmosférica es
101325 Pa.
5.12 a)¿Qué queremos decir cuando hablamos de dos cantidades que son directamente
proporcionales?, ¿inversamente proporcionales? b) ¿El volumen de un gas es directa o
inversamente proporcional a la presión?, ¿a la temperatura absoluta?, ¿a la cantidad de gas?
5.13- Escriba una ecuación o expresión de proporcionalidad que indique cada una de las
siguientes afirmaciones: a) Para una cantidad de gas a temperatura constante, el producto de
la presión multiplicada por el volumen es constante. b) Para una temperatura y una presión
determinada, el volumen de un gas es proporcional al número de moles existentes de gas. c)
Para un volumen y una cantidad de gas determinados, la presión es proporcional a la
temperatura absoluta. d) Para una cantidad determinada de gas, el producto de la presión y
el volumen son proporcionales a la temperatura absoluta. 10.15 a) Una cantidad
determinada de gas se comprime a temperatura constante de un volumen de 638 mL a 208
mL. Si la presión inicial era 69594.3 Pa, ¿cuál es la presión final? b) ¿Cuál es el volumen
final de un gas si una muestra de 1.50L se calienta de 220C a 4500C a presión constante?
5.14 a) Una cantidad fija de gas se expande a temperatura constante de 2.45 L a 5.38 L.
Si la presión original era de 0.950 atm, ¿cuál es la presión final? b) Originalmente un gas a
1 50C y con un volumen de 282 mL reduce su volumen a 82.0 mL, mientras se mantiene
constante la presión. ¿Cuál es su temperatura final?
5.15 a) ¿Qué condiciones se indican con la abreviatura TPE? b) ¿Qué es volumen molar
de un gas ideal a TPE?
5.16 Un anuncio de neón está hecho con un tubo cuyo diámetro interno es 2.0 cm y cuya
longitud es 4.0 m.. Si el anuncio contiene neón a una presión de 200 Pa a 350C, ¿Cuántos
gramos de neón hay en ese anuncio? (El volumen de un cilindro se obtiene con la fórmula
π r2h.)
5.17 A 360C y 200 kPa de presión, un gas ocupa un volumen de 0.600 L ¿Cuántos litros
ocupará a) a 00C y 50 kPa. b) a TPE?.
5.18 El cloro se usa ampliamente para purificar el agua municipal y para tratar el agua de
las albercas. Suponga que el volumen de una muestra en particular de Cl2 es 6.18 L a 98659
Pa y 330C. a) ¿Que volumen ocupará el Cl2 a 1070C y 90659 Pa? b) ¿Qué volumen ocupará
el C12 a TPE? c) ¿,A qué temperatura el volumen será 3.00 L, si la presión es 106658 Pa?
d) ¿A qué presión el volumen será 5.00 L?

172
5.19 Muchos gases se envasan en recipientes a alta presión. Considere un tanque de
acero cuyo volumen es 42.0 L y contiene O2 gaseoso a una presión de 18 000 kPa a 230C.
a) ¿Qué masa de O2 contiene? b) ¿Qué volumen ocupará el gas a TPE?
5.20 El flúor gaseoso, peligrosamente reactivo, se envasa en cilindros de acero de 30.0 L
de capacidad a una presión de 50 Mpa a 260C. a) ¿Qué masa de F2 está contenida en un
cilindro? b) ¿qué volumen ocuparía el gas a TPE?.
5.21 En un experimento reportado recientemente en la literatura científica, se hicieron
correr cucarachas machos a velocidades diferentes sobre un pequeño molino de ruedas
mientras se medía su consumo de oxígeno. La cucaracha promedio, corriendo a 0.08 km/hr,
consumirá 0.8 mL de O2 a una presión de 101.3 kPa y 240C, por gramo de peso del insecto
por hora. a) ¿Cuántas moles de O2 consume en 1 hr, una cucaracha de 5.2 g que se mueva a
esta velocidad? b) Esta misma cucaracha es capturada por un niño y colocada en un tarro de
fruta de 1.136 litros con la tapa cerrada. Considerando el mismo nivel de actividad que se
observó en la investigación, ¿la cucaracha consumirá más del 20% del O2 disponible en un
periodo de 48 hr? (El aire es 21% moles 02.)
5.22 a) Calcularla densidad del CO2 gaseoso a 101325 Pa a 220C. b) Calcule el peso
molecular de un gas si 0.8 35 g ocupan 800 mL a 95 kPa y 340C.
5.23 a) Calcule la densidad del trióxido de azufre gaseoso a 135 kPa y 250C. b)Calcule el
peso molecular de un gas si tiene una densidad de 2.18 g/L a 660C y 90 kPa.
5.24 El cianógeno, un gas muy tóxico, está compuesto de 46.2% de C y 53.8% de N en
masa. A 250C y 100 kPa, 1.05 g de cianógeno ocupan 0.500 L. ¿Cuál es la fórmula
molecular del cianógeno?
5.25 El ciclopropano, un gas que se utiliza con oxígeno como anestésico general, está
compuesto de 85.7% de C y 14.3% de H en masa. Si 1.56 g de ciclopropano ocupa un
volumen de l.00L a 100 kPa y a 500C, ¿cuál es la fórmula molecular del ciclopropano?
5.26 En la técnica del bulbo de Dumas para la determinación del peso molecular de un
líquido desconocido, se vaporiza la muestra del liquido que hierve debajo de los 1000C en
un baño de agua hirviente y se determina el peso del vapor requerido para llenar el bulbo. A
partir de los datos siguientes, calcule el peso molecular del líquido desconocido: el peso del
vapor desconocido, l.012 g; el volumen del bulbo, 354 cm3 la presión, 99 kPa; la
temperatura, 990C .
5.27 El peso molecular de una sustancia volátil se determiné por el método del bulbo de
Dumas. El vapor desconocido tuvo un peso de 0.846 g; el volumen del bulbo fue de 354
cm3, la presión de 100258 Pa, la temperatura de 1000C. Calcule el peso molecular del vapor
desconocido.

173
5.28 Una mezcla que contiene 0.125 moles de CH4(g), 0.250 moles de C2H6(g), y 0.075
moles de O2(g) está confinada en un vaso de 2.00 L a 220C. a) Calcular la presión parcial
del CH4 en la mezcla. b) Calcular la presión total de la mezcla.
5.29 Una mezcla gaseosa que contiene 5.00g de N2, 2.00g de 02, y 1.20 g de Ar está
confinada en un volumen de 500 mL a 270C. a) Calcular la presión parcial del O2 en la
mezcla. b) Calcular la presión total de la mezcla.
5.30 Una mezcla de gases contiene 0.45 moles de N2, 0.25 moles de 02 y 0.10 moles de
CO2. Si la presión total de una mezcla es 1.32 kPa, ¿cuál es la presión parcial de cada
componente?
5.31 Una mezcla de gases contiene 3.50g de N2, 1.30g deH2, y 5.27g de NH3. Si la
presión total de la mezcla es 500 kPa, ¿cuál es la presión parcial de cada uno de los
componentes?
5.32 Una cantidad de N2 gaseoso se mantenía originalmente a 460 kPa de presión en un
recipiente de 1.00 L a 260C. Se transfiere a un recipiente de 10.0 L a 200C. Se transfiere al
mismo recipiente una cantidad de O2 gaseoso que originalmente estaba a 355 kPa y 260C
en un recipiente de 5.00 L. ¿Cuál es la presión total en el nuevo recipiente?
5.33

El hidruro de calcio, CaH2, reacciona con el agua para formar hidrógeno gaseoso:
CaH2(s) + 2H2O(1) ⇒ Ca(OH)2(ac) + 2H2(g)

Algunas veces se utiliza esta reacción para inflar balsas salvavidas, globos climatológicos y
dispositivos semejantes, en donde se desea un medio sencillo y compacto para generar H2
¿Cuántos gramos de CaH2 son necesarios para generar 10.0 L de H2 gaseoso si la presión
parcial de H2 es 98.5 kPa a 230C?
5.33 La degradación metabólica de la glucosa C6H12O6 en nuestros organismos produce
CO2, el cual es expelido por nuestros pulmones como gas:
C6H12O6(s) + 6O2(g) ⇒ 6CO2(g) + 6H2O(l)
Calcular el volumen de CO2 seco, producido a la temperatura corporal (370C) y a 100 kPa,
cuando se consumen 5.00g de glucosa en esta reacción.
5.34 El sulfato de amonio, un fertilizante importante, se puede preparar por la reacción
del amoniaco con el ácido sulfúrico:
2NH3(g) + H2SO4(ac) ⇒ (NH4)2SO4(ac)
Calcular el volumen de NH3(g) necesario a 200C y 250 kPa para que reaccione con 150 kg
de H2SO4.
174
5.35

El hidrógeno gaseoso se produce cuando el cinc reacciona con el ácido sulfúrico:
Zn(s) + H2S04(ac) ⇒ ZnSO4(ac) + H2(g)

Si se recogieron 124 mL de H2 húmedo, sobre agua a 240C y a la presión barométrica de 97
kPa, ¿cuántos gramos de Zn se han consumido?
5.36 ¿Por qué en las leyes de los gases no se considera el tamaño o la identidad de las
moléculas de un gas?
5.37 Utilice la teoría cinética molecular para explicar por qué a)los gases tienen densidad
baja; b)los gases ejercen una presión sobre las superficies con las que entran en contacto;
c)los gases son muy compresibles; d) Los gases toman la forma del recipiente que los
contiene; e) los gases se pueden mezclar en cualquier proporción para formar una mezcla
homogénea.

5.38 Un gas de peso molecular desconocido se dejó efundir a través de una pequeña
abertura bajo condiciones de presión constante. Se requieren 72 s para que efunda 1 L del
gas. Bajo condiciones experimentales idénticas, se requirieron 28 s para efundir 1 L de O2
gaseoso. Calcular el peso molecular del gas desconocido.
5.39 El sulfuro de arsénico(lII) se sublima con facilidad, aun por abajo de su punto de
fusión a 320°C. Se encuentra que las moléculas de la fase de vapor efunden a través de un
orificio diminuto a 0.28 veces la velocidad de los átomos de Ar bajo las mismas
condiciones de temperatura y presión. ¿Cuál es la fórmula molecular del sulfuro de
arsénico(III) en la fase gaseosa?
5.40 a) ¿Bajo qué condiciones experimentales de temperatura y presión los gases se
comportan en forma ideal? b) ¿Cuáles son las dos propiedades características de las
moléculas gaseosas que ocasionan que se comporten de modo no ideal?
5.41 El planeta Júpiter tiene una masa de 318 veces mayor que la de la Tierra, y la
temperatura de su superficie es de 140 K. Mercurio tiene una masa 0.05 veces la de la
Tierra, y la temperatura de su superficie es de 700 K. ¿En qué planeta es más fácil que la
atmósfera obedezca las leyes de los gases ideales? Explique.
5.42 Explique cómo se puede utilizar la función para demostrar el comportamiento no
ideal de lo a presiones elevadas.
5.43 Explique brevemente el significado físico constantes a y b en la ecuación de van der
Waals.

175
5.44 Cuál es la diferencia de presión en una vasija cilíndrica de 50 cm de profundidad
cuando se le llena totalmente a 298 K con a) mercurio y b) con agua? La densidad del
mercurio a 298 K es 13,53 g/cm3 y del agua 0,997 g/cm3.
5.45 Un gas ocupa 1,75 L a una presión de 202,65 kPa. A temperatura constante, cuál será
la presión en torr del gas si se le permite expandirse en un recipiente de 3,0 L? Nota: 1 atm
= 760 torr.
5.46 Calcular la presión de un gas confinado en un recipiente de vidrio unido a un
manómetro, si la presión externa es de 750 mm Hg y en el brazo abierto el nivel es más alto
en 23 mm Hg: a) En mm de Hg, b) En Atm, c) En kPa.
5.45 Si 0,34 g de un gas ocupa 0,23 L a 298 K y 101,325 kPa. Calcule la densidad del gas
en g/mL a CN y presión normales.
4.46 Se ha encontrado que 23 g de un compuesto gaseoso que contiene solamente nitrógeno
y oxígeno ocupa 2 L a una presión de 567,7 kPa y a una temperatura de 273 K .Cuál es el
peso molecular y la fórmula molecular del gas?.
5.47 Un gas ideal a la presión de 101,32 kPa estaba dentro de una ampolla de volumen
desconocido V. Se abrió una llave, lo cual permitió que el gas se expandiese hacia una
ampolla previamente evacuada, cuyo volumen se sabía que era exactamente 0,500 L.
Cuando se hubo establecido el equilibrio entre las ampollas se notó que la temperatura no
había cambiado y que la presión del gas era 70,7 kPa. Cuál es el volumen desconocido V de
la primera ampolla?.
5.48 a) Utilizando los datos que se dan abajo para el O2 y CO2 a 273,15 K demuestre
gráficamente si cumplió la ley de gases ideales: explique.
CO2
O2
________________ _________________
P(kPa)
V(L)
P(kPa) V(L)
101,325 22,3939 101,325 22,2643
75,994 29,8649
67,550 33,4720
50,662 44,8090
50,662 44,6794
25,331 89,6384
33,775 67,0967
b) Que % de error se cometió en el volumen del CO2 a las CN al emplear el valor ideal de
PV e ignorar las imperfecciones del gas?
5.49 La bacteria Azotobacter chroococcum cuando crece aeróbicamente en un medio sin
nitrógeno obtiene todo su nitrógeno por "fijación" del N2 atmosférico. Qué volumen de aire
a la presión atmosférica estándar y 303 K suplirá el requerimiento de nitrógeno de 1 L de
un cultivo de esta bacteria, la cual crece hasta una densidad de 0,84 mg de peso seco por
cm3 de organismos, teniendo un contenido de nitrógeno del 7% del peso seco? (El aire
contiene el 78% en volumen de N2).
176
5.50 Para preparar ácido tetrahidrofólico (PtH4G) se hidrogena catalíticamente el ácido
pteroilglutámico (PtG) a temperatura ambiente, es decir,
PtG + 2H2 ⇒ PtH4G
Una muestra de 5 g de PtG de pureza desconocida se trató de este modo y absorbió 0,507 l
de H2 a 290 K y 102,3 kPa. Considerando que las impurezas no reaccionan con el H2,
calcular el % de pureza aproximado de la muestra. (Peso molecular del PtG 441 g/mol).
5.51 Un cultivo anaeróbico de una bacteria aislada de aguas residuales, liberaba un gas
inflamable durante el crecimiento. Una muestra pura de este gas tardó 491 s en fluir por un
orificio diminuto. Bajo idénticas condiciones de temperatura y presión, un volumen igual
de nitrógeno tardó en fluir 650 s por el mismo orificio. Calcular el peso molecular del gas
inflamable y sugerir cuál puede ser si contiene C e H.
5.52 Se abre la válvula que hay entre un tanque de 5 L donde la presión del gas es 911,82
kPa, y un tanque de 10 L que contiene gas a 607,95 kPa, y se establece el equilibrio de la
presión a una temperatura constante. Cuál es la presión final en los dos tanques?.
5.53 Cuál es el peso M de un gas desconocido si se efunde a 0,876 s más rápido que el N2
(g)?
