PERFIL HEPATICOPERFIL HEPATICO
J. Jorge Huamàn SaavedraJ. Jorge Huamàn Saavedra
Doctor en Medicina. Patólogo Clínico. Magister en BioquímicaDoctor en Medicina. Patólogo Clínico. Magister en Bioquímica
INTRODUCCIONINTRODUCCION
Las enfermedades hepáticas y de víasLas enfermedades hepáticas y de vías
biliares plantean problemas diagnóstico enbiliares plantean problemas diagnóstico en
niños, adultos y gestantesniños, adultos y gestantes
El laboratorio clínico a través del perfilEl laboratorio clínico a través del perfil
hepático es una valiosa ayudahepático es una valiosa ayuda
Perfil hepáticoPerfil hepático
 Bilirrubina total, directa e indirectaBilirrubina total, directa e indirecta
 Albúminas . GlobulinasAlbúminas . Globulinas
 Fosfatasa alcalinaFosfatasa alcalina
 Transaminasa glutámico pirúvicaTransaminasa glutámico pirúvica
 Transaminasa glutámico oxalacéticaTransaminasa glutámico oxalacética
 Tiempo de ProtrombinaTiempo de Protrombina
Además de acuerdo al tipo: 5 nucleotidasa oAdemás de acuerdo al tipo: 5 nucleotidasa o
GamamglutamiltranspeptidasaGamamglutamiltranspeptidasa
BilirrubinaBilirrubina
BilirrubinasBilirrubinas
 Producto del catabolismo de la hemoglobina, a partir de las porfirinasProducto del catabolismo de la hemoglobina, a partir de las porfirinas
del núcleo hemedel núcleo heme
 Bilirubina indirectaBilirubina indirecta::
 Es la recién formada .Es la recién formada .
 Requiere un solvente para unirse al reactivo de van der Bergh.Requiere un solvente para unirse al reactivo de van der Bergh.
 Se transporta unida a la albúmina, no se elimina por la orina.Se transporta unida a la albúmina, no se elimina por la orina.
 Captada por el hígado y al conjugarse con dos ácidos glucurónico seCaptada por el hígado y al conjugarse con dos ácidos glucurónico se
convierte en directa.convierte en directa.
Bilirrubina directa o conjugadaBilirrubina directa o conjugada: formada en: formada en
el hígado es excretada por la bilis. Esel hígado es excretada por la bilis. Es
soluble y si aumenta se elimina por la orinasoluble y si aumenta se elimina por la orina
Bilirrubina totalBilirrubina total: suma de directa e: suma de directa e
indirecta.indirecta.
DeterminaciónDeterminación
 Muestra: suero. Proteger de la luz, especialmente en reciénMuestra: suero. Proteger de la luz, especialmente en recién
nacidos. Evitar hemólisisnacidos. Evitar hemólisis
 Mètodos manual y automatizadoMètodos manual y automatizado
 Valores normales:Valores normales:
 Bilirrubina total: hasta 1 mg/dlBilirrubina total: hasta 1 mg/dl
 Biliirubina directa: hasta 0.3Biliirubina directa: hasta 0.3
 Biliirubina indirecta: hasta 0.7Biliirubina indirecta: hasta 0.7
Hiperbilirrubinemia no conjugadaHiperbilirrubinemia no conjugada
HemólisisHemólisis
Eritropoyesis ineficazEritropoyesis ineficaz
Disminución de la captación hepáticaDisminución de la captación hepática
Alteración de la conjugación: Sindrome deAlteración de la conjugación: Sindrome de
Crigler Najjar I y IICrigler Najjar I y II
Sindrome de GilbertSindrome de Gilbert
Hiperbilirrubinemia mixta oHiperbilirrubinemia mixta o
pr.conjugadapr.conjugada
Sindrome de Dubin-JohnsonSindrome de Dubin-Johnson
Sindrome de RotorSindrome de Rotor
Hepatitis agudaHepatitis aguda
Hepatitis crónicaHepatitis crónica
Hepatitis alcohólicaHepatitis alcohólica
Cirrosis hepáticaCirrosis hepática
Ictericia obstructivaIctericia obstructiva
Proteínas séricas: albúmina yProteínas séricas: albúmina y
globulinaglobulina
Muestra: sueroMuestra: suero
Determinación de proteínas: biuretDeterminación de proteínas: biuret
modificadomodificado
Determinación de albúmina: bromocresolDeterminación de albúmina: bromocresol
Globulina: diferencia de PT-albúminasGlobulina: diferencia de PT-albúminas
Valores normalesValores normales
- Proteínas totales: 6.1 –7.9 g/dlProteínas totales: 6.1 –7.9 g/dl
- Albúmina: 3.5-4.8 g/dlAlbúmina: 3.5-4.8 g/dl
- Globulina: 1.1-2.2Globulina: 1.1-2.2
- Relación albúmina/globulina: > 1Relación albúmina/globulina: > 1
Alteraciones de las proteínas:Alteraciones de las proteínas:
AlbúminaAlbúmina
Hipoalbuminemia:Hipoalbuminemia:
 Problemas hepatobiliares: La albúmina sérica es marcadorProblemas hepatobiliares: La albúmina sérica es marcador
de síntesis proteica hepática y disminuye en los cuadrosde síntesis proteica hepática y disminuye en los cuadros
crónicos : hepatitis crónica, cirrosis hepática, ictericiacrónicos : hepatitis crónica, cirrosis hepática, ictericia
obstructiva crónicaobstructiva crónica
 Proteinuria: síndrome nefróticoProteinuria: síndrome nefrótico
 Desnutrición: menor ingestaDesnutrición: menor ingesta
 Pérdida intestinal de proteínasPérdida intestinal de proteínas
GlobulinasGlobulinas
Las globulinas aumentan en procesosLas globulinas aumentan en procesos
inflamatorios, infecciosos.Aumenta eninflamatorios, infecciosos.Aumenta en
hepatopatías crónicas como hepatitishepatopatías crónicas como hepatitis
crónica y cirrosis. En la cirrosis se tiene lacrónica y cirrosis. En la cirrosis se tiene la
inversión de la relación albúmina/globulinainversión de la relación albúmina/globulina
IgG : hepatitis autoinmuneIgG : hepatitis autoinmune
IGM: cirrosis biliar primariaIGM: cirrosis biliar primaria
IGA: enfermedad hepática alcohólicaIGA: enfermedad hepática alcohólica
TransaminasasTransaminasas
 Marcadores de daño en los hepatocitosMarcadores de daño en los hepatocitos
 Más útiles para detectar enfermedades hepatocelularesMás útiles para detectar enfermedades hepatocelulares
agudas como lasagudas como las hepatitishepatitis
 Daño a la membrana:no necesariamente necrosis por loDaño a la membrana:no necesariamente necrosis por lo
que su valor no guarda correlación con el grado de lesiónque su valor no guarda correlación con el grado de lesión
y no tiene valor pronósticoy no tiene valor pronóstico
 Aspartato amino transferasa (AST) o TransaminasaAspartato amino transferasa (AST) o Transaminasa
Glutámico Oxalacética o GOTGlutámico Oxalacética o GOT. Poco específica: hígado,. Poco específica: hígado,
músculo cardiaco, esquelético, riñón, cerebro, pulmones,músculo cardiaco, esquelético, riñón, cerebro, pulmones,
páncreas, leucocitos, hematíespáncreas, leucocitos, hematíes
 Alanina aminotransferasa (ALT) ó Transaminasa GlutámicoAlanina aminotransferasa (ALT) ó Transaminasa Glutámico
Pirúvica o GPTPirúvica o GPT. Màs especìfica del hìgado. Màs especìfica del hìgado
Transaminasa glutàmico pirùvica o AlaninaTransaminasa glutàmico pirùvica o Alanina
Transaminasa (ALT)Transaminasa (ALT)
Determinación de transaminasasDeterminación de transaminasas
Método colorimétrico manual oMétodo colorimétrico manual o
automatizado.automatizado.
