REPUBLICA BOLIVARIANA DE VENEZUELA 
MINISTERIO DEL PODER POPULAR PARA LA EDUCACION 
INSTITUTO UNIVERSITARIO DE TECNOLOGIA ANTONIO JOSE DE SUCRE 
BARQUISIMETO ESTADO LARA 
INTEGRANTE 
CESAR DIAZ C.I. 21561604 
CARRERA: INFORMATICA 
SEPTIEMBRE 2014
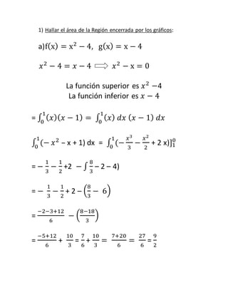
1) Hallar el área de la Región encerrada por los gráficos: 
a) f(x) = x2 − 4, g(x) = x − 4 
푥2 − 4 = 푥 − 4 푥2 − x = 0 
La función superior es 푥2 −4 
La función inferior es 푥 − 4 
1 
0 
1 
0 
= ∫ (푥)(푥 − 1) = ∫ (푥) 푑푥 (푥 − 1) 푑푥 
1 
0 푥2 – x + 1) dx = ∫ (− 
∫ (− 
푥3 
3 
1 
0 − 
푥2 
2 
0 
+ 2 x)]1 
= − 
1 
3 
− 
1 
2 
+2 − ∫ 
8 
3 
– 2 – 4) 
= − 
1 
3 
− 
1 
2 
8 
3 
+ 2 – ( 
− 6) 
= 
−2−3+12 
6 
8−18 
3 
− ( 
) 
= 
−5+12 
6 
+ 
10 
3 
= 
7 
6 
+ 
10 
3 
= 
7+20 
6 
= 
27 
6 
= 
9 
2
푏) 푦 = 푥 3, 푦 = 4푥 
푥 3 = 4x 푥 3 – 4x x (푥 2 − 4) 
푥 3 – 4 x = 0 aplicar Ruffini 
푥 3 + 0푥 2 – 4x + 0 
1 0 – 4 0 
2 2 4 
1 2 0 
–2 – 2 
Raíces (-2, 0,2) 
1 0 
0 
2 푥 3 – 4푥) dx = ∫ 
∫ ( 
푥4 
4 
0 
2 − 
4푥2 
2 
= ∫ (24 
4 
− 
4.22 
2 
) 0 
2 = 
16 
4 
− 
16 
2 
= −4 
∫ ((−2)4 
) 0 
−2 = 
4 
− 
4 (−2)2 
2 
16 
4 
− 
16 
2 
= 4 
∫ (84 
) 2 
−2 – ((−2)4 
4 
− 
4(2)2 
2 
4 
− 
4(−2)2 
2 
) = (16 
4 
− 
16 
2 
− 
16 
4 
+ 
16 
2 
) 
= 4 – 8 + 8 + 8 = + 12 
Rpta = 12 – 4 = 8
C) 푥 = 
12 
푦 
, 푥 = 0, 푦 = 1, 푦 = 푒2 
푒 2 
1 푑푦 
12 
푦 
∫ ( 
) 
푒 
0 푑푦 = 12 ln 푦 
∫ 
12 
푦 
12 ln 푒2 = 2.12 = 24 
Rpta = 24 
D) 푓(푥) = tan 
푥 
2 
, 푒푙 푒푗푒 푥 푦 푙푎푠 푟푒푐푡푎푠 푥 = 0, 푥 = 
1 
2 
휋 
휋 
2 
0 푑푥 = [ln |sec 
∫ (푇푎푛 
푋 
2 
) 
푥 
2 
|] 
휋 
2 
0 
U= Sec 
푥 
2 
푑푥 
= ln 2 – ln|푆푒푐 푥| 
= ln 2 - 0 
= ln 2 
Resultado = ln 2
2) Hallar el volumen del solido de revolución generado por la 
región encerrada por las curvas dadas (utilice el método del 
disco, arandelas y cortezas cilíndricas). 