5.54 Se hace burbujear una muestra de gas nitrógeno a través de agua líquida a 298 K, y
luego se recoge en un volumen de 750 cm3. Se encuentra que la presión total del gas, que
está saturado con vapor de agua, es 98,6586 kPa a 298 K. Cuántos moles de nitrógeno hay
en la muestra?
5.55 El volumen de una muestra de gas es 750 mL a 75 °C y 0,76 kPa . A qué temperatura
(en °C) ocupará la muestra 1.000 L bajo una presión de 101,325 kPa?.
5.56 Una mezcla de 0,300 g de He(g) y 0,505 g de Ne(g) ejerce una presión de 25,33 kPa.
Cuál es la presión parcial de cada gas?.
5.57 La presión parcial de CO(g) es 20,26 kPa y de CO2(g) es de 60,8 kPa en una mezcla
de dos gases. a) Cuál es la fracción molar de cada gas en la mezcla? b) Si la mezcla ocupa
11,6 l a 323 K .Cuál es el número total de moles presentes en la mezcla? c) Cuántos gramos
de cada gas están presentes en la mezcla?.
5.58 Se tiene 3 L de Ne a 607,95 kPa, 4 L de O2 a 303,97 kPa y 6 L de CO2 a 101,325 kPa.
Estos tres gases se transfieren completamente a un tanque de 18 L. La temperatura se
mantiene a 303 K antes y después de la mezcla. Calcular la presión total y las fracciones
molares después de la mezcla.
5.59 El volumen ocupado por 0,09 g de H2 es de 2,5 L, cuando se ha recogido sobre agua a
298 K cuál es la presión total?.

177
5.60 Resolver los siguientes problemas:
a) Una mezcla de 35 g de oxígeno (M = 32 g/mol) y 20 g de helio (M = 4 g/mol) tiene
una presión total de 81,6 kPa. ¿Cuales serán las fracciones molares y las presiones
parciales de cada gas?.
b) En un recipiente de 27 L se mezclan 40 g de dióxido de carbono (M = 44 g/mol) y 82
g de monóxido de carbono (M = 28 g/mol) a una temperatura de 313 K . ¿Cuáles son
las presiones parciales y las fracciones molares de cada gas?.
c) En una mezcla gaseosa la presión parcial del monóxido de carbono (M = 28 g/mol) es
20,265 kPa y la del dióxido de carbono (M = 44 g/mol) es 60,795 kPa. Calcular las
fracciones molares y las presiones parciales de cada gas.
d) Calcular el volumen que ocuparían 1,5 moles de (C2H5)2S a 378 K y 75 kPa sabiendo
que:
a = 1.900 kPa L mol-2
b = 0,1214 L mol-1
Tc = 557 K
Pc = 3.960 kPa
1. Utilizando la ecuación de van der Waals
2. Utilizando la ecuación de Berthelot
3. Utilizando la ecuación general de los gases.
e) Usando la ecuación de Berthelot calcule el peso molecular del cloruro de metilo,
sabiendo que:
Tc = 416,2 K
Pc = 6.667,2 kPa
ρ = 2,3076 g L-1
P = 101,325 kPa
T = 273,15 K

178

Quimica

  • 1.
    CAPITULO V GASES IDEALESY REALES 5.1. GENERALIDADES Por todos es conocido que la materia, esa sustancia que compone los cuerpos físicos, todo aquello que constituye el universo, se presenta en tres estados o forma de agregación fundamentales: Sólido, líquido y gaseoso. En estado sólido el agua se conoce como hielo, en estado líquido se llama agua y en estado gaseoso como vapor de agua. Casi todas las sustancias pueden existir en los tres estados. Las diferencias entre uno y otro estado se puede notar por las propiedades físicas, como se muestra a continuación. Tabla 5.1 Comparación de las propiedades físicas de tres sustancias* Sustancia Sólido (0°C) Densidad (g/mL) Agua Benceno Tetracloruro carbono 0.917 0.899 de 1.70 (-25°C) V. molar (mL/mol ) 19.6 86.9 90.5 Líquido (20°C) Gas (100 °C) Densidad (g/mL) V. molar (mL/mol) Densidad (g/mL) V. molar (mL/mol) 0.998 0.876 1.59 18.0 89.2 96.8 0.000588 0.00255 0.00503 30600 30600 30600 * A Presión atmosférica El estado gaseoso será el tema de este capítulo, ya que el estudio de este estado, el más simple de los estados de la materia, puede conducirnos hacia alguno de los conceptos más universalmente útiles de las ciencias Químicas. Se sabe que algunos de los sustratos y productos del metabolismo son gases, como el oxígeno, gas carbónico, nitrógeno, e hidrógeno; de ahí la importancia de estudiar algunas de sus propiedades. Si tenemos en cuenta que el estado gaseoso es un estado disperso, de una de las formas de agregación de la materia, lo que significa que sus moléculas están separadas unas de otras por distancias mucho más grandes que el diámetro real de sus moléculas, lo cual significa que existen unas propiedades macroscópicas (macros: grande; scopeo: ver), que describen el comportamiento del sistema gaseoso. Esas propiedades son: el volumen (V), la presión (P), la temperatura (T) y la cantidad de masa, que en este caso son las moles (n). Los gases difieren de los otros estados en que no poseen volumen intrínseco, lo que significa que ocupa todo el espacio cerrado donde se introduce. Empezaremos por estudiar brevemente las propiedades macroscópicas, que también llamaremos variables. 115
  • 2.
    5.2 PRESIÓN La razónpor la cual los gases ejercen presión, es que éstos en una especie de bombardeo continuo con movimiento browniano golpean las paredes del recipiente que los contienen. La presión se define, clásicamente, como la fuerza (F) por unidad de área (A), luego la presión de un gas es la fuerza que éste ejerce sobre el recipiente que lo contiene, dividida por el área de superficie del recipiente: P= F A En el sistema internacional de unidades (SI) la unidad de presión es el Pascal (Pa) que se define como: una fuerza de un newton (N) que actúa sobre una superficie de un metro cuadrado (m2) y se expresa: 1 Pa = 1N 1m 2 que es equivalente a: 1 Pa = kg m s -2 = kg m s -1 2 1m Debido a que la presión de un Pa es muy pequeña, se suele usar el bar (1 bar = 105 Pa), sobre todo para expresar presiones cercanas a la presión atmosférica. En años recientes se ha usado la unidad de torr, donde 1 torr es igual a 1mm Hg. La presión atmosférica se define como la presión que ejerce el aire sobre los cuerpos y varia con respecto a la altura sobre el nivel del mar, ya que al aumentar ésta, la columna de aire sobre los cuerpos, es menor, lo que hace que la presión disminuya. La presión atmosférica normal es la que se mide a cero metros sobre el nivel del mar. La presión atmosférica se midió en un aparato llamado barómetro de Torricelli, en honor de Juan Evangelista Torricelli (1.608- 1.647), que ideó dicho aparato en el siglo XVII. El barómetro de Torricelli (Figura 5.2a) consiste en un tubo de vidrio de aproximadamente 0,85 m de largo y sellado en un extremo, el cual se llena con mercurio y se invierte en un recipiente abierto que contiene mercurio. 116
  • 3.
    Al descender elmercurio por el tubo no se escapa totalmente, debido a la presión de la atmósfera sobre la superficie del mercurio en el recipiente, la cual sostiene la columna de mercurio en el tubo. Se considera que el espacio atrapado por el mercurio dentro del tubo tiene un vacío casi perfecto por que el mercurio no es muy volátil a temperatura ambiente y sólo una cantidad despreciable de mercurio gaseoso ocupa este espacio lo cual implica que se desprecie la presión de éste sobre la superficie del mercurio en la columna. Esta presión es igual a la presión atmosférica fuera del tubo y por encima del nivel de referencia. Las medidas hechas a nivel del mar y a 273,15 K dan un promedio de 760 mm de Hg que son equivalentes a una atmósfera. Otras unidades en las cuales se expresa una atmósfera se dan en la Tabla 5.2 La presión de los gases se mide con un aparato llamado manómetro. El principio de una clase de ellos es un tubo en forma de U lleno parcialmente con mercurio. Un extremo del tubo se conecta con el recipiente que contiene el gas y el otro extremo se deja abierto a la atmósfera, como se puede observar en las Figura 4.2 b) y c). El extremo conectado al recipiente recibe los efectos de la presión del gas, manifestándose en una diferencia de altura (h) entre los dos niveles de mercurio. Esta presión representa la presión manométrica Figura 5.2 Barómetros y Manómetros . 117
  • 4.
    La presión absolutadel sistema, presión del gas, se define como la presión atmosférica más la presión manométrica, cuando la presión del gas es mayor que la presión externa, es decir, Pgas = Ph + Patm Ph = Pmanométrica Y cuando la presión del gas es menor que la presión atmosférica externa, Pgas = Patm - Ph Debido a que la mayor parte de las medidas científicas están relacionadas con la presión que ejerce una columna de fluido, es más conveniente medir la presión en términos de altura (h) de dicha columna y se puede expresar en m, mm Hg o cm Hg o de cualquier otro tipo de fluido o torr. Tabla 5.2 Unidades de presión _________________________________________________________ Unidades Equivalentes Factor de conversión de presión a 1 atm a pascales (Pa) ________________________________________________________ Bar 1,01325 1 bar = 105 Atmósfera 1,000 1 atm = 1,01325x105 Milímetro de mercurio 760 1mmHg =(13,5951)(9,80665) Torr 760 1 torr = (1,01325x105/760) Libra por pulgada cuadrada 14,689 1 psi = 6.8947572 Pulgada de mercurio 29,9 1 pulg Hg = 3388,796 Pascal (Pa) 101.325 -_________________________________________________________ La presión debido a una columna de fluido es: Presión = altura x densidad del fluido x aceleración de la gravedad. P=hx ρ xg 118
  • 5.
    Hay que teneren cuenta que la presión es independiente de la forma y diámetro de la columna. Ejemplo 5.1: Si la presión atmosférica normal, la que se mide a nivel del mar (cero m) y 273,15 K es 760 mm Hg y sabiendo que la densidad del Hg ( ρ ) es 13,5951 g cm-3, la aceleración de la gravedad (g) 9,80665 m s-2, cuál es el valor de la presión en pascales? . Solución: Se plantea el problema: P=? h = 760 mm Hg = 0,76 m Hg ρ = 13,5951 g cm-3 = 13.595,1 kg m-3 g = 9,80665 m s-2 P = hρ g Reemplazando los valores: P = 0,76 m Hg x 13.595,1 kg m-3 x 9,80665 m s-2 = 101.325 kg m-1 s-2 = 101.325 Pa A veces queremos expresar las presiones en alturas (h) de diferentes líquidos, para ello tendremos en cuenta el siguiente principio: las alturas de diferentes líquidos que son equivalentes a la misma presión, son inversamente proporcionales a las densidades de los líquidos, es decir, h1 ρ 1 = h2 ρ 2 de donde: h2 = h1 ρ1 ρ2 donde los subíndices 1 y 2 indican los diferentes líquidos. Ejemplo 5.2: Si para medir la presión atmosférica normal se usa un barómetro de agua, qué altura marcaría la columna?. Solución: Planteamiento del problema (el subíndice 1 es mercurio y el 2 agua). h2 = ? ρ 2 = 1 g cm-3 = 1.000 kg m-3 (densidad del agua) h1 = 760 mm Hg = 0,76 m Hg ρ 1 = 13,6 g cm-3 = 13,6 x 103 kg m-3 (densidad del Hg) aplicando la ecuación : h2 = h1 ρ1 ρ2 119
  • 6.
    h 2 =0.76 m Hg x 13.6x10 3 kg m -3 = 10.34 m 1000 kg m -3 la columna del barómetro de agua marcaría una altura de 10,34 m . 5.3 TEMPERATURA La temperatura es una propiedad de un sistema que representa la existencia de una condición del equilibrio térmico que es independiente de la composición y tamaño del sistema. Esta propiedad de un cuerpo es la misma que determina el flujo de calor hacia otro cuerpo o de otros cuerpos hacia él. Para expresar la temperatura existen varias escalas, las más usadas son la Celsius (centígrada), Fahrenheit y Kelvin. La escala Celsius fue propuesta por el científico sueco Anders Celsius (1701-1744), empleando un instrumento llamado termómetro, que consiste en un tubo capilar cerrado y al vacío, con un bulbo lleno de mercurio. Cuando el bulbo se introduce en un sistema que se encuentra a una temperatura diferente, se establece un flujo de calor y el mercurio se dilata o se contrae si el medio es de mayor o menor temperatura. Para establecer su escala de temperatura Celsius fijó dos referencias arbitrarias. La primera, el sistema en equilibrio liquido-sólido, en el cual coexisten el agua líquida y el hielo, al cual le asignó el valor cero de temperatura y la segunda, el sistema en equilibrio líquido-vapor, agua líquida y vapor de agua, al que le asignó el valor de 100. Como la distancia entre los dos puntos la dividió en 100 partes ( de allí el nombre de escala centígrada), cada una correspondió a un grado centígrado o grado Celsius. En la escala Fahrenheit se empleó el mismo principio. Al punto de equilibrio líquidosolido se le asignó el valor de 32 y al equilibrio líquido vapor el valor de 212. La distancia entre éstos dos punto se dividió en 180 partes, lo cual implica que cada parte sea equivalente a un grado Fahrenheit. Como el espacio, entre los dos sistemas, de la escala Celsius se dividió en 100° y la Fahrenheit en 180°, se puede establecer que 100 °C = 180 °F, de donde: 1 °C = 180 ° F 9 = °F = 1.8 °F 100 5 y 120
  • 7.
    1°F = 100 °C5 = °C 180 9 como el punto de congelación del agua es 0° en la escala Celsius y 32 en la Fahrenheit, lo que es equivalente a 0°C = 32 °F, se puede escribir : °F = 9 °C + 32 5 °C = 5 (°F - 32) 9 y despejando: La escala Kelvin o de temperatura absoluta, fue propuesta por Lord Kelvin. Se conoce también como temperatura termodinámica (T) y se define asignándole el valor exacto de 273,15 K el punto triple del agua y su unidad es el kelvin (K) que es la fracción 1/273,15 de la temperatura termodinámica del punto triple del agua. Para convertir grados Celsius a kelvin se emplea la siguiente ecuación: K = °C + 273,15 Siempre hay que recordar que cuando la temperatura se usa en cálculos de gases se debe emplear la escala absoluta o de kelvin. Generalmente se utiliza el factor de 273 con buenos resultados. En la Tabla 5.3 se hace una comparación entre las escalas vistas. Tabla 5.3 Comparación de las diferentes escalas _________________________________________________________ Punto de comparación Kelvin Celsius Fahrenheit _________________________________________________________ Cero absoluto 0K -273 °C -460 °F Punto de ebullición del agua 373 K 100°C 212°F Punto de congelación del agua 273 K 0°C 32°F Temperatura normal Del cuerpo 310 K 20 °C 68 °F Temperatura ambiente promedio 303 K 30 °C 86°F _________________________________________________________ 121
  • 8.
