( ) ( ) exp( )F f t i t dtω ω
∞
−∞
= −
∫
1
( ) ( ) exp( )
2
f t F i t dω ω ω
π
∞
−∞
=
∫
La transformada
de
Fourier
1
• Jean Baptiste Joseph Fourier (1768-1830)
• Contribuyo a la idea de que una función puede ser
Representada por la suma de funciones sinusoidales
De la Serie de Fourier a
la Transformada de Fourier
La serie de Fourier nos permite obtener una
representación en el dominio de la frecuencia
de funciones periódicas f(t).
¿Es posible extender de alguna manera las
series de Fourier para obtener una
representación en el dominio de la frecuencia
de funciones no periódicas?
Consideremos la siguiente función periódica
de periodo T:
2
Tren de pulsos de amplitud 1, ancho p y
periodo T:
1
f(t)
t
. . . -T -T
/2
0 T
/2
T . . .
p
-p
/2
p
/2





<<
<<
<<
= −
−−
22
22
22
0
1
0
)(
Tp
pp
pT
t
t
t
tf
3
Los coeficientes de la serie compleja de
Fourier en este caso resultan puramente
reales:
El espectro de frecuencia correspondiente
lo obtenemos (en este caso) graficando cn
contra ω = nω0.
)(
)(
20
20
p
p
n
n
nsen
T
p
c
ω
ω






=
4
Espectro del tren de pulsos para p = 1, T =
2
-60 -40 -20 0 20 40 60
-0.2
0
0.2
0.4
0.6
w=nw0
cn
5
Si el periodo del tren de pulsos aumenta...
-20 -10 0 10 20
0
0.5
1
1.5
p = 1, T = 2
t
f(t)
t-20 -10 0 10 20
0
0.5
1
1.5
p = 1, T = 5
f(t)
-20 -10 0 10 20
0
0.5
1
1.5
p = 1, T = 10
t
f(t)
-20 -10 0 10 20
0
0.5
1
1.5
p = 1, T = 20
t
f(t)
6
-50 0 50
-0.1
0
0.1
0.2
0.3
p = 1, T = 5
-50 0 50
-0.05
0
0.05
0.1
0.15
p = 1, T = 10
-50 0 50
-0.02
0
0.02
0.04
0.06
p = 1, T = 20
-50 0 50
-0.2
0
0.2
0.4
0.6
p = 1, T = 2
ω=nω0
cn
...el espectro se "densifica".
7
En el límite cuando T→∞, la función deja de
ser periódica:
¿Qué pasa con los coeficientes de la serie
de Fourier?
-20 -10 0 10 20
0
0.5
1
1.5
p = 1, T = ∞
t
f(t)
8
Si se hace T muy grande (T→∞), el
espectro se vuelve "continuo":
9
El razonamiento anterior nos lleva a
reconsiderar la expresión de una función f(t)
no periódica en el dominio de la
frecuencia, no como una suma de
armónicos de frecuencia nω0, sino como una
función continua de la frecuencia ω.
Así, la serie:
al cambiar la "variable discreta" nω0 (cuando
T→∞) por la variable continua ω, se
transforma en una integral de la siguiente
manera:
∑
∞
−∞=
=
n
tin
nectf 0
)( ω
10
Recordemos:
La serie de Fourier es:
-T/2< x < T/2
O bien:
∑ ∫
∞
−∞= −
−






=
n
tin
T
T
tin
T edtetftf 00
2/
2/
1
)()( ωω
0
2/
2/
1 2
y)( 0
ω
πω
== ∫−
−
Tdtetfc
T
T
tin
Tn
∑ ∫
∞
−∞= −
−






=
n
tin
T
T
tin
edtetftf 00
0
2/
2/
2
1
)()( ωω
π ω
∫ ∫
∞
∞−
∞
∞−
−






= ωωω
π dedtetftf titi
)()( 2
1
T
T
/2
/2
0
0
πω
ωπ
=
=
Cuando T→ ∞, nω0 → ω y ω0 → dω y el sumatorio
se convierte en:
11
La transformada de Fourier
Es decir,
donde:
Estas expresiones nos permiten calcular la
expresión F(ω) (dominio de la frecuencia) a
partir de f(t) (dominio del tiempo) y viceversa.
∫
∞
∞−
= ωω ω
π deFtf ti
)()( 2
1
∫
∞
∞−
−
= dtetfF tiω
ω )()(
Identidad
de Fourier
o antitrans-
formada de
Fourier
Transformada
de Fourier
12
La transformada de Fourier y
la transformada inversa de Fourier
( ) ( ) exp( )F f t i t dtω ω
∞
−∞
= −
∫
1
( ) ( ) exp( )
2
f t F i t dω ω ω
π
∞
−∞
=
∫
En algunos textos, el factor 1/2π se "reparte" entre la transformada y la
anti-transformada para obtener simetría en la expresión, como: 1/√(2π). 13
Notación: A la función F(ω) se le llama
transformada de Fourier de f(t) y se
denota por F o , es decir
En forma similar, a la expresión que nos
permite obtener f(t) a partir de F(ω) se le
llama transformada inversa de Fourier y
se denota por F –1
,es decir
∫
∞
∞−
−
== ωωω ω
π deFtfFF ti
)()()]([ 2
11
∫
∞
∞−
−
=== dtetffFtfF tiω
ωω )()(ˆ)()]([
fˆ
14
Transformadas integrales
–K(τ,t): núcleo o kernel.
–Asocia a cada función f(t) en el
espacio t, directo o real, otra función
F(τ) en el espacio τ o recíproco.
–Ejemplos: de Fourier, Wavelet,
transformada Z, de Laplace, de
Hilbert, de Radon, etc
dttftKF
b
a∫= )(),()( ττ
15
Un problema que es difícil de resolver en sus
"coordenadas" (espacio t) originales, a menudo,
es más sencillo de resolver al transformarlo a
espacio τ.
Después, la transformada inversa nos devuelve la
solución en el espacio original.
Problem in
Transform
space
Original
problem
Solution in
Transform
space
Solution of
original
problem
Integral transform
Relatively easy solution
Difficult solution
Inverse transform
16
Ejemplo. Calcular F(ω) para el pulso
rectangular f(t) siguiente:
Solución. La expresión en el dominio del
tiempo de la función es:
-p
/2
0 p
/2
1
f(t)
t





<
<<
<
= −
−
t
t
t
tf
p
pp
p
2
22
2
0
1
0
)(
17
Integrando:
Usando la fórmula
de Euler:
∫∫ −
−
∞
∞−
−
==
2/
2/
)()(
p
p
titi
dtedtetfF ωω
ω
2/
2/
1
p
p
ti
i e −
−
−= ω
ω )( 2/2/1 pipi
i
ee ωω
ω −= −
−
)2/(sinc
2/
)2/(
)( pp
p
psen
pF ω
ω
ω
ω ==
i
ee
psen
pipi
2
)2/(
2/2/ ωω
ω
−
−
=
18
En forma gráfica,
la transformada es:
-50 0 50
0
0.5
1
F(w) con p=1
w
F(w)
p =1





<
<<
<
= −
−
t
t
t
tf
p
pp
p
2
22
2
0
1
0
)(
)2/(sinc)( ppF ωω =
19
Sinc(x/2) es la
transformada de
Fourier de una
función rectángulo.
Sinc2
(x/2) es la
transformada de
Fourier de una
función triangulo.
Sinc2
(ax) es el
patrón de difracción
de una ranura.
La función sinc(x)
20
Demostrar que la transformada de
Fourier de la función triángulo, ∆(t), es
sinc2
(ω/2)
ω0
2
sinc ( / 2)ω
1
t0
( )t∆
1
1/2-1/2
TF
21
Ejercicio: Calcular la Transformada de
Fourier de la función escalón unitario o
función de Heaviside, u(t):
Grafica U(ω) = F[u(t)].
¿Qué rango de frecuencias contiene U(ω)?
¿Cuál es la frecuencia predominante?
u(t)
0
1
t
22
La función delta de Kronecker y delta
de Dirac
if 0
( )
0 if 0
t
t
t
δ
∞ =
≡ 
≠
t
δ(t)
,
1 if
0 if
m n
m n
m n
δ
=
≡ 
≠
23
La función impulso o delta de Dirac
Recordemos que podemos pensar en la función
delta como el límite de una serie de funciones
como la siguiente:
t
f1(t)
f2(t)
fm(t) = m exp[-(mt)2
]/√π
f3(t)
δ(t)
24
Y recordemos algunas propiedades
de la función δ
( ) 1t dtδ
∞
−∞
=∫ t
δ(t)
( ) ( ) ( ) ( ) ( )t a f t dt t a f a dt f aδ δ
∞ ∞
−∞ −∞
− = − =∫ ∫
exp( ) 2 (
exp[ ( ) ] 2 (
i t dt
i t dt
ω π δ ω
ω ω π δ ω ω
∞
−∞
∞
−∞
± = )
′ ′± − = − )
∫
∫
25
Transformada de Fourier de la δ(t):
( ) )(ttf δ= ( ) 1)(ˆ ==→ ∫
∞
∞−
−
dtetf ti
δω ω
t
δ(t)
ω
1
ω
δ(ω)
Observa que la transformada de Fourier de
f(t) = 1/(2π) es:
t
( ) )(dtefˆ ti
ωπδ==ω ∫
∞
∞−
ω−
21
π2
1
Recordemos
26
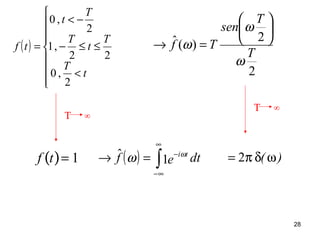
f t( )=
0 , t < −
T
2
1 , −
T
2
≤ t ≤
T
2
0 ,
T
2
< t