Muestra: suero. Evitar hemólisisMuestra: suero. Evitar hemólisis
V.N. Depende del métodoV.N. Depende del método
TransaminasasTransaminasas
 Alteraciones:AumentoAlteraciones:Aumento
-hepatitis aguda ,GPT>GOT, generalmente >500 U/l-hepatitis aguda ,GPT>GOT, generalmente >500 U/l
- hepatitis crónica :GPT>, <300 U/l- hepatitis crónica :GPT>, <300 U/l
- hepatitis alcohólica y cirrosis hepática, GOT:GPT >2,- hepatitis alcohólica y cirrosis hepática, GOT:GPT >2,
sugestivosugestivo
- ictericia obstructiva: discreto aumento- ictericia obstructiva: discreto aumento
Fosfatasa alcalinaFosfatasa alcalina
 Enzima marcadora de colestasis u obstrucción total oEnzima marcadora de colestasis u obstrucción total o
parcial del flujo biliar intra o extrahepáticaparcial del flujo biliar intra o extrahepática
 DeterminaciónDeterminación
 Muestra: sueroMuestra: suero
 Método: colorimétrico. Manual ó a utomatizadoMétodo: colorimétrico. Manual ó a utomatizado
 Valores normales: dependen del método. En los niñosValores normales: dependen del método. En los niños
mayores que los adultos, aumento en el embarazomayores que los adultos, aumento en el embarazo
 Isoenzimas: hígado, hueso, placenta e intestinoIsoenzimas: hígado, hueso, placenta e intestino
Fosfatasa alcalinaFosfatasa alcalina
 Aumento en:Aumento en:
 Discreto <3 veces normal: hepatitis aguda. HepatitisDiscreto <3 veces normal: hepatitis aguda. Hepatitis
crónica. Hepatitis alchólica, cirrosiscrónica. Hepatitis alchólica, cirrosis
 Marcado :frecuentemente >4 veces normal. IctericiaMarcado :frecuentemente >4 veces normal. Ictericia
obstructiva y obstrucción parcialobstructiva y obstrucción parcial
 Enfermedades óseasEnfermedades óseas
 EmbarazoEmbarazo
GamaglutamiltranspeptidasaGamaglutamiltranspeptidasa
Se emplea para confirmar el aumentoSe emplea para confirmar el aumento
solitario de la fosfatasa alcalina que podríasolitario de la fosfatasa alcalina que podría
deberse a problemas extrahepáticos.deberse a problemas extrahepáticos.
Otras: alcoholismoOtras: alcoholismo
Muestra: sueroMuestra: suero
Método: cinéticoMétodo: cinético
Tiempo de protrombinaTiempo de protrombina
Marcador de síntesis proteicaMarcador de síntesis proteica
Método manual o automatizadoMétodo manual o automatizado
Muestra: plasma citratadoMuestra: plasma citratado
VN: de 12 a 13 segundos(plasma control)VN: de 12 a 13 segundos(plasma control)
Tiempo de protrombinaTiempo de protrombina
Prolongado enProlongado en
- Anticoagulante orales.- Anticoagulante orales.
- Hepatitis aguda: mal pronóstico, no se corrige con- Hepatitis aguda: mal pronóstico, no se corrige con
Vitamina K IM.Vitamina K IM.
- Hepatitis crónica , alcohólica, cirrosis: no se corrige con- Hepatitis crónica , alcohólica, cirrosis: no se corrige con
administración parenteraladministración parenteral
- Ictericia obstructiva: si se corrige conVit K- Ictericia obstructiva: si se corrige conVit K
- Defecto de factorVII- Defecto de factorVII
- Defecto de factor X,V, II- Defecto de factor X,V, II
Patrones de Perfil hepáticoPatrones de Perfil hepático
PatrònPatròn BilirrubinaBilirrubina TransaminTransamin FAlcalinaFAlcalina AlbùmAlbùm T.PrT.Pr
S.GilbertS.Gilbert
HemòlisisHemòlisis
N a 5 BIN a 5 BI NN NN NN NN
HepatiAguda(V,D,T,IHepatiAguda(V,D,T,I
C)C)
BDBD+BI+BI BBoror >500 TGP>TGO>500 TGP>TGO N a <3VNN a <3VN NN N,N,
>5X,MP>5X,MP
Hep. CrónicHep. Crónic BDBD+BI+BI BBoror <300 U<300 U N a <3VNN a <3VN DD ProlProl
No c VKNo c VK
Hep AlHep Al
CirrosisCirrosis
BD+BI BorBD+BI Bor TGO:TGO:
TGP>2TGP>2
N a <3VNN a <3VN DD ProPro NocVKNocVK
ColestasisColestasis
(Icter.Obst.)(Icter.Obst.)