    5.4 MASA Clásicamente lamasa se define como la cantidad de materia que posee un cuerpo. Fundamentalmente se usan los términos de masa y peso como sinónimos, pero no hay que olvidar que la masa es diferente del peso, ya que éste es la fuerza con que la gravedad atrae la masa, así 1 gramo masa (g) pesa un gramo en la superficie de la tierra, pero en la luna su peso es diferente aunque seguirá siendo un gramo-masa. La cantidad de un gas se puede medir en unidades de masa, generalmente gramos. Según el sistema de unidades SI, la cantidad de materia también se expresa en moles, que se calcula dividiendo el peso del gas (m) por su peso molecular o peso fórmula (PM), así: N= m PM 5.5 VOLUMEN El volumen se define como el espacio ocupado por un cuerpo. Debido a que un gas llena completamente el recipiente que lo contiene, el volumen del gas siempre será igual al de recipiente. Su unidad internacional es el metro cúbico (m3), pero se usa el litro (L) o decímetro cúbico (dm3) y su submúltiplo mL o cm3. 5.6 GASES IDEALES Y REALES Cuando genéricamente nos referimos a un gas, estamos refiriéndonos a algo que consideramos como gas perfecto o ideal, cuyo comportamiento está claramente definido por las leyes de los gases ideales que describiremos más adelante. Los gases reales difieren en algún aspecto de los gases ideales, pero inicialmente estudiaremos ese comportamiento y después haremos énfasis en las desviaciones particulares con respecto al comportamiento ideal. Pero cual es la diferencia que existe entre los llamados gases perfectos o ideales y los reales?. Veamos, en los ideales se considera que el volumen ocupado por las propias moléculas es insignificante en comparación con el volumen total ocupado por el gas, bajo todas las condiciones de temperatura y presión; además las atracciones intermoleculares, conocidas como fuerzas de van der Waals, son insignificantes en todo momento. Para los gases reales ambas características son apreciables y la magnitud de ellas dependerá de la naturaleza, presión y temperatura. Lo anterior nos lleva a concluir que un gas ideal es hipotético, ya que las moléculas de cualquier gas deben ocupar volumen (o sino no existirían) y por consiguiente ejercen atracciones. Las condiciones de idealidad se dan cuando los gases están a bajas presiones y altas temperaturas. 122
  • 9.
    Las condiciones delos gases están afectados por las cuatro variables o propiedades macroscópicas vistas anteriormente y ellas están involucradas en lo que llamamos leyes de los gases perfectos o ideales que veremos a continuación. 5.7 GASES IDEALES O PERFECTOS El comportamiento de estos gases fue estudiado por nuestros predecesores, los cuales, enunciaron unas leyes que generalmente llevan sus nombres, entre ellas tenemos: a) la ley de Boyle o Mariotte, b) ley de Charles-Gay Lussac, c) ley de las presiones parciales de Dalton, d) ley de difusión de Graham, e) ley de Amagat, f) ley de los volúmenes de combinación de Gay Lussac, g) ley general de los gases, h) ley combinada de los gases, i) ley de Avogadro, etc. 5.7.1 LEY DE BOYLE O MARIOTTE En 1.662 Robert Boyle, científico inglés, promulgó la relación matemática que existe entre el volumen y la presión de una cantidad dada de gas a temperatura constante. Boyle encerró una cantidad de aire en el extremo de un tubo en U empleando como fluido mercurio, como lo muestra la Figura 4.4 En este experimento la presión que existe en el aire encerrado es igual a la presión atmosférica más la presión ejercida por la altura (h) de la columna de mercurio. Al verter más Hg al tubo se aumenta la presión sobre el gas se observa que el volumen disminuye. Boyle, en sus experimentos, descubrió que el producto del volumen por la presión, cuando la masa y temperatura permanecen constante, es un valor aproximadamente constante. En términos generales la ley de Boyle puede enunciarse así: El volumen ocupado por una determinada masa de gas, cuando la temperatura se mantiene constante, es inversamente proporcional a la presión que se ejerce sobre él. Matemáticamente se expresa así: 1 P si se introduce una constante de proporcionalidad k, 1 V=k P V α y multiplicando medios por extremos, PV = k donde: V = volumen ocupado por el gas P = presión 123
  • 10.
    k = constantede proporcionalidad, depende de la naturaleza del gas. La ecuación anterior nos enseña que si en un punto dado la presión y el volumen son P1 y V1 y en otro punto P2 y V2, si la masa y la temperatura se mantienen constante, se debe cumplir: P1V1 = k P2V2 = k Figura 5.4 Representación del experimento de Boyle como k es igual para los dos puntos, entonces: P1V1 = P2V2 124
  • 11.
    Ejemplo 5.3: Unglobo perfectamente elástico y de dos metros de diámetro, se soltó a nivel del mar donde la presión es 101,32 kPa. Cual será su diámetro cuando haya subido a 3.050 m sobre el nivel del mar, suponiendo que la temperatura se mantiene constante y que la 4 presión a esa altura es 68,1 kPa? (el volumen de la esfera es π r3). 3 Solución: Planteamiento del problema: D1 = 2 m P1 = 101,32 kPa D2 = ? P2 = 68,1 kPa 4 V = π r3 3 T = constante como la temperatura es constante podemos aplicar la ley de Boyle: P1V1 = P2V2 pero como vemos no tenemos explícitamente los volúmenes. De las condiciones iniciales se puede calcular V1: 4 π r3 donde r = D1/2 = 1 m ; reemplazando: 3 V1 = (4/3) x 3,1416 x 13 = 4,19 m3 conocido éste volumen se calcula V2: V1 = V2 = P1 V1 P2 reemplazando: V2 = 101.32 kPa x4.19 m 3 = 6.23 m 3 66.1 kPa ahora reemplazamos éste valor en el volumen de la esfera para calcular el radio en el punto dos: r= r= 3 3 3V 4π 3x6.23 = 1.142 m 4x3.1416 125
  • 12.
    D = 2r= 2 x 1,142 m = 2.284 m el diámetro del globo a 3.050 metros sobre el nivel del mar es 2.284 m. Volumen (mL) En los experimentos de los laboratorios se obtienen datos, como valores de P y V, que probablemente tengan una dependencia. En estos casos se recomienda graficar, en un sistema de coordenadas rectangulares, ya sea normal o logarítmico, la presión contra el volumen (sin importar el orden de los ejes). Al unir los puntos se puede encontrar la relación matemática entre las dos variables. Se ha comprobado que cuando la temperatura y la masa son constantes, la curva generada por los datos es una hipérbola rectangular que tiene los ejes coordenados como asíntotas. Al repetir el experimento a temperaturas diferentes, se genera una familia de hipérbolas, una para cada temperatura, y como ésta es constante para cada línea se llaman isotermas, como lo muestra la Figura 5.5. 45 40 35 30 25 20 15 10 5 0 0 20 40 60 Presión (Mpa) Figura 5.5 Relación del volumen y la presión 126
  • 13.
    45 Volumen (mL) 40 35 30 25 20 15 10 5 0 0 0.1 0.2 0.3 1/P (1/Mpa) Figura 5.6 Relación entre el volumen y el inverso de la presión Si es difícil, usando la vista, determinar que tan cerca está cada curva experimental de una hipérbola perfecta, se puede representar la presión como una función inversa del volumen, es decir, graficar P contra 1/V, que debe dar una línea recta, en la cual es fácil determinar que tan significativamente el gas obedece la ley de Boyle, así como se aprecia en la Figura 5.6. Otra forma de poder sacar una conclusión acertada es representar gráficamente el producto de la presión y el volumen como una función de la presión o del inverso del volumen, es decir, PV contra P o PV contra 1/V. En este caso el resultado debe ser una línea recta de pendiente cero, paralela al eje de las presiones o al mismo del volumen, como se aprecia en la Figura 5.7. Ejemplo 5.4: En un experimento con cierta cantidad de gas a temperatura constante se obtuvieron los siguientes resultados: Presión (Mpa) 5.0 10.0 15.0 17.0 20.0 22.0 30.0 Volumen (L) 40.0 20.0 13.3 11.8 10.0 9.10 6.70 127
  • 14.
    40.0 5.00 Demostrar que elcomportamiento del gas cumple la ley de Boyle, usando los tres métodos descritos arriba. Solución: Como cada método representa una gráfica, se deben calcular los puntos a graficar y para ello construimos la tabla siguiente: Presión (Mpa) 5.0 10.0 15.0 17.0 20.0 22.0 30.0 40.0 Volumen (L) 40.0 20.0 13.3 11.8 10.0 9.10 6.70 5.00 PxV (Mpa L) 200 200 200 201 200 200 201 200 1/P (Mpa-1) 0.20 0.10 0.067 0.059 0.050 0.045 0.033 0.025 Al graficar V contra P se obtiene la Figura 4.5 Al graficar P contra 1/V se obtiene la Figura 4.6 Al graficar PV contra P se obtiene la Figura 4.7. 201.2 PxV (Mpa mL) 201 200.8 200.6 200.4 200.2 200 199.8 0 10 20 30 40 50 Volumen (mL) Figura 5.7 Relación entre PV y P ó V 128
  • 15.
    Como se puedeobservar, a pesar de unas pequeñas desviaciones, el gas del experimento cumple la ley de Boyle. 5.7.2 LEY DE CHARLES-GAY LUSSAC. Se necesitó que pasaran más de 100 años, después de promulgada la ley de Boyle para que se pudiera hallar una expresión matemática que relacionara el comportamiento de la temperatura y el volumen de un gas cuando la masa y la presión se mantienen constante. A pesar de que Boyle hizo algunas conjeturas al respecto, no llegó a una conclusión definitiva. Jacques Charles en 1.787 y Joseph Gay-Lussac en 1.802, sentaron las bases de la ley que hoy lleva sus nombres. El principal problema radicó en el manejo del concepto de "temperatura" y su escala. Al trabajar con la temperatura Celsius encontraron inconsistencia en los volúmenes y por lo tanto no se pudo generalizar. Kelvin fue el que propuso la adopción de una nueva escala de temperatura en la cual el gas perfecto o ideal ocupara un volumen cero, independiente de su masa. Cuando se grafica el volumen contra la temperatura Celsius y se extrapola hasta cortar el eje de las temperaturas (Figura 4.8) se encuentra que todas ellas se interceptan en un punto común, este punto corresponde a -273,15 °C en donde la grafica indica un volumen cero. Si se toma una nueva escala de temperatura igual a grados celsius más 273.15, la cual se reconoce como escala Kelvin o absoluta, es decir, K = °C +273.15 A reemplazar el punto de corte, -273.15, queda que K = 0 que se conoce como el cero absoluto y se observa una relación directa entre el volumen y la temperatura. Con el anterior precedente se pudo enunciar la ley de Charles Gay-Lussac que dice: Cuando la masa y la presión de un gas permanecen constante el volumen del gas es directamente proporcional a la temperatura absoluta. 129
  • 16.
    Figura 5.8 Relacióndel volumen con la temperatura Matemáticamente se puede expresar así: V α T, introduciendo una constante de proporcionalidad, k, se tiene: V = kT la ecuación anterior es una línea recta de la forma y = mx, equivalente a V = kT, donde k es la pendiente de la recta y el punto de corte con el eje del volumen es cero, es decir, que pasa por el origen; por lo tanto si tenemos una serie de datos y queremos saber si cumple la ley de Charles graficamos volumen contra temperatura absoluta. Si es una línea recta que pasa por el origen la cumple. Ejemplo 5.4: Una muestra de un gas se estudió en el laboratorio y se obtuvieron los resultados siguientes. Compruebe que se comporta como un gas perfecto. Temperatura (K) Volumen (mL) 20.0 300 21.8 327 24.9 373 26.7 400 33.3 500 40.0 600 46.7 700 130
  • 17.
    Solución: Sobre unaplano de coordenadas cartesianas se grafica el volumen contra la temperatura absoluta y se obtienen los resultados que muestra la Figura 3.8, lo cual comprueba que si cumplen la ley de Charles-Gay Lussac. 5.7.3 LEY COMBINADA O COMPLETA DE LOS GASES Debido a que normalmente los gases están sometidos a cambios simultáneos de presión, volumen y temperatura, las leyes de Boyle y Charles se combinan para cuantificar esos efectos como se muestra a continuación: Supongamos que una cantidad cualquiera de gas está a una temperatura inicial (T1), presión inicial (P1), volumen inicial (V1) y queremos saber que volumen final (V2) ocupará cuando se lleva a una presión final (P2) y temperatura final (T2), es decir, V1, P1, T1 ⇒ 1er paso: ley de Boyle Vx, P2, T1 ⇒ V2, P2, T2 2° paso: ley de Charles En el primer paso de V1 a Vx, la temperatura se mantiene constante, luego según Boyle: P1V1 = P2Vx De donde: Vx = P1 V1 P2 En el segundo paso, de Vx a V2, la presión se mantiene constante, luego según Charles: 131
  • 18.
    50 Volumen (mL) 45 40 35 30 25 20 300 500 700 900 Temperatura (K) Figura5.8 Relación del volumen con la temperatura de una muestra de gas. V2 Vx = T2 T1 de donde : Vx = V2 T1 T2 como los dos volúmenes Vx son iguales, las ecuaciones también lo son: P1 V1 VT = 2 1 P2 T2 arreglando: P2V2T1 = P1V1T2. Una forma nemotécnica de recordar esta ley es la siguiente: PaVaTi = PiViTa y mentalmente se cambia la letra i por el número uno y la letra a por el número dos para obtener: 132
  • 19.