−
T
2
T
2
T
2π
T
−
2π
T
2
2
)(ˆ
T
T
sen
Tf
ω
ω
ω






=→
27
( )








<
≤≤−
−<
=
2
,0
22
,1
2
,0
t
T
T
t
T
T
t
tf
2
2
)(ˆ
T
T
sen
Tf
ω
ω
ω






=→
f t( )= 1
T ∞
( ) ∫
∞
∞−
−
=→ dtef ti
1ˆ ω
ω )( ωδπ= 2
T ∞
28
Transformada de Fourier de la función
coseno
+ω00−ω0
ω
0{cos( )}tωFcos(ω0
t)
t
0
( ) )cos( 0ttf ω= ( ) ∫
∞
∞−
−
= dtetf tiω
ωω )cos(ˆ
0
( ) =+=




 +
= ∫∫
∞
∞−
+−−−
∞
∞−
−
−
dteedte
ee tititi
titi
)()( 00
00
2
1
2
ωωωωω
ωω
[ ])()(
2
2
)(ˆ
00 ωωδωωδ
π
ω ++−=f
[ ])()()(ˆ
00 ωωδωωδπω ++−=f
29
Transformada de Fourier de la función seno:
( ) )( 0tsentf ω= ( ) == ∫
∞
∞−
−
dtetsenf tiω
ωω )(ˆ
0
∫
∞
∞−
−
−





 −
= dte
i
ee ti
titi
ω
ωω
2
00
( )dtee
i
titi
∫
∞
∞−
+−−−
−= )()( 00
2
1 ωωωω
[ ])()()(ˆ
00 ωωδωωδπω −−+= if
+ω0
0−ω0
ω
sen(ω0
t)
t
0
t)}sen({ 0ωF
30
La transformada de Fourier de la onda
plana exp(iω0
t)
La TF de exp(iω0
t) es una frecuencia pura.
F {exp(iω0
t)}
0 ω0
ω
exp(iω0
t)
0
t
tRe
Im
0
)(2
}{
0
)( 0
00
ωωδπωω
ωωω
−=
==
∫
∫
∞
∞−
−−
∞
∞−
−
dte
dteeeF
ti
tititi
31
Sum
F{exp(iω0
t)}
0 ω0
ω
exp(iω0
t)
0
t
tRe
Im
0
TF
0
ω
TF
32
Encontrar la transformada de Fourier de la función:
( )
0
0,0
0,
>



<
≥
=
−
a
t
te
tf
at
( ) == ∫
∞
−−
0
ˆ dteef tiat ω
ω
2222
0
)(
0
)(
1
1
)10(
1
ω
ω
ω
ω
ω
ω
ωω
ω
ω
ω
+
−
+
=
−
−
+
=
+
=−
+
−
=
+
−=
∞+−∞
+−
∫
a
i
a
a
ia
ia
ia
iaia
ia
e
dte
tia
tia
33
La transformada de Fourier de una
Gaussiana, exp(-at2
), es otra Gaussiana.
2 2
2
{exp( )} exp( )exp( )
exp( / 4 )
at at i t dt
a
ω
ω
∞
−∞
− = − −
µ −
∫F
t0
2
exp( )at−
ω0
2
exp( / 4 )aω−
TF
Más adelante lo demostraremos.
34
La transformada inversa de Fourier
Dada la función en el espacio recíproco G(k), podemos
retornar al espacio directo mediante la inversa de la
transformada de Fourier:
{ } ∫
∞
∞−
−
== dkekGkGFxg ikx
)(
2
1
)()( 1
π ∫
∞
∞−
−
= dxexgkG ikx
)()(
  
  
)'(
)'(
)'(
''
2
1
)(
)()(
2
1
xg
xx
xxik
ikxikxikx
dxdkexg
dkedxexgdkekG
∫ ∫
∫ ∫ ∫
∞
∞−
−
∞
∞−
−
∞
∞−
∞
∞−
∞
∞−
−








π
=







=
π
δ
35
A partir de su definición, obtener la transformada
inversa de Fourier de la función ( )
( ) ( )33
3
5
3
2
+
−
−
=
ωω
ω
ii
g
( ) ( )
( )
( ) ( )
( ) ( )
( )
( )
3ordendepolo3
3
)(
3
2
:residuos)de(teoríadeCálculo
3
5
3
2
3
5
3
2
3
31
1
33
33
1
1
21
iz
iz
e
zf
de
i
I
I
de
i
de
i
de
ii
gF
deggF
izx
xi
I
xi
I
xi
xi
xi
−=⇒
−
=
−
=
+
−
−
=
=





+
−
−
=
=
∫
∫∫
∫
∫
∞
∞−
∞
∞−
∞
∞−
∞
∞−
−
∞
∞−
−
ω
ω
ω
ω
ω
ω
ω
ωω
ωω
ω
ωω
ω
ω
    
36
[ ]
[ ]
( )
( )
[ ]
[ ]
0x;0I
0x;ex
2
5
π2f(z)πi10I
2
eix
f(z)
3ordeni polo de3z
3iz
e
f(z)
dωe
3iω
5
I
):e residuos(teoría dICálculo de
0x;0I
0x;eπx2f(z)πi4I
2
eix
f(z)
2
x32
i3z
2
x32
i3z
3
izx
iωω
32
2
1
x32
i3-z
1
x32
i3-z
sRe
sRe
sRe
sRe
<=
>==
−
=
=⇒
+
=
+
=
>=
<−==
−
=
−
=
−
=
∞
∞−
=
=
∫
37
( )




>π−
<π−
= −
−
0x;ex5
0x;ex2
gF
:esFourierdeinversaadatransformlaLuego
x32
x32
1
38
6136
1
)( 2
−−
=
ωω
ω
i
g
∫
∞
∞−
= ωω ω
degxf xi
)()(
A partir de la definición, obtener la transformada inversa de Fourier
de la función:
Respuesta.
Integrando en el plano complejo:
iziz
zzzz
zg
2
3
,
3
2
,
))((6
1
)( 21
21
==
−−
=
39
• Si x > 0:
∫∫
∫ ∑
−
Γ
=
+=
==
R
RR
k
k
izx
dwwGdzzG
zzGidzezg
)()(
)),((Res2)(
)(
2
1
γ
π
izx
g(z)eG(z) =Tomando
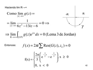
Haciendo lim R→∞ ⇒=
−−
=
∞→∞→
0
6136
1
lim)(limComo 2zz izz
zg
γ
-R R
C
40
Jordan)de3(Lema0)(lim
)(R
=⇒ ∫∞→ R
izx
dxezg
γ
Entonces:








−==
−−
∑
xx
k eezzGixf 3
2
2
3
5
2
)),((Res2)(
π
π
• Si x < 0:
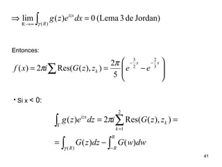
∫∫
∫ ∑
−
Γ
=
−=
==
R
RR
k
k
izx
dwwGdzzG
zzGidzezg
)()(
)),((Res2)(
)(
2
1
γ
π
41
γ
-R R
Haciendo lim R→∞
⇒=
−−
=
=
∞→
∞→
0
6136
1
lim
)(limComo
2z
z
izz
zg
Jordan)de3(Lema0)(lim
)(R
=⇒ ∫∞→ R
izx
dxezg
γ
Entonces: 0)),((Res2)( == ∑ kzzGixf π





<
≥







−
=
−−
0, x0
0, xee
5
π2
f(x)
x
3
2
x
2
3
42
Algunas funciones no poseen
transformada de Fourier
La condición de suficiencia para que la transformada de
Fourier de f(x), F(ω) exista es:
es decir, que f(x) sea de cuadrado sumable. Funciones
que no vayan asintóticamente a cero cuando x tiende a
+∞ y –∞ en general no tienen transformadas de Fourier.
∫
∞
∞−
∞<dxxg
2
)(
43
La TF y su inversa son simétricas.
( )exp( )
1
2 ( )exp( [ ] )
2
F t i t dt
F t i t dt
ω
π ω
π
∞
−∞
∞
−∞
−
= −
∫
∫
Si la TF de f(t) es F(ω), entonces la TF de F(t) es:
Renombrando la variable de integración de t a ω’, podemos ver que
llegamos a la TF inversa:
1
2 ( )exp( [ ] )
2
F i dπ ω ω ω ω
π
∞
−∞
 
