TROMBOLASTOGRAMA
En las embarazadas
Ana María Angel Isaza
Residente de Emergencias
Universidad Icesi
• Medición de las propiedades viscoelásticas de la sangre.
• Dinámica y global
• Alemania en 1948 por Hartert Kang 80ºs Qx hepático y cardíaca
• Trauma, anestesia obstétrica, UCI.
INTRODUCCIÓN
Galvez K, Cortes C. Tromboelastografía: nuevos conceptos en la fisiología de la hemostasia y su correlación con la coagulopatía asociada al trauma. Rev colombiana de anestesiología. 2012;40(3):224–230
Modelo clásico de la cascada de
coagulación 1964
Galvez K, Cortes C. Tromboelastografía: nuevos conceptos en la fisiología de la hemostasia y su correlación con la coagulopatía asociada al trauma. Rev colombiana de anestesiología. 2012;40(3):224–230
Modelo Celular
Transforma
pequeñas
cantidades det
trombina
FT
MONITOREO DE LA COAGULACIÓN EN EL
PACIENTE CON SANGRADO MASIVO
• Evaluación de la hemostasia plasmática
• Demanda de tiempo
• Inicio de la cogulacion
• No evalua la disfuncion cualitativa plaquetaria o del fibrinogeno
• Pruebas a 37 grados.
Galvez K, Cortes C. Tromboelastografía: nuevos conceptos en la fisiología de la hemostasia y su correlación con la coagulopatía asociada al trauma. Rev colombiana de anestesiología. 2012;40(3):224–230
PROVEE INFORMACIÓN SOBRE TODAS LAS
ETAPAS DEL PROCESO DE COAGULACIÓN
https://www.haemoview.com.au/rotem-analysis.html
Fibrinogeno sintentico?
Complejo protrombinico ?
Factor VII activado?
Factor XII?
Protamina?
Anti-
fibrinolitico?
Trombosis
TRALI
ALERGIAS
INFECCIONM
BACTERIANA INFECCIÓN
TRIM
ALERGIAS
EFECTOS
ADVERSOS!
Trombosis
Hipotensión
Alergia
Tomado de: http://www.woodleyequipment.com/clinical-trials/point-of-care-testing-for-clinical-trials-7.html
TEG®ROTEM®
Viscoelastic Point-Of-Care
INDICACIONES
Monitoria de la hemostasia en:
• Trasplante hepático y cirugía GI
• Cirugía cardiaca
• Trauma / Transfusión masiva
(Predictor =MA)
• Neurocirugía
• Obstetricia
• Ortopedia
• Urología
• UCI
• Efecto de medicamentos
(heparina / Warfarina)
• Control de calidad en bancos de
sangre
• Monitoria de la eficacia de los
agentes antiplaquetarios
• Monitoria del rFVIIa en
pacientes con hemofilia
Glob J Transfus Med 2017;2:8-18
Glob J Transfus Med 2017;2:8-18
¿CÓMO FUNCIONA?
TEG® ROTEM®
International Journal of Perioperative Ultrasound and Applied Technologies, January- April 2012;1(1):25-29
TEG® VS PRUEBAS PLASMATICAS
DESVENTAJAS TEG - ROTEM
Disponibilidad variable
Marcada variabilidad entre operadores y
poca precisión (CV TEG 7.1% - 39.9%; y
ROTEM 7.0% - 83.6%)
Puede requerir personal especializado para
su realización
VENTAJAS TEG - ROTEM
Evalúa el potencial hemostático global mas
que solo proporcionar formación del
tiempo para la formación de la fibrina
Puede diferencias con facilidad la
coagulopatía debido a bajo nivel de
fibrinógeno de una debida a la
trombocitopenia
Tiempos rápidos de realización con
resultados disponibles dentro de 5 - 10
minutos
Anesth Analg. 2008 May;106(5):1366-75
¿Qué REPORTA EL TEG?