BDBD+BI+BI BBoror N a mN a m
<500<500
>4VN>4VN N –D©N –D© N,P(cVK)N,P(cVK)
Infiltraciòn.(OP)Infiltraciòn.(OP) NN N o leN o le >4VN>4VN
GGTGGT
NN NN
PatronesPatrones
I: S.Gilbert o hemólisisI: S.Gilbert o hemólisis
II: Hepatitis agudaII: Hepatitis aguda
III: Hepatitis crónicaIII: Hepatitis crónica
IV: Hepatitis alcohólica o cirrosis hepáticaIV: Hepatitis alcohólica o cirrosis hepática
V. Ictericia obstructivaV. Ictericia obstructiva
VI: Obstrucción parcialVI: Obstrucción parcial
Patrón IPatrón I
 Todo normal, salvo bilirrubina que puede ser normal oTodo normal, salvo bilirrubina que puede ser normal o
aumentado hasta 5 mg/dl, a expensas de la biliirubinaaumentado hasta 5 mg/dl, a expensas de la biliirubina
indirectaindirecta
 S.Gilbert: trastorno hereditario, frecuente benigno, 3 a 7%S.Gilbert: trastorno hereditario, frecuente benigno, 3 a 7%
de la población.Alteración de la conjugación por defectode la población.Alteración de la conjugación por defecto
de la Gtfasade la Gtfasa
 HemólisisHemólisis
Patrón II:Hepatitis AgudaPatrón II:Hepatitis Aguda
Causa: viral, tóxica, insuficiencia cardiacaCausa: viral, tóxica, insuficiencia cardiaca
Bilirrubina: puede aumentar ambasBilirrubina: puede aumentar ambas
fracciones, predominio de BD. Biliirbinuriafracciones, predominio de BD. Biliirbinuria
Transaminasas: GPT>GOT, frecuentementeTransaminasas: GPT>GOT, frecuentemente
>500 U/l>500 U/l
Fosfatasa alcalina: normal hasta <3 vecesFosfatasa alcalina: normal hasta <3 veces
VNVN
Albúmina: normalAlbúmina: normal
Tiempo de x5 es mal pronóstico, no seTiempo de x5 es mal pronóstico, no se
corrige con vitamina Kcorrige con vitamina K
III: Hepatitis CrónicaIII: Hepatitis Crónica
Bilirrubina: pueden aumentar ambas,Bilirrubina: pueden aumentar ambas,
predominio BD. Biliirubinuriapredominio BD. Biliirubinuria
Transaminasas: GPT>GOT, <300 UI/lTransaminasas: GPT>GOT, <300 UI/l
Fosfatasa alcalina: normal hasta <3VNFosfatasa alcalina: normal hasta <3VN
Albúmina: disminuidaAlbúmina: disminuida
Tiempo de protrombina: prolongada y noTiempo de protrombina: prolongada y no
se corrige conVitamina K parenteralse corrige conVitamina K parenteral
IV Hepatitis álcohólica, cirrosisIV Hepatitis álcohólica, cirrosis
Bilirrubina: ambas fracciones pueden estarBilirrubina: ambas fracciones pueden estar
elevadas. Bilirrubinuriaelevadas. Bilirrubinuria
Transaminasas: GOT:GPT >2 sugiereTransaminasas: GOT:GPT >2 sugiere
cirrosis o hepatitis alcohólicacirrosis o hepatitis alcohólica
Fosfatasa alcalina: normal hasta <3VNFosfatasa alcalina: normal hasta <3VN
Albúmina: disminuidaAlbúmina: disminuida
Tiempo de protrombina: prolongada y noTiempo de protrombina: prolongada y no
se corrige conVitamina K parenteralse corrige conVitamina K parenteral
V. Ictericia ObstructivaV. Ictericia Obstructiva
Colestasis intra o extrahepáticaColestasis intra o extrahepática
Bilirrubina: ambas fracciones pueden estarBilirrubina: ambas fracciones pueden estar
elevadas, predominio BD. Bilirrubinuriaelevadas, predominio BD. Bilirrubinuria
Transaminasas: normal a elevaciónTransaminasas: normal a elevación
moderada, rara vez >500 U/lmoderada, rara vez >500 U/l
Fosfatasa alcalina: elevada, con frecuenciaFosfatasa alcalina: elevada, con frecuencia
>4 veces valor normal>4 veces valor normal
Albúmina: normal si es aguda, disminuida siAlbúmina: normal si es aguda, disminuida si
es crónicaes crónica
Tiempo de protrombina: normal,Tiempo de protrombina: normal,
prolongado pero si se corroge conVit Kprolongado pero si se corroge conVit K
parenteralparenteral
VI Obstrucción parcialVI Obstrucción parcial
Enfermedades infiltrativas: tumor,Enfermedades infiltrativas: tumor,
granulomasgranulomas
Bilirrubina: habitualmente normalBilirrubina: habitualmente normal
Transaminasas: normal o ligeramenteTransaminasas: normal o ligeramente
elevadaelevada
Fosfatasa alcalina: elevada, con frecuenciaFosfatasa alcalina: elevada, con frecuencia
>4 veces valor normal. Requiere confirmar>4 veces valor normal. Requiere confirmar
con gammaglutamiltranspeptidasa o 5con gammaglutamiltranspeptidasa o 5
nucelotidasanucelotidasa
Albúmina: normalAlbúmina: normal
Tiempo de protrombina: normalTiempo de protrombina: normal
Otros marcadores en enf. hepáticasOtros marcadores en enf. hepáticas
 Amoníaco
 Anticuerpos antinucleares(ANA). Hepatitis autoinmune
 Anticuerpos antimúsculo liso: Hepatitis autoinmune
 Anticuerpos antimitondriales: Cirrosis biliar primaria
 Anticuerpos anticitoplasma neutrófilo perinuclear
(pANCA): Colangitis esclerosante primaria
 Ceruplasmina: Enf. De Wilson
 Marcadores de Hepatitis A, B , C y D
ALTERACIONES CRONICAS DE LASALTERACIONES CRONICAS DE LAS
TRANSAMINASASTRANSAMINASAS
-- Elevaciòn crònica; màs de 6 mesesElevaciòn crònica; màs de 6 meses
- Prevalencia:0.5-14.9 %- Prevalencia:0.5-14.9 %
- 69-81 % no estàn vinculados a hepatitis viral ni a consumo- 69-81 % no estàn vinculados a hepatitis viral ni a consumo
de alcoholde alcohol
- màs comùn en la atenciòn primariamàs comùn en la atenciòn primaria
