Tratamiento Quirúrgico del
Hepatocarcinoma
Dr. Carlos Flórez Zorrilla
Cirujano Hepatobiliar y Trasplante Hepático
Responsable de Trasplante Hepático
IV Congreso Asociación Mexicana HepatoPancreatoBiliar (AMHPB)
Cancún, Q.Roo del 7 al 9 de diciembre de 2016
Estimated number of prevalence cases (1-year), both sexes, liver cancer, worldwide in 2012
Mortality from Liver cancer
Mexico
Hepatocarcinoma
• Responsable de alrededor de 1 millón de fallecimientos
• 6ª neoplasia maligna más común
• 3ª causa de mortalidad por neoplasia maligna
• 4ª y 3ª causa de mortalidad en hombres y mujeres
• 80% en cirróticos
Journal of Hepatology 2012 vol. 56 | 908–943
Barcelona Clinic Liver Cancer (BCLC)
CHC
Estadío D
PST >2, Child-Pugh C,
Okuda 3
Estadío A-C
PST 0-2, Child-Pugh A-B,
Okuda 1-2
Estadío 0
PST 0, Child-Pugh A,
Okuda 1
Etapa muy
Temprana (0)
Unico < 2cm
Carcinoma in situ
Etapa
Temprana (A)
Unico o 3
nódulos < 3cm,
PS (0)
Etapa
Intermedia(B)
Multinodular,
PS (0)
Etapa
Avanzada (C)
Invasión Portal
N1, M1, PS 1-2
Etapa
Terminal (D)
Tx Curativo 30% Sobrevida 5 años (40-70%) SM 60m 20% SM 20m (14-45)
Tx Paliativo
Resección Trasplante RFA
Quimio-
Embolización/
Ytrio 90
Sorafenib
Unico 3 nódulos,<3 cm
Presión portal/bilirrubina
Enf. asociadas
Incrementada
Normal No Si
10% SM <3m40% SM 11m (6-14)
Japanese Liver Cancer Group
APASL 2009
Equipo multidisciplinario
Resección Hepática
• Primera línea de tratamiento en lesiones
únicas y función hepática conservada:
Bilirrubina normal con gradiente presión
venosa hepática ≤ 10 mmHg ó plaquetas ≥
100,000 (Evidencia 2A; recomendación 1B)
• 15 al 30% resecables al diagnóstico
• Lesiones multifocales no candidatos a
Trasplante se deberá comparar con
tratamientos loco regionales
• Mayor recurrencia que Trasplante Hepático
Procedimientos Ablativos
• Inyección percutánea de etanol (PEI)
• Radiofrecuencia
• Láser
• Crioablación
• Microondas
• “Electroporación”
TH y Carcinoma Hepatocelular
Criterios de Milán
• Candidatos para trasplante
• Tumor único < 5 cm
• 3 nódulos c/u < 3 cm
• Sin invasión vascular mayor
• Sin diseminación
extrahepática
• Sobrevida libre de
recurrencia a 4 años fue del
92%
TH y Carcinoma Hepatocelular
Criterios Expandidos
Yao y cols. Hepatology 2001, 33: 1394-1403
Criterios de la UCSF
1 lesión ≤ 6.5 cm
2 a 3 lesiones, no > 4.5 cm
Diámetro total ≤ 8 cm
+
Ausencia de invasión vascular macroscópica y
Ausencia de diseminación extrahepática
(Ann Surg 2014;259: 336–345)
• Estudio retrospectivo en 10 centros de alto volumen
• 2,046 pacientes
• Seguimiento 25 meses (1-209)
• Mortalidad a 90 días 2.7%
• Morbilidad 42%
• Sobrevida a 1, 3 y 5 años del 95, 80 y 61% (BCLC O-A)
• Sobrevida libre de enfermedad a 1, 3 y 5 años del 77, 41 y 21% (BCLC O-A)
Resección vs Trasplante
• Sobrevida similar
• Intervalo libre de enfermedad mayor en TH
• Resección limitada a 3 lesiones
• Valoración de reserva hepática por retención de ICG-15
• Resección debe considerarse de 1ª elección en casos
seleccionados
Evaluación preoperatoria
ReseccióndeHCC
Enfermedad hepática
Fibrosis
Inflamación
Esteatosis