Coagulación Fibrinolisis
Tiempo de
formacion del
coagulo Cinetica Fuerza a del coagulo Estabilidad del coagulo
COMPONENTES DEFINICION
VALORES
NORMALES
PROBLEMA CON TRATAMIENTO
Tiempo R
Iniciación
Tiempo de latencia desde
el inicio del test hasta la formación inicial del
coagulo . (amplitud 2mm)
5 – 10 minutos Factores de la coagulación PFC
Tiempo K
Tiempo hasta que el coagulo alcanza una
fuerza fija (amplitud 20mm)
1 – 3 minutos Fibrinógeno, # plt Crioprecipitado
Angulo Alfa
Propagación.
Velocidad de acumulación de fibrina
Representa la formacion del cogulo
53 – 72 grados Fibrinógeno , # plt
Crioprecipitado (angulo
reducido)
Amplitud Máxima
(MA)
Amplitud vertical mas alta de TEG.
Fuerza del cogulo .
50 – 70 mm Plaquetas # y función
Plaquetas o desmopresina
(MA bajo)
Lisis a los 30
minutos (LY30)
Fibrinolisis
% de reducción de amplitud 30 minutos
después de la amplitud máxima. Lisis del
cogulo al minuto 30 despues de MA
0 – 3 o 8% Exceso de fibrinólisis
Acido tranexámico y/o
acido aminocaproico
(elevado)
GalvezK,CortesC..Revcolombianadeanestesiología.2012;40(3):224–230
EL GRAFICO: TEMograma
Lineas verdes
son marcas a
40 mm, para
una
estimacion
visual de la
amplitud.
Amplitud en
mm
A mayor
amplitud
mayor
firmeza
https://www.haemoview.com.au/rotem-analysis.html
TROMBOELASTOGRAFÍA RAPIDA
J Trauma Acute Care Surg. 2017;82: 114–119
PATRONES DE LA TROMBOELASTOGRAFÍA
Galvez K, Cortes C. Tromboelastografía: nuevos conceptos en la fisiología de la hemostasia y su correlación con la coagulopatía asociada al trauma. Rev colombiana de anestesiología. 2012;40(3):224–230
NORMAL
BLOQUEADORES DE PLAQUETAS (TROMBOCITOPENIA)
ANTICOGULANTES/HEMOFILIA
FIBRINÓLISIS
HIPERCOAGULABILIDAD
COAGULACIÓN INTRAVASCULAR DISEMINADA (CID)
Hipercogulabilidad con fibrinolisis secundaria.
CID ESTADIO TARDÍO (HIPOCOAGULABILIDAD)
•R: 4-8 min
•K: 1-4 min
•α-Angle: 47-74°
•MA: 55-73mm
•LY 30%: 0-8%
•Deficiencia del factor.
•MA: 55-73mm
•RK prolongado
•R normal
•K prolongado
•MA disminuido•R normal
•MA disminuido
•LY30 >7.5 WBCLI30 < 27.5%
•R, K disminuido
•MA – angulo: incrementado
Tromboplastina
Evaluación de la formación del
cogulo, polimerizacion de fibrina y
fibrinolisis . ((PT)
Activación de contacto
(Acido elágico)
Evaluación de la formación del
cogulo, polimerizacion de fibrina y
fibrinolisis (((APTT)
Activación del recidual
e inhibicion
plaquetaria
(Citocalasina D)
Evaluación de coagulacion sin accion
plaquetaria.
Evaluacion cualitativa de
fribrinogeno
Activación del recidual
e inhibicion de la
fibrinolisis
(aprontinina)
Inhibición de fibrinolisis in Vitro
Activacion de contacto
+ heparinasa + Ca2+
Evaluación de la hemostacia sin
acción de heparina
REACTIVOS DE ROTEM
FLUJOGRAMA DE DECISIÓN TEG
PRUEBAS POC EN TRAUMA
Schochl et al. Scandinavian Journal of trauma. 2012
• Trauma cerrado o penetrante con
choque hemorrágico
• Protocolo de transfusión masiva 1:1:1
para evaluar continuar o terminar
intervención
• Sospecha clínica de hemorragia o
coagulopatía
• Fibrinolisis
• Rapid TEG
Evaluaron la oportunidad temporal de los resultados del r-TEG, la correlación
con las pruebas convencionales (PT-INR-PTT-Plaquetas) y la capacidad del r-TEG
predecir transfusión temprana de hemoderivados.