′ ′ ′= − 
 
∫
2 ( )fπ ω= −
Este el motivo por el que a menudo f y F se dice que son
un "par transformado."
Que podemos escribir:
44
La transformada de Fourier es en general compleja
La transformada de Fourier F(k) y la función original f(x) son
ambas en general complejas.
De modo que la transformada de Fourier puede escribirse como:
{ } )()()( kiFkFxfF ir +=
{ }
potenciadeespectroA
espectralfase
espectralmagnitudoamplitud
)(
)()()(
2222
22
)(
≡+==
≡Θ
≡
+==
== Θ
ir
ir
ki
FFF
A
FFkFA
ekAkFxfF
45
La transformada de Fourier cuando f(x) es real
La TF F(k) es particularmente simple cuando f(x) es real:
( )
∫
∫
∫∫
∞
∞−
∞
∞−
∞
∞−
∞
∞−
−
−=
=
−=
dx)kxsin()x(f)k(F
dx)kxcos()x(f)k(F
dx)kx(isen)kxcos()x(fdxe)x(f
i
r
ikx
{ } )k(iF)k(F)x(fF ir +=
46
Propiedades de las transformadas de Fourier:
1. Linealidad:
f (t) F.T .
← → ˆf ω( )
g(t)
F.T .
← → ˆg ω( )




⇒ f(t) + g(t)
F.T .
← → ˆf ω( )+ ˆg ω( )
f (t) F.T .
← → ˆf ω( )⇒ (a + ib) f (t) F.T .
← → (a + ib) ˆf ω( )
47
La transformada de Fourier de la
combinación lineal de dos funciones.
f(t)
g(t)
t
t
t
ω
ω
ω
F(ω)
G(ω)
f(t) + g(t)
F(ω) + G(ω)
)}({)}({
)}()({
tgbFtfaF
tbgtafF
+
=+
48
Calcular la transformada de Fourier de la siguiente función:
f (t) =
0 , t >
a
2
1 ,
b
2
< t <
a
2
2 , t <
b
2









; a > b > 0
La función f(t) se puede escribir también del siguiente modo:
f (t) = g(t) + h(t)
donde g(t) =
0 , t >
a
2
1 , t <
a
2






; h(t) =
0 , t >
b
2
1 , t <
b
2






49
Luego:
ˆf (ω) = ˆg(ω) + ˆh(ω)
2
b
2
b
sen
2
b
2
a
2
a
sen
2
a
)(fˆ
ω





 ω
π
+
ω





 ω
π
=ω
50
Calcular la transformada de Fourier de la siguiente función:
0
1
-a -b b a0
51
Tenemos que calcular la transformada de Fourier de la siguiente función:
f t( )=
0, t < −a
1, − a < t < −b
0, − b < t < b
1, b < t < a
0, t > a









; h(t) =
0 , t > b
1 , t < b



g(t) =
0 , t > a
1 , t < a




f t( )= g(t) − h(t)
52
F.T .
 → ˆg(ω) =
2a
2π
sen(ωa)
ωa
h(t) =
0 , t > b
1 , t < b




g(t) =
0 , t > a
1 , t < a




F.T .
 → ˆh(ω) =
2b
2π
sen(ωb)
ωb
ˆf (ω) = ˆg(ω) − ˆh(ω) =
2a
2π
sen(ωa)
ωa
−
2b
2π
sen(ωb)
ωb
53
( ){ } )(ˆ ωftfF =
( ){ }






=
=
==
∫
∫
∫
∞
∞−
−
∞
∞−
−
∞
∞−
−
a
f
a
dtetf
a
atdeatf
a
dteatfatfF
t
a
i
at
a
i
ti
ωω
ω
ω
ˆ1
')'(
1
)()(
1
)(
'
)(
2. Escalado: ( ){ } 





=
a
f
a
atfF
ωˆ1
54
Efecto de
la propiedad
de escalado
f(t) F(ω)
Pulso
corto
Pulso
medio
Pulso
largo
Mientras más
corto es el
pulso, más
ancho es el
espectro.
Esta es la esencia
del principio de
incertidumbre en
mecánica cuántica.
ω
ω
ω
t
t
t
55
La transformada de Fourier respecto al
espacio
Si f(x) es función de la posición,
k se conoce como frecuencia
espacial.
Todo lo expuesto sobre la
transformada de Fourier entre los
dominios t y ω se aplica los
dominios x y k.
k
x( ){ } )(ˆ)( kfdxexfxfF ikt
== ∫
∞
∞−
−
56
3. Traslación en el dominio de tiempos
( ) ( )ωω ω
featfftf aiTFTF ˆ)(ˆ)( ....
 →←+⇒ →←
( ) ∫
∞
∞−
−
= dtetgg tiω
ω )(ˆ ∫
∞
∞−
−
+= dteatf tiω
)(
( ) ∫
∞
∞−
−−
= dueufg aui )(
)(ˆ ω
ω ∫
∞
∞−
−
= dueufe
uiai ωω
)(
( ) )(ˆˆ ωω ω
feg ai
=
f (t + a) = g(t)
57
4. : f (t) = f *
(t) ⇒ ˆf ω( )= ˆf *
−ω( )
[ ] [ ]
[ ] [ ]




−−=
−=
)(ˆIm)(ˆIm
)(ˆRe)(ˆRe
ωω
ωω
ff
ff
5. : ( ) ∫
∞
∞−
= dttff )(0ˆ
( ) ∫
∞
∞−
= ωω
π
dff )(ˆ
2
1
0
58
5. Identidad de Parseval : f *
(t)g(t)dt
−∞
∞
∫ = ˆf *
(ω) ˆg(ω)dω
−∞
∞
∫
=















∫∫ ∫
∞
∞−
∞
∞−
∞
∞−
−
dtdgdf ee
titi
'
'
)'(ˆ)(ˆ*
ωωωω
ωω
∫ ∫∫
∞
∞−
∞
∞−
−−
∞
∞−








= edtgdfd
ti '
)'(ˆ')(ˆ )(* ωω
ωωωω
δ(ω' −ω)
f (t) = g(t) ⇒ f(t)
2
dt
−∞
∞
∫ = ˆf (ω)
2
dω
−∞
∞
∫
Teorema de Rayleigh
∫
∞
∞−
= ωωω dgf )(ˆ)(ˆ*
En particular:
59
Toda función puede escribirse como la suma
de una función par y una función impar
( ) [ ( ) ( )]/ 2
( ) [ ( ) ( )]/ 2
( ) ( ) ( )
E x f x f x
O x f x f x
f x E x O x
≡ + −
≡ − −
⇓
= +
E(-x) = E(x)
O(-x) = -O(x)
E(x)
f(x)
O(x)
Sea f(x) una función cualquiera.
60
Transformadas de Fourier de funciones pares, f(t) = f(-t):
( ) ∫
∞
∞−
−
= dttff e
tiω
ω )(ˆ 





+= ∫ ∫∞−
∞
−−
0
0
)()( dttfdttf ee
titi ωω






+= ∫ ∫
∞ ∞
−
0 0
)()()(ˆ dttfdttff ee
titi ωω
ω ( )∫
∞
−
+=
0
)( dttf ee
titi ωω
( ) ∫
∞
=
0
)cos()(2ˆ dtttff ωω
61






+−= ∫ ∫
∞ ∞
−
0 0
)()()(ˆ dttfdttff ee
titi ωω
ω
Transformadas de Fourier de funciones impares, f(t) = -f(-t):
( ) ∫
∞
∞−
−
= dttff e
tiω
ω )(ˆ 





+= ∫ ∫∞−
∞
−−
0
0
)()( dttfdttf ee
titi ωω
( )∫
∞
−
+−=
0
)( dttf ee
titi ωω
( ) ∫
∞
=
0
)()(2ˆ dttsentfif ωω
62
6. Transformada de la derivada:
ikF(k)ikF(f(x))(x))fF( ==′
( ) )k´(iF))x(f´(iF)x(xfF ==
7. Transformada xf(x):
Ejercicio: demostrar las propiedades anteriores.
Y en general:
( ) F(k)ik(x))F(f
n)n(
=
Y en general:
( ) )k´(Fi)x(fxF nn
=
63
1. Encontrar la transformada de Fourier de la
función:
2. A partir del resultado anterior y una conocida
propiedad de la transformada de Fourier, determina
la transformada de Fourier de la función:
( )2
1
1
)(
x
xf
+
=
( )22
1 x
x
)x(g
+
=
iz-izzf
z
zfdz
z
e
I
dx
x
e
kF
ikz
ikx
==∈∀
+
=⇒
+
=
+
=
∫
∫
∞
∞−
−
∞
∞−
−
21
22
2
yexceptoC,zanalíticaes)(
1
1
)(con3"tipo"integral
1
:complejoplanoalintegrallaPasamos
1
)(integrallapidenNos1.
64
k
k
ikz
iz
ikz
iz
k
ikz
iz
ikz
iz
ekF
e
iz
e
i
z
e
ikF
e
iz
e
i
z
e
ikF
lím
lím
−
−
→
−
=
−
−
−→
−
−=
=
=





+
=





+
=
<
=





−
−=





+
−=
≥
π
πππ
πππ
)(:quemodoDe
2
1
2)(
:Ccircuitoelenintegramos0kPara
2
1
2)(
:Ccircuitoelenintegramos0kPara
2
1
2
2
Res
Res
C1
C2
[ ]
( )
( ) ( )
( ) 21
)(
1
2
1
2
:
1
2
yquePuesto
22
2222
22
k
k
eik
x
x
FkG
eik
x
x
F
x
x
F
x
x
dx
df
fikF
dx
df
F
−
−
−=








+
=⇒
⇒=








+
−=








+
−
+
−
==





π
π
2.
65
Encontrar la transformada de Fourier de la función:
siendo a>0 constante.