Función hepática
ICG R15
< 10%, <14%, <22%
Presión portal
Evaluación indirecta
Evaluación directa
Volumen hepático
Remanente futuro
>40% cirrosis
>30% hepatitis crónica
Fan ST J Hepatobiliary Pancreat Sci 2010
Cauchy et al. Best Pract Res Clin Gastroenterol 2014
HCC temprano (<2cm): Resección o Ablación
Ablación por Radiofrecuencia Resección Hepática
N° de pacientes 218 (5 centros) 132 (2 centros)
Mortalidad Perioperatoria 0% 0.8%
Respuesta completa sostenida 97.2% 100%
Sobrevida general a 5 años 55% 70%
Índice de recurrencia a 5 años 80% 68%
Arii S et al. Hepatology 2000
Roayaie et al. Hepatology 2013
Majno et al. Hepatology 2010
Mazzaferro et al. Semin Liver Dis 2014
La ablación y la resección son comparables en el tratamiento del HCC temprano?
Resección de HCC >5cm
• Embolización de Vena Porta (PVE) si remanente futuro (FLR) <40-50%
• Morbilidad 2.2%, mortalidad 0%
• Regeneración hepática disminuída en cirrosis
• Mortalidad hasta del 10%
• Sobrevida a 5 años 30-35%
• Factores de riesgo que afectan sobrevida
• Cirrosis
• Invasión vascular macroscópica
• Lesiones múltiples Farges et al. Ann Surg 2003
Abulkhir et al. Ann Surg 2008
Cauchy et al. Best Pract Res Clin Gastroenterol 2014
Resección anatómica vs no anatómica
Shidoh et al. J Hepatol 2016
Resección HCC en Hipertensión Portal
• Evaluación de la presión portal
• Directa o indirecta
• Resección mayor (>3 segmentos) se asocia a 50% mortalidad
• Resección menor deben ser cuidadosamente evaluados por su alta
morbilidad y riesgo de falla hepática postoperatoria
Bruix et al. Gastroenterology 1996
Cucchetti et al Ann Surg Oncol 2009
Iranmanesh et al. Al J Hepatol 2014
Transección del parénquima
• Revisión de Cochrane no encontró diferencias entre las técnicas, sin
embargo la Kellyclasia fue el método mas rápido y costo-eficiente
• Depende de la preferencia, habilidad y experiencia del cirujano
Garusamy et al. Cochrane Database Syst Rev 2009
Conclusiones
• El abordaje terapéutico se realiza por un equipo multidisciplinario
• La resección hepática es la primera línea ó como puente a trasplante
(evidencia 2A recomendación 1B)
• Remanente hepático >20% en no cirróticos y >30-40% en cirróticos Child-A
• El trasplante hepático es la primera elección en NO candidatos a resección
y dentro de los criterios de Milán (evidencia 2A recomendación1A)
• Los procedimientos ablativos pueden sustituir a la resección hepática en
tumores < 2 cm
• El criterio de Milán para trasplante es el más recomendado
• “Downstaging” es factible
• En caso de recurrencia aún es posible ofrecer un trasplante hepático
Gracias
HCC (2002-2014)
735 patients
Within Milan (284) Beyond Milan and
LRT (451)
Liver Transplantation
Not considered
for LT (241)
Considered
for LT (210)
* 28 > 80 years
* 24 not surgical candidates
* 23 social contraindications
* 44 major comorbidities
* 72 died (within 6 months)
* 43 lost follow up
* 7 other causes
63
(30%)
Resected
12 (5.7%)
Dropout 135
(64.3%)
Tratamiento del hepatocarcinoma
Tratamiento del hepatocarcinoma

Tratamiento del hepatocarcinoma

  • 1.