Prospectivo - 5 meses - Trauma mayor - 272 pacientes
J Trauma. 2011;71: 407–417
J Trauma. 2011;71: 407–417
Los resultados del r-TEG estuvieron disponibles en minutos, se correlacionaron con los
resultados de las pruebas de coagulación convencionales, y fueron predictivos del
requerimiento de transfusión masiva temprana.
Todos los r-TEG estuvieron disponibles en 15 min Vs 48 min
ACT, Tiempo R, Tiempo K se correlacionaron con PT, INR, PTT (r>0.70; p=0.001)
MA y ángulo alfa se correlacionaron con el conteo plaquetario (r>0.68; p=0.001)
Controlando los factores demográficos y las constantes vitales del servicio de emergencias: ACT > 128 predijo
transfusión masiva (>10 U) en las primeras 6 horas
• Estudio para evaluar la confiabilidad de r-TEGs frente a otras pruebas
Ann Surg 2012;256: 476–486)
• ACT predijo transfusión de GR
• El Angulo fue superior al fibrinógeno para predecir transfusión de
plasma y predice transfusión masiva mejor que el PT y PTT, INR.
• MA fue superior a las plaquetas para predecir transfusión de plt.
Revisión de 17 ECAs - 1493 pacientes
Baja calidad de los estudios
Generalización limitada: Pacientes de cirugía cardiaca
Cochrane Database of Systematic Reviews 2016, Issue 8. Art. No.: CD007871
Cada vez hay más evidencia que sugiere que la utilización de TEG y
ROTEM reduce los requerimientos de transfusión y mejora la
morbilidad en pacientes con hemorragia, pero se requieren
estudios adicionales.
PRUEBAS POC EN HEMORRAGIA OBSTETRICA
TROMBOLASTOGRAFÍA EN EMBARAZADAS
Evaluar la hemostasia durante la hemorragia obstétrica mayor.
• Correlación entre los resultados TEG y las pruebas convencionales.
45 mueres con HOM
49 < 600ml
MOH:
• Disminución de parametros que reflejan estabilidad en el coagulo y fibrinolysis.
• Inicio de la cogulación mas rapido.
• TEG- R: 20% mas corto
• TEG A: 6% mas pequeño. TEG MA: 11% mas pequeño.
• TEG-LY30 reducido en un 75%
• TEG mas estrecho, indicando alteracion en la hemostasia
• MOH the TEG profile was narrower, indicating impaired haemostasis
• Alteración en la hemostasia.
• Disminución: Plaquetas, fibrinogeno A PTT., antitrombina.
• Aumento: INR, dimero D
International Journal of Obstetric Anesthesia (2014) 23, 10–17
• TEG-MA y fibrinógeno.
• EBL y fibrinógeno.
• EBL y antitrombina
La TEG proporciona resultados más rápidos que las
pruebas de laboratorio estándar
Resultados mas rapidos.
Laboratorios se correlacionan mejor con la perdida de
sangre
• Cambios en las variables TEG durante el embarazo normal y 8 semanas post
parto.
• TEG durante el embarazo vs TEG 8 ss post parto.
• TEG y laboratorios estándar.
• 45 mujeres embarazadas sanas
Anesth Analg 2012;115:890–8)
TEG R mas corto.
TEG K mas corto.
TEG angulo mas alto.
TEG MA mayor.
LY30% menor.
Anesth Analg 2012;115:890–8)
Aumento de la coagulación y disminución de la fibrinólisis.
• APTT mas corto durante todo el embarazo.
• PT y INR menor.
• PLT menor.
• Antitrombina menor
• APTT mas corto durante todo el embarazo.
• PT y INR menor.
• PLT menor.
• Antitrombina menor
GRACIAS…

Tromboelastograma en el embarazo

  • 1.
    TROMBOLASTOGRAMA En las embarazadas AnaMaría Angel Isaza Residente de Emergencias Universidad Icesi
  • 2.
    • Medición delas propiedades viscoelásticas de la sangre. • Dinámica y global • Alemania en 1948 por Hartert Kang 80ºs Qx hepático y cardíaca • Trauma, anestesia obstétrica, UCI. INTRODUCCIÓN Galvez K, Cortes C. Tromboelastografía: nuevos conceptos en la fisiología de la hemostasia y su correlación con la coagulopatía asociada al trauma. Rev colombiana de anestesiología. 2012;40(3):224–230
  • 3.