−=
2
exp)(
2
ax
xf
)(
2
exp)(
2
exp)(
22
xaxf
ax
axxf
ax
xf −=





−−=′⇒





−=
)´()( kiaFkikF −=
Derivando tenemos:
[ ]
⇒



==
==′
)´())(´()(
)())(())((
kiFxfiFxxfF
kikFxfikFxfF
Transformando a ambos lados de la ecuación y usando las siguientes
propiedades de la TF:
Veamos otra aplicación de estas dos últimas propiedades:
66
a
k
t
uu
ax
ikx
ax
a
k
e
a
kF
a
dt
t
e
a
due
a
due
a
dxeFB
dxeeBekF
2
0
0
2
22
2
22
2
22
2
)(
22
2
2
2
)0(
)(
−
∞
−
∞
−
∞
∞−
−
∞
∞−
−
−
∞
∞−
−−
=
==
====
==
∫
∫∫∫
∫
π
π
u2
= ax2
/2
a
k
BekFkiaFkikF 2
2
)()´()(
−
=⇒−=
u2
= t
67
Convolución
Se define la integral de convolución de dos funciones
f(t) y g(t) del siguiente modo:
( ) duutguftgf )()()( −=∗ ∫
∞
∞−
dutgutf )()(∫
∞
∞−
−=
68
69
rect(x)
* rect(x) = ∆(x)
Ejemplo visual:
70
Convolución con la función delta
Convolucionar una función con una delta,
simplemente centra la función sobre la delta.
( ) ) ( ) ( – )
( )
f t t a f t u u a du
f t a
δ δ
∞
−∞
∗ ( − = −
= −
∫
71
Propiedades de la convolución
Commutativa:
Asociativa:
Distributiva:
fggf ⊗=⊗
f⊗(g⊗h)=(f⊗g)⊗h
f⊗(g+h)=f⊗g+f⊗h
72
( ) )()()(*)( wGwFtgtfF ⋅=
El teorema de convolución o
teorema de Wiener-Khitchine
Convolución en el espacio real es equivalente a
multiplicación en el espacio recíproco.
73
Ejemplo del teorema de convolución
2
{ ( )}
sinc ( / 2)
x
k
∆ =F{rect( )}
sinc( / 2)
x
k
=F
rect( ) rect( ) ( )x x x∗ = ∆
2
sinc( / 2) sinc( / 2) sinc ( / 2)k k k× =
74
( )
=











=−=∗
∫∫ ∫
∫
∞
∞−
−
∞
∞−
∞
∞−
∞
∞−
dudegdef
duutguftgf
utiui
')'(ˆ
2
1
)(ˆ
2
1
)()()(
)('
ωω
π
ωω
π
ωω
=




















∫ ∫∫
∞
∞−
−
∞
∞−
−
∞
∞−
ωωω
π
ω
ωωδ
ωωω
dfddueeg
ui
ti
)(ˆ'
2
1
)'(ˆ
)'(
)'(
'
  
Demostremos el teorema de convolución.
75
)()()(ˆ)(ˆ tgtfdegf ti
∗=∫
∞
∞−
ωωω ω
=





−∫ ∫
∞
∞−
∞
∞−
ωωωωωδω
ω
dfdeg
ti
)(ˆ
')'()'(ˆ
'
( ) )()()(*)( wGwFtgtfF ⋅=
Aplicando la TF a ambos lados:
76





<
>
=
2
,)cos(
2
,0
)(
0
T
tt
T
t
tf
ω
Ejemplo de aplicación del teorema de convolución:
Calcular la transformada de Fourier de la siguiente función:
( ) ∫
−
−
=
2
2
0 )cos(ˆ
T
T
ti
dtetf ω
ωω ∫
−
−
−





 +
=
2
2
2
00
T
T
ti
titi
dte
ee ω
ωω
2
2
0
)(
0
)( 00
2
1
)(ˆ
T
T
titi
ieie
f
−
+−−−






+
+
−
=
ωωωω
ω
ωωωω
Podemos hacerlo aplicando la definición:
77










+
+
−
+



−
−
−
=
2
)(
)2(
2
)(
)2(
2
1
)(ˆ
0
0
0
0
T
sen
iiT
sen
ii
f ωω
ωω
ωω
ωω
ω
( ) ( )












+




+
+
−




−
=
2
2
)(
2
2
)(
2
)(ˆ
0
0
0
0
T
T
sen
T
T
sen
T
f
ωω
ωω
ωω
ωω
ω





<
>
=
2
,)cos(
2
,0
)(
0
T
tt
T
t
tf
ω
78





<
>
=
2
,1
2
,0
)(
T
t
T
t
th
; g t( ) = cos(ω0t)
[ ])()(
2
)(ˆ 00 ωωδωωδ
π
ω ++−=g
2
2
)(ˆ
T
T
sen
Th
ω
ω
ω






=





<
>
=
2
,)cos(
2
,0
)(
0
T
tt
T
t
tf
ω
( ) )()( tgthtf =→
TF
TF
Pero, también podemos usar:
ghhgf ˆˆˆ ∗==
79
( ) dtetgthgh tiω
π
ω −
∞
∞−
∫=∗ )()(
2
1
)(ˆˆ
ghhgf ˆˆˆ ∗==
( ) =−=∗ ∫
∞
∞−
')'(ˆ)'(ˆ)(ˆˆ ωωωωω dghgh
[ ] ')'()'(
2
2
'
2
'
2
1
00 ωωωωδωωωδ
π
ω
ω
π
d
T
T
sen
T +−+−−






= ∫
∞
∞−
( ) ( )












+




+
+
−




−
=∗=
2
2
)(
2
2
)(
22
1
))(ˆˆ()(ˆ
0
0
0
0
T
T
sen
T
T
sen
T
ghf
ωω
ωω
ωω
ωω
π
ωω
80
Calcular la transformada de Fourier del producto de convolución de las
siguientes funciones:
f (t) =
0 , t >
a − b
2
1 , t <
a − b
2






g(t) = 2π δ t −
a + b
2





 + δ t +
a + b
2












81
El producto de convolución de las funciones f(t) y g(t) es:
f ∗ g( )(t) =
1
2π
f(u)
−∞
∞
∫ g(t − u)du
f ∗ g( )(t) = f(u)
−∞
∞
∫ δ(t −
a + b
2
− u) + δ(t +
a + b
2
− u)





du
f ∗ g( )(t) = f(t −
a + b
2
) + f (t +
a + b
2
)
es decir que el producto de convolución de f(t) y g(t) son dos funciones
pulso de anchura a-b centradas en (a+b)/2 y -(a+b)/2 cuya gráfica es la
siguiente: 82
0
1
-a -b b a0
y cuya transformada de Fourier calculamos en el ejercicio anterior:
2a
2π
sen(ωa)
ωa
−
2b
2π
sen(ωb)
ωb 83
Una forma alternativa para calcular la transformada de Fourier del
producto de convolución de f(t) y g(t) es usar el teorema de convolución,
según el cuál, la transformada de Fourier del producto de convolución de
f(t) y g(t) es igual al producto de las transformadas de Fourier respectivas
de f(t) y g(t):
f ∗ g( )(t) =
F.T .
 → ˆf(ω) ˆg(ω)
f (t) =
0 , t >
a − b
2
1 , t <
a − b
2






F.T .
 → ˆf(ω) =
a − b
2π
sen(ω
a − b
2
)
ω
a − b
2
84
Calculamos la transformada de Fourier de g(t):
ˆg ω( ) =
1
2π
g(t)
−iωt
e dt
−∞
∞
∫
ˆg ω( ) =
1
2π
2π δ t −
a + b
2





 + δ t +
a + b
2












− iωt
e dt
−∞
∞
∫
ˆg ω( ) =
−iω
a+ b
2e +
iω
a+ b
2e = 2cos ω
a + b
2






ˆf (ω) ˆg ω( ) =
a − b
2π
sen(ω
a − b
2
)
ω
a − b
2
2cos ω
a + b
2






85
ˆf (ω) ˆg ω( ) =
a − b
2π
sen(ω
a − b
2
)
ω
a − b
2
2cos ω
a + b
2






ˆf (ω) ˆg ω( ) =
2
π
1
ω
2sen(ω
a − b
2
)cos ω
a + b
2






ˆf (ω) ˆg ω( ) =
2
π
1
ω
sen(ωa) − sen ωb( )[ ]
que coincide con la transformada que habíamos calculado del otro modo.
86
ˆf (ω) =
T2
2π
sen2
(
ωT
2
)
ω2
T
2
4
Utilizar el teorema de convolución para calcular la antitransformada
de Fourier de la siguiente función:
Tenemos que calcular la antitransformada:
f t( )=
1
2π
ˆf(ω)
iωt
e dω
−∞
∞
∫
f t( )=
1
2π
T 2
2π
sen2
(
ωT
2
)
ω2
T
2
4
iωt
e dω
−∞
∞
∫ =
1
2π
T
2π
sen(
ωT
2
)
ωT
2