a) Un arco de y=cos2x, alrededor del eje x 
Δ(푥) = π (푓(푥)2 
Δ V = π (푓(푥))2 Δ푥 
V= π ∫ 푟 푏 2 
푎 푑푥 
V= π ∫(퐶표푠 2푥)2 푑푥 
V= π ∫ 퐶표푠 24 푥2 푑푥 = [ 
π2 
4 
] 
V= 4푥 d푥 
U´ = 4 푑푥 
푈´ 
4 
= d푥 
Resultado = 
휋2 
4
b) 푥 = 4푦, 푥 = √푦 3 , 푎푙푟푒푑푒푑표푟 푑푒 푙푎 푟푒푐푡푎 푥 = 8 
Radio mayor = |4푦 − 8| = 8−4y 
Radio menor = | √푦 − 8 3 | = 8 - √푦 3 
V = π ∫ (8 − 4푦 1 )2 
0 −(8 − √푦 3 ) 
2 
푑푦 
V= π ∫ (64 − 64푦 + 16푦2 ) 1 
0 - (64 – 16 푦 
2 
⁄3 + 푦 
2 
⁄3) 푑푦 
1 
⁄3 = 6푦) 1 
0 푑푦 
V= π ∫ (16푦2 − 64푦 + 6푦 − 푦 
2 
⁄3 + 16푦 
V= π∫ (16푦2 − 64푦 − 3√푦2 + 16 √푦 3 ) 1 
0 푑푦 
V= 휋 ∫ ( 
16푦3 
3 
− 64푦2 
2 
5 
⁄3 
5 
⁄3 
− 푦 
4 
⁄3 
4 
⁄3 
+ 16 푦 
) 1 
0 
V= π ( 
16 
3 
− 32푦2 − 
5 
⁄3 
5 
3푦 
+ 
4 
⁄3 
3 
48푦 
) 1 
0 
V= π ( 
16 
3 
− 32 − 
3 
5 
+ 16) 
80−480−9+240 
π = ( 
15 
) = 
169 
15 
π
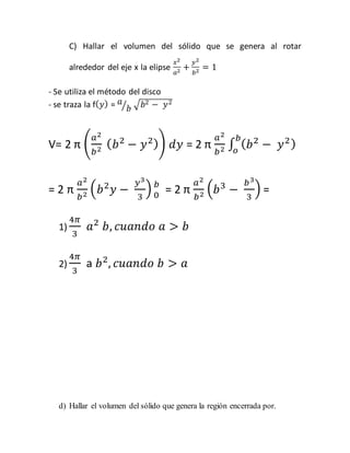
C) Hallar el volumen del sólido que se genera al rotar 
alrededor del eje x la elipse 
푥2 
푎2 + 
푦2 
푏2 = 1 
- Se utiliza el método del disco 
- se traza la f(푦) = 푎 
⁄푏 √푏2 − 푦2 
V= 2 π ( 
푎2 
푏2 (푏2 − 푦2)) 푑푦 = 2 π 
푎2 
푏 
∫ (푏2 − 푦2 ) 푏2 표 
= 2 π 
푎2 
푏2 (푏2푦 − 
푦3 
3 
) 푏 
0 = 2 π 
푎2 
푏2 (푏3 − 
푏3 
3 
) = 
1) 
4휋 
3 
푎2 푏, 푐푢푎푛푑표 푎 > 푏 
2) 
4휋 
3 
a 푏2, 푐푢푎푛푑표 푏 > 푎 
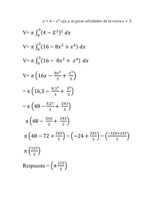
d) Hallar el volumen del sólido que genera la región encerrada por.
