Fármacos colinérgicos

WILSON BRICEÑO CASTELLANOS
   FARMACOLOGIA CLINICA
           2011
SINTESIS DE ACETILCOLINA


HIGADO


                     FOSFATIDILCOLINA
                                 CAT              H
 COLINA
               COLINA + ACCoA           ACoA




             SRAA                                ACoA
                     COLINA     ACoA
                    ACETILCOLINESTERASA
                     BUTIRILCOLINESTERASA      ACoA     H
Receptores colinérgicos
• Nicotínicos:
• Fibras preganglinares y simpáticas   • Muscarinicos
  y parasimpáticas
                                       • Fibras pos ganglionares
                                         parasimpáticas eran
• La placa motriz por activación de
  fibras motoras
                                       • Imitadas por la muscarina y
• Activadas por la nicotina
                                       •    Bloqueadas selectivamente por
                                           la atropina.
• Inhibidas por d tubocurarina
                                       • Receptores proteína g
• Canales iónicas ligando                dependiente
  dependiente
                                       • Transmisión neuronal SNC, plexos
• Nicotínico muscular y neuronal         nervios, contracción musculo
                                         liso, secreción
                                         exocrinas, conducción musculo
                                         cardiaco
RECEPTORES NICOTINICOS
        K     Ca
                    Na




+ + + + + +        + + + + + + + + +
                      Na
         K
              Ca
RECEPTORES MUSCARINICOS
RECEPTOR        UBICACION
M1              SISTEMA VEGETATIVO- PLEJOS
                MIENTERICOS PARED GASTRICA
M2              NODO SINUAURICULAR Y EN MENOR
                MEDIDA MUSCULO LISO
M3              CELULAS SECRETORAS Y MUSCULAR LISA
M4              CELULAS ENDOTELIALES VASCULARES,
                VASOS DEFERENTES Y UTERIO, NEURONAS
                GANGLIONARES
M5              SNC
ACTIVIDAD MOLECULAR RECEPTORES
               M1-M3-M5 K      Ca    Na



                                     Na
                 PROTEIN    FOSFOLIPASA      DAG
                 A Gq/11         C
    PROTEIN
      A G5
                                             IP3
                                                      C
                                                      a
ADENILCICLASA   AMPc       FOSFOQUINAS
                                A

                                          FOSFORILACION
ACTIVIDAD MOLECULAR RECEPTORES
                M2-M4    K     Ca    Na




                 PROTEIN
                                              K         Ca
                  A Gi/O                  FOSFOLIPASA
    PROTEIN
                                              A2
      A G5




ADENILCICLASA   AMPc       FOSFOQUINAS
                                A
AGONISTAS MUSCARINICOS
• ACCION DIRECTA:
• ESTERES DE COLINA : ACETATO O ACIDO
  CARBAMICO
• ALCALOIDE NATURALES
• FARMACOS DE SINTESIS

• ACCION INDIRECTA: ACETILCOLINESTERASA
COMPARATIVO


 DISMINUYE FC, FUERZA
     CONTRACCION,
     VELOCIDAD DE             MIOSIS,
     CONDUCCION,
    VASODILATACION
      ARTERIOLAR,                     BRONCONSTRICCION,
   VASCONSTRICCION                       AUMENTO DE
        VENOSOAUMENTA                    SECRESIONES,
             MOTILIDAD Y                  DIAFORESIS
               FUNCION
             SECRETORA ESTIMULO
                       DETRUSOR, RELAJA
                          ESFINTER Y
                      TRIGONO: FAVORECE
REACCIONES ADVERSAS
•   NAUSEAS, VOMITO, DIARREA
•   DOLOR RETROESTERNAL
•   DISNEA POR BRONESPASMO
•   BLOQUEOS DE CONDUCCION CARDIACA
•   DOLOR ABDOMINAL TIPO RETORCIJON
•   SALIVACION
•   CEFALEA
•   BLOQUEO: ATROPINA
INHIBIDORES
            ACETILCOLINESTERASA OTROS
           CARBAMATOS   FOSFORADOS ALCOHOL
                                   SIMPLE CON
                                             NITROGENO
                                             CUATERNARIO
FARMACOS   FISOSTIGMINA,      ECOTOPIDATO,   EDROFONIO      TACRINA,
           NEOSTIGMINA        PARATION                      DONEPEZILO
           PIRIDOSTIGMINA,                                  ,
           BAYGON                                           MEMANTIN
                                                            A
UNION A    REVERSIBLE: 30    IRREVERSIBLE:CI CORTA 2-5      CORTA
ACO        MINUTOS A 6 HORAS ENTOS DE        MINUTOS
                             HORAS:
                             REQUIERE
                             NUEVA
                             PRODUCCION
                             DE NUEVAS ACO
USOS       PARALISIS MOTRIZ   CONJUNTIVAL    PARALISIS      ALZHAIMER
           POSTANESTESICA     INSECTICIDA    MOTRIZ
           MIASTENIA GRAVIS                  POSTANESTESI
           ILEO PARALITICO                   CA
           ATONIA VESCICAL,                  DIAGNOSTICO
FISOSTIGMINA
EFECTOS
                            ANTICOLINESTERASICOS