    Tratamiento Quirúrgico del Hepatocarcinoma Dr.Carlos Flórez Zorrilla Cirujano Hepatobiliar y Trasplante Hepático Responsable de Trasplante Hepático IV Congreso Asociación Mexicana HepatoPancreatoBiliar (AMHPB) Cancún, Q.Roo del 7 al 9 de diciembre de 2016
  • 2.
    Estimated number ofprevalence cases (1-year), both sexes, liver cancer, worldwide in 2012
  • 3.
    Mortality from Livercancer Mexico
  • 4.
    Hepatocarcinoma • Responsable dealrededor de 1 millón de fallecimientos • 6ª neoplasia maligna más común • 3ª causa de mortalidad por neoplasia maligna • 4ª y 3ª causa de mortalidad en hombres y mujeres • 80% en cirróticos
  • 5.
    Journal of Hepatology2012 vol. 56 | 908–943
  • 9.
    Barcelona Clinic LiverCancer (BCLC) CHC Estadío D PST >2, Child-Pugh C, Okuda 3 Estadío A-C PST 0-2, Child-Pugh A-B, Okuda 1-2 Estadío 0 PST 0, Child-Pugh A, Okuda 1 Etapa muy Temprana (0) Unico < 2cm Carcinoma in situ Etapa Temprana (A) Unico o 3 nódulos < 3cm, PS (0) Etapa Intermedia(B) Multinodular, PS (0) Etapa Avanzada (C) Invasión Portal N1, M1, PS 1-2 Etapa Terminal (D) Tx Curativo 30% Sobrevida 5 años (40-70%) SM 60m 20% SM 20m (14-45) Tx Paliativo Resección Trasplante RFA Quimio- Embolización/ Ytrio 90 Sorafenib Unico 3 nódulos,<3 cm Presión portal/bilirrubina Enf. asociadas Incrementada Normal No Si 10% SM <3m40% SM 11m (6-14)
  • 10.
  • 11.
  • 12.
  • 13.
    Resección Hepática • Primeralínea de tratamiento en lesiones únicas y función hepática conservada: Bilirrubina normal con gradiente presión venosa hepática ≤ 10 mmHg ó plaquetas ≥ 100,000 (Evidencia 2A; recomendación 1B) • 15 al 30% resecables al diagnóstico • Lesiones multifocales no candidatos a Trasplante se deberá comparar con tratamientos loco regionales • Mayor recurrencia que Trasplante Hepático
  • 15.
    Procedimientos Ablativos • Inyecciónpercutánea de etanol (PEI) • Radiofrecuencia • Láser • Crioablación • Microondas • “Electroporación”
  • 16.
    TH y CarcinomaHepatocelular Criterios de Milán • Candidatos para trasplante • Tumor único < 5 cm • 3 nódulos c/u < 3 cm • Sin invasión vascular mayor • Sin diseminación extrahepática • Sobrevida libre de recurrencia a 4 años fue del 92%
  • 17.
    TH y CarcinomaHepatocelular Criterios Expandidos Yao y cols. Hepatology 2001, 33: 1394-1403 Criterios de la UCSF 1 lesión ≤ 6.5 cm 2 a 3 lesiones, no > 4.5 cm Diámetro total ≤ 8 cm + Ausencia de invasión vascular macroscópica y Ausencia de diseminación extrahepática
  • 19.
  • 23.
    • Estudio retrospectivoen 10 centros de alto volumen • 2,046 pacientes • Seguimiento 25 meses (1-209) • Mortalidad a 90 días 2.7% • Morbilidad 42% • Sobrevida a 1, 3 y 5 años del 95, 80 y 61% (BCLC O-A) • Sobrevida libre de enfermedad a 1, 3 y 5 años del 77, 41 y 21% (BCLC O-A)
  • 25.
