SOLUCION DE PROBLEMAS




   Por: María José Córdoba Acosta
      Lic. Carmen Charris Reyes
Guías De Trabajo Física Grado 11
Autor: Lic. Pedro Montero De La Cruz

         Problemas de Cuerdas Sonoras
         Problemas de Tubos Sonoros
         Problemas de Efecto Doppler
PROBLEMAS DE CUERDAS SONORAS
          (Pagina 22)
1. Una cuerda de guitarra tiene 60 cm de longitud y
una masa total de 0,05 kg. Si se tensiona mediante
una fuerza de 20 newton, calcular la frecuencia
fundamental y la del tercer armónico.
Datos.
l = 60 cm
m= 0,05 kg
T= 20 N
 f=?
 f 3=?
f=
         U=        U= 0,0833
U=
                   kg/m

f=



f=   .        f=         f f=   12, 9125Seg-1 / seg
2. Una cuerda mide 33 cm y tiene una densidad
lineal de 8× 10 -4 gms/cm.
¿ Cual debe ser la tensión a la que debe someterse
para que la frecuencia de su sonido fundamental
sea de 445 v/seg?
     Datos.
   l = 33 cm
   u= 8× 10-4 gm/cm
   T= ?
   f= 445 v/seg
f=                   4   =
                             T= 4M


T= 4,8×10 gm/cm . (33)2.(445)


 T= 690077, 52 INA
3. Una cuerda de 45 cm de longitud y de 0,12 gms/ cm
de densidad lineal es sometida a una tensión de 3×10-8
dinas. Calcular la frecuencia fundamental y la frecuencia
de cuarto armónico.
    Datos
   l= 45 cm
   u= 0,12 gm/cm
   T= 3× 10-8 dinas
   f f= ?
    f4= ?
f=              f=   f=


f= 0,00002168

f= 0,00008672
4. Una cuerda vibra en su primer armónico
con una frecuencia de 24 vib/seg. Calcular la
frecuencia en el tercer armónico, si se
reduce la longitud a la mitad y se duplica la
tensión.
 Datos
   f = 24 v/ seg
  T= 2
  l =1/2
f=
                       f=
                                      f= 2.4


Nueva frecuencia: f= 8,24 v/ seg = 192 v/seg

 f3=   3 . 192 v/seg        f3= 570
5. Una cuerda de 120 cm de longitud
produce un sonido cuya frecuencia es de
250 v/seg. Si la longitud de la cuerda se
reduce a su tercera parte, ¿Que variación
experimenta la frecuencia?
 Datos:
 l= 120 cm
  f= 250 v/ seg
Como la frecuencia es inversamente
proporcional a la longitud, si reducimos la
longitud a su tercera parte, la frecuencia
aumenta 3 veces
                            f= 750 v/ seg
PROBLEMAS DE TUBOS SONOROS
           (Pagina 23)
1. Determina la frecuencia y la longitud de onda
del sonido fundamental o primer armónico dado
por un tubo cerrado de 30 cm de largo (v= 340
m/ seg)
Datos:
  f= ?
 l= 30 cm
 V= 340 m/ seg
f=               f =   .340 m/seg

                         f= 283,3 v/
                            seg
     =   v f
         /

     =




     =   1,2 m
2. ¿ Que longitud debe tener un tubo abierto para que la frecuencia
   de su segundo armónico sea de 528 v / seg? ((( v= 340 m / seg
   )))
Datos


l= ?
                                l=
f2= 528 v/ seg

f=


f= nv / 2 f                       l= 0,6439 m
3. Determinar la frecuencia de los tres
Primeros armónicos del sonido dado por:
a) Un tubo cerrado
b) Un tubo abierto
Si la longitud del tubo es de 67 cm y la
temperatura en 15 º C
• Datos:
  l= 67 cm
  t = 15ºC
  v= 331+ 0,6 t
  v= 331+ 0,6 . 15   v= 340 m/ seg
Tubos Cerrados
• f=

                             f1   = 507, 4626 v/seg
   f1=


  f2= 2 . 507, 4626 v/ seg            f2=1 014,9253 v / seg

  f3= 3. 507, 4626 v/ seg           f3= 1. 522, 3878 v/ seg
Tubos Abiertos
• fn=        v      f1=              = 126, 8656 v/ seg