- La elevaciòn de las transaminasas es dentro del àrea deLa elevaciòn de las transaminasas es dentro del àrea de
hepatologìa el problemahepatologìa el problema
- Ridruejo E,Mandò O,Abbate F.Alteraciones crònicas de las Transaminasas 2006Ridruejo E,Mandò O,Abbate F.Alteraciones crònicas de las Transaminasas 2006
- Se requiere una evaluaciòn sistemàticaSe requiere una evaluaciòn sistemàtica
- Primer paso: repetir el test uno o dos meses despuèsPrimer paso: repetir el test uno o dos meses despuès
- Si el paciente consume habitualmente alcohol o ingiereSi el paciente consume habitualmente alcohol o ingiere
fàrmacos sospechosos, que puede suspenderse, se debefàrmacos sospechosos, que puede suspenderse, se debe
aconsejar discontinuarlos antes de repetir el anàlisisaconsejar discontinuarlos antes de repetir el anàlisis
Si sale normal no requiere màs evaluaciònSi sale normal no requiere màs evaluaciòn
Si sigue anormal debe seguirs e los sgtesSi sigue anormal debe seguirs e los sgtes
pasos:pasos:
Interrogatorio. Uso de alcohol,Interrogatorio. Uso de alcohol,
medicamentos,conductas sexuales demedicamentos,conductas sexuales de
riesgo, exposiciòn parenteral, viajesriesgo, exposiciòn parenteral, viajes
recientesrecientes
 Antecedentes personales de enfermedades hepàticas yAntecedentes personales de enfermedades hepàticas y
otras enfermedadesotras enfermedades
 Antecedentes heredofamilires de enfermedades hepàticasAntecedentes heredofamilires de enfermedades hepàticas
crònicascrònicas
 Interrogar sìntomas.Astenia, artralgias, mialgias, anorexia,Interrogar sìntomas.Astenia, artralgias, mialgias, anorexia,
rash, pèrdida de peso, dolor abdominalrash, pèrdida de peso, dolor abdominal,, fiebre, prurito,fiebre, prurito,
coluria, hipocolia e ictericiacoluria, hipocolia e ictericia
Duraciòn de la anormalidadDuraciòn de la anormalidad
Examen fìsico:Examen fìsico:
- hepatomegalia,hepatomegalia,
- AscitisAscitis
- esplenomegalia,esplenomegalia,
- arañas vasculares,arañas vasculares,
- eritema palmareritema palmar
- ginecomastia, etcginecomastia, etc
EtapasEtapas
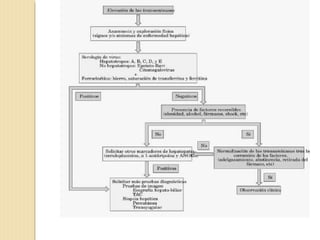
 Etapa 1: Descartar las causas màs frecuentesEtapa 1: Descartar las causas màs frecuentes
 FàrmacosFàrmacos: suspender: suspender
 Abuso de alcoholAbuso de alcohol: puede elevar en forma aguda o crònica las: puede elevar en forma aguda o crònica las
transaminasas AST/ALT>2, GGT doble . Màs del 90%transaminasas AST/ALT>2, GGT doble . Màs del 90%
 Hepatitis B:Hepatitis B: HbsAg, antiHBs, antiHBc, HBeAg y antiHBe. DNAHbsAg, antiHBs, antiHBc, HBeAg y antiHBe. DNA
 Hepatitis CHepatitis C.AntiHBC, RNA viral.AntiHBC, RNA viral
 HemocromatosisHemocromatosis genètica o hereditaria: saturaciòn degenètica o hereditaria: saturaciòn de
transferrina >45%y ferritina >400 ng/mltransferrina >45%y ferritina >400 ng/ml
 Esteatohepatitis no alcòholica (EHNA)Esteatohepatitis no alcòholica (EHNA).Ecografìa. La ùnica.Ecografìa. La ùnica
evidencia clìnica puede ser el aumento de lasevidencia clìnica puede ser el aumento de las
transaminasas.Obesidad,DM,hiperlipidemiatransaminasas.Obesidad,DM,hiperlipidemia
AST/ALT<1.Trans:3-5x. FAL y GGT puede 2x.BiopsiaAST/ALT<1.Trans:3-5x. FAL y GGT puede 2x.Biopsia
 Etapa 2. Descartar enfermedades no hepàticas comunes:Etapa 2. Descartar enfermedades no hepàticas comunes:
HipotiroidismoHipotiroidismo
HipertiroidismoHipertiroidismo: 37—60.5 % de EG alteraciones.Fal 33-44%,AST 14-17: 37—60.5 % de EG alteraciones.Fal 33-44%,AST 14-17
% y ALT23-26%% y ALT23-26%
Enfermedad celiacaEnfermedad celiaca: 40 % <130 de ALT.Ac antigliadina IgG,: 40 % <130 de ALT.Ac antigliadina IgG,
antiendomisio IgG e IgAantiendomisio IgG e IgA
Alteraciones muscularesAlteraciones musculares:AST,CPKm LDH, aldolasa AST>ALT:AST,CPKm LDH, aldolasa AST>ALT

Etapa 3: Identificar enfermedades hepàticasEtapa 3: Identificar enfermedades hepàticas
infrecuentes:infrecuentes:
Hepatitis autoinmuneHepatitis autoinmune. HA1:ANA >1:80,. HA1:ANA >1:80,
p.homogèneo HA2: antip.homogèneo HA2: anti
LKM(microsomales)LKM(microsomales)
Enfermedad de WilsonEnfermedad de Wilson. Ceruloplasmina<20. Ceruloplasmina<20
mg/dlmg/dl
Dèficit alfa 1 antitripsinaDèficit alfa 1 antitripsina
Etapa 4. Decidir la punciòn biopsia vs laEtapa 4. Decidir la punciòn biopsia vs la
observaciònobservaciòn
10 % requiere.10 % requiere.
En 109 pacientes: inespecìficos 33 %, hìgadoEn 109 pacientes: inespecìficos 33 %, hìgado
graso no alcohòlico 16 %, hepatitisgraso no alcohòlico 16 %, hepatitis
crònica/cirroiss 51 %. En el 60 % de cirrosis:crònica/cirroiss 51 %. En el 60 % de cirrosis:
hepatitis viral B o C por PCR (hepatitis viral B o C por PCR (Berasain , Gut 2000:Berasain , Gut 2000:
47:429-35)47:429-35)
En 354 pacientes : 66 % hìgado graso noEn 354 pacientes : 66 % hìgado graso no
alcohòlicoalcohòlico (Skelly MM.J Hepatol 2001; 35:195-9)(Skelly MM.J Hepatol 2001; 35:195-9)
En 67 pacientes: 40 % hìgado graso noEn 67 pacientes: 40 % hìgado graso no
alcohòlico (alcohòlico (de ledinghenV. Eur J Gastroenter Hepatolde ledinghenV. Eur J Gastroenter Hepatol
2004: 16:879-832004: 16:879-83
Perfil hepático.