2
iωt
e dω
−∞
∞
∫
87
f (t) =
1
2π
T
2π
sen(
ωT
2
)
ωT
2










T
2π
sen(
ωT
2
)
ωT
2










iωt
e dω
−∞
∞
∫
y, llamando:
ˆg(ω) =
T
2π
sen(
ωT
2
)
ωT
2
nos queda que:
f (t) =
1
2π
ˆg(ω)ˆg(ω)
iωt
e dω
−∞
∞
∫ =
1
2π
2π g ∗ g( )(t)
Teorema de convolución
g(t) =
0 , t >
T
2
1 , t <
T
2






Antitransformada
de Fourier
88
Por tanto, la integral de convolución de g(t) consigo misma queda:
g ∗ g( )(t) =
1
2π
g(u)
−∞
∞
∫ g(t − u)du
g(t) =
0 , t >
T
2
1 , t <
T
2






donde
Si t < −T ⇒ g ∗ g( )(t) = 0
Si − T < t < 0 ⇒ g ∗ g( )(t) =
1
2π
1 ×1
−
T
2
t+
T
2
∫ × du =
t + T
2π
89
Si 0 < t < T ⇒ g ∗ g( )(t) =
1
2π
1×1
t−
T
2
T
2
∫ × du =
T − t
2π
Si t > T ⇒ g ∗ g( )(t) = 0
Luego:
f (t) = g ∗ g( )(t) =
T − t
2π
, t < T
0 , t > T