    Resección vs Trasplante •Sobrevida similar • Intervalo libre de enfermedad mayor en TH • Resección limitada a 3 lesiones • Valoración de reserva hepática por retención de ICG-15 • Resección debe considerarse de 1ª elección en casos seleccionados
  • 32.
    Evaluación preoperatoria ReseccióndeHCC Enfermedad hepática Fibrosis Inflamación Esteatosis Funciónhepática ICG R15 < 10%, <14%, <22% Presión portal Evaluación indirecta Evaluación directa Volumen hepático Remanente futuro >40% cirrosis >30% hepatitis crónica Fan ST J Hepatobiliary Pancreat Sci 2010 Cauchy et al. Best Pract Res Clin Gastroenterol 2014
  • 33.
    HCC temprano (<2cm):Resección o Ablación Ablación por Radiofrecuencia Resección Hepática N° de pacientes 218 (5 centros) 132 (2 centros) Mortalidad Perioperatoria 0% 0.8% Respuesta completa sostenida 97.2% 100% Sobrevida general a 5 años 55% 70% Índice de recurrencia a 5 años 80% 68% Arii S et al. Hepatology 2000 Roayaie et al. Hepatology 2013 Majno et al. Hepatology 2010 Mazzaferro et al. Semin Liver Dis 2014 La ablación y la resección son comparables en el tratamiento del HCC temprano?
  • 34.
    Resección de HCC>5cm • Embolización de Vena Porta (PVE) si remanente futuro (FLR) <40-50% • Morbilidad 2.2%, mortalidad 0% • Regeneración hepática disminuída en cirrosis • Mortalidad hasta del 10% • Sobrevida a 5 años 30-35% • Factores de riesgo que afectan sobrevida • Cirrosis • Invasión vascular macroscópica • Lesiones múltiples Farges et al. Ann Surg 2003 Abulkhir et al. Ann Surg 2008 Cauchy et al. Best Pract Res Clin Gastroenterol 2014
  • 35.
    Resección anatómica vsno anatómica Shidoh et al. J Hepatol 2016
  • 36.
    Resección HCC enHipertensión Portal • Evaluación de la presión portal • Directa o indirecta • Resección mayor (>3 segmentos) se asocia a 50% mortalidad • Resección menor deben ser cuidadosamente evaluados por su alta morbilidad y riesgo de falla hepática postoperatoria Bruix et al. Gastroenterology 1996 Cucchetti et al Ann Surg Oncol 2009 Iranmanesh et al. Al J Hepatol 2014
  • 37.
    Transección del parénquima •Revisión de Cochrane no encontró diferencias entre las técnicas, sin embargo la Kellyclasia fue el método mas rápido y costo-eficiente • Depende de la preferencia, habilidad y experiencia del cirujano Garusamy et al. Cochrane Database Syst Rev 2009
  • 39.
    Conclusiones • El abordajeterapéutico se realiza por un equipo multidisciplinario • La resección hepática es la primera línea ó como puente a trasplante (evidencia 2A recomendación 1B) • Remanente hepático >20% en no cirróticos y >30-40% en cirróticos Child-A • El trasplante hepático es la primera elección en NO candidatos a resección y dentro de los criterios de Milán (evidencia 2A recomendación1A) • Los procedimientos ablativos pueden sustituir a la resección hepática en tumores < 2 cm • El criterio de Milán para trasplante es el más recomendado • “Downstaging” es factible • En caso de recurrencia aún es posible ofrecer un trasplante hepático
  • 40.
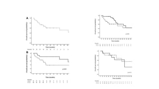
  • 42.
    HCC (2002-2014) 735 patients WithinMilan (284) Beyond Milan and LRT (451) Liver Transplantation Not considered for LT (241) Considered for LT (210) * 28 > 80 years * 24 not surgical candidates * 23 social contraindications * 44 major comorbidities * 72 died (within 6 months) * 43 lost follow up * 7 other causes 63 (30%) Resected 12 (5.7%) Dropout 135 (64.3%)