      NICOTINICOS
                                MUSCARINICOS                SNC


DOSIS BAJAS         DOSIS                              FISOSTIGMINA,
                               AUMENTO SECRESION
MODERADAS           ALTAS                             ORGANOFOSFORA
                                    GASTRICA
                              AUMENTA MOTILIDAD GI      DOS, TACRINA
                                   AUMENTAN
                                PERISTALTISMO DE         AUMENTO
AUMENTA                             URETERES           SITUACION DE
 FUERZA                           BRADICARDIA,             VIGILA
   DE         FASCICULAC      HIPOTENSION ARTERIAL
CONTREA         IONES                                TOXICO: DEPRESION
  CCION                                                   BULBAR
INTOXICACIONES
• Atropina: uso en acción muscarinica: dosis 2 -4
  mg iv después 2 mg cada 5 minutos hasta
  bloquear efectos muscarinicos

• Pralidoxima: reactivación enzima colinesterasa al
  separar el organofosforado, solo acción por las
  primeras 12 horas de intoxicación
• No atraviesa membrana hematoencefalica
• Pralidoxima<obidoxima
ANTIMUSCARINICOS
• Fármacos que bloquean receptores muscarinicos
• Atropina
• Fármacos antihistamínicos, dopaminergicos que
  bloquean estos receptores

• Glándulas salivales >bronquiales y sudoríparas
  >músculo
  liso vascular sistema de conducción del corazón >
  tubo digestivo y tracto urinario > glándulas de
  secreción gástrica > receptores muscarínicos de
  los ganglios vegetativos
GI   URINARI    CV   MIDRIASIS DIAFORESI BRONQUIA SNC
                  O                         S         L
ATROPINA     ++   +          ++ +++
                       M1: DOSIS BAJAS:    -        +          ++
ESCOPOLAMI   ++   +      BRADICARDIA
                             ++ +++        -        +          ++++
NA                     M2:AUMENTA FC,
                       CONTRACTILIDAD,
B             -    -         -    -        -        +++
                          DISMINUYE
IPRATROPIUM
        RESEQUEDAD      BLOQUEOS AV
BROMUROMUCOSAS, -
          DE ++             VASOS -
                             -             -        -          -
BUTILESCOPO
        DISMINUCION      SANGUINEO:
LAMINA PRODUCCION         FLUSHING
BROMURO DEHCL, -
              -              -    -        -        +++        -
IPRATROPIUM
        DISMINUCION
       PERISTALTISMO