    Modelo clásico dela cascada de coagulación 1964 Galvez K, Cortes C. Tromboelastografía: nuevos conceptos en la fisiología de la hemostasia y su correlación con la coagulopatía asociada al trauma. Rev colombiana de anestesiología. 2012;40(3):224–230 Modelo Celular Transforma pequeñas cantidades det trombina FT
  • 4.
    MONITOREO DE LACOAGULACIÓN EN EL PACIENTE CON SANGRADO MASIVO • Evaluación de la hemostasia plasmática • Demanda de tiempo • Inicio de la cogulacion • No evalua la disfuncion cualitativa plaquetaria o del fibrinogeno • Pruebas a 37 grados. Galvez K, Cortes C. Tromboelastografía: nuevos conceptos en la fisiología de la hemostasia y su correlación con la coagulopatía asociada al trauma. Rev colombiana de anestesiología. 2012;40(3):224–230
  • 5.
    PROVEE INFORMACIÓN SOBRETODAS LAS ETAPAS DEL PROCESO DE COAGULACIÓN https://www.haemoview.com.au/rotem-analysis.html
  • 6.
    Fibrinogeno sintentico? Complejo protrombinico? Factor VII activado? Factor XII? Protamina? Anti- fibrinolitico? Trombosis TRALI ALERGIAS INFECCIONM BACTERIANA INFECCIÓN TRIM ALERGIAS EFECTOS ADVERSOS! Trombosis Hipotensión Alergia
  • 7.
  • 8.
    INDICACIONES Monitoria de lahemostasia en: • Trasplante hepático y cirugía GI • Cirugía cardiaca • Trauma / Transfusión masiva (Predictor =MA) • Neurocirugía • Obstetricia • Ortopedia • Urología • UCI • Efecto de medicamentos (heparina / Warfarina) • Control de calidad en bancos de sangre • Monitoria de la eficacia de los agentes antiplaquetarios • Monitoria del rFVIIa en pacientes con hemofilia Glob J Transfus Med 2017;2:8-18
  • 9.
    Glob J TransfusMed 2017;2:8-18 ¿CÓMO FUNCIONA?
  • 10.
    TEG® ROTEM® International Journalof Perioperative Ultrasound and Applied Technologies, January- April 2012;1(1):25-29
  • 11.
    TEG® VS PRUEBASPLASMATICAS DESVENTAJAS TEG - ROTEM Disponibilidad variable Marcada variabilidad entre operadores y poca precisión (CV TEG 7.1% - 39.9%; y ROTEM 7.0% - 83.6%) Puede requerir personal especializado para su realización VENTAJAS TEG - ROTEM Evalúa el potencial hemostático global mas que solo proporcionar formación del tiempo para la formación de la fibrina Puede diferencias con facilidad la coagulopatía debido a bajo nivel de fibrinógeno de una debida a la trombocitopenia Tiempos rápidos de realización con resultados disponibles dentro de 5 - 10 minutos Anesth Analg. 2008 May;106(5):1366-75
  • 12.
    ¿Qué REPORTA ELTEG? Coagulación Fibrinolisis Tiempo de formacion del coagulo Cinetica Fuerza a del coagulo Estabilidad del coagulo
  • 13.
    COMPONENTES DEFINICION VALORES NORMALES PROBLEMA CONTRATAMIENTO Tiempo R Iniciación Tiempo de latencia desde el inicio del test hasta la formación inicial del coagulo . (amplitud 2mm) 5 – 10 minutos Factores de la coagulación PFC Tiempo K Tiempo hasta que el coagulo alcanza una fuerza fija (amplitud 20mm) 1 – 3 minutos Fibrinógeno, # plt Crioprecipitado Angulo Alfa Propagación. Velocidad de acumulación de fibrina Representa la formacion del cogulo 53 – 72 grados Fibrinógeno , # plt Crioprecipitado (angulo reducido) Amplitud Máxima (MA) Amplitud vertical mas alta de TEG. Fuerza del cogulo . 50 – 70 mm Plaquetas # y función Plaquetas o desmopresina (MA bajo) Lisis a los 30 minutos (LY30) Fibrinolisis % de reducción de amplitud 30 minutos después de la amplitud máxima. Lisis del cogulo al minuto 30 despues de MA 0 – 3 o 8% Exceso de fibrinólisis Acido tranexámico y/o acido aminocaproico (elevado) GalvezK,CortesC..Revcolombianadeanestesiología.2012;40(3):224–230
  • 15.