    P2V2T1 = P1V1T2 estaecuación se puede resolver para cualquiera de sus componentes. Ejemplo 5.6: Calcular la temperatura final de 5 moles de CO2 que inicialmente están a 300 K, 101,325 kPa y ocupan un volumen de 15 dm3 si se llevan a un volumen de 38 litros y una presión de 200,0 kPa?. Solución: Planteamiento del problema, condiciones iniciales condiciones finales T1 = 300 K T2 = ? P1 = 101,325 kPa V2 = 38 L V1 = 15 dm3 P2 = 200,0 kPa n = 5 moles n = 5 moles debemos recordar que 1 dm3 es equivalente a 1 litro, por lo tanto las unidades de volumen son consistentes, ahora, como P2V2T1 = P1V1T2 de donde despejamos la temperatura final: PVT T2 = 2 2 1 reemplazando valores: P1 V1 T2 = 200 kPa x 38 L x 300 K 1 = 1500.1K 101.325 kPa x 15 L 5.7.4 LEY DE AVOGADRO Entre los años de 1811 y 1870, los científicos determinaron cuantos átomos eran necesarios para obtener la masa atómica en gramos de los elementos, este número, conocido como el número de Avogadro (N), en honor a Amadeo Avogadro por que condujo a ese descubrimiento. Este número es un número de cosas o partes iguales llamado mol y es equivalente a 6.0221367x1023 unidades y se puede dar en moléculas/mol, átomos/mol o átomos/átomo-gramo. Un mol de cualquier sustancia contiene 6,022x1023 moléculas (el número de Avogadro) y como PV/T es constante para cualquier masa de gas perfecto, se deduce que volúmenes iguales de cualquier gas a la misma temperatura y presión contienen el mismo número de moléculas. Esto es lo que se conoce como la ley de Avogadro. Muchos experimentos han demostrado que la hipótesis de Avogadro es exacta hasta ± 2%. Matemáticamente se expresa así: Vα n Introduciendo una constante de proporcionalidad, k, V = kn 133
  • 20.
    así se llegóa comprobar que un mol de cualquier gas a 101,325 kPa y 273,15 K, ocupan un volumen de 22,414 dm3 o litros, es decir, el volumen molar de un gas a una temperatura y presión dadas es una constante específica independiente de la naturaleza del gas.. Las anteriores condiciones son las que se conocen como condiciones normales (CN) o temperatura y presión estándar (STP en inglés o PTE en español). Estos datos se deben tener en cuenta para desarrollar muchos problemas de la química de gases. En la Tabla 5.5 se observan algunos datos de volúmenes normales calculados experimentalmente. Tabla 5.5 Volúmenes molares normales y densidades de algunos gases a CN Gas Fórmula Peso molecular Volumen molar Densidad (g/mol) Normal (L/mol) (g/L) 0.090 H2 22.428 Hidrógeno 2.02 0.178 22.426 Helio He 4.003 0.900 22.425 Neón Ne 20.18 1.250 22.404 Nitrógeno N2 28.01 1.429 22.394 Oxígeno 32.00 O2 1.784 22.393 Argón 39.95 Ar 1.977 22.256 Dióxido de carbono CO2 44.01 0.771 22.094 Amoníaco 17.03 NH3 3.214 22.063 Cloro 70.91 Cl2 22.414 Gas ideal 5.7.5 LEY DE LOS VOLUMENES DE COMBINACIÓN DE GAY-LUSSAC Cuando en 1808, Joseph Luis Gay-Lussac (1778-1850) publicó los resultados de sus experimentos con gases reaccionantes estableció que cuando se miden a temperatura y presión constante, los volúmenes de los gases que se combinan o producen en una reacción química puede expresarse en proporción de números enteros sencillos o pequeños. Estos números enteros sencillos corresponden a los coeficientes estequiométricos de la reacción así: Ejemplo 5.7: Si se tiene la reacción: H2(g) + Cl2(g) ⇒ 2HCl(g) significa que: un volumen de hidrógeno más un volumen de cloro producen dos volúmenes de cloruro de hidrógeno, o 10 L de H2(g) + 10 L de Cl2(g) ⇒ 20 L de HCl(g) Hay que tener en cuenta que el volumen de los gases reaccionantes no tiene que ser igual al volumen de los gases producidos. Como se estipuló, esta relación la da la estequiometría de la reacción. 134
  • 21.
    Ejemplo 5.8: Enla reacción: 2CO(g) + O2(g) ⇒ 2CO2(g) la relación es: 2 volúmenes de CO(g) más un volumen de O2(g) produce 2 volúmenes de CO2(g) o: 6 L de CO(g) + 3 L de O2(g) ⇒ 6 L de CO2(g) Ejemplo 5.9: Si se tiene la reacción, 2C2H6(g) + 7O2(g) ⇒ 4CO2(g) + 6H2O (g) a) Qué volumen de oxígeno se necesita para la combustión completa de 20 litros de etano, si todos los gases se miden a la misma temperatura y presión? b) Qué volumen de dióxido de carbono se produce? Solución: a) al analizar la estequiometría de la reacción se observa que dos volúmenes de C2H6(g) necesitan 7 volúmenes de O2(g), lo que es equivalente a decir que 2 litros de C2H6(g) necesitan 7 litros de oxígeno. Si hacemos una simple regla de tres encontraremos el volumen de O2(g) necesario para quemar 20 litros de etano, así: 2 L de C2H6(g) ⇒ 7 L de O2(g) 20 L de C2H6(g) ? ? L de O2(g) = 20 L C 2 H 6 x 7 L O 2 = 70 L de O2 2 L C2 H 6 luego se necesitan 70 L de O2(g) para que 20 L de etano combustan completamente. b) La estequiometría de la reacción también nos dice que 2 L de C2H6(g) producen 4 L de CO2(g), luego con una regla de tres tenemos: 2 L de C2H6(g) ⇒ 4CO2(g) 20 L de C2H6(g) ? ? L de CO2(g) = 20 L C 2 H 6 x 4 L CO 2 = 40 L de CO2 2 L C2 H 6 5.7.6 LEY DEL GAS IDEAL O LEY GENERAL DE LOS GASES Las leyes de los gases descritas en los apartados anteriores nos indican claramente que el volumen de un gas, a temperatura y presión constante, varía directamente con el número de 135
  • 22.
    moles, es decir,que dos moles de un gas ocuparan el doble del volumen que ocupa una sola mol del mismo gas, pero teniendo en cuenta el principio de Avogadro, sección 5.7.4, podemos concluir que el volumen que ocupan un mol de gas específico es exactamente igual al volumen que ocuparían un mol de cualquier otro gas siempre y cuando se midan a las mismas condiciones de temperatura y presión, es decir, Vα n La ley de Boyle nos enseña que V α 1/P y la de Charles que V α T, luego las tres relaciones pueden combinarse para obtener una ecuación general que relacione el volumen, la presión, la temperatura y el número de moles, así: V α (n)(1/P)(T) si introducimos una constante de proporcionalidad, que para nuestra conveniencia llamaremos R, tenemos: V = R(n)(1/P)(T) que ordenando nos queda, PV = nRT que es la famosa ecuación que se conoce como ecuación de estado para los gases ideales, debido que a temperatura y presiones ordinarias la mayoría de los gases se ajustan a ella. Las condiciones en las cuales esta ley no se cumple, altas presiones y bajas temperaturas, serán estudiadas más adelante. Ahora analicemos la constante de proporcionalidad R. Esta es conocida con el nombre de constante molal de los gases o constante universal de los gases. Su valor dependerá de las unidades que se escojan para el volumen, presión, temperatura y moles. Veamos, de la ecuación PV = nRT, PV R= nT como un mol de gas a condiciones normales, temperatura de 273,15 K y 101.325 Pa, ocupa un volumen de 22,414 L, al reemplazar en la ecuación anterior, R= 101.325 Pa x 22.414 L Pa L = 8314 1 mol x 273 K mol K con el procedimiento anterior se obtienen otros valores de R, algunos de los cuales se muestran en la Tabla 5.6. 136
  • 23.
    Cuando se utilizala ecuación general de los gases hay que tener mucho cuidado con las unidades, pues éstas deben ser consistentes con el valor de R. En química generalmente se trabajaba con R = 0.082 atm L K-1 mol-1, debido a que las unidades se expresaba así: el volumen en litros, temperatura en Kelvin, presión en atmósfera, pero es conveniente que nos vamos familiarizando con el valor que corresponde al sistema internacional de unidades (SI) 8314 Pa L mol-1 K-1. Ejemplo 5.10 Calcular el volumen que ocupan 2.3 moles de un gas ideal si ejerce una presión de 45.36 kPa a una temperatura de 30°C. Solución: planteamiento del problema. Se debe tener en cuenta que la temperatura debe estar en grados K, luego necesariamente los °C se deben llevar a K = °C + 273. V=? N = 2.3 P = 45.36 kPa T = 30°C = 303 K Ahora usamos la ecuación PV = nRT, de la cual despejamos V, V= nRT 2.3 mol x 8.314 kPa L mol -1 K -1 x 303 K = = 127.7 L P 45.36 kPa 5.7.7 DENSIDAD Y PESOS MOLECULARES DE LOS GASES Una aplicación importante que se le da a la ecuación PV = nRT, a más de los tradicionales cálculos de n, P, T y V, es la de conseguir los pesos moleculares de las sustancias gaseosas. Para ello se sigue el siguiente procedimiento: Como PV = nRT, pero n = m/M, donde m es la masa o peso del gas y M es su peso molecular, entonces reemplazando, PV = (m/M)RT y reordenando: M= mRT PV 137
  • 24.
    Tabla 5.6 Valoresde la constante universal R* ________________________________________________________ Escala Unidades Unid. Unid. Unid. R temp. presión vol. peso energía _________________________________________________________ Kelvin Pa m3 g-mol Pa-m3 8,31441 Pa L g-mol Pa-L 8.314,41 Pa dm3 g-mol Pa-dm3 8.314,41 kPa L g-mol kPa-L 8,31441 bar L g-mol bar-L 0,08314 3 bar dm g-mol bar-L 0,08314 ... ... g-mol calorías 1,9872 ... ... g-mol joules(abs) 8,3144 ... ... g-mol joules(int) 8,3130 ... ... g-mol ergios 8,314x107 atm cm3 g-mol atm-cm3 82,057 atm L g-mol atm-L 0,08205 mm Hg L g-mol mm Hg L 62,361 kg/cm3 L g-mol kg/(cm2)(L) 0,08478 atm pie3 lb-mol atm-pie3 1,314 3 mm Hg pie lb-mol mmHg-pie3 998,9 Rankine ... ... lb-mol u.c.c. 1,9872 ... ... lb-mol B.t.u. 1,9872 ... ... lb-mol hp-h 0,0007805 ... ... lb-mol kw-h 0,0005819 3 atm pie lb-mol atm-pie3 0,7302 pulg Hg pie3 lb-mol pulg hg-pie3 21,85 3 mm Hg pie lb-mol mmHg-pie3 555,0 lb/pulg2 pie3 lb-mol (lb)(p3)/pl2 10,73 2 3 lb/pie pie lb-mol pie-lb 1545,0 ____________________________________________________________________ * PERRY H., Robert y CHILTON H., Cecil. (Editores ). Biblioteca del ingeniero químico. 5ed. 2ed. en español. México, McGraw-Hill, 1983. V1, pp. 1-27 , 3-56:3-57. Actualización de los autores. bajo esas condiciones, basta con conocer el peso del gas m, la presión, la temperatura y el volumen que ocupa para obtener el peso molecular. Otra forma de expresar la ecuación M = densidad ρ . Sabemos que ρ = mRT es transformándola en función de la PV m , de donde al reemplazar: V 138
  • 25.
    mRT VP M= o M= ρRT P de donde: ρ = MP RT Lasecuaciones anteriores son muy usadas en el laboratorio para hallar los pesos moleculares y densidades de los gases. Ejemplo 5.11. Una muestra de 0.205 g de un compuesto gaseoso puro ocupa 110 mL a 100°C y 101325 Pa. ¿Cuál es el peso molecular de la muestra?. Solución. Como se trata de un problema de gases, nuestra primera intención es ver como la fórmula PV = nRT, está involucrada. Observamos que tenemos P, V, R y T; luego debemos masa y de allí despejar M, peso despejar n, número de moles para relacionarla con n = M molecular. Datos: P = 101325 Pa; T = 100°C +273 = 373 K; V = 110 mL = 0.110 L y la constante de los gases, R = 8314 Pa L mol-1 K-1; PV 101325 Pa x 0.110 L n= = = 3.59x10 -3 moles RT 8314 Pa L mol -1 K -1 x 373 K Ahora de: n = masa masa , tenemos: M = , reemplazando: M n M= 0.205 g = 57.04 g mol -1 -3 3.59 x 10 mol La forma de calcular pesos moleculares de gases, según el ejemplo anterior, se puede aplicar a líquidos volátiles, como se hace en el método de Dumas para calcular pesos moleculares de líquidos. El método consiste en hacer una montaje como el de la Figura 5.9, en la cual una muestra de un líquido volátil se introduce en un balón de 100 mL previamente pesado, se tapa la boca del balón con papel aluminio y se hace un pequeño orificio con la punta de un lápiz; el balón se introduce en un baño de agua hirviendo, el líquido se deja evaporar, el exceso de vapor se escapa por el orificio. Cuando la última gota de líquido se evapora el balón se llena de llena completamente con vapor (gas) del líquido volátil a la temperatura de ebullición del agua de la ciudad donde nos encontremos. Luego el balón se retira, se deja enfriar y se pesa nuevamente. El enfriamiento rápido condensa el 139
  • 26.
    vapor que llenabael matraz a la temperatura de ebullición del agua. La diferencia del peso del balón con el condensado y vacío corresponde a la masa del líquido condensado que es la misma masa del vapor que llenó el balón a la temperatura de ebullición del agua y la presión atmosférica del sitio donde se efectuó la determinación. La razón fundamental por la que podemos aplicar la ley de los gases es que, a pesar de la sustancia es un líquido, a la temperatura de ebullición del agua, es un gas. Si se quiere determinar el peso molecular de un líquido que ebulla a una temperatura mayor que la del agua, hay que buscar otro que sea de mayor temperatura que la del líquido a examinar para el baño. Figura 5.9 Montaje para determinar el peso molecular de un líquido volátil Ejemplo 5.12. En la ciudad de Quibdó (Chocó) se determinó el peso molecular de un líquido volátil por el método de Dumas. Los datos que se obtuvieron fueron: Peso del balón vacío 420.00 g; peso del balón con el condensado 420.28 g; temperatura de ebullición del agua 98°C, volumen del balón 112 mL. ¿Cuál es el peso molecular del líquido?. 140
  • 27.
    Solución. El problemaes similar al Ejemplo 5.8. La diferencia está que de la información dada debemos sacar los datos necesarios para usar las mismas ecuaciones. En este caso no se establece el valor de la presión atmosférica pero como sabemos que el agua ebulle cuando su presión de vapor es igual a la presión atmosférica, vamos a una tabla de presiones de vapor y leemos la presión que corresponda a 98°C (371 K) que es 94.2949 kPa. La masa del vapor se toma de la diferencia de peso entre el balón lleno y vacío: 420.28 – 420.00 = 0.280 g. En resumen: Datos: P = 94.295 kPa; T = 98°C +273 = 371 K; V = 112 mL = 0.120 L, masa de vapor = 0.280 g y la constante de los gases, R = 8.314 kPa L mol-1 K-1; Calculamos la moles de vapor: n= Ahora de: n = M= PV 94.295kPa x 0.120 L = = 3.67x10 -3 moles -1 -1 RT 8.314 kPa L mol K x 371 K masa masa , tenemos: M = , reemplazando: M n 0.280 g = 76.32 g mol -1 -3 3.67 x 10 mol Luego el peso molecular del líquido volátil es 76.32 g mol-1. Ejemplo 5.13. Experimentalmente por el método de Victor Meyer se determinó la densidad de un gas desconocido y dio 1,70 g L-1. Cuando se efectuó el experimento la temperatura era 305 K y la presión 91,192 kPa. Cual es el peso molecular del gas? Solución: Podemos utilizar la fórmula directa por que conocemos los valores. planteamiento del problema, ρ = 1,7 g L-1 T = 305 K P = 91,192 kPa M=? Aplicamos la ecuación: M = ρRT , luego reemplazando valores, P 1.7 g L-1 8.314 kPa L mol -1 K -1 x 305 K = 42.27 g mol -1 M= 91.192 kPa 141
  • 28.
