Moléculas Orgánicas Ciclo 2011-2012
BIOMOLÉCULAS TIPO MONÓMERO (UNIDAD BÁSICA) POLÍMERO  (MOLÉCULA COMPLEJA) Carbohidrato Monosacárido Disacárido Oligosacárido Polisacárido Proteína Aminoácido Oligopéptido ¨Polipéptido
BIOMOLÉCULAS TIPO MONÓMERO /UNIDAD BÁSICA POLÍMERO / MOLÉCULA COMPLEJA Lípido Ácido graso /unidad isoprénica Trigliceridos Ceras Fosfolípidos Esfingolípidos Terpenos  Ciclopentanoperihidrofenatreno Ácido nucleico Nucleótido ARN ADN ATP, NADH, FADH
 
 
 
 
Fórmula de Fisher Fórmula de Haworth
Principales monosacáridos Glucosa Manosa Galactosa Fructosa Ribosa Desoxiribosa
Disacáridos Glucosa + Glucosa = Maltosa (enlace  α 1-4)   Glucosa + Glucosa = Celobiosa (enlace  β 1-4) Glucosa + Galactosa = Lactosa (enlace  β 1-4) Glucosa + Fructosa = Sacarosa (enlace  α 1-  β  2)
 
 
 
 
PROTEÍNAS Se pueden definir como polímeros formados por la unión de unidades de menor masa molecular llamadas aminoácidos. Estas uniones o enlaces se denominan enlaces peptídicos.
PROTEÍNAS Funciones: Estructural Enzimática Homeostática
PROTEÍNAS Funciones: Estructural Enzimática Homeostática
PROTEÍNAS Funciones: Transporte Movimiento Hormonal . Inmunológica
PROTEÍNAS Funciones: Transporte Movimiento Hormonal . Inmunológica
PROTEÍNAS Funciones: Transporte Movimiento Hormonal . Inmunológica
 
 
 
 
LÍPIDOS
LÍPIDOS
 
 
 
 
 
Clasificación de los lípidos Saponificables: Grasas Fosfolípidos Ceras No saponificables : Terpenos Esteroides
Ácidos grasos Son cadenas de átomos de carbono con una función ácido (carboxilo) en un extremo
Ácidos grasos Pueden ser: Saturados (sin dobles enlaces) Insaturados (con dobles enlaces)
 
©  José Luis Sánchez Guillén  CERAS
PROSTAGLANDINAS
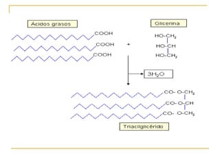
Triacilglicéridos Son ésteres de ácidos grasos con el alcohol GLICERINA
 
Estructura de un triacilglicérido -C-O = O CH 2 CH CH 2 -C-O = O -C-O = O Glicerina Ácido graso Ácido graso Ácido graso éster Las cadenas de los ácidos grasos pueden ser iguales o diferentes, saturadas o insaturadas.
 
 
 
 
 
 
 
Glicolípidos
 
 
©  José Luis Sánchez Guillén
 
 
 
 
ÁCIDOS NUCLEICOS
 
 
 
Molécula de FADH
Molécula de FADH
Tipos de ADN: A, B y Z
Tipos de ARN
 

Moléculas orgánicas