    EL GRAFICO: TEMograma Lineasverdes son marcas a 40 mm, para una estimacion visual de la amplitud. Amplitud en mm A mayor amplitud mayor firmeza https://www.haemoview.com.au/rotem-analysis.html
  • 16.
    TROMBOELASTOGRAFÍA RAPIDA J TraumaAcute Care Surg. 2017;82: 114–119
  • 17.
    PATRONES DE LATROMBOELASTOGRAFÍA Galvez K, Cortes C. Tromboelastografía: nuevos conceptos en la fisiología de la hemostasia y su correlación con la coagulopatía asociada al trauma. Rev colombiana de anestesiología. 2012;40(3):224–230 NORMAL BLOQUEADORES DE PLAQUETAS (TROMBOCITOPENIA) ANTICOGULANTES/HEMOFILIA FIBRINÓLISIS HIPERCOAGULABILIDAD COAGULACIÓN INTRAVASCULAR DISEMINADA (CID) Hipercogulabilidad con fibrinolisis secundaria. CID ESTADIO TARDÍO (HIPOCOAGULABILIDAD) •R: 4-8 min •K: 1-4 min •α-Angle: 47-74° •MA: 55-73mm •LY 30%: 0-8% •Deficiencia del factor. •MA: 55-73mm •RK prolongado •R normal •K prolongado •MA disminuido•R normal •MA disminuido •LY30 >7.5 WBCLI30 < 27.5% •R, K disminuido •MA – angulo: incrementado
  • 18.
    Tromboplastina Evaluación de laformación del cogulo, polimerizacion de fibrina y fibrinolisis . ((PT) Activación de contacto (Acido elágico) Evaluación de la formación del cogulo, polimerizacion de fibrina y fibrinolisis (((APTT) Activación del recidual e inhibicion plaquetaria (Citocalasina D) Evaluación de coagulacion sin accion plaquetaria. Evaluacion cualitativa de fribrinogeno Activación del recidual e inhibicion de la fibrinolisis (aprontinina) Inhibición de fibrinolisis in Vitro Activacion de contacto + heparinasa + Ca2+ Evaluación de la hemostacia sin acción de heparina REACTIVOS DE ROTEM
  • 19.
  • 20.
    PRUEBAS POC ENTRAUMA Schochl et al. Scandinavian Journal of trauma. 2012 • Trauma cerrado o penetrante con choque hemorrágico • Protocolo de transfusión masiva 1:1:1 para evaluar continuar o terminar intervención • Sospecha clínica de hemorragia o coagulopatía • Fibrinolisis • Rapid TEG
  • 21.
    Evaluaron la oportunidadtemporal de los resultados del r-TEG, la correlación con las pruebas convencionales (PT-INR-PTT-Plaquetas) y la capacidad del r-TEG predecir transfusión temprana de hemoderivados. Prospectivo - 5 meses - Trauma mayor - 272 pacientes J Trauma. 2011;71: 407–417
  • 22.
    J Trauma. 2011;71:407–417 Los resultados del r-TEG estuvieron disponibles en minutos, se correlacionaron con los resultados de las pruebas de coagulación convencionales, y fueron predictivos del requerimiento de transfusión masiva temprana. Todos los r-TEG estuvieron disponibles en 15 min Vs 48 min ACT, Tiempo R, Tiempo K se correlacionaron con PT, INR, PTT (r>0.70; p=0.001) MA y ángulo alfa se correlacionaron con el conteo plaquetario (r>0.68; p=0.001) Controlando los factores demográficos y las constantes vitales del servicio de emergencias: ACT > 128 predijo transfusión masiva (>10 U) en las primeras 6 horas
  • 23.
    • Estudio paraevaluar la confiabilidad de r-TEGs frente a otras pruebas Ann Surg 2012;256: 476–486) • ACT predijo transfusión de GR • El Angulo fue superior al fibrinógeno para predecir transfusión de plasma y predice transfusión masiva mejor que el PT y PTT, INR. • MA fue superior a las plaquetas para predecir transfusión de plt.