    5.7.8 MEZCLAS DEGASES: LEY DE DALTON DE LAS PRESIONES PARCIALES Generalmente en química no se trabaja con gases individuales sino con mezclas de ellos. Uno de los primeros investigadores que estudió sistemas gaseosos de varios componentes fue John Dalton (1766-1884), lo cual lo llevó a enunciar, EN 1881, la ley que lleva su nombre, a temperatura constante la presión ejercida por una mezcla de gases, siempre y cuando estos no reaccionen, en un volumen definido es igual a la suma de las presiones parciales de cada gas. La presión parcial de un gas, en una mezcla de gases, es la presión que aquel ejercería si él solo ocupase el volumen total. Para comprender mejor consideremos dos balones de un L, uno lleno con helio a la presión de 152 mm Hg (unidad no SI) y el otro lleno con hidrógeno a la misma temperatura. Supongamos que todo el helio se pasa al otro balón forzándolo introduciendo aceite. Después que los gases se han mezclado en un balón, cada gas ocupa un volumen de un litro, por lo tanto, cada uno ejerce la misma presión como si estuviera solo. En este caso la presión total ejercida por la mezcla de gases es la suma de las dos presiones parciales: 152 + 608 = 760 mm Hg. Es bueno aclarar que si el volumen final no es un L, la presión de cada gas, en la mezcla, es diferente a la inicial. Matemáticamente la ley de Dalton se puede demostrar así: si en un recipiente hay 1, 2, 3, ..., i gases, entonces, PT = P1 + P2 + ... + Pi es decir que, como Pi = PT = Pi n i RT , reemplazando: V PT = como ∑ n RT n1 RT n 2 RT + + .... + i V V V RT es constante para todos y V nT = n1 + n2 + ... + ni = ∑ PT = (n1 + n2 + ... + ni)( PT = nT ni RT ) V RT V 142
  • 29.
    si dividimos : Pi= n i RT V PT = nT equivalente a: RT V n Pi = i PT n T pero: ni = Xi nT que es conocido como la fracción molar, luego Pi = Xi PT ahora recordemos que siempre la suma de las fracciones molares debe ser igual a uno, luego: X1 + X2 + ... + Xi = 1 Ejemplo 5.14: Una mezcla de 0.18 g de dióxido de azufre, SO2 , (M = 64 g/mol) y 1.2 g de dióxido de nitrógeno, NO2, (M = 46 g/mol) se encuentran a una presión total de 100.0 kPa. Calcular las presiones parciales y las fracciones molares de cada gas. Solución: Planteamiento del problema, mSO2 = 0.800 g MSO2 = 64 g/mol mNO2 = 1,2 g MNO2 = 46 g/mol PT = 100.0 kPa Pi = ? Xi = ? mi Mi nSO2 = 0,800 g/64 g mol-1 = 0.0125 nNO2 = 1,2 g/46 g mol-1 = 0.0261 el número de moles totales es: nT = 0.0125 + 0.0261 = 0,0386 n y las fracciones molares, Xi = i nT Ahora calculamos las moles de cada gas, ni = 143
  • 30.
    XSO2 = 0.0125 = 0.324 0.0386 XNO2= 0.0261 = 0.676 0.0386 aplicando : Pi = Xi PT PSO2 = 0,324 x 100,0 kPa = 32,4 kPa PNO2 = 0,676 x 100,0 kPa = 67,6 kPa Cuando se obtiene un gas en el laboratorio es normal que éste sea recogido sobre agua como lo muestra la Figura 5.11, al abrirse paso arrastra algunas moléculas de agua, lo cual hace que el gas quede "húmedo". Esto implica que la presión total sea la suma de los aportes de cada gas: Uno del gas seco y otro del vapor de agua. Cada uno aporta una presión parcial, luego: Pgas húmedo = Pgas seco + Pvapor de agua despejando: Pgas seco = Pgas húmedo - Pvapor de agua . Figura 5.11 Recolección de un gas sobre agua 144
  • 31.
    La presión devapor de agua, a diferentes temperaturas se encuentra en la Tabla 5.7. Los conceptos anteriores son otra contribución de la ley de Dalton de las presiones parciales. Ejemplo 5.15: El gas hidrógeno se produce por la reacción del ácido clorhídrico sobre zinc metálico de acuerdo a la siguiente reacción: 2HCl(ac) + Zn(s) ⇒ ZnCl2(ac) + H2(g) El gas se recoge sobre agua. Si se recolectaron 260 mL de gas a 32°C y 180 kPa de presión total. ¿Cuántos gramos de hidrógeno se colectaron? Solución. Este problema es típico de gas húmedo, luego hay que conocer primero la presión del gas seco restando de la presión total la presión de vapor de agua a 32°C, que es 4.7546 kPa, (de la Tabla 4.7),para con la ayuda de la ecuación general de los gases ideales calcular el número de moles y de aquí los gramos por que conocemos el peso molecular. Datos: PT = 180 kPa; V = 260 mL = 0.260 L; T = 32°C +273 = 305 K; M = 2 g mol-1; Pv = 4.7546 kPa, así: . Tabla 5.7 Presión de vapor de agua líquida desde 273 K a 373 K* ____________________________________________________________________ Temp. Pres. de vapor Temp. Pres. de vapor K kPa K kPa ____________________________________________________________________ 273 274 275 276 277 278 279 280 281 282 283 284 285 286 287 288 289 0,6104831 0,656746 0,7058086 0,7579376 0,8133997 0,8723283 0,9349898 1,001651 1,072578 1,147772 1,227766 1,312425 1,402285 1,497343 1,598135 1,704926 1,817717 321 322 323 324 325 326 327 328 329 330 331 332 333 334 335 336 337 11,16041 11,73503 12,33365 12,95893 13,61088 14,29216 15,0001 15,73737 16,50531 17,30791 18,14251 19,01177 19,9157 20,85562 21,8342 22,84879 23,90603 145
  • 32.
    290 291 292 293 294 295 296 297 298 299 300 301 302 303 304 305 306 307 308 309 310 311 1,937174 2,06343 2,196753 2,337808 2,486462 2,643383 2,808836 2,983355 3,167206 3,360924 3,564907 3,779556 4,005404 4,242851 4,492297 4,754675 5,030119 5,319295 5,62287 5,941245 6,275084 6,625055 338 339 340 341 342 343 344 345 346 347 348 349 350 351 352 353 354 355 356 357 358 359 25,00327 26,14318 27,32575 28,55365 29,82821 29,82421 32,51732 33,94387 35,42376 36,95696 38,5435 40,18336 41,87656 43,63641 45,46292 47,34277 49,28928 51,31578 53,40894 55,56876 57,80858 60,11506 Continuación TABLA 5.5 ________________________________________________________________ Temp. Pres.de vapor Temp. Pres. de vapor K kPa K kPa ________________________________________________________________ 312 6,691692 360 62,48819 313 7,375926 361 64,94132 314 7,778027 362 67,47445 315 8,199326 363 70,09557 316 8,63929 364 72,79735 317 9,100585 365 75,59245 318 9,583211 366 78,47354 319 10,08584 367 81,44663 320 10,61246 368 84,51305 369 87,67545 372 97,75729 370 90,93519 373 101,325 371 94,29491 374 105,00069 ________________________________________________________________ PERRY H., Robert y CHILTON H., Cecil. (Editores ). Biblioteca del ingeniero químico. 5ed. 2ed. en español. México, McGraw-Hill, 1983. V1, pp. 1-27 , 3- 56:3-57. Conversión a SI por los autores. 146
  • 33.
    PH2 seco =Pgas húmedo - Pvapor de agua = 180 kPa – 4.746 = 175.25 Kpa PV , reemplazando: Como n = RT n= PV 175.25kPa x 0.260 L = = 0.01797x10 -2 moles -1 -1 RT 8.314 kPa L mol K x 305 K como n = masa , de aquí: masa de H2 = nM, reemplazando: M masa de H2 = 0.01797x10-2 x 2 g mol-1 = 3.59x10-4 g de H2 Ejemplo 5.16: El oxígeno se produce por descomposición térmica del clorato de potasio, KClO3 . Si la práctica se realiza a 303 K y 99,0 kPa, a) Cuál es el volumen de O2 si se recogieron cinco moles? b) cuál es la fracción molar del O2? Solución: El problema es de la misma forma que el ejercicio anterior, solo que aquí se pregunta por le volumen pero se dan las moles. Planteamiento del problema gas: O2 T = 303 K Patm = 99,0 kPa n=5 a) VO2 = ? b) XO2 = ? De la Tabla 5.7 leemos la presión de vapor, Pv, del agua a 303 K y es 4,24 kPa, aplicando: PO2(seco) = Patm - Pv PO2(seco) = 99,0 kPa - 4,24 kPa = 94,76 kPa como PV = nRT, entonces, V = nRT , reemplazando, P 5x8.314 kPa L mol -1 K -1 x 303 K VO2 = = 132.92 L 94.76 kPa b) Como XO2 = PO O2 PT reemplazando: XO2 = 94.76 kPa = 0.96 99.00 kPa 147
  • 34.
    5.7.9 LEY DEAMAGAT DE LOS VOLUMENES PARCIALES Así como Dalton trabajó con las presiones parciales, Amagat realizó estudios con los volúmenes parciales y enunció la ley que lleva su nombre: En una mezcla cualquiera de gases el volumen total puede ser considerado como la suma de los volúmenes parciales de los constituyentes de la mezcla, así: es decir: VT = V1 + V2 + ... + Vi VT = ∑ Vi donde Vi son los volúmenes parciales que se definen como aquel que ocuparía un gas si el solo estuviese presente a la misma temperatura y a la presión total de la mezcla. Si Xi son las fracciones molares, de modo similar que con la ley de Dalton, Vi = XiVT 5.7.10 LEY DE EFUSIÓN DE GRAHAM A veces nos preguntamos porqué, cuando estamos en la sala de casa, percibimos el agradable olor de los alimentos en proceso de cocción que vienen de la cocina o por qué, también los malos olores llegan a nosotros. Pues bien la explicación está en la teoría cinética de los gases la cual nos dice que las moléculas están en movimiento caótico constante y en cualquier momento un grupo grande de moléculas de una sustancia se esparcen y sale para ocupar un espacio cada vez mayor. Se entiende por difusión el fenómeno mediante el cual las moléculas de varios fluidos situados en un mismo recinto tienden a formar una mezcla homogénea o es el proceso mediante el cual un gas se esparce fuera a través de otro para ocupar el espacio uniformemente. La Figura 4.12 muestra la difusión del amoníaco a través del aire, a medida que difunde, la tira indicadora cambia de color. La efusión es el proceso en el cual un gas fluye a través de un pequeño orificio en un recipiente. Este fenómeno fue estudiado entre 1828 y 1833 por Thomas Graham (18051869), quien enunció la siguiente ley que lleva su nombre: A temperatura y presión constantes las velocidades de efusión de diferentes gases varía inversamente con la raíz cuadrada de sus densidades ( ρ ) o pesos moleculares (M),Matemáticamente: 1 Velocidad de efusión de las moléculas α ó M 148
  • 35.
    Velocidad de efusiónde las moléculas α 1 ρ así: si llamamos U1 y U2 las velocidades de efusión de dos gases y por ρ 1 y ρ 2 a sus respectivas densidades, la ley de Graham nos dice: ρ2 U1 = U2 U1 = U2 o ρ1 M2 M1 Es fácil demostrar que cuando se conocen los tiempos de difusión (efusión) de un gas se puede emplear la siguiente expresión, t2 = t1 M2 M1 donde t1 es el tiempo de efusión del gas uno y t2 el tiempo de efusión del gas dos. Ejemplo 5.17: Calcular la relación de las velocidades de efusión del hidrógeno y el nitrógeno cuando efunden por un mismo orificio a las mismas condiciones. Solución. Como se trata de comparar las dos velocidades y se conocen los pesos moleculares de los gases, H2= 2.0 g mol-1; N2 = 28.0 g mol-1, simplemente reemplazamos en esta ecuación: M2 U1 = U2 M1 Aplicando: U1 28 = = 3.7 U2 2 es decir, la relación entre la velocidad de efusión (difusión) del H2 y la del N2 es 3,7. Ejemplo 5.18: Otra experiencia sencilla y muy común en algunos textos es la siguiente: Los compuestos gaseosos amoníaco (NH3) y ácido clorhídrico (HCl), al reaccionar producen unos vapores blancos de cloruro de amonio (NH4Cl). Al tomar un tubo de vidrio de un 149
  • 36.
    metro de longitudy colocar simultáneamente en un extremo amoníaco y en el otro ácido clorhídrico, al difundir los gases y encontrarse reaccionan y producen cloruro de amonio. Se nota por que se forma una especie de nubes blancas. Experimentalmente se encuentra que la zona de reacción se ubica a 60 cm de la entrada del amoníaco, lo cual indica que las moléculas de amoníaco se desplazan más rápidamente que las del ácido, y es lógico por que el peso molecular del primero es 17 g mol-1 y del segundo M2 U 36,5 g mol-1. Al aplicar la ecuación 1 = encontramos, U2 M1 U NH3 36.5 = = 1.46 U HCl 17 Es decir, la velocidad de difusión del amoniaco es 1.46 veces mayor que la del HCl. reemplazando, Ejemplo 5.19: el tiempo necesario para que cierto volumen de N2 efunda por un orificio es de 35 segundos. Calcular el peso molecular de un gas que necesita 50 s para efundir por el mismo orificio bajo condiciones idénticas. Solución: Aquí, como nos dan los tiempos, se debe utilizar la ecuación t2 = t1 M2 M1 Planteamiento del problema, tN2 = 35 s MN2 = 28 g/mol Mx = ? tx = 50 s despejando para el peso molecular: Mx = M N2 x t x t N2 reemplazando, Mx = 28 x 50 s = 7.56 35 s Elevando ambos lados al cuadrado: Mx = (7.56)2 = 57,14 g mol-1 5.7.11 LA TEORÍA CINÉTICA DE LOS GASES 150
  • 37.