Perfil hepático.

  • 1.
    PERFIL HEPATICOPERFIL HEPATICO J.Jorge Huamàn SaavedraJ. Jorge Huamàn Saavedra Doctor en Medicina. Patólogo Clínico. Magister en BioquímicaDoctor en Medicina. Patólogo Clínico. Magister en Bioquímica
  • 2.
    INTRODUCCIONINTRODUCCION Las enfermedades hepáticasy de víasLas enfermedades hepáticas y de vías biliares plantean problemas diagnóstico enbiliares plantean problemas diagnóstico en niños, adultos y gestantesniños, adultos y gestantes El laboratorio clínico a través del perfilEl laboratorio clínico a través del perfil hepático es una valiosa ayudahepático es una valiosa ayuda
  • 3.
    Perfil hepáticoPerfil hepático Bilirrubina total, directa e indirectaBilirrubina total, directa e indirecta  Albúminas . GlobulinasAlbúminas . Globulinas  Fosfatasa alcalinaFosfatasa alcalina  Transaminasa glutámico pirúvicaTransaminasa glutámico pirúvica  Transaminasa glutámico oxalacéticaTransaminasa glutámico oxalacética  Tiempo de ProtrombinaTiempo de Protrombina Además de acuerdo al tipo: 5 nucleotidasa oAdemás de acuerdo al tipo: 5 nucleotidasa o GamamglutamiltranspeptidasaGamamglutamiltranspeptidasa
  • 4.
  • 6.
    BilirrubinasBilirrubinas  Producto delcatabolismo de la hemoglobina, a partir de las porfirinasProducto del catabolismo de la hemoglobina, a partir de las porfirinas del núcleo hemedel núcleo heme  Bilirubina indirectaBilirubina indirecta::  Es la recién formada .Es la recién formada .  Requiere un solvente para unirse al reactivo de van der Bergh.Requiere un solvente para unirse al reactivo de van der Bergh.  Se transporta unida a la albúmina, no se elimina por la orina.Se transporta unida a la albúmina, no se elimina por la orina.  Captada por el hígado y al conjugarse con dos ácidos glucurónico seCaptada por el hígado y al conjugarse con dos ácidos glucurónico se convierte en directa.convierte en directa.
  • 7.
    Bilirrubina directa oconjugadaBilirrubina directa o conjugada: formada en: formada en el hígado es excretada por la bilis. Esel hígado es excretada por la bilis. Es soluble y si aumenta se elimina por la orinasoluble y si aumenta se elimina por la orina Bilirrubina totalBilirrubina total: suma de directa e: suma de directa e indirecta.indirecta.
  • 8.
    DeterminaciónDeterminación  Muestra: suero.Proteger de la luz, especialmente en reciénMuestra: suero. Proteger de la luz, especialmente en recién nacidos. Evitar hemólisisnacidos. Evitar hemólisis  Mètodos manual y automatizadoMètodos manual y automatizado  Valores normales:Valores normales:  Bilirrubina total: hasta 1 mg/dlBilirrubina total: hasta 1 mg/dl  Biliirubina directa: hasta 0.3Biliirubina directa: hasta 0.3  Biliirubina indirecta: hasta 0.7Biliirubina indirecta: hasta 0.7
  • 9.
    Hiperbilirrubinemia no conjugadaHiperbilirrubinemiano conjugada HemólisisHemólisis Eritropoyesis ineficazEritropoyesis ineficaz Disminución de la captación hepáticaDisminución de la captación hepática Alteración de la conjugación: Sindrome deAlteración de la conjugación: Sindrome de Crigler Najjar I y IICrigler Najjar I y II Sindrome de GilbertSindrome de Gilbert
  • 10.
    Hiperbilirrubinemia mixta oHiperbilirrubinemiamixta o pr.conjugadapr.conjugada Sindrome de Dubin-JohnsonSindrome de Dubin-Johnson Sindrome de RotorSindrome de Rotor Hepatitis agudaHepatitis aguda Hepatitis crónicaHepatitis crónica Hepatitis alcohólicaHepatitis alcohólica Cirrosis hepáticaCirrosis hepática Ictericia obstructivaIctericia obstructiva
  • 12.
    Proteínas séricas: albúminayProteínas séricas: albúmina y globulinaglobulina Muestra: sueroMuestra: suero Determinación de proteínas: biuretDeterminación de proteínas: biuret modificadomodificado Determinación de albúmina: bromocresolDeterminación de albúmina: bromocresol Globulina: diferencia de PT-albúminasGlobulina: diferencia de PT-albúminas
  • 13.
    Valores normalesValores normales -Proteínas totales: 6.1 –7.9 g/dlProteínas totales: 6.1 –7.9 g/dl - Albúmina: 3.5-4.8 g/dlAlbúmina: 3.5-4.8 g/dl - Globulina: 1.1-2.2Globulina: 1.1-2.2 - Relación albúmina/globulina: > 1Relación albúmina/globulina: > 1
  • 15.
    Alteraciones de lasproteínas:Alteraciones de las proteínas: AlbúminaAlbúmina Hipoalbuminemia:Hipoalbuminemia:  Problemas hepatobiliares: La albúmina sérica es marcadorProblemas hepatobiliares: La albúmina sérica es marcador de síntesis proteica hepática y disminuye en los cuadrosde síntesis proteica hepática y disminuye en los cuadros crónicos : hepatitis crónica, cirrosis hepática, ictericiacrónicos : hepatitis crónica, cirrosis hepática, ictericia obstructiva crónicaobstructiva crónica  Proteinuria: síndrome nefróticoProteinuria: síndrome nefrótico  Desnutrición: menor ingestaDesnutrición: menor ingesta  Pérdida intestinal de proteínasPérdida intestinal de proteínas
  • 16.
    GlobulinasGlobulinas Las globulinas aumentanen procesosLas globulinas aumentan en procesos inflamatorios, infecciosos.Aumenta eninflamatorios, infecciosos.Aumenta en hepatopatías crónicas como hepatitishepatopatías crónicas como hepatitis crónica y cirrosis. En la cirrosis se tiene lacrónica y cirrosis. En la cirrosis se tiene la inversión de la relación albúmina/globulinainversión de la relación albúmina/globulina IgG : hepatitis autoinmuneIgG : hepatitis autoinmune IGM: cirrosis biliar primariaIGM: cirrosis biliar primaria IGA: enfermedad hepática alcohólicaIGA: enfermedad hepática alcohólica
  • 17.