• f2 =   =                f2=   380, 597 v / seg




• f3=            m / seg              f3= 634, 3283 v / seg
4. Un tubo cerrado de órgano de una nota cuya
frecuencia es de 396 v / seg. ¿ Cual debe ser la
  longitud
del tubo? (v= 340 m/ seg).
Datos:
 f= 396 v/ seg         l=
 l= ?
                                   l=

                            l= 0, 2146
PROBLEMAS DE EFECTO DOPPLER
           (Pagina 23)
1. Una locomotora emite un sonido de
frecuencia igual a 200 v / seg. Y marcha a
Una velocidad de 80 m/ seg. Si un
observador marcha a la velocidad de
30m/seg, calcular la frecuencia de sonido
percibido por el observador si la fuente y el
observador :
• a) Se acercan entre si
• b) Se alejan uno del otro
Se acercan entre si
f0= 328 vib/s
f= 200 vib/s    f0 > f


v0= 30 m/s      f0 = f
v0= 80 m/s      f0 = 200 v/s

                  f0 = 200 vib/s . 1, 63

                     f0= 122 vib / s
                     f0= 328 vib / s
Se alejan uno del otro
f0= 122 vib/s
f= 200 vib/s    f0 < f
v0= 30 m/s      f0 = f
v0= 80 m/s      f0 = 200 v/s


                f0 = 200 vib/s . 0, 61
                f0= 200 vib/s .
                f0= 122 vib/s
2. Una persona percibe que la frecuencia
del sonido mitido por un tren es de 350 V/
seg. Cuando se acerca el tren y de 315 vib
/ seg, cuando se aleja. ¿ Cual es la
velocidad del tren ?
Datos:
f= 350 v / seg
f= 315 v / seg
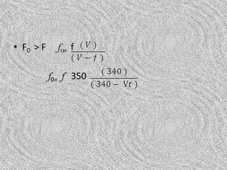
• F0 > F     f0= f