  • 24.
    Revisión de 17ECAs - 1493 pacientes Baja calidad de los estudios Generalización limitada: Pacientes de cirugía cardiaca Cochrane Database of Systematic Reviews 2016, Issue 8. Art. No.: CD007871 Cada vez hay más evidencia que sugiere que la utilización de TEG y ROTEM reduce los requerimientos de transfusión y mejora la morbilidad en pacientes con hemorragia, pero se requieren estudios adicionales.
  • 25.
    PRUEBAS POC ENHEMORRAGIA OBSTETRICA
  • 26.
  • 27.
    Evaluar la hemostasiadurante la hemorragia obstétrica mayor. • Correlación entre los resultados TEG y las pruebas convencionales. 45 mueres con HOM 49 < 600ml
  • 28.
    MOH: • Disminución deparametros que reflejan estabilidad en el coagulo y fibrinolysis. • Inicio de la cogulación mas rapido. • TEG- R: 20% mas corto • TEG A: 6% mas pequeño. TEG MA: 11% mas pequeño. • TEG-LY30 reducido en un 75% • TEG mas estrecho, indicando alteracion en la hemostasia • MOH the TEG profile was narrower, indicating impaired haemostasis
  • 29.
    • Alteración enla hemostasia. • Disminución: Plaquetas, fibrinogeno A PTT., antitrombina. • Aumento: INR, dimero D International Journal of Obstetric Anesthesia (2014) 23, 10–17
  • 30.
    • TEG-MA yfibrinógeno. • EBL y fibrinógeno. • EBL y antitrombina La TEG proporciona resultados más rápidos que las pruebas de laboratorio estándar Resultados mas rapidos. Laboratorios se correlacionan mejor con la perdida de sangre
  • 31.
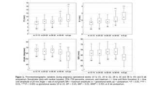
    • Cambios enlas variables TEG durante el embarazo normal y 8 semanas post parto. • TEG durante el embarazo vs TEG 8 ss post parto. • TEG y laboratorios estándar. • 45 mujeres embarazadas sanas Anesth Analg 2012;115:890–8)
  • 32.
    TEG R mascorto. TEG K mas corto. TEG angulo mas alto. TEG MA mayor. LY30% menor. Anesth Analg 2012;115:890–8) Aumento de la coagulación y disminución de la fibrinólisis.
  • 34.
    • APTT mascorto durante todo el embarazo. • PT y INR menor. • PLT menor. • Antitrombina menor
  • 35.
    • APTT mascorto durante todo el embarazo. • PT y INR menor. • PLT menor. • Antitrombina menor
  • 36.

Notas del editor

  • #3 While standard clotting assays just detect the starting time of clotting, ROTEM provides information on the whole kinetics of haemostasis: clotting time, clot formation, clot stability and lysis. The different parameters in thromboelastometry are dependent on:the activity of the plasmatic coagulation system platelet function fibrinolysis many factors which influence these interactions, including several drugs ROTEM® provides the most complete and rapid information on hemostasis.  Unlike other clotting assays, ROTEM® analyzes whole blood and provides information about all stages of the coagulation process. ROTEM® tests capture specific parameters (described more fully below) that provide information about the elements affecting hemostasi
  • #4 El complejo FT/FVIIa, de forma directa e indirecta a través del factor IX, activa inicialmente el factor X transformando pequen˜ as cantidades de protrombina en trombina, que son aún insuficientes para completar el proceso de formación de fibrina10. El FVII circula en la sangre predominantemente como molécula inactiva, y sus funciones, a las concentraciones fisiológicas, son virtualmente nulas en ausencia de su cofactor11,12. El FT no está en contacto con elementos de la sangre; la célula que alberga este receptor (fibroblasto, miocito, célula mononuclear, macrófago) se encuentra fuera del sistema vascular hasta que existe pérdida de la integridad del mismo13. La interacción entre el FT y FVIIa es el proceso fundamental en la iniciación de la coagulación; tal interacción
  • #7 Transfusion related immunomodulation 
  • #9 prediction of need for transfusion (maximum amplitude (MA) is a useful predictor in trauma) guide transfusion strategy
  • #11 TEG Funciona moviendo una copa en un arco limitado (± 4 ° 45 ‘ cada 5s) lleno de muestra que se acopla a un sistema de transducción Requiere nivelacion precisa 2 canales Pipeteo manual rTEG: 15 min: muestra con o sin citrato. La muestra de sangre se combina con factor tisular (activador de la via extrinseca) y Kaolin (activador de la via intrinseca) mas calcio. TEG 35-45 min.: muestra completa de sangre ROTEM tiene una copa inmóvil en la que el sistema de transducción pin / wire oscila lentamente (± 4 ° 45 'cada 6 s). Los resultados no son directamente comparables ya que se usan diferentes activadores de la coagulación. Es más resistente al choque mecánico. No requiere nivelacion. Transporable. 4 canales. Pipeteo automatica. Requiere diferentes reactantes.