푦 = 4 − 푥2 , 푒푗푒 푥, 푎푙 푔푖푟푎푟 푎푙푟푒푑푒푑표푟 푑푒 푙푎 푟푒푐푡푎 푥 = 3 
V= π ∫ (4 − 푋2) 3 2 
0 푑푥 
3 
0 푑푥 
V= π ∫ (16 − 8푥2 + 푥4) 
3 
0 
V= π ∫ (16 − 8푥2 + 푥4) 푑푥 
V= π (16푥 − 
8푥3 
3 
+ 
푥5 
5 
) 
= π (16,3 − 
8.33 
3 
+ 
35 
5 
) 
= π (48 − 
8.27 
3 
+ 
243 
5 
) 
π (48 − 
216 
3 
+ 
243 
5 
) 
π (48 − 72 + 
243 
5 
) = (−24 + 
243 
5 
−120+243 
) = ( 
5 
) 
123 
5 
π ( 
) 
Respuesta = (π 
123 
5 
)
3) Hallar la longitud de la curva dada 
a) 푦 = 푥3 
6 
+ 1 
2푥 
, 푑푒푠푑푒 푥 = 1 ℎ푎푠푡푎 푥 = 3 
푑푥 
푑푦 
푥3 
6 
( 
) 푑푥 = 
3푥3−1 
6 
= 
3푥2 
6 
= 
푥2 
3 
푑푥 
푑푦 
= 
1 
2푦 
= 
1 
2푦2 
푑푥 
푑푦 
푥2 
2 
− 
1 
2푥2 = 
2푦4−2 
4푦2 = 
푦4−1 
2푦2 
3 2 
1 푑푦 = ∫ 
L = ∫ √1 + (푌4 −1 
2푌2 ) 
(√1.푑푥 (2푦2 )−2푦2 +1) 
(2푦2 )2 
3 
1 
∫ (√ 
4푦4 + 푦8 − 2푦2 + 1 
4푦4 ) 
3 
1 
푑푦 = ∫ (√ 
푦8 + 2푦4 + 1 
4푦4 ) 
3 
1 
∫ (√ 
(푦4+1)2 
4푦4 ) 3 
3 
1 푑푦 = ∫ (푦2 
1 푑푦 = ∫ 
푦4+1 
2푦2 
3 
1 
+ 
) 2 
2푦21 
푥3 
6 
3 
1 = ( 
∫ ( 
− 
1 
2푦2 ) 
33 
6 
− 
1 
18 
) = 
27 
6 
− 
1 
18 
= 
9 
2 
− 
1 
18 
54−6 
12 
= 
48 
12 
9 
2 
( 
− 
1 
18 
1 
6 
) − ( 
+ 
1 
2 
) = 
81−1 
18 
1+3 
6 
− ( 
) 
81 
18 
− 
4 
6 
= 
9 
2 
− 
2 
3 
= 
27−4 
6 
= 
23 
6 
= 
14 
3
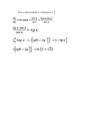
b) 푦 = 푙푛푠푒푐푥, 푑푒푠푑푒 푥 = 0, ℎ푎푠푡푎 푥 = 휋 
3 
푑푥 
푑푦 
= ln secx = 
sec 푥 
푠푒푐 
= 
tan 푥.sec 푥 
sec 푥 
푡푔 푥 .sec 푥 
sec 푥 
= 푡푔 푥 
∫ 푡푎푔 푥 = (푡푔0 − 푡푔 
휋 
3 
) 0 
휋 = 1 – tg x 
휋 
3 
=[푡푔0 − 푡푔 
휋 
3 
] = ln (2 + √3)
Area de una region en el plano

Area de una region en el plano

  • 1.
    REPUBLICA BOLIVARIANA DEVENEZUELA MINISTERIO DEL PODER POPULAR PARA LA EDUCACION INSTITUTO UNIVERSITARIO DE TECNOLOGIA ANTONIO JOSE DE SUCRE BARQUISIMETO ESTADO LARA INTEGRANTE CESAR DIAZ C.I. 21561604 CARRERA: INFORMATICA SEPTIEMBRE 2014
  • 2.
    1) Hallar elárea de la Región encerrada por los gráficos: a) f(x) = x2 − 4, g(x) = x − 4 푥2 − 4 = 푥 − 4 푥2 − x = 0 La función superior es 푥2 −4 La función inferior es 푥 − 4 1 0 1 0 = ∫ (푥)(푥 − 1) = ∫ (푥) 푑푥 (푥 − 1) 푑푥 1 0 푥2 – x + 1) dx = ∫ (− ∫ (− 푥3 3 1 0 − 푥2 2 0 + 2 x)]1 = − 1 3 − 1 2 +2 − ∫ 8 3 – 2 – 4) = − 1 3 − 1 2 8 3 + 2 – ( − 6) = −2−3+12 6 8−18 3 − ( ) = −5+12 6 + 10 3 = 7 6 + 10 3 = 7+20 6 = 27 6 = 9 2
  • 3.