Farmacos colinergicos

  • 1.
    Fármacos colinérgicos WILSON BRICEÑOCASTELLANOS FARMACOLOGIA CLINICA 2011
  • 2.
    SINTESIS DE ACETILCOLINA HIGADO FOSFATIDILCOLINA CAT H COLINA COLINA + ACCoA ACoA SRAA ACoA COLINA ACoA ACETILCOLINESTERASA BUTIRILCOLINESTERASA ACoA H
  • 3.
    Receptores colinérgicos • Nicotínicos: •Fibras preganglinares y simpáticas • Muscarinicos y parasimpáticas • Fibras pos ganglionares parasimpáticas eran • La placa motriz por activación de fibras motoras • Imitadas por la muscarina y • Activadas por la nicotina • Bloqueadas selectivamente por la atropina. • Inhibidas por d tubocurarina • Receptores proteína g • Canales iónicas ligando dependiente dependiente • Transmisión neuronal SNC, plexos • Nicotínico muscular y neuronal nervios, contracción musculo liso, secreción exocrinas, conducción musculo cardiaco
  • 5.
    RECEPTORES NICOTINICOS K Ca Na + + + + + + + + + + + + + + + Na K Ca
  • 6.
    RECEPTORES MUSCARINICOS RECEPTOR UBICACION M1 SISTEMA VEGETATIVO- PLEJOS MIENTERICOS PARED GASTRICA M2 NODO SINUAURICULAR Y EN MENOR MEDIDA MUSCULO LISO M3 CELULAS SECRETORAS Y MUSCULAR LISA M4 CELULAS ENDOTELIALES VASCULARES, VASOS DEFERENTES Y UTERIO, NEURONAS GANGLIONARES M5 SNC
  • 7.
    ACTIVIDAD MOLECULAR RECEPTORES M1-M3-M5 K Ca Na Na PROTEIN FOSFOLIPASA DAG A Gq/11 C PROTEIN A G5 IP3 C a ADENILCICLASA AMPc FOSFOQUINAS A FOSFORILACION
  • 8.
    ACTIVIDAD MOLECULAR RECEPTORES M2-M4 K Ca Na PROTEIN K Ca A Gi/O FOSFOLIPASA PROTEIN A2 A G5 ADENILCICLASA AMPc FOSFOQUINAS A
  • 9.
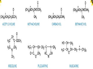
    AGONISTAS MUSCARINICOS • ACCIONDIRECTA: • ESTERES DE COLINA : ACETATO O ACIDO CARBAMICO • ALCALOIDE NATURALES • FARMACOS DE SINTESIS • ACCION INDIRECTA: ACETILCOLINESTERASA
  • 11.
    COMPARATIVO DISMINUYE FC,FUERZA CONTRACCION, VELOCIDAD DE MIOSIS, CONDUCCION, VASODILATACION ARTERIOLAR, BRONCONSTRICCION, VASCONSTRICCION AUMENTO DE VENOSOAUMENTA SECRESIONES, MOTILIDAD Y DIAFORESIS FUNCION SECRETORA ESTIMULO DETRUSOR, RELAJA ESFINTER Y TRIGONO: FAVORECE
  • 12.
    REACCIONES ADVERSAS • NAUSEAS, VOMITO, DIARREA • DOLOR RETROESTERNAL • DISNEA POR BRONESPASMO • BLOQUEOS DE CONDUCCION CARDIACA • DOLOR ABDOMINAL TIPO RETORCIJON • SALIVACION • CEFALEA • BLOQUEO: ATROPINA
  • 13.
    INHIBIDORES ACETILCOLINESTERASA OTROS CARBAMATOS FOSFORADOS ALCOHOL SIMPLE CON NITROGENO CUATERNARIO FARMACOS FISOSTIGMINA, ECOTOPIDATO, EDROFONIO TACRINA, NEOSTIGMINA PARATION DONEPEZILO PIRIDOSTIGMINA, , BAYGON MEMANTIN A UNION A REVERSIBLE: 30 IRREVERSIBLE:CI CORTA 2-5 CORTA ACO MINUTOS A 6 HORAS ENTOS DE MINUTOS HORAS: REQUIERE NUEVA PRODUCCION DE NUEVAS ACO USOS PARALISIS MOTRIZ CONJUNTIVAL PARALISIS ALZHAIMER POSTANESTESICA INSECTICIDA MOTRIZ MIASTENIA GRAVIS POSTANESTESI ILEO PARALITICO CA ATONIA VESCICAL, DIAGNOSTICO
  • 14.
  • 15.
    EFECTOS ANTICOLINESTERASICOS NICOTINICOS MUSCARINICOS SNC DOSIS BAJAS DOSIS FISOSTIGMINA, AUMENTO SECRESION MODERADAS ALTAS ORGANOFOSFORA GASTRICA AUMENTA MOTILIDAD GI DOS, TACRINA AUMENTAN PERISTALTISMO DE AUMENTO AUMENTA URETERES SITUACION DE FUERZA BRADICARDIA, VIGILA DE FASCICULAC HIPOTENSION ARTERIAL CONTREA IONES TOXICO: DEPRESION CCION BULBAR
  • 16.
    INTOXICACIONES • Atropina: usoen acción muscarinica: dosis 2 -4 mg iv después 2 mg cada 5 minutos hasta bloquear efectos muscarinicos • Pralidoxima: reactivación enzima colinesterasa al separar el organofosforado, solo acción por las primeras 12 horas de intoxicación • No atraviesa membrana hematoencefalica • Pralidoxima<obidoxima
  • 18.
    ANTIMUSCARINICOS • Fármacos quebloquean receptores muscarinicos • Atropina • Fármacos antihistamínicos, dopaminergicos que bloquean estos receptores • Glándulas salivales >bronquiales y sudoríparas >músculo liso vascular sistema de conducción del corazón > tubo digestivo y tracto urinario > glándulas de secreción gástrica > receptores muscarínicos de los ganglios vegetativos
  • 20.
    GI URINARI CV MIDRIASIS DIAFORESI BRONQUIA SNC O S L ATROPINA ++ + ++ +++ M1: DOSIS BAJAS: - + ++ ESCOPOLAMI ++ + BRADICARDIA ++ +++ - + ++++ NA M2:AUMENTA FC, CONTRACTILIDAD, B - - - - - +++ DISMINUYE IPRATROPIUM RESEQUEDAD BLOQUEOS AV BROMUROMUCOSAS, - DE ++ VASOS - - - - - BUTILESCOPO DISMINUCION SANGUINEO: LAMINA PRODUCCION FLUSHING BROMURO DEHCL, - - - - - +++ - IPRATROPIUM DISMINUCION PERISTALTISMO