90

Fourier jaime severiche

  • 1.
    ( ) () exp( )F f t i t dtω ω ∞ −∞ = − ∫ 1 ( ) ( ) exp( ) 2 f t F i t dω ω ω π ∞ −∞ = ∫ La transformada de Fourier 1 • Jean Baptiste Joseph Fourier (1768-1830) • Contribuyo a la idea de que una función puede ser Representada por la suma de funciones sinusoidales
  • 2.
    De la Seriede Fourier a la Transformada de Fourier La serie de Fourier nos permite obtener una representación en el dominio de la frecuencia de funciones periódicas f(t). ¿Es posible extender de alguna manera las series de Fourier para obtener una representación en el dominio de la frecuencia de funciones no periódicas? Consideremos la siguiente función periódica de periodo T: 2
  • 3.
    Tren de pulsosde amplitud 1, ancho p y periodo T: 1 f(t) t . . . -T -T /2 0 T /2 T . . . p -p /2 p /2      << << << = − −− 22 22 22 0 1 0 )( Tp pp pT t t t tf 3
  • 4.
    Los coeficientes dela serie compleja de Fourier en este caso resultan puramente reales: El espectro de frecuencia correspondiente lo obtenemos (en este caso) graficando cn contra ω = nω0. )( )( 20 20 p p n n nsen T p c ω ω       = 4
  • 5.
    Espectro del trende pulsos para p = 1, T = 2 -60 -40 -20 0 20 40 60 -0.2 0 0.2 0.4 0.6 w=nw0 cn 5
  • 6.
    Si el periododel tren de pulsos aumenta... -20 -10 0 10 20 0 0.5 1 1.5 p = 1, T = 2 t f(t) t-20 -10 0 10 20 0 0.5 1 1.5 p = 1, T = 5 f(t) -20 -10 0 10 20 0 0.5 1 1.5 p = 1, T = 10 t f(t) -20 -10 0 10 20 0 0.5 1 1.5 p = 1, T = 20 t f(t) 6
  • 7.
    -50 0 50 -0.1 0 0.1 0.2 0.3 p= 1, T = 5 -50 0 50 -0.05 0 0.05 0.1 0.15 p = 1, T = 10 -50 0 50 -0.02 0 0.02 0.04 0.06 p = 1, T = 20 -50 0 50 -0.2 0 0.2 0.4 0.6 p = 1, T = 2 ω=nω0 cn ...el espectro se "densifica". 7
  • 8.
    En el límitecuando T→∞, la función deja de ser periódica: ¿Qué pasa con los coeficientes de la serie de Fourier? -20 -10 0 10 20 0 0.5 1 1.5 p = 1, T = ∞ t f(t) 8
  • 9.
    Si se haceT muy grande (T→∞), el espectro se vuelve "continuo": 9
  • 10.
    El razonamiento anteriornos lleva a reconsiderar la expresión de una función f(t) no periódica en el dominio de la frecuencia, no como una suma de armónicos de frecuencia nω0, sino como una función continua de la frecuencia ω. Así, la serie: al cambiar la "variable discreta" nω0 (cuando T→∞) por la variable continua ω, se transforma en una integral de la siguiente manera: ∑ ∞ −∞= = n tin nectf 0 )( ω 10
  • 11.
    Recordemos: La serie deFourier es: -T/2< x < T/2 O bien: ∑ ∫ ∞ −∞= − −       = n tin T T tin T edtetftf 00 2/ 2/ 1 )()( ωω 0 2/ 2/ 1 2 y)( 0 ω πω == ∫− − Tdtetfc T T tin Tn ∑ ∫ ∞ −∞= − −       = n tin T T tin edtetftf 00 0 2/ 2/ 2 1 )()( ωω π ω ∫ ∫ ∞ ∞− ∞ ∞− −       = ωωω π dedtetftf titi )()( 2 1 T T /2 /2 0 0 πω ωπ = = Cuando T→ ∞, nω0 → ω y ω0 → dω y el sumatorio se convierte en: 11
  • 12.
    La transformada deFourier Es decir, donde: Estas expresiones nos permiten calcular la expresión F(ω) (dominio de la frecuencia) a partir de f(t) (dominio del tiempo) y viceversa. ∫ ∞ ∞− = ωω ω π deFtf ti )()( 2 1 ∫ ∞ ∞− − = dtetfF tiω ω )()( Identidad de Fourier o antitrans- formada de Fourier Transformada de Fourier 12
  • 13.
    La transformada deFourier y la transformada inversa de Fourier ( ) ( ) exp( )F f t i t dtω ω ∞ −∞ = − ∫ 1 ( ) ( ) exp( ) 2 f t F i t dω ω ω π ∞ −∞ = ∫ En algunos textos, el factor 1/2π se "reparte" entre la transformada y la anti-transformada para obtener simetría en la expresión, como: 1/√(2π). 13
  • 14.
    Notación: A lafunción F(ω) se le llama transformada de Fourier de f(t) y se denota por F o , es decir En forma similar, a la expresión que nos permite obtener f(t) a partir de F(ω) se le llama transformada inversa de Fourier y se denota por F –1 ,es decir ∫ ∞ ∞− − == ωωω ω π deFtfFF ti )()()]([ 2 11 ∫ ∞ ∞− − === dtetffFtfF tiω ωω )()(ˆ)()]([ fˆ 14
  • 15.
    Transformadas integrales –K(τ,t): núcleoo kernel. –Asocia a cada función f(t) en el espacio t, directo o real, otra función F(τ) en el espacio τ o recíproco. –Ejemplos: de Fourier, Wavelet, transformada Z, de Laplace, de Hilbert, de Radon, etc dttftKF b a∫= )(),()( ττ 15
  • 16.
    Un problema quees difícil de resolver en sus "coordenadas" (espacio t) originales, a menudo, es más sencillo de resolver al transformarlo a espacio τ. Después, la transformada inversa nos devuelve la solución en el espacio original. Problem in Transform space Original problem Solution in Transform space Solution of original problem Integral transform Relatively easy solution Difficult solution Inverse transform 16
  • 17.
    Ejemplo. Calcular F(ω)para el pulso rectangular f(t) siguiente: Solución. La expresión en el dominio del tiempo de la función es: -p /2 0 p /2 1 f(t) t      < << < = − − t t t tf p pp p 2 22 2 0 1 0 )( 17
  • 18.
    Integrando: Usando la fórmula deEuler: ∫∫ − − ∞ ∞− − == 2/ 2/ )()( p p titi dtedtetfF ωω ω 2/ 2/ 1 p p ti i e − − −= ω ω )( 2/2/1 pipi i ee ωω ω −= − − )2/(sinc 2/ )2/( )( pp p psen pF ω ω ω ω == i ee psen pipi 2 )2/( 2/2/ ωω ω − − = 18
  • 19.
    En forma gráfica, latransformada es: -50 0 50 0 0.5 1 F(w) con p=1 w F(w) p =1      < << < = − − t t t tf p pp p 2 22 2 0 1 0 )( )2/(sinc)( ppF ωω = 19
  • 20.
    Sinc(x/2) es la transformadade Fourier de una función rectángulo. Sinc2 (x/2) es la transformada de Fourier de una función triangulo. Sinc2 (ax) es el patrón de difracción de una ranura. La función sinc(x) 20
  • 21.
    Demostrar que latransformada de Fourier de la función triángulo, ∆(t), es sinc2 (ω/2) ω0 2 sinc ( / 2)ω 1 t0 ( )t∆ 1 1/2-1/2 TF 21
  • 22.
    Ejercicio: Calcular laTransformada de Fourier de la función escalón unitario o función de Heaviside, u(t): Grafica U(ω) = F[u(t)]. ¿Qué rango de frecuencias contiene U(ω)? ¿Cuál es la frecuencia predominante? u(t) 0 1 t 22
  • 23.
    La función deltade Kronecker y delta de Dirac if 0 ( ) 0 if 0 t t t δ ∞ = ≡  ≠ t δ(t) , 1 if 0 if m n m n m n δ = ≡  ≠ 23
  • 24.
    La función impulsoo delta de Dirac Recordemos que podemos pensar en la función delta como el límite de una serie de funciones como la siguiente: t f1(t) f2(t) fm(t) = m exp[-(mt)2 ]/√π f3(t) δ(t) 24
  • 25.
    Y recordemos algunaspropiedades de la función δ ( ) 1t dtδ ∞ −∞ =∫ t δ(t) ( ) ( ) ( ) ( ) ( )t a f t dt t a f a dt f aδ δ ∞ ∞ −∞ −∞ − = − =∫ ∫ exp( ) 2 ( exp[ ( ) ] 2 ( i t dt i t dt ω π δ ω ω ω π δ ω ω ∞ −∞ ∞ −∞ ± = ) ′ ′± − = − ) ∫ ∫ 25
  • 26.
    Transformada de Fourierde la δ(t): ( ) )(ttf δ= ( ) 1)(ˆ ==→ ∫ ∞ ∞− − dtetf ti δω ω t δ(t) ω 1 ω δ(ω) Observa que la transformada de Fourier de f(t) = 1/(2π) es: t ( ) )(dtefˆ ti ωπδ==ω ∫ ∞ ∞− ω− 21 π2 1 Recordemos 26
  • 27.
    f t( )= 0, t < − T 2 1 , − T 2 ≤ t ≤ T 2 0 , T 2 < t          − T 2 T 2 T 2π T − 2π T 2 2 )(ˆ T T sen Tf ω ω ω       =→ 27
  • 28.
  • 29.
    Transformada de Fourierde la función coseno +ω00−ω0 ω 0{cos( )}tωFcos(ω0 t) t 0 ( ) )cos( 0ttf ω= ( ) ∫ ∞ ∞− − = dtetf tiω ωω )cos(ˆ 0 ( ) =+=      + = ∫∫ ∞ ∞− +−−− ∞ ∞− − − dteedte ee tititi titi )()( 00 00 2 1 2 ωωωωω ωω [ ])()( 2 2 )(ˆ 00 ωωδωωδ π ω ++−=f [ ])()()(ˆ 00 ωωδωωδπω ++−=f 29
  • 30.
    Transformada de Fourierde la función seno: ( ) )( 0tsentf ω= ( ) == ∫ ∞ ∞− − dtetsenf tiω ωω )(ˆ 0 ∫ ∞ ∞− − −       − = dte i ee ti titi ω ωω 2 00 ( )dtee i titi ∫ ∞ ∞− +−−− −= )()( 00 2 1 ωωωω [ ])()()(ˆ 00 ωωδωωδπω −−+= if +ω0 0−ω0 ω sen(ω0 t) t 0 t)}sen({ 0ωF 30
  • 31.
    La transformada deFourier de la onda plana exp(iω0 t) La TF de exp(iω0 t) es una frecuencia pura. F {exp(iω0 t)} 0 ω0 ω exp(iω0 t) 0 t tRe Im 0 )(2 }{ 0 )( 0 00 ωωδπωω ωωω −= == ∫ ∫ ∞ ∞− −− ∞ ∞− − dte dteeeF ti tititi 31