    푏) 푦 =푥 3, 푦 = 4푥 푥 3 = 4x 푥 3 – 4x x (푥 2 − 4) 푥 3 – 4 x = 0 aplicar Ruffini 푥 3 + 0푥 2 – 4x + 0 1 0 – 4 0 2 2 4 1 2 0 –2 – 2 Raíces (-2, 0,2) 1 0 0 2 푥 3 – 4푥) dx = ∫ ∫ ( 푥4 4 0 2 − 4푥2 2 = ∫ (24 4 − 4.22 2 ) 0 2 = 16 4 − 16 2 = −4 ∫ ((−2)4 ) 0 −2 = 4 − 4 (−2)2 2 16 4 − 16 2 = 4 ∫ (84 ) 2 −2 – ((−2)4 4 − 4(2)2 2 4 − 4(−2)2 2 ) = (16 4 − 16 2 − 16 4 + 16 2 ) = 4 – 8 + 8 + 8 = + 12 Rpta = 12 – 4 = 8
  • 4.
    C) 푥 = 12 푦 , 푥 = 0, 푦 = 1, 푦 = 푒2 푒 2 1 푑푦 12 푦 ∫ ( ) 푒 0 푑푦 = 12 ln 푦 ∫ 12 푦 12 ln 푒2 = 2.12 = 24 Rpta = 24 D) 푓(푥) = tan 푥 2 , 푒푙 푒푗푒 푥 푦 푙푎푠 푟푒푐푡푎푠 푥 = 0, 푥 = 1 2 휋 휋 2 0 푑푥 = [ln |sec ∫ (푇푎푛 푋 2 ) 푥 2 |] 휋 2 0 U= Sec 푥 2 푑푥 = ln 2 – ln|푆푒푐 푥| = ln 2 - 0 = ln 2 Resultado = ln 2
  • 5.
    2) Hallar elvolumen del solido de revolución generado por la región encerrada por las curvas dadas (utilice el método del disco, arandelas y cortezas cilíndricas). a) Un arco de y=cos2x, alrededor del eje x Δ(푥) = π (푓(푥)2 Δ V = π (푓(푥))2 Δ푥 V= π ∫ 푟 푏 2 푎 푑푥 V= π ∫(퐶표푠 2푥)2 푑푥 V= π ∫ 퐶표푠 24 푥2 푑푥 = [ π2 4 ] V= 4푥 d푥 U´ = 4 푑푥 푈´ 4 = d푥 Resultado = 휋2 4
  • 6.
    b) 푥 =4푦, 푥 = √푦 3 , 푎푙푟푒푑푒푑표푟 푑푒 푙푎 푟푒푐푡푎 푥 = 8 Radio mayor = |4푦 − 8| = 8−4y Radio menor = | √푦 − 8 3 | = 8 - √푦 3 V = π ∫ (8 − 4푦 1 )2 0 −(8 − √푦 3 ) 2 푑푦 V= π ∫ (64 − 64푦 + 16푦2 ) 1 0 - (64 – 16 푦 2 ⁄3 + 푦 2 ⁄3) 푑푦 1 ⁄3 = 6푦) 1 0 푑푦 V= π ∫ (16푦2 − 64푦 + 6푦 − 푦 2 ⁄3 + 16푦 V= π∫ (16푦2 − 64푦 − 3√푦2 + 16 √푦 3 ) 1 0 푑푦 V= 휋 ∫ ( 16푦3 3 − 64푦2 2 5 ⁄3 5 ⁄3 − 푦 4 ⁄3 4 ⁄3 + 16 푦 ) 1 0 V= π ( 16 3 − 32푦2 − 5 ⁄3 5 3푦 + 4 ⁄3 3 48푦 ) 1 0 V= π ( 16 3 − 32 − 3 5 + 16) 80−480−9+240 π = ( 15 ) = 169 15 π
  • 7.