           f0= f 350
F0 < F     F0 = F                           F0 = 315


350                 =   315

                    = 1, 11


                    =   377, 7 + 1, 11 Vt      1, 11 Vt – Vf = 340–377,77


      0, 11 Vf = -37, 777            Vf = 340, 33 m / seg
Solucion de problemas

Solucion de problemas

  • 1.
    SOLUCION DE PROBLEMAS Por: María José Córdoba Acosta Lic. Carmen Charris Reyes
  • 2.
    Guías De TrabajoFísica Grado 11 Autor: Lic. Pedro Montero De La Cruz  Problemas de Cuerdas Sonoras  Problemas de Tubos Sonoros  Problemas de Efecto Doppler
  • 3.
    PROBLEMAS DE CUERDASSONORAS (Pagina 22) 1. Una cuerda de guitarra tiene 60 cm de longitud y una masa total de 0,05 kg. Si se tensiona mediante una fuerza de 20 newton, calcular la frecuencia fundamental y la del tercer armónico. Datos. l = 60 cm m= 0,05 kg T= 20 N f=? f 3=?
  • 4.
    f= U= U= 0,0833 U= kg/m f= f= . f= f f= 12, 9125Seg-1 / seg
  • 5.
    2. Una cuerdamide 33 cm y tiene una densidad lineal de 8× 10 -4 gms/cm. ¿ Cual debe ser la tensión a la que debe someterse para que la frecuencia de su sonido fundamental sea de 445 v/seg? Datos. l = 33 cm u= 8× 10-4 gm/cm T= ? f= 445 v/seg
  • 6.
    f= 4 = T= 4M T= 4,8×10 gm/cm . (33)2.(445) T= 690077, 52 INA
  • 7.
    3. Una cuerdade 45 cm de longitud y de 0,12 gms/ cm de densidad lineal es sometida a una tensión de 3×10-8 dinas. Calcular la frecuencia fundamental y la frecuencia de cuarto armónico. Datos l= 45 cm u= 0,12 gm/cm T= 3× 10-8 dinas f f= ? f4= ?
  • 8.
    f= f= f= f= 0,00002168 f= 0,00008672
  • 9.
    4. Una cuerdavibra en su primer armónico con una frecuencia de 24 vib/seg. Calcular la frecuencia en el tercer armónico, si se reduce la longitud a la mitad y se duplica la tensión. Datos f = 24 v/ seg T= 2 l =1/2
  • 10.
    f= f= f= 2.4 Nueva frecuencia: f= 8,24 v/ seg = 192 v/seg f3= 3 . 192 v/seg f3= 570
  • 11.
    5. Una cuerdade 120 cm de longitud produce un sonido cuya frecuencia es de 250 v/seg. Si la longitud de la cuerda se reduce a su tercera parte, ¿Que variación experimenta la frecuencia? Datos: l= 120 cm f= 250 v/ seg
  • 12.
    Como la frecuenciaes inversamente proporcional a la longitud, si reducimos la longitud a su tercera parte, la frecuencia aumenta 3 veces f= 750 v/ seg
  • 13.
    PROBLEMAS DE TUBOSSONOROS (Pagina 23) 1. Determina la frecuencia y la longitud de onda del sonido fundamental o primer armónico dado por un tubo cerrado de 30 cm de largo (v= 340 m/ seg) Datos: f= ? l= 30 cm V= 340 m/ seg
  • 14.
    f= f = .340 m/seg f= 283,3 v/ seg = v f / = = 1,2 m
  • 15.
    2. ¿ Quelongitud debe tener un tubo abierto para que la frecuencia de su segundo armónico sea de 528 v / seg? ((( v= 340 m / seg ))) Datos l= ? l= f2= 528 v/ seg f= f= nv / 2 f l= 0,6439 m
  • 16.
    3. Determinar lafrecuencia de los tres Primeros armónicos del sonido dado por: a) Un tubo cerrado b) Un tubo abierto Si la longitud del tubo es de 67 cm y la temperatura en 15 º C
  • 17.
    • Datos: l= 67 cm t = 15ºC v= 331+ 0,6 t v= 331+ 0,6 . 15 v= 340 m/ seg
  • 18.
    Tubos Cerrados • f= f1 = 507, 4626 v/seg f1= f2= 2 . 507, 4626 v/ seg f2=1 014,9253 v / seg f3= 3. 507, 4626 v/ seg f3= 1. 522, 3878 v/ seg
  • 19.
    Tubos Abiertos • fn= v f1= = 126, 8656 v/ seg • f2 = = f2= 380, 597 v / seg • f3= m / seg f3= 634, 3283 v / seg
  • 20.
    4. Un tubocerrado de órgano de una nota cuya frecuencia es de 396 v / seg. ¿ Cual debe ser la longitud del tubo? (v= 340 m/ seg). Datos: f= 396 v/ seg l= l= ? l= l= 0, 2146
  • 21.
    PROBLEMAS DE EFECTODOPPLER (Pagina 23) 1. Una locomotora emite un sonido de frecuencia igual a 200 v / seg. Y marcha a Una velocidad de 80 m/ seg. Si un observador marcha a la velocidad de 30m/seg, calcular la frecuencia de sonido percibido por el observador si la fuente y el observador : • a) Se acercan entre si • b) Se alejan uno del otro
  • 22.
    Se acercan entresi f0= 328 vib/s f= 200 vib/s f0 > f v0= 30 m/s f0 = f v0= 80 m/s f0 = 200 v/s f0 = 200 vib/s . 1, 63 f0= 122 vib / s f0= 328 vib / s
  • 23.
    Se alejan unodel otro f0= 122 vib/s f= 200 vib/s f0 < f v0= 30 m/s f0 = f v0= 80 m/s f0 = 200 v/s f0 = 200 vib/s . 0, 61 f0= 200 vib/s . f0= 122 vib/s
  • 24.
    2. Una personapercibe que la frecuencia del sonido mitido por un tren es de 350 V/ seg. Cuando se acerca el tren y de 315 vib / seg, cuando se aleja. ¿ Cual es la velocidad del tren ? Datos: f= 350 v / seg f= 315 v / seg
  • 25.
    • F0 >F f0= f f0= f 350
  • 26.
    F0 < F F0 = F F0 = 315 350 = 315 = 1, 11 = 377, 7 + 1, 11 Vt 1, 11 Vt – Vf = 340–377,77 0, 11 Vf = -37, 777 Vf = 340, 33 m / seg