  • 32.
  • 33.
    Encontrar la transformadade Fourier de la función: ( ) 0 0,0 0, >    < ≥ = − a t te tf at ( ) == ∫ ∞ −− 0 ˆ dteef tiat ω ω 2222 0 )( 0 )( 1 1 )10( 1 ω ω ω ω ω ω ωω ω ω ω + − + = − − + = + =− + − = + −= ∞+−∞ +− ∫ a i a a ia ia ia iaia ia e dte tia tia 33
  • 34.
    La transformada deFourier de una Gaussiana, exp(-at2 ), es otra Gaussiana. 2 2 2 {exp( )} exp( )exp( ) exp( / 4 ) at at i t dt a ω ω ∞ −∞ − = − − µ − ∫F t0 2 exp( )at− ω0 2 exp( / 4 )aω− TF Más adelante lo demostraremos. 34
  • 35.
    La transformada inversade Fourier Dada la función en el espacio recíproco G(k), podemos retornar al espacio directo mediante la inversa de la transformada de Fourier: { } ∫ ∞ ∞− − == dkekGkGFxg ikx )( 2 1 )()( 1 π ∫ ∞ ∞− − = dxexgkG ikx )()(       )'( )'( )'( '' 2 1 )( )()( 2 1 xg xx xxik ikxikxikx dxdkexg dkedxexgdkekG ∫ ∫ ∫ ∫ ∫ ∞ ∞− − ∞ ∞− − ∞ ∞− ∞ ∞− ∞ ∞− −         π =        = π δ 35
  • 36.
    A partir desu definición, obtener la transformada inversa de Fourier de la función ( ) ( ) ( )33 3 5 3 2 + − − = ωω ω ii g ( ) ( ) ( ) ( ) ( ) ( ) ( ) ( ) ( ) 3ordendepolo3 3 )( 3 2 :residuos)de(teoríadeCálculo 3 5 3 2 3 5 3 2 3 31 1 33 33 1 1 21 iz iz e zf de i I I de i de i de ii gF deggF izx xi I xi I xi xi xi −=⇒ − = − = + − − = =      + − − = = ∫ ∫∫ ∫ ∫ ∞ ∞− ∞ ∞− ∞ ∞− ∞ ∞− − ∞ ∞− − ω ω ω ω ω ω ω ωω ωω ω ωω ω ω      36
  • 37.
    [ ] [ ] () ( ) [ ] [ ] 0x;0I 0x;ex 2 5 π2f(z)πi10I 2 eix f(z) 3ordeni polo de3z 3iz e f(z) dωe 3iω 5 I ):e residuos(teoría dICálculo de 0x;0I 0x;eπx2f(z)πi4I 2 eix f(z) 2 x32 i3z 2 x32 i3z 3 izx iωω 32 2 1 x32 i3-z 1 x32 i3-z sRe sRe sRe sRe <= >== − = =⇒ + = + = >= <−== − = − = − = ∞ ∞− = = ∫ 37
  • 38.
  • 39.
    6136 1 )( 2 −− = ωω ω i g ∫ ∞ ∞− = ωωω degxf xi )()( A partir de la definición, obtener la transformada inversa de Fourier de la función: Respuesta. Integrando en el plano complejo: iziz zzzz zg 2 3 , 3 2 , ))((6 1 )( 21 21 == −− = 39
  • 40.
    • Si x> 0: ∫∫ ∫ ∑ − Γ = += == R RR k k izx dwwGdzzG zzGidzezg )()( )),((Res2)( )( 2 1 γ π izx g(z)eG(z) =Tomando Haciendo lim R→∞ ⇒= −− = ∞→∞→ 0 6136 1 lim)(limComo 2zz izz zg γ -R R C 40
  • 41.
    Jordan)de3(Lema0)(lim )(R =⇒ ∫∞→ R izx dxezg γ Entonces:         −== −− ∑ xx keezzGixf 3 2 2 3 5 2 )),((Res2)( π π • Si x < 0: ∫∫ ∫ ∑ − Γ = −= == R RR k k izx dwwGdzzG zzGidzezg )()( )),((Res2)( )( 2 1 γ π 41
  • 42.
    γ -R R Haciendo limR→∞ ⇒= −− = = ∞→ ∞→ 0 6136 1 lim )(limComo 2z z izz zg Jordan)de3(Lema0)(lim )(R =⇒ ∫∞→ R izx dxezg γ Entonces: 0)),((Res2)( == ∑ kzzGixf π      < ≥        − = −− 0, x0 0, xee 5 π2 f(x) x 3 2 x 2 3 42
  • 43.
    Algunas funciones noposeen transformada de Fourier La condición de suficiencia para que la transformada de Fourier de f(x), F(ω) exista es: es decir, que f(x) sea de cuadrado sumable. Funciones que no vayan asintóticamente a cero cuando x tiende a +∞ y –∞ en general no tienen transformadas de Fourier. ∫ ∞ ∞− ∞<dxxg 2 )( 43
  • 44.
    La TF ysu inversa son simétricas. ( )exp( ) 1 2 ( )exp( [ ] ) 2 F t i t dt F t i t dt ω π ω π ∞ −∞ ∞ −∞ − = − ∫ ∫ Si la TF de f(t) es F(ω), entonces la TF de F(t) es: Renombrando la variable de integración de t a ω’, podemos ver que llegamos a la TF inversa: 1 2 ( )exp( [ ] ) 2 F i dπ ω ω ω ω π ∞ −∞   ′ ′ ′= −    ∫ 2 ( )fπ ω= − Este el motivo por el que a menudo f y F se dice que son un "par transformado." Que podemos escribir: 44
  • 45.
    La transformada deFourier es en general compleja La transformada de Fourier F(k) y la función original f(x) son ambas en general complejas. De modo que la transformada de Fourier puede escribirse como: { } )()()( kiFkFxfF ir += { } potenciadeespectroA espectralfase espectralmagnitudoamplitud )( )()()( 2222 22 )( ≡+== ≡Θ ≡ +== == Θ ir ir ki FFF A FFkFA ekAkFxfF 45
  • 46.
    La transformada deFourier cuando f(x) es real La TF F(k) es particularmente simple cuando f(x) es real: ( ) ∫ ∫ ∫∫ ∞ ∞− ∞ ∞− ∞ ∞− ∞ ∞− − −= = −= dx)kxsin()x(f)k(F dx)kxcos()x(f)k(F dx)kx(isen)kxcos()x(fdxe)x(f i r ikx { } )k(iF)k(F)x(fF ir += 46
  • 47.
    Propiedades de lastransformadas de Fourier: 1. Linealidad: f (t) F.T . ← → ˆf ω( ) g(t) F.T . ← → ˆg ω( )     ⇒ f(t) + g(t) F.T . ← → ˆf ω( )+ ˆg ω( ) f (t) F.T . ← → ˆf ω( )⇒ (a + ib) f (t) F.T . ← → (a + ib) ˆf ω( ) 47
  • 48.
    La transformada deFourier de la combinación lineal de dos funciones. f(t) g(t) t t t ω ω ω F(ω) G(ω) f(t) + g(t) F(ω) + G(ω) )}({)}({ )}()({ tgbFtfaF tbgtafF + =+ 48
  • 49.
    Calcular la transformadade Fourier de la siguiente función: f (t) = 0 , t > a 2 1 , b 2 < t < a 2 2 , t < b 2          ; a > b > 0 La función f(t) se puede escribir también del siguiente modo: f (t) = g(t) + h(t) donde g(t) = 0 , t > a 2 1 , t < a 2       ; h(t) = 0 , t > b 2 1 , t < b 2       49
  • 50.
    Luego: ˆf (ω) =ˆg(ω) + ˆh(ω) 2 b 2 b sen 2 b 2 a 2 a sen 2 a )(fˆ ω       ω π + ω       ω π =ω 50
  • 51.
    Calcular la transformadade Fourier de la siguiente función: 0 1 -a -b b a0 51
  • 52.
    Tenemos que calcularla transformada de Fourier de la siguiente función: f t( )= 0, t < −a 1, − a < t < −b 0, − b < t < b 1, b < t < a 0, t > a          ; h(t) = 0 , t > b 1 , t < b    g(t) = 0 , t > a 1 , t < a     f t( )= g(t) − h(t) 52
  • 53.
    F.T .  →ˆg(ω) = 2a 2π sen(ωa) ωa h(t) = 0 , t > b 1 , t < b     g(t) = 0 , t > a 1 , t < a     F.T .  → ˆh(ω) = 2b 2π sen(ωb) ωb ˆf (ω) = ˆg(ω) − ˆh(ω) = 2a 2π sen(ωa) ωa − 2b 2π sen(ωb) ωb 53
  • 54.
    ( ){ })(ˆ ωftfF = ( ){ }       = = == ∫ ∫ ∫ ∞ ∞− − ∞ ∞− − ∞ ∞− − a f a dtetf a atdeatf a dteatfatfF t a i at a i ti ωω ω ω ˆ1 ')'( 1 )()( 1 )( ' )( 2. Escalado: ( ){ }       = a f a atfF ωˆ1 54
  • 55.
    Efecto de la propiedad deescalado f(t) F(ω) Pulso corto Pulso medio Pulso largo Mientras más corto es el pulso, más ancho es el espectro. Esta es la esencia del principio de incertidumbre en mecánica cuántica. ω ω ω t t t 55
  • 56.
    La transformada deFourier respecto al espacio Si f(x) es función de la posición, k se conoce como frecuencia espacial. Todo lo expuesto sobre la transformada de Fourier entre los dominios t y ω se aplica los dominios x y k. k x( ){ } )(ˆ)( kfdxexfxfF ikt == ∫ ∞ ∞− − 56
  • 57.
    3. Traslación enel dominio de tiempos ( ) ( )ωω ω featfftf aiTFTF ˆ)(ˆ)( ....  →←+⇒ →← ( ) ∫ ∞ ∞− − = dtetgg tiω ω )(ˆ ∫ ∞ ∞− − += dteatf tiω )( ( ) ∫ ∞ ∞− −− = dueufg aui )( )(ˆ ω ω ∫ ∞ ∞− − = dueufe uiai ωω )( ( ) )(ˆˆ ωω ω feg ai = f (t + a) = g(t) 57
  • 58.
    4. : f(t) = f * (t) ⇒ ˆf ω( )= ˆf * −ω( ) [ ] [ ] [ ] [ ]     −−= −= )(ˆIm)(ˆIm )(ˆRe)(ˆRe ωω ωω ff ff 5. : ( ) ∫ ∞ ∞− = dttff )(0ˆ ( ) ∫ ∞ ∞− = ωω π dff )(ˆ 2 1 0 58
  • 59.
    5. Identidad deParseval : f * (t)g(t)dt −∞ ∞ ∫ = ˆf * (ω) ˆg(ω)dω −∞ ∞ ∫ =                ∫∫ ∫ ∞ ∞− ∞ ∞− ∞ ∞− − dtdgdf ee titi ' ' )'(ˆ)(ˆ* ωωωω ωω ∫ ∫∫ ∞ ∞− ∞ ∞− −− ∞ ∞−         = edtgdfd ti ' )'(ˆ')(ˆ )(* ωω ωωωω δ(ω' −ω) f (t) = g(t) ⇒ f(t) 2 dt −∞ ∞ ∫ = ˆf (ω) 2 dω −∞ ∞ ∫ Teorema de Rayleigh ∫ ∞ ∞− = ωωω dgf )(ˆ)(ˆ* En particular: 59
  • 60.
    Toda función puedeescribirse como la suma de una función par y una función impar ( ) [ ( ) ( )]/ 2 ( ) [ ( ) ( )]/ 2 ( ) ( ) ( ) E x f x f x O x f x f x f x E x O x ≡ + − ≡ − − ⇓ = + E(-x) = E(x) O(-x) = -O(x) E(x) f(x) O(x) Sea f(x) una función cualquiera. 60
  • 61.