    C) Hallar elvolumen del sólido que se genera al rotar alrededor del eje x la elipse 푥2 푎2 + 푦2 푏2 = 1 - Se utiliza el método del disco - se traza la f(푦) = 푎 ⁄푏 √푏2 − 푦2 V= 2 π ( 푎2 푏2 (푏2 − 푦2)) 푑푦 = 2 π 푎2 푏 ∫ (푏2 − 푦2 ) 푏2 표 = 2 π 푎2 푏2 (푏2푦 − 푦3 3 ) 푏 0 = 2 π 푎2 푏2 (푏3 − 푏3 3 ) = 1) 4휋 3 푎2 푏, 푐푢푎푛푑표 푎 > 푏 2) 4휋 3 a 푏2, 푐푢푎푛푑표 푏 > 푎 d) Hallar el volumen del sólido que genera la región encerrada por.
  • 8.
    푦 = 4− 푥2 , 푒푗푒 푥, 푎푙 푔푖푟푎푟 푎푙푟푒푑푒푑표푟 푑푒 푙푎 푟푒푐푡푎 푥 = 3 V= π ∫ (4 − 푋2) 3 2 0 푑푥 3 0 푑푥 V= π ∫ (16 − 8푥2 + 푥4) 3 0 V= π ∫ (16 − 8푥2 + 푥4) 푑푥 V= π (16푥 − 8푥3 3 + 푥5 5 ) = π (16,3 − 8.33 3 + 35 5 ) = π (48 − 8.27 3 + 243 5 ) π (48 − 216 3 + 243 5 ) π (48 − 72 + 243 5 ) = (−24 + 243 5 −120+243 ) = ( 5 ) 123 5 π ( ) Respuesta = (π 123 5 )
  • 9.
    3) Hallar lalongitud de la curva dada a) 푦 = 푥3 6 + 1 2푥 , 푑푒푠푑푒 푥 = 1 ℎ푎푠푡푎 푥 = 3 푑푥 푑푦 푥3 6 ( ) 푑푥 = 3푥3−1 6 = 3푥2 6 = 푥2 3 푑푥 푑푦 = 1 2푦 = 1 2푦2 푑푥 푑푦 푥2 2 − 1 2푥2 = 2푦4−2 4푦2 = 푦4−1 2푦2 3 2 1 푑푦 = ∫ L = ∫ √1 + (푌4 −1 2푌2 ) (√1.푑푥 (2푦2 )−2푦2 +1) (2푦2 )2 3 1 ∫ (√ 4푦4 + 푦8 − 2푦2 + 1 4푦4 ) 3 1 푑푦 = ∫ (√ 푦8 + 2푦4 + 1 4푦4 ) 3 1 ∫ (√ (푦4+1)2 4푦4 ) 3 3 1 푑푦 = ∫ (푦2 1 푑푦 = ∫ 푦4+1 2푦2 3 1 + ) 2 2푦21 푥3 6 3 1 = ( ∫ ( − 1 2푦2 ) 33 6 − 1 18 ) = 27 6 − 1 18 = 9 2 − 1 18 54−6 12 = 48 12 9 2 ( − 1 18 1 6 ) − ( + 1 2 ) = 81−1 18 1+3 6 − ( ) 81 18 − 4 6 = 9 2 − 2 3 = 27−4 6 = 23 6 = 14 3
  • 10.
    b) 푦 =푙푛푠푒푐푥, 푑푒푠푑푒 푥 = 0, ℎ푎푠푡푎 푥 = 휋 3 푑푥 푑푦 = ln secx = sec 푥 푠푒푐 = tan 푥.sec 푥 sec 푥 푡푔 푥 .sec 푥 sec 푥 = 푡푔 푥 ∫ 푡푎푔 푥 = (푡푔0 − 푡푔 휋 3 ) 0 휋 = 1 – tg x 휋 3 =[푡푔0 − 푡푔 휋 3 ] = ln (2 + √3)