    TransaminasasTransaminasas  Marcadores dedaño en los hepatocitosMarcadores de daño en los hepatocitos  Más útiles para detectar enfermedades hepatocelularesMás útiles para detectar enfermedades hepatocelulares agudas como lasagudas como las hepatitishepatitis  Daño a la membrana:no necesariamente necrosis por loDaño a la membrana:no necesariamente necrosis por lo que su valor no guarda correlación con el grado de lesiónque su valor no guarda correlación con el grado de lesión y no tiene valor pronósticoy no tiene valor pronóstico  Aspartato amino transferasa (AST) o TransaminasaAspartato amino transferasa (AST) o Transaminasa Glutámico Oxalacética o GOTGlutámico Oxalacética o GOT. Poco específica: hígado,. Poco específica: hígado, músculo cardiaco, esquelético, riñón, cerebro, pulmones,músculo cardiaco, esquelético, riñón, cerebro, pulmones, páncreas, leucocitos, hematíespáncreas, leucocitos, hematíes  Alanina aminotransferasa (ALT) ó Transaminasa GlutámicoAlanina aminotransferasa (ALT) ó Transaminasa Glutámico Pirúvica o GPTPirúvica o GPT. Màs especìfica del hìgado. Màs especìfica del hìgado
  • 18.
    Transaminasa glutàmico pirùvicao AlaninaTransaminasa glutàmico pirùvica o Alanina Transaminasa (ALT)Transaminasa (ALT)
  • 19.
    Determinación de transaminasasDeterminaciónde transaminasas Método colorimétrico manual oMétodo colorimétrico manual o automatizado.automatizado. Muestra: suero. Evitar hemólisisMuestra: suero. Evitar hemólisis V.N. Depende del métodoV.N. Depende del método
  • 20.
    TransaminasasTransaminasas  Alteraciones:AumentoAlteraciones:Aumento -hepatitis aguda,GPT>GOT, generalmente >500 U/l-hepatitis aguda ,GPT>GOT, generalmente >500 U/l - hepatitis crónica :GPT>, <300 U/l- hepatitis crónica :GPT>, <300 U/l - hepatitis alcohólica y cirrosis hepática, GOT:GPT >2,- hepatitis alcohólica y cirrosis hepática, GOT:GPT >2, sugestivosugestivo - ictericia obstructiva: discreto aumento- ictericia obstructiva: discreto aumento
  • 21.
    Fosfatasa alcalinaFosfatasa alcalina Enzima marcadora de colestasis u obstrucción total oEnzima marcadora de colestasis u obstrucción total o parcial del flujo biliar intra o extrahepáticaparcial del flujo biliar intra o extrahepática  DeterminaciónDeterminación  Muestra: sueroMuestra: suero  Método: colorimétrico. Manual ó a utomatizadoMétodo: colorimétrico. Manual ó a utomatizado  Valores normales: dependen del método. En los niñosValores normales: dependen del método. En los niños mayores que los adultos, aumento en el embarazomayores que los adultos, aumento en el embarazo  Isoenzimas: hígado, hueso, placenta e intestinoIsoenzimas: hígado, hueso, placenta e intestino
  • 22.
    Fosfatasa alcalinaFosfatasa alcalina Aumento en:Aumento en:  Discreto <3 veces normal: hepatitis aguda. HepatitisDiscreto <3 veces normal: hepatitis aguda. Hepatitis crónica. Hepatitis alchólica, cirrosiscrónica. Hepatitis alchólica, cirrosis  Marcado :frecuentemente >4 veces normal. IctericiaMarcado :frecuentemente >4 veces normal. Ictericia obstructiva y obstrucción parcialobstructiva y obstrucción parcial  Enfermedades óseasEnfermedades óseas  EmbarazoEmbarazo
  • 23.
    GamaglutamiltranspeptidasaGamaglutamiltranspeptidasa Se emplea paraconfirmar el aumentoSe emplea para confirmar el aumento solitario de la fosfatasa alcalina que podríasolitario de la fosfatasa alcalina que podría deberse a problemas extrahepáticos.deberse a problemas extrahepáticos. Otras: alcoholismoOtras: alcoholismo Muestra: sueroMuestra: suero Método: cinéticoMétodo: cinético
  • 24.
    Tiempo de protrombinaTiempode protrombina Marcador de síntesis proteicaMarcador de síntesis proteica Método manual o automatizadoMétodo manual o automatizado Muestra: plasma citratadoMuestra: plasma citratado VN: de 12 a 13 segundos(plasma control)VN: de 12 a 13 segundos(plasma control)
  • 25.
    Tiempo de protrombinaTiempode protrombina Prolongado enProlongado en - Anticoagulante orales.- Anticoagulante orales. - Hepatitis aguda: mal pronóstico, no se corrige con- Hepatitis aguda: mal pronóstico, no se corrige con Vitamina K IM.Vitamina K IM. - Hepatitis crónica , alcohólica, cirrosis: no se corrige con- Hepatitis crónica , alcohólica, cirrosis: no se corrige con administración parenteraladministración parenteral - Ictericia obstructiva: si se corrige conVit K- Ictericia obstructiva: si se corrige conVit K - Defecto de factorVII- Defecto de factorVII - Defecto de factor X,V, II- Defecto de factor X,V, II
  • 26.
    Patrones de PerfilhepáticoPatrones de Perfil hepático PatrònPatròn BilirrubinaBilirrubina TransaminTransamin FAlcalinaFAlcalina AlbùmAlbùm T.PrT.Pr S.GilbertS.Gilbert HemòlisisHemòlisis N a 5 BIN a 5 BI NN NN NN NN HepatiAguda(V,D,T,IHepatiAguda(V,D,T,I C)C) BDBD+BI+BI BBoror >500 TGP>TGO>500 TGP>TGO N a <3VNN a <3VN NN N,N, >5X,MP>5X,MP Hep. CrónicHep. Crónic BDBD+BI+BI BBoror <300 U<300 U N a <3VNN a <3VN DD ProlProl No c VKNo c VK Hep AlHep Al CirrosisCirrosis BD+BI BorBD+BI Bor TGO:TGO: TGP>2TGP>2 N a <3VNN a <3VN DD ProPro NocVKNocVK ColestasisColestasis (Icter.Obst.)(Icter.Obst.) BDBD+BI+BI BBoror N a mN a m <500<500 >4VN>4VN N –D©N –D© N,P(cVK)N,P(cVK) Infiltraciòn.(OP)Infiltraciòn.(OP) NN N o leN o le >4VN>4VN GGTGGT NN NN
  • 27.