    Transformadas de Fourierde funciones pares, f(t) = f(-t): ( ) ∫ ∞ ∞− − = dttff e tiω ω )(ˆ       += ∫ ∫∞− ∞ −− 0 0 )()( dttfdttf ee titi ωω       += ∫ ∫ ∞ ∞ − 0 0 )()()(ˆ dttfdttff ee titi ωω ω ( )∫ ∞ − += 0 )( dttf ee titi ωω ( ) ∫ ∞ = 0 )cos()(2ˆ dtttff ωω 61
  • 62.
          +−= ∫ ∫ ∞∞ − 0 0 )()()(ˆ dttfdttff ee titi ωω ω Transformadas de Fourier de funciones impares, f(t) = -f(-t): ( ) ∫ ∞ ∞− − = dttff e tiω ω )(ˆ       += ∫ ∫∞− ∞ −− 0 0 )()( dttfdttf ee titi ωω ( )∫ ∞ − +−= 0 )( dttf ee titi ωω ( ) ∫ ∞ = 0 )()(2ˆ dttsentfif ωω 62
  • 63.
    6. Transformada dela derivada: ikF(k)ikF(f(x))(x))fF( ==′ ( ) )k´(iF))x(f´(iF)x(xfF == 7. Transformada xf(x): Ejercicio: demostrar las propiedades anteriores. Y en general: ( ) F(k)ik(x))F(f n)n( = Y en general: ( ) )k´(Fi)x(fxF nn = 63
  • 64.
    1. Encontrar latransformada de Fourier de la función: 2. A partir del resultado anterior y una conocida propiedad de la transformada de Fourier, determina la transformada de Fourier de la función: ( )2 1 1 )( x xf + = ( )22 1 x x )x(g + = iz-izzf z zfdz z e I dx x e kF ikz ikx ==∈∀ + =⇒ + = + = ∫ ∫ ∞ ∞− − ∞ ∞− − 21 22 2 yexceptoC,zanalíticaes)( 1 1 )(con3"tipo"integral 1 :complejoplanoalintegrallaPasamos 1 )(integrallapidenNos1. 64
  • 65.
    k k ikz iz ikz iz k ikz iz ikz iz ekF e iz e i z e ikF e iz e i z e ikF lím lím − − → − = − − −→ − −= = =      + =      + = < =      − −=      + −= ≥ π πππ πππ )(:quemodoDe 2 1 2)( :Ccircuitoelenintegramos0kPara 2 1 2)( :Ccircuitoelenintegramos0kPara 2 1 2 2 Res Res C1 C2 [ ] ( ) () ( ) ( ) 21 )( 1 2 1 2 : 1 2 yquePuesto 22 2222 22 k k eik x x FkG eik x x F x x F x x dx df fikF dx df F − − −=         + =⇒ ⇒=         + −=         + − + − ==      π π 2. 65
  • 66.
    Encontrar la transformadade Fourier de la función: siendo a>0 constante.       −= 2 exp)( 2 ax xf )( 2 exp)( 2 exp)( 22 xaxf ax axxf ax xf −=      −−=′⇒      −= )´()( kiaFkikF −= Derivando tenemos: [ ] ⇒    == ==′ )´())(´()( )())(())(( kiFxfiFxxfF kikFxfikFxfF Transformando a ambos lados de la ecuación y usando las siguientes propiedades de la TF: Veamos otra aplicación de estas dos últimas propiedades: 66
  • 67.
  • 68.
    Convolución Se define laintegral de convolución de dos funciones f(t) y g(t) del siguiente modo: ( ) duutguftgf )()()( −=∗ ∫ ∞ ∞− dutgutf )()(∫ ∞ ∞− −= 68
  • 69.
  • 70.
    rect(x) * rect(x) =∆(x) Ejemplo visual: 70
  • 71.
    Convolución con lafunción delta Convolucionar una función con una delta, simplemente centra la función sobre la delta. ( ) ) ( ) ( – ) ( ) f t t a f t u u a du f t a δ δ ∞ −∞ ∗ ( − = − = − ∫ 71
  • 72.
    Propiedades de laconvolución Commutativa: Asociativa: Distributiva: fggf ⊗=⊗ f⊗(g⊗h)=(f⊗g)⊗h f⊗(g+h)=f⊗g+f⊗h 72
  • 73.
    ( ) )()()(*)(wGwFtgtfF ⋅= El teorema de convolución o teorema de Wiener-Khitchine Convolución en el espacio real es equivalente a multiplicación en el espacio recíproco. 73
  • 74.
    Ejemplo del teoremade convolución 2 { ( )} sinc ( / 2) x k ∆ =F{rect( )} sinc( / 2) x k =F rect( ) rect( ) ( )x x x∗ = ∆ 2 sinc( / 2) sinc( / 2) sinc ( / 2)k k k× = 74
  • 75.
  • 76.
    )()()(ˆ)(ˆ tgtfdegf ti ∗=∫ ∞ ∞− ωωωω =      −∫ ∫ ∞ ∞− ∞ ∞− ωωωωωδω ω dfdeg ti )(ˆ ')'()'(ˆ ' ( ) )()()(*)( wGwFtgtfF ⋅= Aplicando la TF a ambos lados: 76
  • 77.
         < > = 2 ,)cos( 2 ,0 )( 0 T tt T t tf ω Ejemplo de aplicacióndel teorema de convolución: Calcular la transformada de Fourier de la siguiente función: ( ) ∫ − − = 2 2 0 )cos(ˆ T T ti dtetf ω ωω ∫ − − −       + = 2 2 2 00 T T ti titi dte ee ω ωω 2 2 0 )( 0 )( 00 2 1 )(ˆ T T titi ieie f − +−−−       + + − = ωωωω ω ωωωω Podemos hacerlo aplicando la definición: 77
  • 78.
              + + − +    − − − = 2 )( )2( 2 )( )2( 2 1 )(ˆ 0 0 0 0 T sen iiT sen ii f ωω ωω ωω ωω ω ( )( )             +     + + −     − = 2 2 )( 2 2 )( 2 )(ˆ 0 0 0 0 T T sen T T sen T f ωω ωω ωω ωω ω      < > = 2 ,)cos( 2 ,0 )( 0 T tt T t tf ω 78
  • 79.
         < > = 2 ,1 2 ,0 )( T t T t th ; g t() = cos(ω0t) [ ])()( 2 )(ˆ 00 ωωδωωδ π ω ++−=g 2 2 )(ˆ T T sen Th ω ω ω       =      < > = 2 ,)cos( 2 ,0 )( 0 T tt T t tf ω ( ) )()( tgthtf =→ TF TF Pero, también podemos usar: ghhgf ˆˆˆ ∗== 79
  • 80.
    ( ) dtetgthghtiω π ω − ∞ ∞− ∫=∗ )()( 2 1 )(ˆˆ ghhgf ˆˆˆ ∗== ( ) =−=∗ ∫ ∞ ∞− ')'(ˆ)'(ˆ)(ˆˆ ωωωωω dghgh [ ] ')'()'( 2 2 ' 2 ' 2 1 00 ωωωωδωωωδ π ω ω π d T T sen T +−+−−       = ∫ ∞ ∞− ( ) ( )             +     + + −     − =∗= 2 2 )( 2 2 )( 22 1 ))(ˆˆ()(ˆ 0 0 0 0 T T sen T T sen T ghf ωω ωω ωω ωω π ωω 80
  • 81.
    Calcular la transformadade Fourier del producto de convolución de las siguientes funciones: f (t) = 0 , t > a − b 2 1 , t < a − b 2       g(t) = 2π δ t − a + b 2       + δ t + a + b 2             81
  • 82.
    El producto deconvolución de las funciones f(t) y g(t) es: f ∗ g( )(t) = 1 2π f(u) −∞ ∞ ∫ g(t − u)du f ∗ g( )(t) = f(u) −∞ ∞ ∫ δ(t − a + b 2 − u) + δ(t + a + b 2 − u)      du f ∗ g( )(t) = f(t − a + b 2 ) + f (t + a + b 2 ) es decir que el producto de convolución de f(t) y g(t) son dos funciones pulso de anchura a-b centradas en (a+b)/2 y -(a+b)/2 cuya gráfica es la siguiente: 82
  • 83.
    0 1 -a -b ba0 y cuya transformada de Fourier calculamos en el ejercicio anterior: 2a 2π sen(ωa) ωa − 2b 2π sen(ωb) ωb 83
  • 84.
    Una forma alternativapara calcular la transformada de Fourier del producto de convolución de f(t) y g(t) es usar el teorema de convolución, según el cuál, la transformada de Fourier del producto de convolución de f(t) y g(t) es igual al producto de las transformadas de Fourier respectivas de f(t) y g(t): f ∗ g( )(t) = F.T .  → ˆf(ω) ˆg(ω) f (t) = 0 , t > a − b 2 1 , t < a − b 2       F.T .  → ˆf(ω) = a − b 2π sen(ω a − b 2 ) ω a − b 2 84
  • 85.
    Calculamos la transformadade Fourier de g(t): ˆg ω( ) = 1 2π g(t) −iωt e dt −∞ ∞ ∫ ˆg ω( ) = 1 2π 2π δ t − a + b 2       + δ t + a + b 2             − iωt e dt −∞ ∞ ∫ ˆg ω( ) = −iω a+ b 2e + iω a+ b 2e = 2cos ω a + b 2       ˆf (ω) ˆg ω( ) = a − b 2π sen(ω a − b 2 ) ω a − b 2 2cos ω a + b 2       85
  • 86.
    ˆf (ω) ˆgω( ) = a − b 2π sen(ω a − b 2 ) ω a − b 2 2cos ω a + b 2       ˆf (ω) ˆg ω( ) = 2 π 1 ω 2sen(ω a − b 2 )cos ω a + b 2       ˆf (ω) ˆg ω( ) = 2 π 1 ω sen(ωa) − sen ωb( )[ ] que coincide con la transformada que habíamos calculado del otro modo. 86
  • 87.
    ˆf (ω) = T2 2π sen2 ( ωT 2 ) ω2 T 2 4 Utilizarel teorema de convolución para calcular la antitransformada de Fourier de la siguiente función: Tenemos que calcular la antitransformada: f t( )= 1 2π ˆf(ω) iωt e dω −∞ ∞ ∫ f t( )= 1 2π T 2 2π sen2 ( ωT 2 ) ω2 T 2 4 iωt e dω −∞ ∞ ∫ = 1 2π T 2π sen( ωT 2 ) ωT 2           2 iωt e dω −∞ ∞ ∫ 87
  • 88.
    f (t) = 1 2π T 2π sen( ωT 2 ) ωT 2           T 2π sen( ωT 2 ) ωT 2           iωt edω −∞ ∞ ∫ y, llamando: ˆg(ω) = T 2π sen( ωT 2 ) ωT 2 nos queda que: f (t) = 1 2π ˆg(ω)ˆg(ω) iωt e dω −∞ ∞ ∫ = 1 2π 2π g ∗ g( )(t) Teorema de convolución g(t) = 0 , t > T 2 1 , t < T 2       Antitransformada de Fourier 88
  • 89.
    Por tanto, laintegral de convolución de g(t) consigo misma queda: g ∗ g( )(t) = 1 2π g(u) −∞ ∞ ∫ g(t − u)du g(t) = 0 , t > T 2 1 , t < T 2       donde Si t < −T ⇒ g ∗ g( )(t) = 0 Si − T < t < 0 ⇒ g ∗ g( )(t) = 1 2π 1 ×1 − T 2 t+ T 2 ∫ × du = t + T 2π 89
  • 90.
    Si 0 <t < T ⇒ g ∗ g( )(t) = 1 2π 1×1 t− T 2 T 2 ∫ × du = T − t 2π Si t > T ⇒ g ∗ g( )(t) = 0 Luego: f (t) = g ∗ g( )(t) = T − t 2π , t < T 0 , t > T     90

Notas del editor

  • #70 Understanding of convolution with one dimensional functions enhances your understanding of more complex convolutions. Printing out this page and figuring out what is done here is recommended