  • #14 NORMAL TEG Specific parameters represent the 3 phases of the cell-based model of haemostasis: initiation, amplification, and propagation R value = reaction time (s) time of latency from start of test to initial fibrin formation (amplitude of 2mm) initiation phase dependent on clotting factors K = kinetics (s) time taken to achieve a certain level of clot strength (amplitude of 20mm) amplification phase dependent on fibrinogen alpha = angle (slope of line between R and K) measures the speed at which fibrin build up and cross-linking takes place, hence assesses the rate of clot formation “thrombin burst” / propagation phase dependent on fibrinogen TMA = time to maximum amplitude(s) MA = maximum amplitude (mm) represents the ultimate strength of the fibrin clot; i.e. overall stability of the clot dependent on platelets (80%) and fibrin (20%) interacting via GPIIb/IIIa A30 or LY30 = amplitude at 30 minutes percentage decrease in amplitude at 30 minutes post-MA fibrinolysis phase CLT = clot lysis time (s) Approximate normal values (kaolin activated TEG, values differ if native blood used, and between types of assay) R: 4-8 min K: 1-4 min α-Angle: 47-74° MA: 55-73mm LY 30%: 0-8%
  • #16  Clotting Time, CT, [s] Definition The CT is the time from the beginning of the test by adding the clotting activator until the time when an amplitude of 2 mm is achieved. Description The CT describes how fast the formation of fibrin starts. This parameter is analogical to the clotting time in a classical clotting test in a laboratory. However, they are not identical, as more fibrin is created and has to be stabilised in order to achieve a certain firmness of the clot that is sufficient to connect the two moving parts of the measuring cell. Main influencing factors Clotting factors, anticoagulants (sensitivity is dependent on the test) Clinical application The CT parameter facilitates the decision to substitute clotting factors (e. g. through fresh frozen plasma, factor concentrates, activated factor concentrates or anticoagulant inhibitors (e. g. Protamin)). Clot Formation Time, CFT, [s] Definition The CFT is the time between a 2 mm amplitude and a 20 mm amplitude of the clotting signal. Description The CFT describes the next phase of the clotting: the kinetics of the formation of a stable clot through both activated thrombocytes and fibrin. Main influencing factors The amount of thrombocytes and their contribution to the clot firmness. Fibrinogen level and its ability to polymerise. Maximum Clot Firmness, MCF, [mm] Definition The MCF is the measure for the firmness of the clot and therefore the clot quality. It is the maximum amplitude that is reached before the clot is dissolved by fibrinolysis and the clot firmness falls again. Main influencing factors Thrombocytes, fibrinogen (concentration and the ability to polymerise),F XIII, the status of fibrinolysis. Clinical application A low MCF indicates a low clot firmness and therefore a potential bleeding risk.   The MCF value is used to facilitate the decision for substitution therapy with thrombocyte concentrate or fibrinogen (concentrate, cyroprecipitate or fresh frozen plasma, depending on availability). Hyperfibrinolysis should necessarily be ruled out before treating with a fibrinogen source, because hyperfibrinolysis may lead to an unstable clot. A high MCF value may indicate a hypercoagulable state. Maximum lysis (ML, [%]) Definition The parameter of maximum lysis (ML) describes the degree of fibrinolysis relative to maximum clot firmness (MCF) achieved during the measurement. (% clot firmness lost). Description A ML of 5% means that, at the period of observation, the MCF has decreased by 5%. As the maximum lysis is not calculated at a fixed time point, but is defined as % lysis at the end of the measurement.