    PatronesPatrones I: S.Gilbert ohemólisisI: S.Gilbert o hemólisis II: Hepatitis agudaII: Hepatitis aguda III: Hepatitis crónicaIII: Hepatitis crónica IV: Hepatitis alcohólica o cirrosis hepáticaIV: Hepatitis alcohólica o cirrosis hepática V. Ictericia obstructivaV. Ictericia obstructiva VI: Obstrucción parcialVI: Obstrucción parcial
  • 28.
    Patrón IPatrón I Todo normal, salvo bilirrubina que puede ser normal oTodo normal, salvo bilirrubina que puede ser normal o aumentado hasta 5 mg/dl, a expensas de la biliirubinaaumentado hasta 5 mg/dl, a expensas de la biliirubina indirectaindirecta  S.Gilbert: trastorno hereditario, frecuente benigno, 3 a 7%S.Gilbert: trastorno hereditario, frecuente benigno, 3 a 7% de la población.Alteración de la conjugación por defectode la población.Alteración de la conjugación por defecto de la Gtfasade la Gtfasa  HemólisisHemólisis
  • 29.
    Patrón II:Hepatitis AgudaPatrónII:Hepatitis Aguda Causa: viral, tóxica, insuficiencia cardiacaCausa: viral, tóxica, insuficiencia cardiaca Bilirrubina: puede aumentar ambasBilirrubina: puede aumentar ambas fracciones, predominio de BD. Biliirbinuriafracciones, predominio de BD. Biliirbinuria Transaminasas: GPT>GOT, frecuentementeTransaminasas: GPT>GOT, frecuentemente >500 U/l>500 U/l
  • 30.
    Fosfatasa alcalina: normalhasta <3 vecesFosfatasa alcalina: normal hasta <3 veces VNVN Albúmina: normalAlbúmina: normal Tiempo de x5 es mal pronóstico, no seTiempo de x5 es mal pronóstico, no se corrige con vitamina Kcorrige con vitamina K
  • 31.
    III: Hepatitis CrónicaIII:Hepatitis Crónica Bilirrubina: pueden aumentar ambas,Bilirrubina: pueden aumentar ambas, predominio BD. Biliirubinuriapredominio BD. Biliirubinuria Transaminasas: GPT>GOT, <300 UI/lTransaminasas: GPT>GOT, <300 UI/l Fosfatasa alcalina: normal hasta <3VNFosfatasa alcalina: normal hasta <3VN
  • 32.
    Albúmina: disminuidaAlbúmina: disminuida Tiempode protrombina: prolongada y noTiempo de protrombina: prolongada y no se corrige conVitamina K parenteralse corrige conVitamina K parenteral
  • 33.
    IV Hepatitis álcohólica,cirrosisIV Hepatitis álcohólica, cirrosis Bilirrubina: ambas fracciones pueden estarBilirrubina: ambas fracciones pueden estar elevadas. Bilirrubinuriaelevadas. Bilirrubinuria Transaminasas: GOT:GPT >2 sugiereTransaminasas: GOT:GPT >2 sugiere cirrosis o hepatitis alcohólicacirrosis o hepatitis alcohólica Fosfatasa alcalina: normal hasta <3VNFosfatasa alcalina: normal hasta <3VN
  • 34.
    Albúmina: disminuidaAlbúmina: disminuida Tiempode protrombina: prolongada y noTiempo de protrombina: prolongada y no se corrige conVitamina K parenteralse corrige conVitamina K parenteral
  • 35.
    V. Ictericia ObstructivaV.Ictericia Obstructiva Colestasis intra o extrahepáticaColestasis intra o extrahepática Bilirrubina: ambas fracciones pueden estarBilirrubina: ambas fracciones pueden estar elevadas, predominio BD. Bilirrubinuriaelevadas, predominio BD. Bilirrubinuria Transaminasas: normal a elevaciónTransaminasas: normal a elevación moderada, rara vez >500 U/lmoderada, rara vez >500 U/l
  • 36.
    Fosfatasa alcalina: elevada,con frecuenciaFosfatasa alcalina: elevada, con frecuencia >4 veces valor normal>4 veces valor normal Albúmina: normal si es aguda, disminuida siAlbúmina: normal si es aguda, disminuida si es crónicaes crónica Tiempo de protrombina: normal,Tiempo de protrombina: normal, prolongado pero si se corroge conVit Kprolongado pero si se corroge conVit K parenteralparenteral
  • 37.
    VI Obstrucción parcialVIObstrucción parcial Enfermedades infiltrativas: tumor,Enfermedades infiltrativas: tumor, granulomasgranulomas Bilirrubina: habitualmente normalBilirrubina: habitualmente normal Transaminasas: normal o ligeramenteTransaminasas: normal o ligeramente elevadaelevada
  • 38.
    Fosfatasa alcalina: elevada,con frecuenciaFosfatasa alcalina: elevada, con frecuencia >4 veces valor normal. Requiere confirmar>4 veces valor normal. Requiere confirmar con gammaglutamiltranspeptidasa o 5con gammaglutamiltranspeptidasa o 5 nucelotidasanucelotidasa Albúmina: normalAlbúmina: normal Tiempo de protrombina: normalTiempo de protrombina: normal
  • 39.
    Otros marcadores enenf. hepáticasOtros marcadores en enf. hepáticas  Amoníaco  Anticuerpos antinucleares(ANA). Hepatitis autoinmune  Anticuerpos antimúsculo liso: Hepatitis autoinmune  Anticuerpos antimitondriales: Cirrosis biliar primaria  Anticuerpos anticitoplasma neutrófilo perinuclear (pANCA): Colangitis esclerosante primaria  Ceruplasmina: Enf. De Wilson  Marcadores de Hepatitis A, B , C y D
  • 40.
    ALTERACIONES CRONICAS DELASALTERACIONES CRONICAS DE LAS TRANSAMINASASTRANSAMINASAS -- Elevaciòn crònica; màs de 6 mesesElevaciòn crònica; màs de 6 meses - Prevalencia:0.5-14.9 %- Prevalencia:0.5-14.9 % - 69-81 % no estàn vinculados a hepatitis viral ni a consumo- 69-81 % no estàn vinculados a hepatitis viral ni a consumo de alcoholde alcohol - màs comùn en la atenciòn primariamàs comùn en la atenciòn primaria - La elevaciòn de las transaminasas es dentro del àrea deLa elevaciòn de las transaminasas es dentro del àrea de hepatologìa el problemahepatologìa el problema - Ridruejo E,Mandò O,Abbate F.Alteraciones crònicas de las Transaminasas 2006Ridruejo E,Mandò O,Abbate F.Alteraciones crònicas de las Transaminasas 2006
  • 41.