    En 1.738 Bernoulliy en años posteriores Clausius, Masxwell, Boltzmann, van der Waals y Jeans, enunciaron y mejoraron lo que hoy se conoce como teoría cinética de los gases, la cual estudia el comportamiento de los gases de una manera teórica en base de una descripción postulada de un gas y algunos supuestos. Los postulados fundamentales de esta teoría son: 1. Se considera que los gases están constituidos por diminutas partículas discretas llamadas moléculas de igual masa y tamaño en un mismo gas, pero diferentes para gases distintos. 2. Las moléculas de un recipiente se hallan en movimiento caótico sin cesar, durante el cual chocan entre sí o con las paredes del recipiente donde se encuentran. 3. El bombardeo de las paredes del recipiente origina una presión, es decir, una fuerza por unidad de área, promedio de las colisiones de las moléculas. 4. Las colisiones de las moléculas son elásticas, es decir, mientras no varíe con el tiempo la presión del gas de un recipiente, a cualquier temperatura y presión no se produce pérdida de energía por fricción. 5. La temperatura absoluta es una cantidad proporcional al promedio de la energía cinética de todas las moléculas de un sistema. 6. A presiones relativamente bajas la distancia promedio entre las moléculas es grande en comparación con sus diámetros, y de ahí que las fuerzas de atracción, que dependen de la separación molecular, se consideran despreciables. 7. Finalmente, como las moléculas son pequeñas, en comparación con la distancia entre ellas, su volumen se considera despreciable con relación al total, es decir, la mayor parte del volumen ocupado por un gas es espacio vacío. Algunas leyes (relaciones) de los gases se pueden interpretar con los anteriores postulados. Veamos: RELACION: PRESION-VOLUMEN (INVERSA) Si se disminuye el volumen del recipiente que contiene el gas. sus moléculas recorrerán menos espacio entre cada choque: ésto se traduce en un mayor número de choques por unidad de tiempo. lo que da como resultado una mayor presión. RELACIÓN: VOLUMEN-TEMPERATURA (DIRECTA) Al aumentar la temperatura. aumenta la energía cinética de las moléculas: ésto trae como consecuencia que la fuerza ejercida en el momento del choque sea mayor, así como también el número de choques por unidad de tiempo. Si las paredes del recipiente son 151
  • 38.
    elásticas (globo decaucho). cederán ante el empuje de las moléculas y el volumen del recipiente (globo) aumentara. RELACION: PRESION-TEMPERATURA (DIRECTA) Al aumentar la temperatura. aumenta la energía cinética de las moléculas, lo que lleva a que ejerzan una mayor fuerza al chocar con las paredes del recipiente. Igualmente. aumenta la velocidad de las moléculas lo que implica un mayor número de choques por unidad de tiempo. Si las paredes del recipiente son rígidas, el efecto neto será una mayor fuerza sobre las paredes y por tanto una mayor presión. RELACIÓN: VOLUMEN-MASA (DIRECTA) Al aumentar la masa, aumenta el número de moléculas y por tanto el número de choques contra las paredes del recipiente. Si las paredes son elásticas, cederán ante el mayor empuje de las moléculas y el volumen aumentará. RELACIÓN: MASA-PRESIÓN (DIRECTA) Al aumentar la masa, el número de moléculas aumenta y, por consiguiente, el número de choques contra las paredes del recipiente también aumenta. Si las paredes del recipiente son rígidas, no ceden ante el empuje de las moléculas y el efecto neto será un aumento de la presión. 5.8 GASES REALES Al principio de este capítulo establecimos las diferencias entre lo que se puede considerar un gas ideal o perfecto y un gas real o imperfecto, pues bien en esta sección mostraremos la parte matemática que corrobora dichas diferencias. 5.8.1 FACTOR DE COMPRESIBILIDAD, PUNTOS CRÍTICOS Y CONDICIONES REDUCIDAS La ecuación de estado del gas ideal, PV = nRT es una representación exacta de la conducta de los gases solo cuando ellos están a presiones bajas y a temperaturas superiores a sus puntos de condensación. Podemos decir que aquella ecuación es una aproximación a ecuaciones de estado más exactas, que deben ser empleadas cuando los gases están a temperaturas bajas y presiones altas; estas ecuaciones son matemáticamente más complicadas y por lo tanto más difíciles de usar, pero ellas nos dicen mucho a cerca de las fuerzas que ejercen mutuamente las moléculas. Pero qué tanto la ley general se desvía de la realidad?. Para responder a ésta pregunta los científicos usaron la ley de Boyle, como ella predice que PV = constante, lo cual indica que PV = nRT también debe ser igual a una constante, por lo tanto siempre que la temperatura 152
  • 39.
    se mantenga constante,el producto PV debe serlo y un gráfico de PV contra P debe ser una línea recta paralela al eje de las presiones. Cuando a 273,15 K y diferentes presiones se construyó la Figura 5.13 para varios gases se observa claramente la incongruencia de la ley general. Las conclusiones de cómo se comporta cada gas con respecto al producto PV son inherentes. Para ajustar el comportamiento ideal a el real de los gases, se introdujo el concepto de factor de compresibilidad, Z, que se define como: PV Z= nRT De donde: PV = ZnRT Al representar gráficamente el factor de compresibilidad, Z, en función de la presión, para un gas ideal, siempre se obtendrá una línea recta en Z = 1, paralela al eje de las presiones. Para gases reales, como se muestran en las Figuras 5.14 y 5.15, éste valor puede ser menor o mayor que uno, dependiendo de la naturaleza del gas, la presión y la temperatura. El uso de los factores de compresibilidad se mostrará a continuación: Ejemplo 5.20: Calcular el volumen de un mol de metano a una presión de 60 795 kPa y 873 K, compare su respuesta con el volumen ideal. Solución: Planteamiento del problema, V=? n=1 P = 60 795 kPa T = 873 K R = 8.314 kPa l mol-1 K-1 b) Videal = ? 153
  • 40.
    Figura 5.13 ProductoPV de algunos gases 154
  • 41.
    Figura 5.14 Zcomo función de la presión para un mol de gas a 300 K 155
  • 42.
    Figura 5.15 Zcomo factor de la presión para un mol de N2 a) con el valor de la presión de 60 795 kPa y la temperatura de 873 K, se obtiene el factor de compresibilidad para el metano de gráficas parecidas a las anteriores, Z = 1.23, como V= ZnRT , reemplazando valores: P V= 1.23 x 1 mol x 8.314 kPa L mol -1 K -1 x 873 K = 0.147 L , 60 795 nRT , reemplazando: P 1 mol x 8.314 kPa L mol -1 K -1 x 873 K V= = 0.119 L , 60 795 b) para el volumen idea V = 156
  • 43.
    luego Δ V= 0,147 - 0,119 = 0,028 L. El punto crítico de un gas está determinado por la situación en la cual, por encima de él, es imposible licuar (condensar) un gas, así: Para cada gas existe una temperatura, arriba de la cual, no importando que tan grande sea la presión aplicada, es imposible ser licuado, esa temperatura se llama temperatura crítica Tc. La presión necesaria para licuar el gas a Tc se llama presión crítica Pc. El volumen del gas a la Pc y Tc es el volumen crítico Vc. El estado del gas a Pc, Tc y Vc es lo que se denomina punto crítico y sus valores son las constantes críticas del gas. En la Tabla 5.8, se dan las constantes críticas de diversos gases. Las relaciones P, V y T, con los valores críticos Pc, Vc y Tc, respectivamente, reciben el nombre de presión, volumen y temperatura reducidos. Matemáticamente son: PR = P/Pc, VR = V/Vc, TR =T/Tc En 1.881, van der Waals señaló que, como una aproximación bastante acertada a presiones moderadas, todos los gases siguen la misma ecuación de estado en términos de las variables reducidas, PR, TR y VR siendo VR=F(PR, TR), donde F podría ser la misma función para todos Tabla 5.8 Datos del punto crítico y constante de van der Waals* _________________________________________________________ Fórmula Tc Pc 106Vc 103a 106b (K) (Mpa) (m3mol-1) (m6Pa mol-2) (m3mol-1) _________________________________________________________ He 5,3 0,229 61,6 3,45 23,7 H2 3,33 1,30 69,7 24,7 26,6 N2 126,1 3,39 90,0 141,0 39,1 CO 134,0 3,51 90,0 151,0 39,9 O2 154,3 5,04 74,4 138,0 31,8 C2H4 282,9 5,16 127,5 453,0 57,1 CO2 304,2 7,38 94,2 364,0 42,7 NH3 405,6 11,37 72,0 422,0 37,1 H2O 647,2 22,06 55,44 553,0 30,5 Hg 1735,0 105,0 40,1 820,0 17,0 _________________________________________________________ * MOORE, Walter J. Fisicoquímica básica. México, Prentic -Hall,1986. pp. 11-34 los gases estudiados. Llamó a esta regla principios de estados correspondientes. Si ésta regla fuera exacta, la relación crítica PcVc/nRTc sería la misma para todos los gases, aunque en la realidad varía un poco. El principio de estado correspondiente es muy importante, ya que muestra que la desviación de un gas experimental respecto del ideal no se determina 157
  • 44.
    con los valoresabsolutos de P, V, T, si no con los valores reducidos PR, TR y VR , en los cuales se toma en cuenta la naturaleza del gas. Los Ingenieros Químicos, a quienes interesan las propiedades de los gases a presiones elevadas, han preparado gráficas para mostrar la variación del factor Z con la presión y la temperatura; y han encontrado en óptima aproximación que Z parece ser una función universal de las variables reducidas PR y TR, Z = F(PR, TR) En la Figura 5.16, se ilustra éste comportamiento para un número de gases diferentes, donde Z se grafica a varias temperaturas reducidas, contra la presión reducida. Con éstas presiones moderadas, el ajuste tiene un error cercano al 1%. Estas gráficas ilustran la ley de estados correspondientes. Ejemplo 5.21: El xenón tiene una Tc = 289,7 K , Pc = 5,88 MPa. Calcular el volumen de un mol de xenón a una presión de 12,47 MPa y 320 K. Comparar éste volumen con el valor del gas ideal. Solución: Planteamiento del problema, Tc = 289,7 K Pc = 5,88 MPa. V=? P = 12,47 MPa T = 320 K R = 8,314 L kPa mol-1 K-1 con los valores de Tc = 289,7 K , Pc = 5,88 MPa, vamos a la Figura 5.16 y leemos Z para el ZnRT , los valores: Xe, que es 0,42, reemplazando en V = P V= 0.42 x 1 mol x 8.314 kPa L mol -1 K -1 x 320 K = 8.96x10 -2 L , 12 470 kPa Para el gas ideal, V = 21,33 x 10-2 L. 158
  • 45.
    Figura 5.16 Factorde compresibilidad en función de la variables reducidas de estado [Goug-Jen Su, Ind. Eng. Cheem, 38, 803 (1.946)] 5.8.2 ECUACIÓN DE VAN DER WAALS Se han propuesto muchas ecuaciones de estado para describir el comportamiento de los gases no ideales. La más famosa y quizá la más ampliamente usada es la de J. D. van der Waals (1837-1923) quien en 1.873 estudió el problema para obtener una ecuación de estado para gases no ideales. Ideó un modelo teórico-cinético para un gas imperfecto en el que se modificaron los dos postulados básicos del modelo del gas ideal. 159
  • 46.
    En lugar detratar las moléculas del gas como partículas puntuales con masa, las trató como esferas rígidas Y en vez de decir que no habría fuerzas entre las moléculas, supuso que éstas ejercían fuerzas de atracción entre ellas, lo que conduce a la condensación en condiciones apropiadas de T y P. La ecuación que propuso es: 2 ⎡ ⎛n⎞ ⎢ P+a⎜ ⎟ ⎝V⎠ ⎢ ⎣ ⎤ ⎥ (V nb) = nRT ⎥ ⎦ La ecuación difiere de la ecuación de los gases ideales por la presencia de dos términos de corrección; uno corrige el volumen, el otro modifica la presión. El término nb en la expresión (V – nb) es una corrección por el volumen finito de las moléculas de gas; la constante de van der Waals, b, diferente para cada gas, tiene unidades de L mol-1. Es una medida del volumen real ocupado por las moléculas del gas. Los valores de b de varios gases se aparecen en la Tabla 4.8. Se observa que b se incrementa al aumentar la masa de la molécula o la complejidad de su estructura. La corrección a la presión toma en consideración las fuerzas de atracción entre las moléculas. Consta de una constante a diferente para cada gas, que multiplica la cantidad (n/V)2. Las unidades de a son L2 Pa mol-2. La magnitud de a refleja la fuerza con que se atraen entre si las moléculas de un gas. Se observa que a se incrementa con el peso molecular o la complejidad de la estructura. Generalmente se utilizan los datos del punto crítico para determinar valores aproximados de las constantes de van der Waals, utilizando las siguientes ecuaciones: a= 2 27 R 2 T c 64 Pc b = RTc 8 Pc Ejemplo 5.22: Calcular la presión, usando la ecuación de van der Waals, a la cual se encuentran cinco moles de CO que ocupan un volumen de 10 litros a 305 K. Solución: planteamiento del problema, P = ? (ec. van der Waals) n = 5 gas CO V = 10 l T = 305 K De la Tabla 4.8 tomamos los valores de las constantes a y b; a = 151x10-3 m6 Pa mol-2 = 151 kPa l2 mol-2 160
  • 47.
    b = 39,9x10-6m3 mol-1 = 0.0399 l mol-1 Despejando P de la ecuación de van der Waals: nRT ⎛ n ⎞ P= a⎜ ⎟ V nb ⎝ V ⎠ 2 y reemplazando valores, = 1255.87 kPa P= 5 x 8,314 x 305 ⎛ 5 ⎞ 151⎜ ⎟ 10 5 x 0.0398 ⎝ 10 ⎠ 2 La ecuación de van der Waals es explícita para la presión, como lo demostró el anterior ejemplo, pero cuando se trata del volumen la situación se complica por que al despejarlo queda una función polinómica de tercer grado, así: PV3 - n(bP + RT)V2+ n2aV - n3ab = 0 5.8.3 ECUACIÓN DE BERTHELOT Otra ecuación de estado que estudia los gases reales es la ecuación de Berthelot, pero como a presiones altas esta ecuación es demasiado compleja, por eso a presiones bajas se usa la siguiente; ⎡ 9 P Tc PV = nRT ⎢1 + ⎣ 128 Pc T 2 ⎛ 6 T c ⎞⎤ 1 2 ⎟⎥ ⎜ ⎝ T ⎠⎦ y para calcular los pesos moleculares de los gases o la densidad, de una forma más exacta que la ley de los gases ideales, se transforma en, M= ρ RT ⎡ P 2 9 P T c ⎛ 6 T c ⎞⎤ ⎜1 2 ⎟⎥ ⎢1 + ⎣ 128 Pc T ⎝ T ⎠⎦ donde todas las variables son las mismas que hemos vistos anteriormente. 161
  • 48.
    5.9 ESTEQUIOMETRÍA DEGASES Es usual que los gases participan en algunas reacciones químicas como reactivo o producto y es necesario que sepamos cuantificar esa participación, para ello podemos utilizar la ley de los volúmenes de combinación de Gay Lussac o la ecuación general de los gases PV = nRT. La estequiometría de la reacción nos dará parte de la información que se requiere. A continuación se ilustrará con ejemplo. Ejemplo 5.23 Los automóviles modernos se venden equipado con bolsas de aire que se inflan, en menos de 20 centésimas de segundo, cuando hay una colisión. Muchas de esas bolsas son infladas con nitrógeno, N2 ( M = 28 g mol-1), mediante la acción de la azida de sodio, NaN3 (M = 65.01 g mol-1), y óxido de hierro(III), Fe2O3, la cual se inicia con una chispa. La reacción es: 6NaN3(s) + Fe2O3(s) ⇒ 3NaO2(s) + 2Fe(s) + 9N2(g) Si la bolsa se llena con 90 L, ¿Cuántos gramos de azida se requieren para proporcionar ese volumen de N2 a 30°C y 95,0 kPa? Solución. En primera instancia hay conocer el número de moles de N2 que se necesitan para llenar la bolsa y por la estequiometría de la reacción calcular los gramos de azida que los proporcionan. Los datos son: P = 95.0 kPa T = 30°C = 303 K R= 8.314 kPa L mol-1 V = 90 L Con PV = nRT calculamos el numero de moles de N2 que bajo esas condiciones proporcionan 90 L. Como: n= Reemplazando: n = PV RT 95.0 kPa x 90.0 L = 3.39 moles de N 2 8.314 kPa L mol -1 K -1 x 303 K La estequiometría de la reacción nos dice que seis mole de NaN3(s) proporciona nueve moles N2(g), entonces, 3.39 moles de N2, cuantas moles de NaN3 necesitarán?. Una regla de tres nos soluciona : Si 6 moles de NaN3(s) ⇒ 9 moles de N2(g) 3.39 moles de N2(g) X moles de NaN3(s) 162
  • 49.