  • #18 Stage 1: Fibrinolysis results in the degradation of fibrin, increasing fibrin degradation products (FDPs). Excess FDPs result in clot de-stabilization.1 Stage 2: The cycle of clot formation and breakdown results in platelet and clotting factor consumption.1
  • #22 Pilot study to evaluate the timeliness of r-TEG results, their correlation to conventional coagulation testing (CCT – PT, aPTT, INR, platelet count, fibrinogen), and the ability of r-TEG to predict early blood transfusion.272 patients meeting requirements for major trauma activation Outcomes: All r-TEG values available within 15 minutes vs. 48 minutes for CCTs ACT, r-value, k-time correlated with PT, INR, PTT (r >0.70; p<0.001) MA and a-angle correlated with platelet count (p<0.001, p<0.001) Controlling for demographics and ED vitals: ACT>128 predicted massive transfusion (>10 U) in the first 6 hours of presentation and treatment
  • #23 Pilot study to evaluate the timeliness of r-TEG results, their correlation to conventional coagulation testing (CCT – PT, aPTT, INR, platelet count, fibrinogen), and the ability of r-TEG to predict early blood transfusion.272 patients meeting requirements for major trauma activation Outcomes: All r-TEG values available within 15 minutes vs. 48 minutes for CCTs ACT, r-value, k-time correlated with PT, INR, PTT (r >0.70; p<0.001) MA and a-angle correlated with platelet count (p<0.001, p<0.001) Controlling for demographics and ED vitals: ACT>128 predicted massive transfusion (>10 U) in the first 6 hours of presentation and treatment
  • #24 La medición de la amplitud a 5 (A5) y 10 (A10) minutos después de que el equipo coincide con MA y puede dar una evaluación más rápida de la necesidad de los productos de sangre. LY30> 8% es un predictor independiente de la mortalidad en las 24 horas del trauma. OBJECTIVE: Injury and shock lead to alterations in conventional coagulation tests (CCTs). Recently, rapid thrombelastography (r-TEG) has become recognized as a comprehensive assessment of coagulation abnormalities. We have previously shown that admission r-TEG results are available faster than CCTs and predict pulmonary embolism. We hypothesized that r-TEGs more reliably predict blood component transfusion than CCTs. METHODS: Consecutive patients admitted between September 2009 and February 2011 who met the highest-level trauma activations were included. All had admission r-TEG and CCTs. We correlated r-TEG values [activated clotting time (ACT), r, k, α, maximal amplitude (MA), LY30] with their corresponding CCTs [prothrombin time (PT)/activated partial thromboplastin time (aPTT), international normalized ratio (INR), platelet count and fibrinogen] for transfusion requirements. Charges were calculated for each test. Demographics, vital signs, and injury severity were recorded. RESULTS: We studied 1974 major trauma activations. The median injury severity score was 17 [interquartile range 9-26]; 25% were in shock; 28% were transfused; and 6% died within 24 hours. Overall, r-TEG correlated with CCTs. When controlling for age, injury mechanism, weighted-Revised Trauma Score, base excess and hemoglobin, ACT-predicted red blood cell (RBC) transfusion, and the α-angle predicted massive RBC transfusion better than PT/aPTT or INR (P < 0.001). The α-angle was superior to fibrinogen for predicting plasma transfusion (P < 0.001); MA was superior to platelet count for predicting platelet transfusion (P < 0.001); and LY-30 (rate of amplitude reduction 30 minutes after the MA is reached) documented fibrinolysis. These correlations improved for transfused, shocked or head injured patients. The charge for r-TEG ($317) was similar to the 5 CCTs ($286). CONCLUSIONS: The r-TEG data was clinically superior to results from 5 CCTs. In addition, r-TEG identified patients with an increased risk of early RBC, plasma and platelet transfusions, and fibrinolysis. Admission CCTs can be replaced with r-TEG.
  • #30 Our results indicate that the haemorrhage initiates coagulation but there is insufficient fibrinogen and perhaps Factor XIII to strengthen the clot.17,18 In our study, TEG-LY30 was 75% lower in women with MOH