    - Se requiereuna evaluaciòn sistemàticaSe requiere una evaluaciòn sistemàtica - Primer paso: repetir el test uno o dos meses despuèsPrimer paso: repetir el test uno o dos meses despuès - Si el paciente consume habitualmente alcohol o ingiereSi el paciente consume habitualmente alcohol o ingiere fàrmacos sospechosos, que puede suspenderse, se debefàrmacos sospechosos, que puede suspenderse, se debe aconsejar discontinuarlos antes de repetir el anàlisisaconsejar discontinuarlos antes de repetir el anàlisis
  • 42.
    Si sale normalno requiere màs evaluaciònSi sale normal no requiere màs evaluaciòn Si sigue anormal debe seguirs e los sgtesSi sigue anormal debe seguirs e los sgtes pasos:pasos: Interrogatorio. Uso de alcohol,Interrogatorio. Uso de alcohol, medicamentos,conductas sexuales demedicamentos,conductas sexuales de riesgo, exposiciòn parenteral, viajesriesgo, exposiciòn parenteral, viajes recientesrecientes
  • 43.
     Antecedentes personalesde enfermedades hepàticas yAntecedentes personales de enfermedades hepàticas y otras enfermedadesotras enfermedades  Antecedentes heredofamilires de enfermedades hepàticasAntecedentes heredofamilires de enfermedades hepàticas crònicascrònicas  Interrogar sìntomas.Astenia, artralgias, mialgias, anorexia,Interrogar sìntomas.Astenia, artralgias, mialgias, anorexia, rash, pèrdida de peso, dolor abdominalrash, pèrdida de peso, dolor abdominal,, fiebre, prurito,fiebre, prurito, coluria, hipocolia e ictericiacoluria, hipocolia e ictericia
  • 44.
    Duraciòn de laanormalidadDuraciòn de la anormalidad Examen fìsico:Examen fìsico: - hepatomegalia,hepatomegalia, - AscitisAscitis - esplenomegalia,esplenomegalia, - arañas vasculares,arañas vasculares, - eritema palmareritema palmar - ginecomastia, etcginecomastia, etc
  • 45.
    EtapasEtapas  Etapa 1:Descartar las causas màs frecuentesEtapa 1: Descartar las causas màs frecuentes  FàrmacosFàrmacos: suspender: suspender  Abuso de alcoholAbuso de alcohol: puede elevar en forma aguda o crònica las: puede elevar en forma aguda o crònica las transaminasas AST/ALT>2, GGT doble . Màs del 90%transaminasas AST/ALT>2, GGT doble . Màs del 90%  Hepatitis B:Hepatitis B: HbsAg, antiHBs, antiHBc, HBeAg y antiHBe. DNAHbsAg, antiHBs, antiHBc, HBeAg y antiHBe. DNA  Hepatitis CHepatitis C.AntiHBC, RNA viral.AntiHBC, RNA viral
  • 46.
     HemocromatosisHemocromatosis genèticao hereditaria: saturaciòn degenètica o hereditaria: saturaciòn de transferrina >45%y ferritina >400 ng/mltransferrina >45%y ferritina >400 ng/ml  Esteatohepatitis no alcòholica (EHNA)Esteatohepatitis no alcòholica (EHNA).Ecografìa. La ùnica.Ecografìa. La ùnica evidencia clìnica puede ser el aumento de lasevidencia clìnica puede ser el aumento de las transaminasas.Obesidad,DM,hiperlipidemiatransaminasas.Obesidad,DM,hiperlipidemia AST/ALT<1.Trans:3-5x. FAL y GGT puede 2x.BiopsiaAST/ALT<1.Trans:3-5x. FAL y GGT puede 2x.Biopsia
  • 47.
     Etapa 2.Descartar enfermedades no hepàticas comunes:Etapa 2. Descartar enfermedades no hepàticas comunes: HipotiroidismoHipotiroidismo HipertiroidismoHipertiroidismo: 37—60.5 % de EG alteraciones.Fal 33-44%,AST 14-17: 37—60.5 % de EG alteraciones.Fal 33-44%,AST 14-17 % y ALT23-26%% y ALT23-26% Enfermedad celiacaEnfermedad celiaca: 40 % <130 de ALT.Ac antigliadina IgG,: 40 % <130 de ALT.Ac antigliadina IgG, antiendomisio IgG e IgAantiendomisio IgG e IgA Alteraciones muscularesAlteraciones musculares:AST,CPKm LDH, aldolasa AST>ALT:AST,CPKm LDH, aldolasa AST>ALT 
  • 48.
    Etapa 3: Identificarenfermedades hepàticasEtapa 3: Identificar enfermedades hepàticas infrecuentes:infrecuentes: Hepatitis autoinmuneHepatitis autoinmune. HA1:ANA >1:80,. HA1:ANA >1:80, p.homogèneo HA2: antip.homogèneo HA2: anti LKM(microsomales)LKM(microsomales) Enfermedad de WilsonEnfermedad de Wilson. Ceruloplasmina<20. Ceruloplasmina<20 mg/dlmg/dl Dèficit alfa 1 antitripsinaDèficit alfa 1 antitripsina
  • 49.
    Etapa 4. Decidirla punciòn biopsia vs laEtapa 4. Decidir la punciòn biopsia vs la observaciònobservaciòn 10 % requiere.10 % requiere. En 109 pacientes: inespecìficos 33 %, hìgadoEn 109 pacientes: inespecìficos 33 %, hìgado graso no alcohòlico 16 %, hepatitisgraso no alcohòlico 16 %, hepatitis crònica/cirroiss 51 %. En el 60 % de cirrosis:crònica/cirroiss 51 %. En el 60 % de cirrosis: hepatitis viral B o C por PCR (hepatitis viral B o C por PCR (Berasain , Gut 2000:Berasain , Gut 2000: 47:429-35)47:429-35)
  • 50.
    En 354 pacientes: 66 % hìgado graso noEn 354 pacientes : 66 % hìgado graso no alcohòlicoalcohòlico (Skelly MM.J Hepatol 2001; 35:195-9)(Skelly MM.J Hepatol 2001; 35:195-9) En 67 pacientes: 40 % hìgado graso noEn 67 pacientes: 40 % hìgado graso no alcohòlico (alcohòlico (de ledinghenV. Eur J Gastroenter Hepatolde ledinghenV. Eur J Gastroenter Hepatol 2004: 16:879-832004: 16:879-83