    6 moles NaN3 x 3.39 moles de N 2 = 2.26 moles de NaN 3 9 moles de N 2 masa y como el peso molecular de la azida es 65.01 g; Que se lleva a gramos con n = M entonces: Moles de NaN3(s) = Gramos de NaN3(s) = nM = 2.26 moles de NaN3 x 65.01 g mol-1 = 146.9 g de NaN3(s). Ejemplo 5.24 Cuantos litros de cloro gaseoso, Cl2 (M = 71.0 g mol-1) se pueden obtener a 35°C y 101.3 kPa a partir de 80.5 g de ácido clorhídrico (M = 36.5 g mol-1), de acuerdo con la ecuación siguiente: 2KmnO4(s) + 16HCl(ac) ⇒ 8H2O(l) + 2KCl(ac) + 2MnCl2(ac) + 5Cl2(g) Solución. En este caso necesitamos saber cuantas moles de Cl2 producen los 80.5 g de HCl para aplicar la ecuación general de los gases PV = nRT. La estequiometría de la reacción nos ayuda por que nos dice que 16 moles de HCl producen 5 moles de Cl2. Los datos son: P = 101.3 kPa T = 35°C = 308 K R= 8.314 kPa L mol-1 g de HCl = 80.5 M = 36.5 g mol-1 80.5 g = 36.5 g mol -1 2.205 moles de HCl y como la estequiometría de la reacción nos dice que 16 moles de HCl producen 5 moles de Cl2, cuantas moles de Cl2 se producirán?. Una regla de tres nos soluciona : Los gramos de HCl los llevamos a moles dividiendo por su peso molecular, Si 16 moles de HCl ⇒ 5 moles de Cl2 2.205 moles de HCl X moles de Cl2 Moles de Cl2(g) = 2.205 moles HCl x 5 moles de Cl 2 = 0.698 moles Cl 2 16 moles de HCl Con PV = nRT calculamos el volumen de Cl2 que bajo esas condiciones se producen. Como: V= nRT P 163
  • 50.
    Reemplazando: V = 0.698moles x8.314 kPa mol -1 K -1 x 308 K = 17.64 L de Cl 2 101.3 kPa 5.10 PROBLEMAS ILUSTRATIVOS 5.25 Se está diseñando un submarino para bajar al lugar más profundo en el océano, el paso de las islas marianas, a 11 022 m , cual es la presión mínima de diseño para llegar allá ?. Suponga densidad constante de 1.05 g cm-3. Solución: Planteamiento del problema, h = 11.022 m ρ = 1,05 g cm-3 = 1,05x103 kg m-3 P=? g = 9,81 m s-2 hay que calcular la presión que ejercería la columna de agua h de 11 022 m; como P = h ρ g, reemplazando, P = 11 022 m x 1.05x103 kg m-3 x 9.81 m s-2 = 113.42 MPa = 1120 atm el submarino debe resistir una presión de por lo menos 113,42 MPa equivalentes a 1120 atm. 5.26 La presión de un gas ideal en función de la altura h por encima del nivel del mar, suponiendo temperatura constante, está dada por la ecuación, P = Poe-(Mgh/RT) donde Po es la presión a nivel del mar para las condiciones dadas, g es la aceleración de la gravedad = 9.80665 m s-2, m el peso molecular. Cual será la presión a una altura de 2300 m para 1 mol de O2 que inicialmente está a CN ?. Solución: Planteamiento del problema: P = Poe-(Mgh/RT) g = 9.80665 m s-2 P=? h = 2300 m n = 1 mol M = 0.032 kg mol-1 T = 273,15 K 164
  • 51.
    V = 22,414l Po = 101,32 kPa en caso de que no sea a CN, Po = nRT/V reemplazando en la ecuación P = Poe-(Mgh/RT) P = 101.32 kPa exp[(-0.032 kg mol-1 x 9.80665 m s-2 x2300 m) /(8.314 kPa x 273.15 K) ] = 101.32 kPa exp(-0.3176) = 101.32 kPa x 0.728 = 73.75 kPa 5.27 Un tanque de acero de 10 L se diseñó para resistir una presión de 658.6 kPa. Si contiene un gas a 304 kPa y 298 K y se arroja a un horno a 673 K, suponiendo que el acero no se dilata por la acción del calor, diga si el tanque explotará. Solución: Aquí se comparará la presión de diseño con la presión a la que se somete según las condiciones. Planteamiento del problema, V1 = 10 L Pmax = 658.6 kPa P1 = 304 kPa T1 = 298 K T2 = 673 K V2 = 10 L P2 = ? como el tanque no se dilata el volumen final es el mismo, el caso es de la ley combinada de los gases, V2P2T1 = V1P1T2, que con volumen constante y despejando P2, queda: P2 = P2 = P1 T2 T1 reemplazando valores, 304 kPa x 673 K = 686.5 kPa 298 K 165
  • 52.
    como la presiónfinal calculada, 686.5 kPa, es mayor que la presión de diseño, 658.6 kPa, el tanque explotará. 5.29 El O2(g) se produce por descomposición del KClO3. Otro producto de la reacción es KCl. Cuando 10 g de KClO3 se descomponen a 303 K y 90 kPa, qué volumen de O2 se recogen? Solución: Primero que todo hay que conocer la ecuación química que sigue la reacción. La reacción es KClO3 ⇒ O2 + KCl que balanceándola queda, 2 KClO3 ⇒ 3O2 + 2KCl m = 10 g T = 303 K P = 90 kPa se consigue el peso molecular del KClO3, M = 122.6 moles de KClO3 que reaccionan, n = 10/122.6 = 0.082. como dos moles de KClO3 producen 3 moles de O2, entonces 0.082 moles de KClO3 producirán: 3 x 0.082/2 = 0.122 moles de O2, luego aplicando V = nRT/P tenemos, V= 0.122 moles x 8.314 kPa L mol -1 K -1 x 300 K = 3.42 L 90 kPa 166
  • 53.
    5.30 Se haencontrado 0.896 g de un compuesto gaseoso que contiene solamente N2 y O2 ocupa 0.524 L a una presión de 97.33 kPa a una temperatura de 301 K, cuál es el peso molecular del gas y su fórmula molecular? Solución: Planteamiento del problema, m = 0.896 g (N2 y O2) V = 0.524 L P = 97.33 kPa T = 301 K M=? fórmula = ? primero hallamos las moles: n = PV/RT, reemplazando, n= 97.33 kPa x 0.524 L = 0.0204 8.314 kPa mol -1 K -1 x 301 K Como M = m/n , entonces: M= 0.896 = 43.99 g mol -1 0.0204 como el peso atómico del N es 14 y el del O es 16, se busca una combinación de ellos que de aproximadamente 43,99 g mol-1 y esa es 2 átomos de N y 1 de O, luego la fórmula es N2O. 5.31 En una vasija de 8 L se introducen 2 L de N2, 5 L de CO2 y 3 L de H2. Antes de mezclarse cada gas ejercía una presión de 101.32 kPa, si la temperatura es constante calcular a) la presión parcial de cada gas, b) el peso molecular medio de la mezcla y c) el porcentaje en peso de cada gas. Solución: Planteamiento del problema, Vt = 8 L VN2 = 2 L ( M = 28 g/mol) VCO2 = 5 L (M = 44 g/mol) VH2 = 3 L (M = 2 g/mol) P = 101.32 kPa T = constante a) Pi = ? _ b) M = ? c) %i = ? a) Primero vamos a calcular las Pi de cada gas con: 167
  • 54.
    P2 = V1 P2 V2 parael N2: V1 = 2 L P1 = 101.32 kPa V2 = 8 L P2 = ? P2 = 2 L x 101.3 kPa = 25.33 kPa 8L PN2 = 25.33 kPa de la misma forma se calcula para los otros gases: PCO2 = 63.32 kPa PH2 = 38.00 kPa b) para calcular el peso molecular promedio debemos conocer las fracciones molares: Xi = Pi , como PT = 126.65 kPa, luego aplicando para cada componente: PT XN2 25.33 = 0.20 126.5 XCO2 = XH2 = _ como M = ∑ 63.32 = 0.50 126.65 38.00 = 0.30 126.65 XiMi, entonces, _ M = 0.20 x 28 + 0.50 x 0.44 + 0.30 x 2 = 28.2 c) como los % en peso son relativos, podemos suponer que hay una mol de la mezcla, pues la proporción con respecto a la fracción molar es la misma, luego, mN2 = 0.20 x 28 = 5.6 mCO2 = 0.50 x 44 = 22 mH2 = 0.30 x 2 = 0,6 ∑ m i = 5.6 + 22 + 0.6 = 28,2 168
  • 55.
    %Peso(N2) = 5,6x 100/28,2 = 19,86 %Peso(CO2) = 22 x 100/28,2 = 78,01 %Peso(H2) = 0,6 x 100/28,2 = 2,3 5.32 Sabiendo que : U1 = U2 M2 M1 demostrar que t2 = t1 M2 M1 donde U es la velocidad y t tiempo de efusión de un gas. Solución: Tenemos: pero U = U1 = U2 M2 M1 (1) e . Para cada gas tenemos: t U1 = U2 = e1 . t1 (2) e2 . (3) t2 reemplazando (2) y (3) en (1): e1 / t 1 = e2 / t2 M2 e1 t 2 = e 2 t1 M2 M1 (4) de donde: M1 (5) 169
  • 56.
    como las distanciasson iguales, e1 = e2, entonces: M2 t2 = t1 M1 que era lo que queríamos demostrar. 170
  • 57.
    5.12 PROBLEMAS PROPUESTOS 5.1 Lacompresibilidad, que es el cambio de volumen una sustancia en respuesta a un cambio en la presión, mucho mayor para los gases que para los líquidos o os sólidos. Explique la causa. 5.2 La densidad del vapor de agua a 1000C y 101325 Pa de presión es 0.59 g/L, en tanto que el agua líquida, bajo las mismas condiciones, tiene una densidad de 0.99 g/mL. Explique desde un punto de vista molecular por qué el vapor y el líquido difieren tanto en sus densidades. 5.3 Explique por qué la altura del mercurio en un manómetro es independiente del diámetro de la columna. 5.4 a)¿Qué tan alta debe ser una columna de agua para ejercer una presión igual a la de una columna de mercurio que tiene 760 mm de alto? b) ¿Cuál es la presión sobre el cuerpo de un buzo que está a 45 m bajo la superficie del agua? 5.5 Realice las conversiones siguientes: a)0.950atm a kPa; b) 735 mm Hg a atm; e) 670 mm Hg a torr. d) 1.03 atm a mm Hg. 5.6 Lleve a cabo las conversiones siguientes: a) 100.8 kPa a atm;b)0.43º atm a mm Hg; e) 745 torr a mm Hg; .d)23.0 mm Hg a atm. 5.7 a)Si se informa que el clima en Chicago es 890F con una presión barométrica de 29.32 puIg. Hg, ¿cuál es la temperatura en grados celsius y la presión en kilopascales? b)Si el informe del clima para Montreal dice que la temperatura es l50C y la presión barométrica es 99.8 kPa,. ¿cuál es la temperatura en grados Fahrenheit y cuál la presión en pulgadas de mercurio? 5.8 a)En Titán, el mayor de los satélites de Saturno, la presión atmosférica es 1.6 veces mayor que la atmósfera terrestre. ¿cuál es la presión atmosférica en Titán en kilopascales? b) En Venus, la presión atmosférica en la superficie es aproximadamente de 90 atmósferas terrestres. ¿Cuál es la presión atmosférica venusina en Kilopascales? 5.9 La aguja de un fonógrafo que descansa sobre un disco tiene una masa efectiva de 2.5 g. El área de la aguja que hace contacto con el disco es 2.7 x 10-2 mm2. ¿Qué presión, en pascales, ejerce la aguja sobre el disco? 5.10 Suponga que una mujer que pesa 75 kg y calza zapatos de tacón alto, pone momentáneamente todo su peso sobre el tacón de un zapato. Si el área del tacón es 1.2 cm2 calcule la presión ejercida sobre la superficie en la que está parada, en kilopascales. 171
  • 58.
    5.11 Un manómetrode tubo abierto que contiene mercurio está conectado a un recipiente con gas. ¿Cuál es la presión del gas confinado en mm de Hg en cada una de las situaciones siguientes: a) El mercurio en la rama conectada al gas es 4.5 cm superior a la rama abierta a la presión atmosférica, que es 96765.4 Pa b) El mercurio de la rama conectada al gas está 3.8 cm abajo del mercurio en la rama abierta a la atmósfera; la presión atmosférica es 101325 Pa. 5.12 a)¿Qué queremos decir cuando hablamos de dos cantidades que son directamente proporcionales?, ¿inversamente proporcionales? b) ¿El volumen de un gas es directa o inversamente proporcional a la presión?, ¿a la temperatura absoluta?, ¿a la cantidad de gas? 5.13- Escriba una ecuación o expresión de proporcionalidad que indique cada una de las siguientes afirmaciones: a) Para una cantidad de gas a temperatura constante, el producto de la presión multiplicada por el volumen es constante. b) Para una temperatura y una presión determinada, el volumen de un gas es proporcional al número de moles existentes de gas. c) Para un volumen y una cantidad de gas determinados, la presión es proporcional a la temperatura absoluta. d) Para una cantidad determinada de gas, el producto de la presión y el volumen son proporcionales a la temperatura absoluta. 10.15 a) Una cantidad determinada de gas se comprime a temperatura constante de un volumen de 638 mL a 208 mL. Si la presión inicial era 69594.3 Pa, ¿cuál es la presión final? b) ¿Cuál es el volumen final de un gas si una muestra de 1.50L se calienta de 220C a 4500C a presión constante? 5.14 a) Una cantidad fija de gas se expande a temperatura constante de 2.45 L a 5.38 L. Si la presión original era de 0.950 atm, ¿cuál es la presión final? b) Originalmente un gas a 1 50C y con un volumen de 282 mL reduce su volumen a 82.0 mL, mientras se mantiene constante la presión. ¿Cuál es su temperatura final? 5.15 a) ¿Qué condiciones se indican con la abreviatura TPE? b) ¿Qué es volumen molar de un gas ideal a TPE? 5.16 Un anuncio de neón está hecho con un tubo cuyo diámetro interno es 2.0 cm y cuya longitud es 4.0 m.. Si el anuncio contiene neón a una presión de 200 Pa a 350C, ¿Cuántos gramos de neón hay en ese anuncio? (El volumen de un cilindro se obtiene con la fórmula π r2h.) 5.17 A 360C y 200 kPa de presión, un gas ocupa un volumen de 0.600 L ¿Cuántos litros ocupará a) a 00C y 50 kPa. b) a TPE?. 5.18 El cloro se usa ampliamente para purificar el agua municipal y para tratar el agua de las albercas. Suponga que el volumen de una muestra en particular de Cl2 es 6.18 L a 98659 Pa y 330C. a) ¿Que volumen ocupará el Cl2 a 1070C y 90659 Pa? b) ¿Qué volumen ocupará el C12 a TPE? c) ¿,A qué temperatura el volumen será 3.00 L, si la presión es 106658 Pa? d) ¿A qué presión el volumen será 5.00 L? 172
  • 59.
    5.19 Muchos gasesse envasan en recipientes a alta presión. Considere un tanque de acero cuyo volumen es 42.0 L y contiene O2 gaseoso a una presión de 18 000 kPa a 230C. a) ¿Qué masa de O2 contiene? b) ¿Qué volumen ocupará el gas a TPE? 5.20 El flúor gaseoso, peligrosamente reactivo, se envasa en cilindros de acero de 30.0 L de capacidad a una presión de 50 Mpa a 260C. a) ¿Qué masa de F2 está contenida en un cilindro? b) ¿qué volumen ocuparía el gas a TPE?. 5.21 En un experimento reportado recientemente en la literatura científica, se hicieron correr cucarachas machos a velocidades diferentes sobre un pequeño molino de ruedas mientras se medía su consumo de oxígeno. La cucaracha promedio, corriendo a 0.08 km/hr, consumirá 0.8 mL de O2 a una presión de 101.3 kPa y 240C, por gramo de peso del insecto por hora. a) ¿Cuántas moles de O2 consume en 1 hr, una cucaracha de 5.2 g que se mueva a esta velocidad? b) Esta misma cucaracha es capturada por un niño y colocada en un tarro de fruta de 1.136 litros con la tapa cerrada. Considerando el mismo nivel de actividad que se observó en la investigación, ¿la cucaracha consumirá más del 20% del O2 disponible en un periodo de 48 hr? (El aire es 21% moles 02.) 5.22 a) Calcularla densidad del CO2 gaseoso a 101325 Pa a 220C. b) Calcule el peso molecular de un gas si 0.8 35 g ocupan 800 mL a 95 kPa y 340C. 5.23 a) Calcule la densidad del trióxido de azufre gaseoso a 135 kPa y 250C. b)Calcule el peso molecular de un gas si tiene una densidad de 2.18 g/L a 660C y 90 kPa. 5.24 El cianógeno, un gas muy tóxico, está compuesto de 46.2% de C y 53.8% de N en masa. A 250C y 100 kPa, 1.05 g de cianógeno ocupan 0.500 L. ¿Cuál es la fórmula molecular del cianógeno? 5.25 El ciclopropano, un gas que se utiliza con oxígeno como anestésico general, está compuesto de 85.7% de C y 14.3% de H en masa. Si 1.56 g de ciclopropano ocupa un volumen de l.00L a 100 kPa y a 500C, ¿cuál es la fórmula molecular del ciclopropano? 5.26 En la técnica del bulbo de Dumas para la determinación del peso molecular de un líquido desconocido, se vaporiza la muestra del liquido que hierve debajo de los 1000C en un baño de agua hirviente y se determina el peso del vapor requerido para llenar el bulbo. A partir de los datos siguientes, calcule el peso molecular del líquido desconocido: el peso del vapor desconocido, l.012 g; el volumen del bulbo, 354 cm3 la presión, 99 kPa; la temperatura, 990C . 5.27 El peso molecular de una sustancia volátil se determiné por el método del bulbo de Dumas. El vapor desconocido tuvo un peso de 0.846 g; el volumen del bulbo fue de 354 cm3, la presión de 100258 Pa, la temperatura de 1000C. Calcule el peso molecular del vapor desconocido. 173
  • 60.
    5.28 Una mezclaque contiene 0.125 moles de CH4(g), 0.250 moles de C2H6(g), y 0.075 moles de O2(g) está confinada en un vaso de 2.00 L a 220C. a) Calcular la presión parcial del CH4 en la mezcla. b) Calcular la presión total de la mezcla. 5.29 Una mezcla gaseosa que contiene 5.00g de N2, 2.00g de 02, y 1.20 g de Ar está confinada en un volumen de 500 mL a 270C. a) Calcular la presión parcial del O2 en la mezcla. b) Calcular la presión total de la mezcla. 5.30 Una mezcla de gases contiene 0.45 moles de N2, 0.25 moles de 02 y 0.10 moles de CO2. Si la presión total de una mezcla es 1.32 kPa, ¿cuál es la presión parcial de cada componente? 5.31 Una mezcla de gases contiene 3.50g de N2, 1.30g deH2, y 5.27g de NH3. Si la presión total de la mezcla es 500 kPa, ¿cuál es la presión parcial de cada uno de los componentes? 5.32 Una cantidad de N2 gaseoso se mantenía originalmente a 460 kPa de presión en un recipiente de 1.00 L a 260C. Se transfiere a un recipiente de 10.0 L a 200C. Se transfiere al mismo recipiente una cantidad de O2 gaseoso que originalmente estaba a 355 kPa y 260C en un recipiente de 5.00 L. ¿Cuál es la presión total en el nuevo recipiente? 5.33 El hidruro de calcio, CaH2, reacciona con el agua para formar hidrógeno gaseoso: CaH2(s) + 2H2O(1) ⇒ Ca(OH)2(ac) + 2H2(g) Algunas veces se utiliza esta reacción para inflar balsas salvavidas, globos climatológicos y dispositivos semejantes, en donde se desea un medio sencillo y compacto para generar H2 ¿Cuántos gramos de CaH2 son necesarios para generar 10.0 L de H2 gaseoso si la presión parcial de H2 es 98.5 kPa a 230C? 5.33 La degradación metabólica de la glucosa C6H12O6 en nuestros organismos produce CO2, el cual es expelido por nuestros pulmones como gas: C6H12O6(s) + 6O2(g) ⇒ 6CO2(g) + 6H2O(l) Calcular el volumen de CO2 seco, producido a la temperatura corporal (370C) y a 100 kPa, cuando se consumen 5.00g de glucosa en esta reacción. 5.34 El sulfato de amonio, un fertilizante importante, se puede preparar por la reacción del amoniaco con el ácido sulfúrico: 2NH3(g) + H2SO4(ac) ⇒ (NH4)2SO4(ac) Calcular el volumen de NH3(g) necesario a 200C y 250 kPa para que reaccione con 150 kg de H2SO4. 174
  • 61.
    5.35 El hidrógeno gaseosose produce cuando el cinc reacciona con el ácido sulfúrico: Zn(s) + H2S04(ac) ⇒ ZnSO4(ac) + H2(g) Si se recogieron 124 mL de H2 húmedo, sobre agua a 240C y a la presión barométrica de 97 kPa, ¿cuántos gramos de Zn se han consumido? 5.36 ¿Por qué en las leyes de los gases no se considera el tamaño o la identidad de las moléculas de un gas? 5.37 Utilice la teoría cinética molecular para explicar por qué a)los gases tienen densidad baja; b)los gases ejercen una presión sobre las superficies con las que entran en contacto; c)los gases son muy compresibles; d) Los gases toman la forma del recipiente que los contiene; e) los gases se pueden mezclar en cualquier proporción para formar una mezcla homogénea. 5.38 Un gas de peso molecular desconocido se dejó efundir a través de una pequeña abertura bajo condiciones de presión constante. Se requieren 72 s para que efunda 1 L del gas. Bajo condiciones experimentales idénticas, se requirieron 28 s para efundir 1 L de O2 gaseoso. Calcular el peso molecular del gas desconocido. 5.39 El sulfuro de arsénico(lII) se sublima con facilidad, aun por abajo de su punto de fusión a 320°C. Se encuentra que las moléculas de la fase de vapor efunden a través de un orificio diminuto a 0.28 veces la velocidad de los átomos de Ar bajo las mismas condiciones de temperatura y presión. ¿Cuál es la fórmula molecular del sulfuro de arsénico(III) en la fase gaseosa? 5.40 a) ¿Bajo qué condiciones experimentales de temperatura y presión los gases se comportan en forma ideal? b) ¿Cuáles son las dos propiedades características de las moléculas gaseosas que ocasionan que se comporten de modo no ideal? 5.41 El planeta Júpiter tiene una masa de 318 veces mayor que la de la Tierra, y la temperatura de su superficie es de 140 K. Mercurio tiene una masa 0.05 veces la de la Tierra, y la temperatura de su superficie es de 700 K. ¿En qué planeta es más fácil que la atmósfera obedezca las leyes de los gases ideales? Explique. 5.42 Explique cómo se puede utilizar la función para demostrar el comportamiento no ideal de lo a presiones elevadas. 5.43 Explique brevemente el significado físico constantes a y b en la ecuación de van der Waals. 175
  • 62.
    5.44 Cuál esla diferencia de presión en una vasija cilíndrica de 50 cm de profundidad cuando se le llena totalmente a 298 K con a) mercurio y b) con agua? La densidad del mercurio a 298 K es 13,53 g/cm3 y del agua 0,997 g/cm3. 5.45 Un gas ocupa 1,75 L a una presión de 202,65 kPa. A temperatura constante, cuál será la presión en torr del gas si se le permite expandirse en un recipiente de 3,0 L? Nota: 1 atm = 760 torr. 5.46 Calcular la presión de un gas confinado en un recipiente de vidrio unido a un manómetro, si la presión externa es de 750 mm Hg y en el brazo abierto el nivel es más alto en 23 mm Hg: a) En mm de Hg, b) En Atm, c) En kPa. 5.45 Si 0,34 g de un gas ocupa 0,23 L a 298 K y 101,325 kPa. Calcule la densidad del gas en g/mL a CN y presión normales. 4.46 Se ha encontrado que 23 g de un compuesto gaseoso que contiene solamente nitrógeno y oxígeno ocupa 2 L a una presión de 567,7 kPa y a una temperatura de 273 K .Cuál es el peso molecular y la fórmula molecular del gas?. 5.47 Un gas ideal a la presión de 101,32 kPa estaba dentro de una ampolla de volumen desconocido V. Se abrió una llave, lo cual permitió que el gas se expandiese hacia una ampolla previamente evacuada, cuyo volumen se sabía que era exactamente 0,500 L. Cuando se hubo establecido el equilibrio entre las ampollas se notó que la temperatura no había cambiado y que la presión del gas era 70,7 kPa. Cuál es el volumen desconocido V de la primera ampolla?. 5.48 a) Utilizando los datos que se dan abajo para el O2 y CO2 a 273,15 K demuestre gráficamente si cumplió la ley de gases ideales: explique. CO2 O2 ________________ _________________ P(kPa) V(L) P(kPa) V(L) 101,325 22,3939 101,325 22,2643 75,994 29,8649 67,550 33,4720 50,662 44,8090 50,662 44,6794 25,331 89,6384 33,775 67,0967 b) Que % de error se cometió en el volumen del CO2 a las CN al emplear el valor ideal de PV e ignorar las imperfecciones del gas? 5.49 La bacteria Azotobacter chroococcum cuando crece aeróbicamente en un medio sin nitrógeno obtiene todo su nitrógeno por "fijación" del N2 atmosférico. Qué volumen de aire a la presión atmosférica estándar y 303 K suplirá el requerimiento de nitrógeno de 1 L de un cultivo de esta bacteria, la cual crece hasta una densidad de 0,84 mg de peso seco por cm3 de organismos, teniendo un contenido de nitrógeno del 7% del peso seco? (El aire contiene el 78% en volumen de N2). 176
  • 63.
    5.50 Para prepararácido tetrahidrofólico (PtH4G) se hidrogena catalíticamente el ácido pteroilglutámico (PtG) a temperatura ambiente, es decir, PtG + 2H2 ⇒ PtH4G Una muestra de 5 g de PtG de pureza desconocida se trató de este modo y absorbió 0,507 l de H2 a 290 K y 102,3 kPa. Considerando que las impurezas no reaccionan con el H2, calcular el % de pureza aproximado de la muestra. (Peso molecular del PtG 441 g/mol). 5.51 Un cultivo anaeróbico de una bacteria aislada de aguas residuales, liberaba un gas inflamable durante el crecimiento. Una muestra pura de este gas tardó 491 s en fluir por un orificio diminuto. Bajo idénticas condiciones de temperatura y presión, un volumen igual de nitrógeno tardó en fluir 650 s por el mismo orificio. Calcular el peso molecular del gas inflamable y sugerir cuál puede ser si contiene C e H. 5.52 Se abre la válvula que hay entre un tanque de 5 L donde la presión del gas es 911,82 kPa, y un tanque de 10 L que contiene gas a 607,95 kPa, y se establece el equilibrio de la presión a una temperatura constante. Cuál es la presión final en los dos tanques?. 5.53 Cuál es el peso M de un gas desconocido si se efunde a 0,876 s más rápido que el N2 (g)? 5.54 Se hace burbujear una muestra de gas nitrógeno a través de agua líquida a 298 K, y luego se recoge en un volumen de 750 cm3. Se encuentra que la presión total del gas, que está saturado con vapor de agua, es 98,6586 kPa a 298 K. Cuántos moles de nitrógeno hay en la muestra? 5.55 El volumen de una muestra de gas es 750 mL a 75 °C y 0,76 kPa . A qué temperatura (en °C) ocupará la muestra 1.000 L bajo una presión de 101,325 kPa?. 5.56 Una mezcla de 0,300 g de He(g) y 0,505 g de Ne(g) ejerce una presión de 25,33 kPa. Cuál es la presión parcial de cada gas?. 5.57 La presión parcial de CO(g) es 20,26 kPa y de CO2(g) es de 60,8 kPa en una mezcla de dos gases. a) Cuál es la fracción molar de cada gas en la mezcla? b) Si la mezcla ocupa 11,6 l a 323 K .Cuál es el número total de moles presentes en la mezcla? c) Cuántos gramos de cada gas están presentes en la mezcla?. 5.58 Se tiene 3 L de Ne a 607,95 kPa, 4 L de O2 a 303,97 kPa y 6 L de CO2 a 101,325 kPa. Estos tres gases se transfieren completamente a un tanque de 18 L. La temperatura se mantiene a 303 K antes y después de la mezcla. Calcular la presión total y las fracciones molares después de la mezcla. 5.59 El volumen ocupado por 0,09 g de H2 es de 2,5 L, cuando se ha recogido sobre agua a 298 K cuál es la presión total?. 177
  • 64.
    5.60 Resolver lossiguientes problemas: a) Una mezcla de 35 g de oxígeno (M = 32 g/mol) y 20 g de helio (M = 4 g/mol) tiene una presión total de 81,6 kPa. ¿Cuales serán las fracciones molares y las presiones parciales de cada gas?. b) En un recipiente de 27 L se mezclan 40 g de dióxido de carbono (M = 44 g/mol) y 82 g de monóxido de carbono (M = 28 g/mol) a una temperatura de 313 K . ¿Cuáles son las presiones parciales y las fracciones molares de cada gas?. c) En una mezcla gaseosa la presión parcial del monóxido de carbono (M = 28 g/mol) es 20,265 kPa y la del dióxido de carbono (M = 44 g/mol) es 60,795 kPa. Calcular las fracciones molares y las presiones parciales de cada gas. d) Calcular el volumen que ocuparían 1,5 moles de (C2H5)2S a 378 K y 75 kPa sabiendo que: a = 1.900 kPa L mol-2 b = 0,1214 L mol-1 Tc = 557 K Pc = 3.960 kPa 1. Utilizando la ecuación de van der Waals 2. Utilizando la ecuación de Berthelot 3. Utilizando la ecuación general de los gases. e) Usando la ecuación de Berthelot calcule el peso molecular del cloruro de metilo, sabiendo que: Tc = 416,2 K Pc = 6.667,2 kPa ρ = 2,3076 g L-1 P = 101,325 kPa T = 273,15 K 178